Concentration Scaling on Linear Viscoelastic Properties of Cellular Suspensions and Effects of Equilibrium Phase Behavior
Abstract
1. Introduction
2. Results
2.1. Microstructure Characterization
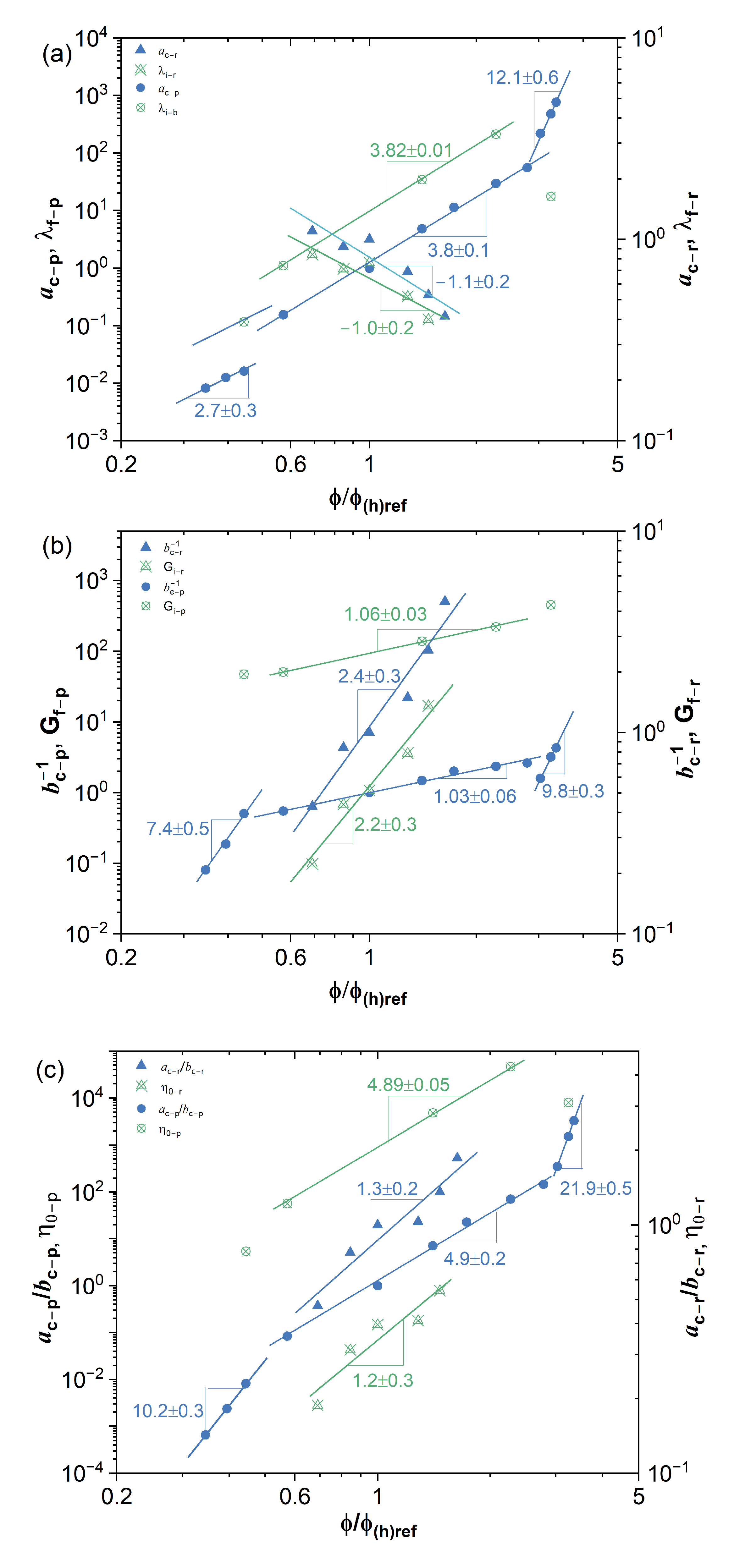
2.2. Linear Viscoelasticity
3. Discussion
3.1. Time-Concentration Superposition Analysis
3.2. Effects of Equilibrium Phase Behavior on Concentration Scaling
4. Materials and Methods
4.1. Materials
4.2. Rheometry
4.3. Optical Microscopy
5. Conclusions
Author Contributions
Funding
Institutional Review Board Statement
Informed Consent Statement
Data Availability Statement
Acknowledgments
Conflicts of Interest
References
- Larson, R.G. The Structure and Rheology of Complex Fluids; Oxford University Press: New York, NY, USA, 1999. [Google Scholar]
- Sousa, P.C.; Pinho, F.T.; Alves, M.A.; Oliveira, M.S. A review of hemorheology: Measuring techniques and recent advances. Korea-Aust. Rheol. J. 2016, 28, 1–22. [Google Scholar] [CrossRef]
- Beris, A.N.; Horner, J.S.; Jariwala, S.; Armstrong, M.; Wagner, N.J. Recent advances in blood rheology: A review. Soft Matter 2021, 17, 10591–10613. [Google Scholar] [CrossRef]
- Satapathy, S.; Shukla, S.P. Application of a Marine Cyanobacterium Phormidium fragile for Green Synthesis of Silver Nanoparticles. Indian J. Biotechnol. 2017, 16, 110–113. [Google Scholar]
- Jiang, L.; Wang, Y.; Yin, Q.; Liu, G.; Liu, H.; Huang, Y.; Li, B. Phycocyanin: A potential drug for cancer treatment. J. Cancer 2017, 8, 3416. [Google Scholar] [CrossRef]
- McAllister, T.G.; Wood, S.A.; Hawes, I. The rise of toxic benthic Phormidium proliferations: A review of their taxonomy, distribution, toxin content and factors regulating prevalence and increased severity. Harmful Algae 2016, 55, 282–294. [Google Scholar] [CrossRef]
- Bishop, J.J.; Popel, A.S.; Intaglietta, M.; Johnson, P.C. Rheological effects of red blood cell aggregation in the venous network: A review of recent studies. Biorheology 2001, 38, 263–274. [Google Scholar]
- Vlastos, G.; Lerche, D.; Koch, B.; Samba, O.; Pohl, M. The effect of parallel combined steady and oscillatory shear flows on blood and polymer solutions. Rheol. Acta 1997, 36, 160–172. [Google Scholar] [CrossRef]
- Eugster, M.; Häusler, K.; Reinhart, W. Viscosity measurements on very small capillary blood samples. Clin. Hemorheol. Microcirc. 2007, 36, 195–202. [Google Scholar]
- Sousa, P.; Carneiro, J.; Pinho, F.; Oliveira, M.; Alves, M. Steady and large-oscillatory shear rheology of whole blood. Biorheology 2013, 50, 269–282. [Google Scholar] [CrossRef]
- Cokelet, G.R.; Meiselman, H.J. Macro-and micro-rheological properties of blood. Biomed. Health Res.-Comm. Eur. Communities Then IOS Press 2007, 69, 45. [Google Scholar]
- Tomaiuolo, G.; Carciati, A.; Caserta, S.; Guido, S. Blood linear viscoelasticity by small amplitude oscillatory flow. Rheol. Acta 2016, 55, 485–495. [Google Scholar] [CrossRef]
- Sousa, P.C.; Vaz, R.; Cerejo, A.; Oliveira, M.S.; Alves, M.A.; Pinho, F.T. Rheological behaviour of human blood in uniaxial extensional flow. J. Rheol. 2018, 62, 447–456. [Google Scholar] [CrossRef]
- Brahamsha, B.; Bhaya, D. Motility in unicellular and filamentous cyanobacteria. Cell Biol. Cyanobacteria 2014, 233–262. [Google Scholar]
- Bhatnagar, M.; Pareek, S.; Bhatnagar, A.; Ganguly, J. Rheology and Characterization of a Low Viscosity Emulsifying Exopolymer from Desert Borne Nostoc calcicola. Indian J. Biotechnol. 2014, 13, 241–246. [Google Scholar]
- Hotos, G.N. Culture growth of the cyanobacterium Phormidium sp. in various salinity and light regimes and their influence on its phycocyanin and other pigments content. J. Mar. Sci. Eng. 2021, 9, 798. [Google Scholar] [CrossRef]
- Kieninger, A.K.; Maldener, I. Cell–cell communication through septal junctions in filamentous cyanobacteria. Curr. Opin. Microbiol. 2021, 61, 35–41. [Google Scholar] [CrossRef]
- Onsager, L. The effects of shape on the interaction of colloidal particles. Ann. N. Y. Acad. Sci. 1949, 51, 627–659. [Google Scholar] [CrossRef]
- Ure na-Benavides, E.E.; Ao, G.; Davis, V.A.; Kitchens, C.L. Rheology and phase behaviour of lyotropic cellulose nanocrystal suspensions. Macromolecules 2011, 44, 8990–8998. [Google Scholar] [CrossRef]
- Kim, T.; Song, Y.; Ahn, J.; Kim, M.; Ko, E.; Kim, H. Rheological interpretation of intermediate physical state of gel and liquid crystalline phases in cellulose solution and their synergetic effects on the mechanical property. Cellulose 2021, 28, 10863–10874. [Google Scholar] [CrossRef]
- Rwei, S.P.; Lyu, M.S.; Wu, P.S.; Tseng, C.H.; Huang, H.W. Sol/gel transition and liquid crystal transition of HPC in ionic liquid. Cellulose 2009, 16, 9–17. [Google Scholar] [CrossRef]
- Bercea, M.; Navard, P. Shear dynamics of aqueous suspensions of cellulose whiskers. Macromolecules 2000, 33, 6011–6016. [Google Scholar] [CrossRef]
- Sarmiento-Gomez, E.; Montalvan-Sorrosa, D.; Garza, C.; Mas-Oliva, J.; Castillo, R. Rheology and DWS microrheology of concentrated suspensions of the semiflexible filamentous fd virus. Eur. Phys. J. E 2012, 35, 1–14. [Google Scholar] [CrossRef] [PubMed]
- Okajima, M.K.; Kaneko, D.; Mitsumata, T.; Kaneko, T.; Watanabe, J. Cyanobacteria That Produce Megamolecules with Efficient Self-Orientations. Macromolecules 2009, 42, 3057–3062. [Google Scholar] [CrossRef]
- Xu, Y.; Atrens, A.; Stokes, J.R. A review of nanocrystalline cellulose suspensions: Rheology, liquid crystal ordering and colloidal phase behaviour. Adv. Colloid Interface Sci. 2020, 275, 102076. [Google Scholar] [CrossRef] [PubMed]
- Fan, Y.Q.; Lanzaro, A.; Yuan, X.F. Universal Concentration Scaling on Rheometric Properties of Polydisperse and High Molecular Weight Polyacrylamide Aqueous Solutions. Chin. J. Polym. Sci. 2022, 40, 1432–1440. [Google Scholar] [CrossRef]
- Poh, L.; Narimissa, E.; Wagner, M.H.; Winter, H.H. Interactive Shear and Extensional Rheology—25 years of IRIS Software. Rheol. Acta 2022, 61, 259–269. [Google Scholar] [CrossRef]
- Ao, G.; Nepal, D.; Davis, V.A. Rheology of lyotropic cholesteric liquid crystal forming single-wall carbon nanotube dispersions stabilized by double-stranded DNA. Rheol. Acta 2016, 55, 717–725. [Google Scholar] [CrossRef]
- de Gennes, P.G. Scaling Concepts in Polymer Physics; Cornell University Press: Ithaca, NY, USA, 1979. [Google Scholar]
- Rubinstein, M.; Colby, R.H. Polymer Physics; Oxford University Press: New York, NY, USA, 2003. [Google Scholar]
- Doi, M.; Edwards, S.F. The Theory of Polymer Dynamics; Oxford University Press: New York, NY, USA, 1986. [Google Scholar]
- Larson, R.G. Constitutive Equations for Polymer Melts and Solutions; Butterworth Publisher: Boston, MA, USA, 1988. [Google Scholar]
- Enomoto, H.; Einaga, Y.; Teramoto, A. Viscosity of concentrated solutions of rodlike polymers. Macromolecules 1985, 18, 2695–2702. [Google Scholar] [CrossRef]
- Sato, T. Rheology of stiff-chain polymer solutions. J. Rheol. 2022, 66, 399–414. [Google Scholar] [CrossRef]




| Mode | (Pa) | (s) | (Pa·s) |
|---|---|---|---|
| Phormidium suspension with | |||
| 1 2 3 4 5 6 7 8 9 10 11 Solvent Estimated | - = | - = | = |
| Human blood with | |||
| 1 2 3 4 Plasma Estimated | - = | - = | = |
| Sample | (vol%) | (Pa·s) | (s) | (Pa) |
|---|---|---|---|---|
| Phormidium suspension | 8.2 10.6 18.0 42.0 60.0 | |||
| Human blood | 39.80 48.68 57.60 73.83 84.52 |
| Sample | () | () | |||
|---|---|---|---|---|---|
| Phormidium suspension | 1.14 | I: ∼ II: ∼ III: ∼ | |||
| Human blood | ∼ | ||||
| dsDNA-SWCNT [28] dispersion | II: ∼ III: ∼ | ||||
| CNC [19] suspension | <1.22 | II: ∼ | |||
| HPC [21] solution | ∼2 | ||||
| PB-PHO [26] | <1.1 | ∼ | |||
| 18M PAAm [26] | >34.4 | ∼ |
Disclaimer/Publisher’s Note: The statements, opinions and data contained in all publications are solely those of the individual author(s) and contributor(s) and not of MDPI and/or the editor(s). MDPI and/or the editor(s) disclaim responsibility for any injury to people or property resulting from any ideas, methods, instructions or products referred to in the content. |
© 2023 by the authors. Licensee MDPI, Basel, Switzerland. This article is an open access article distributed under the terms and conditions of the Creative Commons Attribution (CC BY) license (https://creativecommons.org/licenses/by/4.0/).
Share and Cite
Xu, G.-X.; Yuan, X.-F.; Liu, Q.-S.; Wang, H. Concentration Scaling on Linear Viscoelastic Properties of Cellular Suspensions and Effects of Equilibrium Phase Behavior. Int. J. Mol. Sci. 2023, 24, 4107. https://doi.org/10.3390/ijms24044107
Xu G-X, Yuan X-F, Liu Q-S, Wang H. Concentration Scaling on Linear Viscoelastic Properties of Cellular Suspensions and Effects of Equilibrium Phase Behavior. International Journal of Molecular Sciences. 2023; 24(4):4107. https://doi.org/10.3390/ijms24044107
Chicago/Turabian StyleXu, Geng-Xin, Xue-Feng Yuan, Qing-Song Liu, and Howard Wang. 2023. "Concentration Scaling on Linear Viscoelastic Properties of Cellular Suspensions and Effects of Equilibrium Phase Behavior" International Journal of Molecular Sciences 24, no. 4: 4107. https://doi.org/10.3390/ijms24044107
APA StyleXu, G.-X., Yuan, X.-F., Liu, Q.-S., & Wang, H. (2023). Concentration Scaling on Linear Viscoelastic Properties of Cellular Suspensions and Effects of Equilibrium Phase Behavior. International Journal of Molecular Sciences, 24(4), 4107. https://doi.org/10.3390/ijms24044107
