Adsorptive Removal of Direct Azo Dyes from Textile Wastewaters Using Weakly Basic Anion Exchange Resin
Abstract
1. Introduction
2. Results and Discussion
2.1. Isotherm Parameters–Equilibrium Studies
2.2. Kinetic Parameters–Time Dependence Studies
2.3. Solution pH Impact
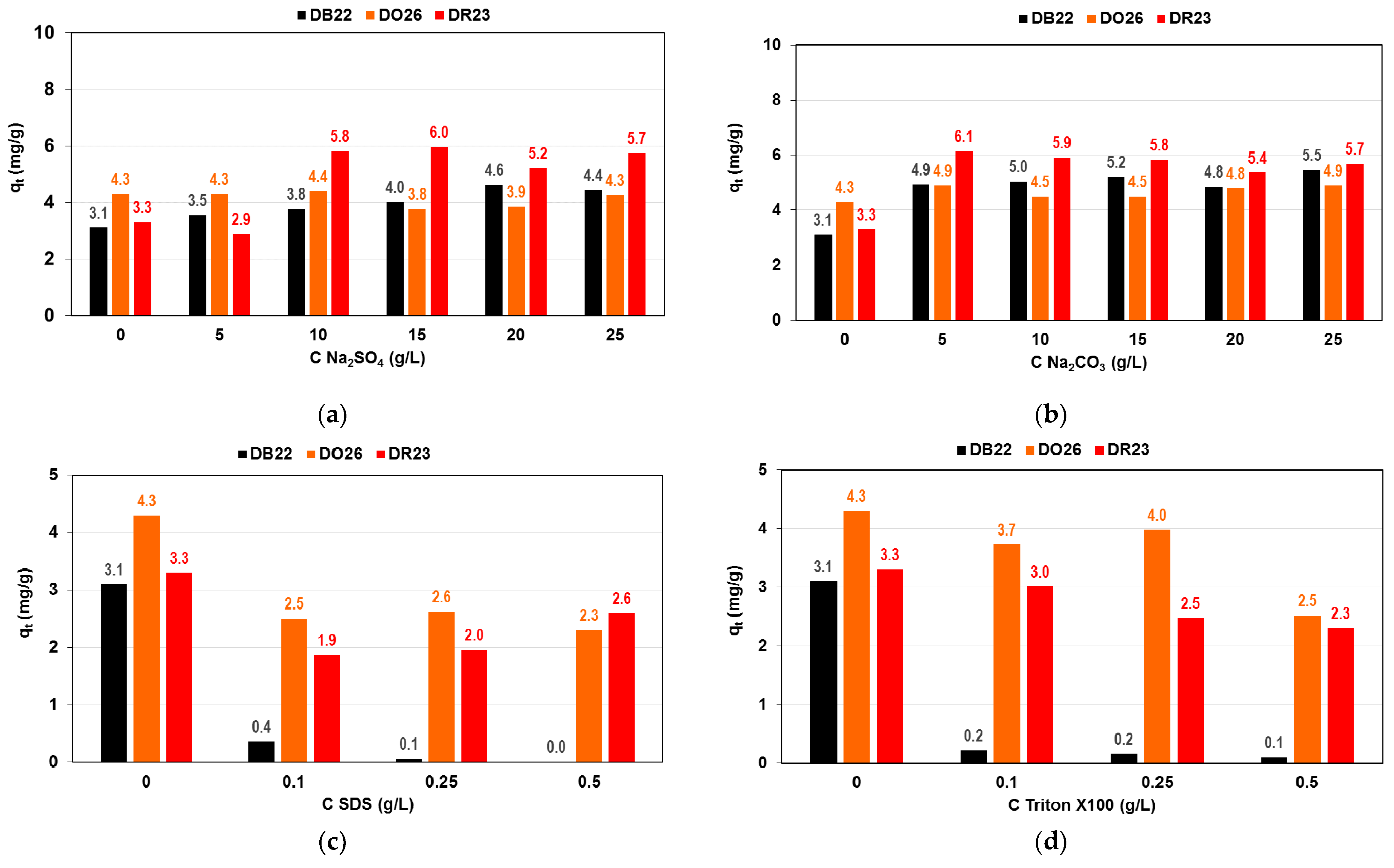
2.4. Electrolytes and Surfactants Effect on Direct Dye Sorption
2.5. Adsorbent Regeneration
3. Materials and Methods
3.1. Chemicals
3.2. Experimental Methods–Adsorption and Desorption
4. Conclusions
Author Contributions
Funding
Institutional Review Board Statement
Informed Consent Statement
Data Availability Statement
Conflicts of Interest
References
- Gürses, A.; Açıkyıldız, M.; Güneş, K.; Gürses, M.S. Dyes and Pigments; Briefs in Molecular Science; Springer: Berlin/Heidelberg, Germany, 2016. [Google Scholar] [CrossRef]
- Chung, K.-T. Azo dyes and human health: A review. J. Environ. Sci. Health C 2016, 34, 233–261. [Google Scholar] [CrossRef] [PubMed]
- Puvaneswari, N.; Muthukrishnan, J.; Gunasekaran, P. Toxicity assessment and microbial degradation of azo dyes. Indian J. Exp. Biol. 2006, 44, 618–626. [Google Scholar] [PubMed]
- Hashemi, S.H.; Kaykhaii, M. Chapter 15—Azo Dyes: Sources, Occurrence, Toxicity, Sampling, Analysis, and Their Removal Methods; Dalu, T., Tavengwa, N., Eds.; Emerging Freshwater Pollutants; Elsevier: Amsterdam, The Netherlands, 2022; pp. 267–287. [Google Scholar] [CrossRef]
- Lellis, B.; Fávaro-Polonio, C.Z.; Pamphile, J.A.; Polonio, J.C. Effects of textile dyes on health and the environment and bioremediation potential of living organisms. Biotechnol. Res. Innov. 2019, 3, 275–290. [Google Scholar] [CrossRef]
- Gita, S.; Shukla, S.P.; Deshmukhe, G.; Choudhury, T.G.; Saharan, N.; Singh, A.K. Toxicity evaluation of six textile dyes on growth, metabolism and elemental composition (C, H, N, S) of Microalgae Spirulina platensis: The environmental consequences. Bull. Environ. Contam. Toxicol. 2021, 106, 302–309. [Google Scholar] [CrossRef]
- Hessel, C.; Allegre, C.; Maisseu, M.; Charbit, F.; Moulin, P. Guidelines and legislation for dye house effluents. J. Environ. Manag. 2007, 83, 171–180. [Google Scholar] [CrossRef]
- Wong, S.; Ghafar, N.A.; Ngadi, N.; Razmi, F.A.; Inuwa, I.M.; Mat, R.; Amin, N.A.S. Effective removal of anionic textile dyes using adsorbent synthesized from coffee waste. Sci. Rep. 2020, 10, 2928. [Google Scholar] [CrossRef]
- Katheresan, V.; Kansedo, J.; Lau, S.Y. Efficiency of various recent wastewater dye removal methods: A review. J. Environ. Chem. Eng. 2018, 6, 4676–4697. [Google Scholar] [CrossRef]
- Nguyen, C.T.; Sabarathinam, S.; Sridharan, S.; Al Salhi, M.S.; Devanesan, S.; Shanmuganathan, R.; Lan Chi, N.T. Comparison of Simarouba glauca seed shell carbons for enhanced direct red 12B dye adsorption: Adsorption isotherm and kinetic studies. Food Chem. Toxicol. 2022, 168, 113326. [Google Scholar] [CrossRef]
- Dotto, G.L.; Santos, J.M.N.; Rodrigues, I.L.; Rosa, R.; Pavan, F.A.; Lima, E.C. Adsorption of Methylene Blue by ultrasonic surface modified chitin. J. Colloid Interface Sci. 2015, 446, 133–140. [Google Scholar] [CrossRef]
- Rápó, E.; Tonk, S. Factors affecting synthetic dye adsorption; desorption studies: A review of results from the last five years (2017–2021). Molecules 2021, 26, 5419. [Google Scholar] [CrossRef]
- Raji, Y.; Nadi, A.; Rouway, M.; Jamoudi Sbai, S.; Yassine, W.; Elmahbouby, A.; Cherkaoui, O.; Zyade, S. Efficient Adsorption of Methyl Orange on nanoporous carbon from agricultural wastes: Characterization, kinetics, thermodynamics, regeneration and adsorption mechanism. J. Compos. Sci. 2022, 6, 385. [Google Scholar] [CrossRef]
- Imessaoudene, A.; Cheikh, S.; Hadadi, A.; Hamri, N.; Bollinger, J.-C.; Amrane, A.; Tahraoui, H.; Manseri, A.; Mouni, L. Adsorption performance of zeolite for the removal of Congo Red Dye: Factorial design experiments, kinetic, and equilibrium studies. Separations 2023, 10, 57. [Google Scholar] [CrossRef]
- Jóźwiak, T.; Filipkowska, U.; Bakuła, T.; Bralewska-Piotrowicz, B.; Karczmarczyk, K.; Gierszewska, M.; Olewnik-Kruszkowska, E.; Szyryńska, N.; Lewczuk, B. The use of chitin from the Molts of Mealworm (Tenebrio molitor) for the removal of anionic and cationic dyes from aqueous solutions. Materials 2023, 16, 545. [Google Scholar] [CrossRef]
- Naim, M.M.; Al-harby, N.F.; El Batouti, M.; Elewa, M.M. Macro-reticular ion exchange resins for recovery of direct dyes from spent dyeing and soaping liquors. Molecules 2022, 27, 1593. [Google Scholar] [CrossRef]
- Zghal, S.; Jedidi, I.; Cretin, M.; Cerneaux, S.; Abdelmouleh, M. Adsorptive removal of Rhodamine B dye using carbon graphite/cnt composites as adsorbents: Kinetics, isotherms and thermodynamic study. Materials 2023, 16, 1015. [Google Scholar] [CrossRef]
- Ezzat, A.O.; Tawfeek, A.M.; Rajabathar, J.R.; Al-Lohedan, H.A. Synthesis of new hybrid structured magnetite crosslinked poly ionic liquid for efficient removal of Coomassie Brilliant Blue R-250 dye in aqueous medium. Molecules 2022, 27, 441. [Google Scholar] [CrossRef]
- Tomczak, E.; Tosik, P. Sorption equilibrium of azo dyes Direct Orange 26 and Reactive Blue 81 onto a cheap plant sorbent. Ecol. Chem. Eng. S. 2014, 21, 435–445. [Google Scholar] [CrossRef]
- Safa, Y.; Bhatti, H.N. Kinetic and thermodynamic modeling for the removal of Direct Red-31 and Direct Orange-26 dyes from aqueous solutions by rice husk. Desalination 2011, 272, 313–322. [Google Scholar] [CrossRef]
- Kuśmierek, K.; Gałan, M.; Kamiński, W.; Świątkowski, A. Zastosowanie trocin jako tanich sorbentów do usuwania barwników azowych z wody. Przem. Chem. 2020, 99, 201–205. [Google Scholar] [CrossRef]
- Arami, M.; Limaee, N.Y.; Mahmoodi, N.M.; Tabrizi, N.S. Removal of dyes from colored textile wastewater by orange peel adsorbent: Equilibrium and kinetic studies. J. Colloid Interf. Sci. 2005, 288, 371–376. [Google Scholar] [CrossRef] [PubMed]
- Kuśmierek, K.; Światkowski, A.; Wierzbicka, E.; Legocka, I. Enhanced adsorption of Direct Orange 26 dye in aqueous solutions by modified halloysite. Physicochem. Probl. Miner. Process. 2020, 56, 693–701. [Google Scholar] [CrossRef]
- da Silva Alexandre, J.I.; Martins dos Santos Neto, S.; Paiva Coutinho, A.; dos Anjos Tenório de Melo, T.; Amaral Pastich Gonçalve, E.; Salgueiro Gondim, M.V.; Dantas Antonino, A.C.; Carvalho de Gusmão da Cunha Rabelo, A.E.; de Oliveira, A.L. Sorption of the Direct Black 22 dye in alluvial soil. Rev. Ambient. Água 2020, 15, e2483. [Google Scholar] [CrossRef]
- Fındık, S. Removal of diazo dye Direct Red 28 and tetra azo dye Direct Black 22 using synthesized magnetic kaolin supported zinc ferrite. Acta Chim. Slov. 2022, 69, 336–348. [Google Scholar] [CrossRef]
- Konicki, W.; Hełminiak, A.; Arabczyk, W.; Mijowska, E. Removal of anionic dyes using magnetic Fe@graphite core-shell nanocomposite as an adsorbent from aqueous solutions. J. Colloid Interf. Sci. 2017, 497, 155–164. [Google Scholar] [CrossRef]
- Allahbakhshi, M.; Mahmoodi, N.M.; Mosaferi, M.; Kazemian, H.; Aslani, H. Synthesis of functionalized metal-organic framework metal-organic framework (MIL-53)/Chitosan for removing dye and pharmaceutical. Surf. Interfaces 2022, 35, 102471. [Google Scholar] [CrossRef]
- Marin, N.M.; Ficai, A.; Constantin, L.A.; Motelica, L.; Trusca, R. New chelate resins prepared with Direct Red 23 for Cd2+, Ni2+, Cu2+ and Pb2+ removal. Polymers 2022, 14, 5523. [Google Scholar] [CrossRef]
- Foo, K.Y.; Hameed, B.H. Insights into the modeling of adsorption isotherm systems. Chem. Eng. J. 2010, 156, 2–10. [Google Scholar] [CrossRef]
- Neves, T.D.F.; Camparotto, N.G.; Brião, G.D.V.; Mastelaro, V.R.; Renato Falcãoa, D.R.; Vieira, M.G.A.; Prediger, P. Graphene oxide-safranin modified@polyacrylonitrile membranes for water purification: Reuse and mechanism based on theoretical calculations and XPS analysis. J. Water Process Eng. 2022, 50, 103248. [Google Scholar] [CrossRef]
- Alhujaily, A.; Yu, H.; Zhang, X.; Ma, F. Adsorptive removal of anionic dyes from aqueous solutions using spent mushroom waste. Appl. Water Sci. 2020, 10, 183. [Google Scholar] [CrossRef]
- Wawrzkiewicz, M.; Podkościelna, B. Innovative Polymer Microspheres with Chloride Groups Synthesis, Characterization and Application for Dye Removal. Processes 2022, 10, 1568. [Google Scholar] [CrossRef]
- Podkościelna, B.; Wawrzkiewicz, M.; Klapiszewski, Ł. Synthesis, Characterization and Sorption Ability of Epoxy Resin-Based Sorbents with Amine Groups. Polymers 2021, 13, 4139. [Google Scholar] [CrossRef] [PubMed]
- Bartholin, M. Styrene-divinylbenzene copolymers, 3 revisited IR analysis. Makromol. Chem. 1981, 182, 2075–2085. [Google Scholar] [CrossRef]
- Ho, Y.S.; McKay, G. Kinetics models for the sorption of dye from aqueous solution by wood. Process Saf. Environ. Prot. 1998, 76, 183–191. [Google Scholar] [CrossRef]
- Weber, W.; Morris, J. Kinetics of adsorption on carbon from solutions. J. Sanit. Eng. Div. 1963, 89, 31–60. [Google Scholar] [CrossRef]
- Harland, C.E. Ion Exchange: Theory and Practice; The Royal Society of Chemistry: London, UK, 1994. [Google Scholar]
- Wawrzkiewicz, M.; Polska-Adach, E. Physicochemical interactions in systems C.I. Direct Yellow 50—Weakly basic resins: Kinetic, equilibrium, and auxiliaries addition aspects. Water 2021, 13, 385. [Google Scholar] [CrossRef]
- Lee, S.; Lee, J.-S.; Song, M.-K.; Ryu, J.-C.; An, B.; Lee, C.-G.; Park, C.; Lee, S.-H.; Choi, J.-W. Effective regeneration of an adsorbent for the removal of organic contaminants developed based on UV radiation and toxicity evaluation. React. Funct. Polym. 2015, 95, 62–70. [Google Scholar] [CrossRef]
- Available online: https://www.lenntech.com/Data-sheets/Dupont-Amberlyst-A21-L.pdf (accessed on 5 December 2022).
- Wan Ngah, W.S.; Hanafiah, M.A.K.M. Adsorption of copper on rubber (Hevea brasiliensis) leaf powder: Kinetic, equilibrium and thermodynamic studies. Biochem. Eng. J. 2008, 39, 521–530. [Google Scholar] [CrossRef]










| Parameter | Value |
|---|---|
| pH | 2–14 |
| Color (Pt-Co) BOD5 (mg/L) COD (mg/L) TDS (mg/L) TSS (mg/L) Turbidity (NTU) | >200 110–5500 131–17,900 47.9–6106 64–23,900 15–5700 |
| Parameters | DB22 | DR23 | DO26 |
|---|---|---|---|
| Q0 (mg/g) kL (L/mg) R2 | 491.5 0.0003 0.970 | 271.1 0.041 0.999 | 285.6 0.091 0.999 |
| KF (mg1−1/n L1/n/g) 1/n R2 | 0.609 | 76.2 | 117.1 |
| 0.757 | 0.18 | 0.129 | |
| 0.985 | 0.900 | 0.729 | |
| A (L/g) bT (J/mol) R2 | 5.1 | 16.5 | 632.1 |
| 29.1 0.962 | 93.2 0.984 | 118.5 0.886 |
| Sorbent | Direct Dye | Isotherm Model Used and/or Description of Equilibrium Results | Ref. |
|---|---|---|---|
| Mechanically and chemically modified rye straw | Direct Orange 26 | Freundlich: kF = 0.941 mg1−1/n L1/n/g, pH = 5–6, a.d. = 5 g/200 mL | [19] |
| Rice husk | Langmuir: Q0 = 66.67 mg/g pH = 3, a.d. = 0.06 g/50 mL | [20] | |
| Untreated halloysites (H-NM), halloysites modified by sodium benzoate (H-SB) and sulfuric acid (H-SA1 and H-SA2) | Langmuir: Q0 = 49.13 mg/g for H-NM, Q0 = 56.04 mg/g for H-SB, Q0 = 229.3 mg/g for H-SA1, Q0 = 49.13 mg/g for H-SA2 pH = 2.5, a.d. = 0.02 g/20 mL | [23] | |
| Cherry wood sawdust (CWS) Pine wood sawdust (PWS) Oak wood sawdust (OWS) | Langmuir: Q0 = 3.48 mg/g for CWS, Q0 = 3.49 mg/g for PWS, Q0 = 3.73 mg/g for OWS, pH = 2.5–7, a.d. = 0.02 g/20 mL | [21] | |
| magnetic Fe-graphite core-shell nanocomposite | Langmuir: Q0 = 28.3 mg/g pH = 2.5–7, a.d. = 0.03 mg/150 mL | [26] | |
| Amberlyst A21 (weakly basic anion exchange resin in Cl−) | Langmuir: Q0 = 285.6 mg/g, pH = 8.4, a.d. = 0.03 mg/150 mL | This study | |
| Orange peel adsorbent | Direct Red 23 | Langmuir: Q0 = 21.05 mg/g pH = 2, a.d. = 2 g/250 mL | [22] |
| Amberlite IRA402 (strongly basic anion exchange resin in Cl−); Amberlyst XAD7HP (non-functionalized acrylic resin) | Langmuir: Q0 = 21 mg/g pH = 2, a.d. = 0.5 g/50 mL for IRA402 Q0 = 27 mg/g, pH = 7.9, a.d.= 0.5 g/50 mL for XAD7HP | [28] | |
| Biocomposite (metal-organic framework) modified with different amounts of 3-aminopropyl-trimethoxysilane for preparing different MILs-53A/NH2 adsorbents; Chitosan; MIL-53A/NH2–chitosan bionanocomposit (SFMOF/BM) | Langmuir: Q0 = 3333–10,000 mg/g, pH = 2.1, a.d. = 2 g/100 mL for different MILs-53A/NH2 Q0 = 3360 mg/g, pH = 2.1, a.d. = 2 g/100 mL for Chitosan Q0 = 12,500 mg/g, pH = 2.1, a.d. = 2 g/100 mL for SFMOF/BM | [27] | |
| Amberlyst A21 (weakly basic anion exchange resin in Cl-) | Langmuir: Q0 = 271.1 mg/g, pH = 8,4, a.d. = 0.5 mg/50 mL | This study | |
| Alluvial soil | Direct Black 22 | Freundlich model: kF = 8.6 kg−1 mg1−1/nL1/n, a.d. = 5 g/50 mL | [24] |
| Polyacrylonitrile membranes incorporated with graphene oxide functionalized with safranin dye (hPAN@GO-SF) | Adsorption capacity: 148–205 mg/g in the saline and single system | [30] | |
| Synthesized magnetic kaolin-supported zinc ferrite | Langmuir: Q0 = 8.404 mg/g, pH = 7.4, a.d. = 1 g/200 mL | [25] | |
| Spent mushroom waste | Langmuir: Q0 = 15.46 mg/g, pH = 7.4, a.d. = 1 g/200 mL | [31] | |
| Amberlyst A21 (weakly basic anion exchange resin in Cl-) | Freundlich model: kF = 0.609 mg1−1/nL1/n/g, pH = 8,4, a.d. = 5 g/50 mL | This study |
| Dye | qe,exp (mg/g) | PFO | PSO | IPD | |||||
|---|---|---|---|---|---|---|---|---|---|
| qe (mg/g) | k1 (1/min) | R2 | qe (mg/g) | k2 (g/mg min) | R2 | ki (mg/g min0.5) | R2 | ||
| DB22 | 3.2 | 0.96 | 0.012 | 0.883 | 3.1 | 0.087 | 0.998 | 0.164 | 0.866 |
| DR23 | 3.3 | 1.2 | 0.024 | 0.971 | 3.3 | 0.076 | 0.999 | 0.094 | 0.914 |
| DO26 | 4.3 | 3.0 | 0.028 | 0.965 | 4.5 | 0.022 | 0.993 | 0.202 | 0.893 |
| Eluent | %D | ||
|---|---|---|---|
| DO26 | DR23 | DB22 | |
| 1 M HCl | 1.5 | 2.7 | 2.1 |
| 1 M NaOH | 3.3 | 2.9 | 3.1 |
| 1 M NaCl | 2.1 | 1.9 | 1.4 |
| 50% v/v CH3OH | 1.2 | 1.7 | 1.9 |
| 1 M HCl–50% v/v CH3OH | 4.3 | 3.3 | 3.1 |
| 1 M NaOH–50% v/v CH3OH | 6.3 | 5.8 | 4.2 |
| 1 M NaCl–50% v/v CH3OH | 1.7 | 2.2 | 1.9 |
Disclaimer/Publisher’s Note: The statements, opinions and data contained in all publications are solely those of the individual author(s) and contributor(s) and not of MDPI and/or the editor(s). MDPI and/or the editor(s) disclaim responsibility for any injury to people or property resulting from any ideas, methods, instructions or products referred to in the content. |
© 2023 by the authors. Licensee MDPI, Basel, Switzerland. This article is an open access article distributed under the terms and conditions of the Creative Commons Attribution (CC BY) license (https://creativecommons.org/licenses/by/4.0/).
Share and Cite
Wawrzkiewicz, M.; Kucharczyk, A. Adsorptive Removal of Direct Azo Dyes from Textile Wastewaters Using Weakly Basic Anion Exchange Resin. Int. J. Mol. Sci. 2023, 24, 4886. https://doi.org/10.3390/ijms24054886
Wawrzkiewicz M, Kucharczyk A. Adsorptive Removal of Direct Azo Dyes from Textile Wastewaters Using Weakly Basic Anion Exchange Resin. International Journal of Molecular Sciences. 2023; 24(5):4886. https://doi.org/10.3390/ijms24054886
Chicago/Turabian StyleWawrzkiewicz, Monika, and Anna Kucharczyk. 2023. "Adsorptive Removal of Direct Azo Dyes from Textile Wastewaters Using Weakly Basic Anion Exchange Resin" International Journal of Molecular Sciences 24, no. 5: 4886. https://doi.org/10.3390/ijms24054886
APA StyleWawrzkiewicz, M., & Kucharczyk, A. (2023). Adsorptive Removal of Direct Azo Dyes from Textile Wastewaters Using Weakly Basic Anion Exchange Resin. International Journal of Molecular Sciences, 24(5), 4886. https://doi.org/10.3390/ijms24054886

