Discovery of New Quinoline-Based Diarylamides as Potent B-RAFV600E/C-RAF Kinase Inhibitors Endowed with Promising In Vitro Anticancer Activity
Abstract
1. Introduction
2. Results
2.1. Chemistry
2.2. In Vitro Kinase Inhibition Assay
2.3. In Vitro Screening of the Anticancer Activities
2.3.1. Single Dose Testing against NCI-60 Cell Line Panel
2.3.2. Five-Dose Testing against NCI-60 Cell Line Panel
2.4. Molecular Docking Study
2.5. Molecular Dynamics
3. Conclusions
4. Materials and Methods
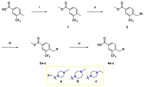
4.1. Chemistry
4.2. Synthesis
4.2.1. Methyl 4-methyl-3-(trifluoromethyl)benzoate (1)
4.2.2. Methyl 4-(bromomethyl)-3-(trifluoromethyl)benzoate (2)
4.2.3. General Procedure for the Synthesis of Benzoate 3a–c
- Methyl 4-((4-methylpiperazin-1-yl)methyl)-3-trifluoromethyl) (3a)
- Methyl 4-((4-methyl-1,4-diazepan-1-yl)methyl)-3-(trifluoromethyl)benzoate (3b)
- Methyl 4-((4-ethylpiperazin-1-yl)methyl)-3-(trifluoromethyl)benzoate (3c)
4.2.4. General Procedure for the Synthesis of Benzoic Acid (4a–c)
- 4-((4-methylpiperazin-1-yl)methyl)-3-(trifluoromethyl)benzoic acid (4a)
- 4-((4-methyl-1,4-diazepan-1-yl)methyl)-3-(trifluoromethyl)benzoic acid (4b)
- 4-((4-ethylpiperazin-1-yl)methyl)-3-(trifluoromethyl)benzoic acid (4c)
4.2.5. 2-Chloro-6-methoxyquinoline (9′)
4.2.6. 4-Fluoro-N1-(5-methoxyquinolin-2-yl)benzene-1,3-diamine (12′)
4.2.7. N1-(6-Methoxyquinolin-2-yl)benzene-1,3-diamine (13)
4.2.8. General Procedure for Synthesis 14a–c, 15a, 16a, and 16b
- 4-((4-methylpiperazin-1-yl)methyl)-N-(3-((5-methoxyquinolin-2-yl)amino)phenyl)-3-(trifluoromethyl)benzamide (14a)
- N-(3-((5-methoxyquinolin-2-yl)amino)phenyl)-4-((4-methyl-1,4-diazepan-1-yl)methyl)-3-(trifluoromethyl)benzamide (14b)
- 4-((4-ethylpiperazin-1-yl)methyl)-N-(3-((5-methoxyquinolin-2-yl)amino)phenyl)-3-(trifluoromethyl)benzamide (14c)
- N-(2-fluoro-5-((5-methoxyquinolin-2-yl)amino)phenyl)-4-((4-methylpiperazin-1-yl)methyl)-3-(trifluoromethyl)benzamide (15a)
- N-(3-((6-methoxyquinolin-2-yl)amino)phenyl)-4-((4-methylpiperazin-1-yl)methyl)-3-(trifluoromethyl)benzamide (16a)
- N-(3-((6-methoxyquinolin-2-yl)amino)phenyl)-4-((4-methyl-1,4-diazepan-1-yl)methyl)-3-(trifluoromethyl)benzamide (16b)
4.2.9. General Procedure for Synthesis 17a,b and 18a,b
- N-(3-((5-hydroxyquinolin-2-yl)amino)phenyl)-4-((4-methylpiperazin-1-yl)methyl)-3-(trifluoromethyl)benzamide (17a)
- N-(3-((5-hydroxyquinolin-2-yl)amino)phenyl)-4-((4-methyl-1,4-diazepan-1-yl)methyl)-3-(trifluoromethyl)benzamide (17b)
- N-(3-((6-hydroxyquinolin-2-yl)amino)phenyl)-4-((4-methylpiperazin-1-yl)methyl)-3-(trifluoromethyl)benzamide (18a)
- N-(3-((6-hydroxyquinolin-2-yl)amino)phenyl)-4-((4-methyl-1,4-diazepan-1-yl)methyl)-3-(trifluoromethyl)benzamide (18b)
4.3. In Vitro Kinase Screening
4.4. Anticancer Screening at NCI
4.5. Molecular Docking
4.6. Molecular Dynamcis Simulation
Supplementary Materials
Author Contributions
Funding
Institutional Review Board Statement
Informed Consent Statement
Data Availability Statement
Acknowledgments
Conflicts of Interest
References
- Ahmad, F.B.; Cisewski, J.A.; Miniño, A.; Anderson, R.N. Provisional Mortality Data—United States, 2020. MMWR Surveill. Summ. 2021, 70, 519–522. [Google Scholar] [CrossRef]
- World Health Organization. Available online: https://www.who.int/news-room/fact-sheets/detail/the-top-10-causes-of-death (accessed on 30 November 2022).
- Paul, M.K.; Mukhopadhyay, A.K. Tyrosine Kinase—Role and Significance in Cancer. Int. J. Med. Sci. 2012, 1, 101–115. [Google Scholar] [CrossRef]
- Cohen, P. Protein Kinases—The Major Drug Targets of the Twenty-First Century? Nat. Rev. Drug Discov. 2002, 1, 309. [Google Scholar] [CrossRef]
- Li, N.; Batt, D.; Warmuth, M. B-Raf Kinase Inhibitors for Cancer Treatment. Curr. Opin. Investig. Drugs 2007, 8, 452–456. [Google Scholar]
- Leicht, D.T.; Balan, V.; Kaplun, A.; Singh-Gupta, V.; Kaplun, L.; Dobson, M.; Tzivion, G. Raf Kinases: Function, Regulation and Role in Human Cancer. Biochim. Biophys. Acta Mol. Cell Res. 2007, 1773, 1196–1212. [Google Scholar] [CrossRef]
- Durrant, D.E.; Morrison, D.K. Targeting the Raf Kinases in Human Cancer: The Raf Dimer Dilemma. Nat. Publ. Gr. 2017, 118, 3–8. [Google Scholar] [CrossRef]
- Mercer, K.; Giblett, S.; Green, S.; Lloyd, D.; Dias, S.D.R.; Plumb, M.; Marais, R.; Pritchard, C. Expression of Endogenous Oncogenic V600EB-Raf Induces Proliferation and Developmental Defects in Mice and Transformation of Primary Fibroblasts. Cancer Res. 2005, 65, 11493–11500. [Google Scholar] [CrossRef]
- Davies, H.; Bignell, G.R.; Cox, C.; Stephens, P.; Edkins, S.; Clegg, S.; Teague, J.; Woffendin, H.; Garnett, M.J.; Bottomley, W.; et al. Mutations of the BRAF Gene in Human Cancer. Nature 2002, 417, 949–954. [Google Scholar] [CrossRef]
- Li, Y.; Umbach, D.M.; Li, L. Putative Genomic Characteristics of BRAF V600K versus V600E Cutaneous Melanoma. Melanoma Res. 2017, 27, 527–535. [Google Scholar] [CrossRef]
- Nepote, A.; Avallone, G.; Ribero, S.; Cavallo, F.; Roccuzzo, G.; Mastorino, L.; Conforti, C.; Paruzzo, L.; Poletto, S.; Schianca, F.C.; et al. Current Controversies and Challenges on BRAF V600K-Mutant Cutaneous Melanoma. J. Clin. Med. 2022, 11, 828. [Google Scholar] [CrossRef]
- Takahashi, M.; Li, Y.; Dillon, T.J.; Kariya, Y.; Stork, P.J.S. Phosphorylation of the C-Raf N Region Promotes Raf Dimerization. Mol. Cell. Biol. 2017, 37, e00132-17. [Google Scholar] [CrossRef]
- An, S.; Yang, Y.; Ward, R.; Liu, Y.; Guo, X.X.; Xu, T.R. A-Raf: A New Star of the Family of Raf Kinases. Crit. Rev. Biochem. Mol. Biol. 2015, 50, 520–531. [Google Scholar] [CrossRef]
- Khan, P.S.; Rajesh, P.; Rajendra, P.; Chaskar, M.G.; Rohidas, A.; Jaiprakash, S. Recent Advances in B-RAF Inhibitors as Anticancer Agents. Bioorg. Chem. 2022, 120, 105597. [Google Scholar] [CrossRef]
- Okaniwa, M.; Hirose, M.; Arita, T.; Yabuki, M.; Nakamura, A.; Takagi, T.; Kawamoto, T.; Uchiyama, N.; Sumita, A.; Tsutsumi, S.; et al. Discovery of a Selective Kinase Inhibitor (TAK-632) Targeting Pan-RAF Inhibition: Design, Synthesis, and Biological Evaluation of C -7-Substituted 1,3-Benzothiazole Derivatives. J. Med. Chem. 2013, 56, 6478–6494. [Google Scholar] [CrossRef]
- Jung, H.; Kim, J.; Im, D.; Moon, H.; Hah, J.M. Design, Synthesis, and In Vitro Evaluation of N-(3-(3-Alkyl-1H-Pyrazol-5-Yl) Phenyl)-Aryl Amide for Selective RAF Inhibition. Bioorg. Med. Chem. Lett. 2019, 29, 534–538. [Google Scholar] [CrossRef]
- Gong, Z.H.; Yao, J.; Ji, J.F.; Yang, J.; Xiang, T.; Zhou, C.K. Synthesis and Biological Evaluation of Novel N-(5-Phenyl-1H-Pyrazol-3-Yl)Benzenesulfonamide Derivatives as Potential BRAFV600E Inhibitors. Med. Chem. Res. 2017, 26, 2583–2591. [Google Scholar] [CrossRef]
- Wilhelm, S.; Carter, C.; Lynch, M.; Lowinger, T.; Dumas, J.; Smith, R.A.; Schwartz, B.; Simantov, R.; Kelley, S. Discovery and Development of Sorafenib: A Multikinase Inhibitor for Treating Cancer. Nat. Rev. Drug Discov. 2006, 5, 835–844. [Google Scholar] [CrossRef]
- Wilhelm, S.; Adnane, L.; Hirth-Dietrich, C.; Ehrlich, P.; Lynch, M. Preclinical Characterization of BAY 73-4506: A Kinase Inhibitor with Broad Spectrum Antitumor Activity Targeting Oncogenic and Angiogenic Kinases. Mol. Cancer Ther. 2007, 6, B260. [Google Scholar]
- Kannaiyan, R.; Mahadevan, D. A Comprehensive Review of Protein Kinase Inhibitors for Cancer Therapy. Expert Rev. Anticancer. Ther. 2018, 18, 1249–1270. [Google Scholar] [CrossRef]
- Pan, J.H.; Zhou, H.; Zhu, S.B.; Huang, J.L.; Zhao, X.X.; Ding, H.; Pan, Y.L. Development of Small-Molecule Therapeutics and Strategies for Targeting RAF Kinase in BRAF-Mutant Colorectal Cancer. Cancer Manag. Res. 2018, 10, 2289–2301. [Google Scholar] [CrossRef]
- Bollag, G.; Tsai, J.; Zhang, J.; Zhang, C.; Ibrahim, P.; Nolop, K.; Hirth, P. Vemurafenib: The First Drug Approved for BRAF-Mutant Cancer. Nat. Rev. Drug Discov. 2012, 11, 873–886. [Google Scholar] [CrossRef]
- Rheault, T.R.; Stellwagen, J.C.; Adjabeng, G.M.; Hornberger, K.R.; Petrov, K.G.; Waterson, A.G.; Dickerson, S.H.; Mook, R.A.; Laquerre, S.G.; King, A.J.; et al. Discovery of Dabrafenib: A Selective Inhibitor of Raf Kinases with Antitumor Activity against B-Raf-Driven Tumors. ACS Med. Chem. Lett. 2013, 4, 358–362. [Google Scholar] [CrossRef]
- Huestis, M.P.; Dela Cruz, D.; Dipasquale, A.G.; Durk, M.R.; Eigenbrot, C.; Gibbons, P.; Gobbi, A.; Hunsaker, T.L.; La, H.; Leung, D.H.; et al. Targeting KRAS Mutant Cancers via Combination Treatment: Discovery of a 5-Fluoro-4-(3H)-Quinazolinone Aryl Urea Pan-RAF Kinase Inhibitor. J. Med. Chem. 2021, 64, 3940–3955. [Google Scholar] [CrossRef]
- Sun, J.; Zager, J.S.; Eroglu, Z. Encorafenib/Binimetinib for the Treatment of BRAF-Mutant Advanced, Unresectable, or Metastatic Melanoma: Design, Development, and Potential Place in Therapy. Onco. Targets. Ther. 2018, 11, 9081–9089. [Google Scholar] [CrossRef]
- Shirley, M. Encorafenib and Binimetinib: First Global Approvals. Drugs 2018, 78, 1277–1284. [Google Scholar] [CrossRef]
- Delord, J.P.; Robert, C.; Nyakas, M.; McArthur, G.A.; Kudchakar, R.; Mahipal, A.; Yamada, Y.; Sullivan, R.; Arance, A.; Kefford, R.F.; et al. Phase I Dose-Escalation and -Expansion Study of the BRAF Inhibitor Encorafenib (LGX818) in Metastatic BRAF-Mutant Melanoma. Clin. Cancer Res. 2017, 23, 5339–5348. [Google Scholar] [CrossRef]
- Choi, H.G.; Ren, P.; Adrian, F.; Sun, F.; Lee, H.S.; Wang, X.; Ding, Q.; Zhang, G.; Xie, Y.; Zhang, J.; et al. A Type-Ii Kinase Inhibitor Capable of Inhibiting the T315I “Gatekeeper” Mutant of Bcr-Abl. J. Med. Chem. 2010, 53, 5439–5448. [Google Scholar] [CrossRef]
- Choi, S.H.; Shin, I.; Kim, N.; Nam, Y.; Sim, T. The First Small Molecules Capable of Strongly Suppressing Proliferation of Cancer Cells Harboring BRAF Class I/II/III Mutations. Biochem. Biophys. Res. Commun. 2020, 532, 315–320. [Google Scholar] [CrossRef]
- Jiao, Y.; Xin, B.T.; Zhang, Y.; Wu, J.; Lu, X.; Zheng, Y.; Tang, W.; Zhou, X. Design, Synthesis and Evaluation of Novel 2-(1H-Imidazol-2-Yl) Pyridine Sorafenib Derivatives as Potential BRAF Inhibitors and Anti-Tumor Agents. Eur. J. Med. Chem. 2015, 90, 170–183. [Google Scholar] [CrossRef]
- Wang, L.; Zhu, G.; Zhang, Q.; Duan, C.; Zhang, Y.; Zhang, Z.; Zhou, Y.; Lu, T.; Tang, W. Rational Design, Synthesis, and Biological Evaluation of Pan-Raf Inhibitors to Overcome Resistance. Org. Biomol. Chem. 2017, 15, 3455–3465. [Google Scholar] [CrossRef]
- Cheng, H.; Chang, Y.; Zhang, L.; Luo, J.; Tu, Z.; Lu, X.; Zhang, Q.; Lu, J.; Ren, X.; Ding, K. Identification and Optimization of New Dual Inhibitors of B-Raf and Epidermal Growth Factor Receptor Kinases for Overcoming Resistance against Vemurafenib. J. Med. Chem. 2014, 57, 2692–2703. [Google Scholar] [CrossRef] [PubMed]
- Zhang, C.H.; Zheng, M.W.; Li, Y.P.; Lin, X.D.; Huang, M.; Zhong, L.; Li, G.B.; Zhang, R.J.; Lin, W.T.; Jiao, Y.; et al. Design, Synthesis, and Structure-Activity Relationship Studies of 3-(Phenylethynyl)-1H-Pyrazolo [3,4-d]Pyrimidin-4-Amine Derivatives as a New Class of Src Inhibitors with Potent Activities in Models of Triple Negative Breast Cancer. J. Med. Chem. 2015, 58, 3957–3974. [Google Scholar] [CrossRef]
- El-Gamal, M.I.; Khan, M.A.; Abdel-Maksoud, M.S.; Gamal El-Din, M.M.; Oh, C.H. A New Series of Diarylamides Possessing Quinoline Nucleus: Synthesis, In Vitro Anticancer Activities, and Kinase Inhibitory Effect. Eur. J. Med. Chem. 2014, 87, 484–492. [Google Scholar] [CrossRef] [PubMed]
- El-Damasy, A.K.; Haque, M.M.; Park, J.W.; Shin, S.C.; Lee, J.S.; EunKyeong Kim, E.; Keum, G. 2-Anilinoquinoline Based Arylamides as Broad Spectrum Anticancer Agents with B-RAFV600E/C-RAF Kinase Inhibitory Effects: Design, Synthesis, In Vitro Cell-Based and Oncogenic Kinase Assessments. Eur. J. Med. Chem. 2020, 208, 112756. [Google Scholar] [CrossRef] [PubMed]
- El-Damasy, A.K.; Lee, J.-H.; Seo, S.H.; Cho, N.C.; Pae, A.N.; Keum, G. Design and synthesis of new potent anticancer benzothiazole amides and ureas featuring pyridylamide moiety and possessing dual B-RafV600E and C-Raf kinase inhibitory activities. Eur. J. Med. Chem. 2016, 115, 201–216. [Google Scholar] [CrossRef]
- El-Damasy, A.K.; Cho, N.C.; Pae, A.N.; Kim, E.E.; Keum, G. Novel 5-Substituted-2-Anilinoquinolines with 3-(Morpholino or 4-Methylpiperazin-1-Yl)Propoxy Moiety as Broad Spectrum Antiproliferative Agents: Synthesis, Cell Based Assays and Kinase Screening. Bioorg. Med. Chem. Lett. 2016, 26, 3307–3312. [Google Scholar] [CrossRef]
- El-Damasy, A.K.; Seo, S.H.; Cho, N.C.; Pae, A.N.; Kim, E.E.; Keum, G. Design and Synthesis of New 2-Anilinoquinolines Bearing N-Methylpicolinamide Moiety as Potential Antiproliferative Agents. Chem. Biol. Drug Des. 2017, 89, 98–113. [Google Scholar] [CrossRef]
- Yasri, A.; Cheve, G.; Bories, C.; Delon, L. Derivatives of Azaindoles as Inhibitors of Protein Kinase ABL and SRC. WIPO (PCT) WO2010092489A1, 19 August 2010. [Google Scholar]
- Song, S.; Li, X.; Guo, J.; Hao, C.; Feng, Y.; Guo, B.; Liu, T.; Zhang, Q.; Zhang, Z.; Li, R.; et al. Design, Synthesis and Biological Evaluation of 1-Phenanthryl-Tetrahydroisoquinoline Derivatives as Novel P21-Activated Kinase 4 (PAK4) Inhibitors. Org. Biomol. Chem. 2015, 13, 3803–3818. [Google Scholar] [CrossRef]
- El-Damasy, A.K.; Seo, S.H.; Cho, N.C.; Kang, S.B.; Pae, A.N.; Kim, K.S.; Keum, G. Design, Synthesis, in-Vitro Antiproliferative Activity and Kinase Profile of New Picolinamide Based 2-Amido and Ureido Quinoline Derivatives. Eur. J. Med. Chem. 2015, 101, 754–768. [Google Scholar] [CrossRef]
- Perzyna, A.; Dal Zotto, C.; Durand, J.O.; Granier, M.; Smietana, M.; Melnyk, O.; Stará, I.G.; Starý, I.; Klepetářová, B.; Šaman, D. Reaction of Isocyanate-Functionalised Silicon Wafers with Complex Amino Compounds. Eur. J. Org. Chem. 2007, 2007, 4032–4037. [Google Scholar] [CrossRef]
- Farag, A.K.; Hassan, A.H.E.; Chung, K.S.; Lee, J.H.; Gil, H.S.; Lee, K.T.; Roh, E.J. Diarylurea Derivatives Comprising 2,4-Diarylpyrimidines: Discovery of Novel Potential Anticancer Agents via Combined Failed-Ligands Repurposing and Molecular Hybridization Approaches. Bioorg. Chem. 2020, 103, 104121. [Google Scholar] [CrossRef] [PubMed]
- Wan, P.T.C.; Garnett, M.J.; Roe, S.M.; Lee, S.; Niculescu-Duvaz, D.; Good, V.M.; Project, C.G.; Jones, C.M.; Marshall, C.J.; Springer, C.J.; et al. Mechanism of Activation of the RAF-ERK Signaling Pathway by Oncogenic Mutations of B-RAF. Cell 2004, 116, 855–867. [Google Scholar] [CrossRef] [PubMed]
- Babij, N.R.; McCusker, E.O.; Whiteker, G.T.; Canturk, B.; Choy, N.; Creemer, L.C.; Amicis, C.V.D.; Hewlett, N.M.; Johnson, P.L.; Knobelsdorf, J.A.; et al. NMR Chemical Shifts of Trace Impurities: Industrially Preferred Solvents Used in Process and Green Chemistry. Org. Process Res. Dev. 2016, 20, 661–667. [Google Scholar] [CrossRef]
- Reaction Biology Corporation. Available online: http://www.reactionbiology.com/webapps/site/Kinase_Assay_Protocol.aspx (accessed on 30 November 2022).
- DTP Human Tumor Cell Line Screen Process. Available online: https://dtp.cancer.gov/discovery_development/nci-60/methodology.htm (accessed on 30 November 2022).
- Coutsias, E.A.; Seok, C.; Jacobson, M.P.; Dill, K.A. A Kinematic View of Loop Closure. J. Comput. Chem. 2004, 25, 510–528. [Google Scholar] [CrossRef]
- Lee, J.; Cheng, X.; Swails, J.M.; Yeom, M.S.; Eastman, P.K.; Lemkul, J.A.; Wei, S.; Buckner, J.; Jeong, J.C.; Qi, Y.; et al. CHARMM-GUI Input Generator for NAMD, GROMACS, AMBER, OpenMM, and CHARMM/OpenMM Simulations Using the CHARMM36 Additive Force Field. J. Chem. Theory Comput. 2016, 12, 405–413. [Google Scholar] [CrossRef]
- Salomon-Ferrer, R.; Case, D.A.; Walker, R.C. An Overview of the Amber Biomolecular Simulation Package. Wiley Interdiscip. Rev. Comput. Mol. Sci. 2013, 3, 198–210. [Google Scholar] [CrossRef]
- Tian, C.; Kasavajhala, K.; Belfon, K.A.A.; Raguette, L.; Huang, H.; Migues, A.N.; Bickel, J.; Wang, Y.; Pincay, J.; Wu, Q.; et al. Ff19SB: Amino-Acid-Specific Protein Backbone Parameters Trained against Quantum Mechanics Energy Surfaces in Solution. J. Chem. Theory Comput. 2020, 16, 528–552. [Google Scholar] [CrossRef]
- Wang, J.; Wolf, R.M.; Caldwell, J.W.; Kollman, P.A.; Case, D.A. Development and Testing of a General Amber Force Field. J. Comput. Chem. 2004, 25, 1157–1174. [Google Scholar] [CrossRef]
- Ryckaert, J.-P.; Ciccotti, G.; Berendsen, H.J. Numerical Integration of the Cartesian Equations of Motion of a System with Constraints: Molecular Dynamics of n-Alkanes. J. Comput. Phys. 1977, 23, 327–341. [Google Scholar] [CrossRef]
- Darden, T.; York, D.; Pedersen, L. Particle Mesh Ewald: An N log(N) Method for Ewald Sums in Large Systems. J. Chem. Phys. 1993, 98, 10089–10092. [Google Scholar] [CrossRef]
- Sahakyan, H. Improving virtual screening results with mm/gbsa and mm/pbsa rescoring. J. Comput. Aided Mol. Des. 2021, 35, 731–736. [Google Scholar] [CrossRef] [PubMed]











![]() | ||||||
|---|---|---|---|---|---|---|
| Compound No. | Substitution Position of Quinoline | IC50 (µM) | ||||
| 5- | 6- | Z | R | B-RAFV600E | C-RAF | |
| VII | - | - | - | - | 1.46 b | 0.370 b |
| 14a | OMe | H | H | a | 0.498 ± 0.0358 | 0.151 ± 0.00235 |
| 14b | OMe | H | H | b | 0.355 ± 0.0108 | 0.192 ± 0.0006 |
| 14c | OMe | H | H | c | 0.619 ± 0.00270 | 0.182 ± 0.0152 |
| 15a | OMe | H | F | a | 0.314 ± 0.0229 | 0.161 ± 0.00157 |
| 16a | H | OMe | H | a | 0.193 ± 0.00760 | 0.103 ± 0.00265 |
| 16b | H | OMe | H | b | 0.308 ± 0.0149 | 0.164 ± 0.00605 |
| 17a | OH | H | H | a | 0.137 ± 0.0132 | 0.0950 ± 0.0173 |
| 17b | OH | H | H | b | 0.128 ± 0.00005 | 0.0653 ± 0.0006 |
| 18a | H | OH | H | a | 0.114 ± 0.00495 | 0.0676 ± 0.00510 |
| 18b | H | OH | H | b | 0.227 ± 0.00355 | 0.161 ± 0.0301 |
| GW5074 | - | - | - | - | 0.00599 ± 0.000727 | 0.00723 ±0.000159 |
| IC50 (µM) | |||||
|---|---|---|---|---|---|
| B-RAFV600E | C-RAF | B-RAFV600K | |||
| ATP conc. | 10 µM | 1 µM | 10 µM | 1 µM | 10 µM |
| 17b | 0.128 ± 0.001 b | NT | 0.0653 ± 0.001 b | NT | 0.0616 ± 0.001 |
| 18a | 0.114 ± 0.005 b | 0.0843 ± 0.009 | 0.0676 ± 0.005 b | 0.0293 ± 0.009 | <0.00508 |
| Cancer Type | Cell Lines | GI50 (μM) | ||||
|---|---|---|---|---|---|---|
| 14a | 14b | 14c | 15a | 16a | ||
| Leukemia | CCRF-CEM | 2.10 | 1.62 | 1.97 | 9.71 | 2.15 |
| HL-60(TB) | 1.22 | 1.65 | 1.57 | 6.52 | 5.46 | |
| K-562 | 2.70 | 1.23 | 2.11 | 3.59 | 0.882 | |
| MOLT-4 | 1.45 | 1.24 | 1.23 | 4.10 | 1.63 | |
| RPMI-8226 | 2.78 | 1.93 | 2.24 | 9.30 | 3.14 | |
| SR | 1.85 | NT | 1.87 | 9.83 | 1.31 | |
| Non-Small-Cell Lung (NSCL) Cancer | A549/ATCC | 2.44 | 1.90 | 2.50 | 12.2 | 4.36 |
| EKVX | 2.10 | 1.72 | 4.06 | 14.7 | 4.53 | |
| HOP-62 | 1.56 | 1.76 | 3.67 | 14.5 | 6.36 | |
| HOP-92 | 1.5 | NT | 1.58 | 6.64 | 1.36 | |
| NCI-H226 | 4.63 | 1.94 | 5.53 | 11.1 | 4.60 | |
| NCI-H23 | 1.91 | 1.68 | 2.37 | 15.5 | 5.06 | |
| NCI-H322M | 2.29 | 2.12 | 3.50 | 15.2 | 6.06 | |
| NCI-H460 | 1.71 | 1.76 | 1.47 | 15.9 | 1.88 | |
| NCI-H522 | 1.79 | 1.76 | 1.70 | 16.0 | 4.88 | |
| Colon Cancer | COLO 205 | 1.79 | 1.81 | 1.74 | 17.2 | 5.78 |
| HCC-2998 | 1.99 | 1.71 | 1.59 | 18.8 | 5.25 | |
| HCT-116 | 1.82 | 1.67 | 1.45 | 8.75 | 2.41 | |
| HCT-15 | 1.78 | 1.62 | 1.58 | 13.4 | 1.18 | |
| HT29 | 1.86 | 1.66 | 1.76 | 3.61 | 1.32 | |
| KM12 | 2.13 | 2.49 | 2.20 | 15.4 | 4.05 | |
| SW-620 | 1.73 | 1.75 | 1.45 | 16.9 | 5.89 | |
| CNS Cancer | SF-268 | 1.69 | 1.77 | 2.17 | 11.1 | 5.20 |
| SF-295 | 1.77 | 1.74 | 1.52 | 17.1 | 3.41 | |
| SF-539 | 1.64 | 1.55 | 1.37 | 12.4 | 2.08 | |
| SNB-19 | 1.78 | 1.72 | 1.65 | 17.2 | 6.14 | |
| SNB-75 | 1.60 | 1.52 | 1.20 | 9.09 | 0.684 | |
| U251 | 1.92 | 1.76 | 1.69 | 13.4 | 3.77 | |
| Melanoma | LOX IMVI | 1.74 | 1.68 | 1.45 | 13.8 | 1.55 |
| MALME-3M | 1.65 | 1.72 | 1.44 | 11.7 | 4.62 | |
| M14 | 1.76 | 1.81 | 1.47 | 13.1 | 3.63 | |
| MDA-MB-435 | 1.68 | 1.80 | 1.36 | 15.1 | 5.73 | |
| SK-MEL-2 | 3.52 | 2.15 | 10.7 | 16.1 | 5.98 | |
| SK-MEL-28 | 1.71 | 1.68 | 1.56 | 15.3 | 5.33 | |
| SK-MEL-5 | 1.62 | 1.71 | 1.45 | 15.5 | 5.10 | |
| UACC-257 | 1.98 | 1.86 | 1.51 | 16.3 | 4.35 | |
| UACC-62 | 1.75 | 1.81 | 1.53 | 16.2 | 6.45 | |
| Ovarian Cancer | IGROV1 | 2.25 | 1.81 | 3.09 | 14.5 | 6.22 |
| OVCAR-3 | 2.15 | 2.14 | 1.80 | 14.4 | 5.89 | |
| OVCAR-4 | 2.21 | 2.67 | 2.89 | 13.9 | 4.32 | |
| OVCAR-5 | 1.84 | 1.71 | 3.28 | 16.1 | 6.10 | |
| OVCAR-8 | 3.09 | 2.03 | 6.78 | 15.8 | 5.82 | |
| NCI/ADR-RES | 2.28 | 1.72 | 2.28 | NT | NT | |
| SK-OV-3 | 9.22 | 4.33 | 12.6 | 15.7 | 5.99 | |
| Renal Cancer | 786-0 | 1.76 | 1.72 | 1.41 | 12.5 | 5.00 |
| A498 | 2.00 | 13.5 | 11.8 | 16.9 | 7.35 | |
| ACHN | 2.05 | 1.87 | 1.85 | 16.5 | 4.88 | |
| CAKI-1 | 1.81 | 1.72 | 1.46 | 11.5 | 4.90 | |
| RXF 393 | 1.73 | 1.66 | 1.63 | 3.71 | 1.75 | |
| SN12C | 1.71 | 1.63 | 3.62 | 13.4 | 5.49 | |
| TK-10 | 2.15 | 4.91 | 8.67 | 16.4 | 6.52 | |
| UO-31 | 1.64 | 1.74 | 2.33 | 12.6 | 5.68 | |
| Prostate Cancer | PC-3 | 1.70 | 1.54 | 2.14 | 12.0 | 2.90 |
| DU-145 | 1.98 | 2.19 | 2.55 | 12.9 | 5.24 | |
| Breast Cancer | MCF7 | 1.57 | 1.59 | 1.50 | 12.3 | 1.37 |
| MDA-MB-231/ATCC | 1.77 | 1.83 | 1.54 | 12.1 | 1.84 | |
| HS 578T | 1.84 | 2.46 | 1.96 | 14.1 | 4.14 | |
| BT-549 | 7.01 | 2.06 | 5.35 | 10.5 | 5.58 | |
| T-47D | 2.28 | 5.43 | 2.11 | 14.8 | 4.12 | |
| MDA-MB-468 | 1.92 | 1.56 | 1.60 | 4.79 | 1.56 | |
| Cancer Type | Cell Lines | GI50 (μM) | ||||
|---|---|---|---|---|---|---|
| 17a | 17b | 18a | 18b | Sorafenib c | ||
| Leukemia | CCRF-CEM | 2.91 | 2.07 | 3.48 | 4.94 | 2.2 |
| HL-60(TB) | 2.47 | 2.35 | 2.58 | 11.9 | 1.6 | |
| K-562 | 2.42 | 2.18 | 1.88 | 1.18 | 2.8 | |
| MOLT-4 | 1.86 | 2.11 | 3.52 | 2.05 | 2.9 | |
| RPMI-8226 | 2.92 | 2.89 | 2.65 | 11.4 | 1.5 | |
| SR | 4.39 | NT | 2.68 | 1.89 | 3.1 | |
| Non-Small-Cell Lung (NSCL) Cancer | A549/ATCC | 4.50 | 3.63 | 8.70 | 16.2 | 2.9 |
| EKVX | 3.75 | 1.82 | 14.2 | 16.0 | 2.5 | |
| HOP-62 | 3.00 | 2.03 | 12.1 | 17.8 | 1.9 | |
| HOP-92 | 1.32 | 1.64 | 3.39 | 10.4 | 1.6 | |
| NCI-H226 | 19.2 | 16.7 | 16.0 | 13.8 | 1.9 | |
| NCI-H23 | 2.26 | 1.78 | 13.9 | 16.8 | 1.8 | |
| NCI-H322M | 3.23 | 3.27 | 11.0 | 16.2 | 2.8 | |
| NCI-H460 | 2.19 | 1.81 | 3.84 | 18.0 | 2.3 | |
| NCI-H522 | 1.93 | 1.84 | 4.82 | 17.0 | 2.1 | |
| Colon Cancer | COLO 205 | 1.99 | 1.83 | 10.2 | 18.5 | 2.2 |
| HCC-2998 | 1.89 | 1.80 | 2.39 | 16.5 | 3.0 | |
| HCT-116 | 2.70 | 1.62 | 3.93 | 6.51 | 1.7 | |
| HCT-15 | 1.82 | 1.93 | 2.09 | 16.4 | 2.5 | |
| HT29 | 2.06 | 1.92 | 3.37 | 13.3 | 2.2 | |
| KM12 | 2.30 | 1.98 | 3.16 | 14.1 | 1.6 | |
| SW-620 | 2.24 | 1.95 | 2.30 | 14.5 | 2.8 | |
| CNS Cancer | SF-268 | 3.81 | 2.14 | 10.4 | 17.3 | 2.5 |
| SF-295 | 1.65 | 1.67 | 2.33 | 17.3 | 1.6 | |
| SF-539 | 1.67 | 1.70 | 1.98 | 11.3 | 1.6 | |
| SNB-19 | 2.39 | 2.03 | 13.8 | 17.0 | 3.4 | |
| SNB-75 | 1.85 | 1.32 | 0.656 | 1.17 | 3.0 | |
| U251 | 2.38 | 2.07 | 2.17 | 14.8 | 2.1 | |
| Melanoma | LOX IMVI | 1.65 | 1.63 | 1.73 | 12.1 | 1.6 |
| MALME-3M | 1.67 | 1.70 | 1.59 | 12.6 | 2.2 | |
| M14 | 2.21 | 1.89 | 9.06 | 12.7 | 2.2 | |
| MDA-MB-435 | 1.78 | 1.78 | 8.53 | 10.4 | 1.8 | |
| SK-MEL-2 | 1.92 | 1.81 | 13.5 | 17.2 | 1.8 | |
| SK-MEL-28 | 1.77 | 1.82 | 1.79 | 13.9 | 2.6 | |
| SK-MEL-5 | 1.68 | 1.72 | 2.35 | 16.1 | 1.5 | |
| UACC-257 | 1.92 | 1.60 | 7.35 | 14.7 | 2.2 | |
| UACC-62 | 1.73 | 1.69 | 15.4 | 15.9 | 1.7 | |
| Ovarian Cancer | IGROV1 | 4.70 | 2.56 | 16.6 | 17.2 | 2.6 |
| OVCAR-3 | 3.10 | 1.97 | 11.2 | 16.3 | 2.9 | |
| OVCAR-4 | 7.39 | 3.83 | 11.2 | 15.0 | 3.5 | |
| OVCAR-5 | 3.24 | 11.4 | 14.2 | 15.3 | 2.9 | |
| OVCAR-8 | 3.56 | 2.51 | 13.2 | 18.9 | 3.0 | |
| NCI/ADR-RES | 3.45 | 6.43 | NT | NT | 2.5 | |
| SK-OV-3 | 14.4 | 11.1 | 16.5 | 17.6 | 2.3 | |
| Renal Cancer | 786-0 | 2.11 | 2.06 | 3.13 | 16.0 | 3.4 |
| A498 | 17.5 | 15.3 | 22.5 | 17.6 | 2.3 | |
| ACHN | 2.07 | 1.92 | 7.59 | 19.7 | 2.8 | |
| CAKI-1 | 2.13 | 1.79 | 11.9 | 14.1 | 2.9 | |
| RXF 393 | 1.66 | 1.85 | 3.55 | 12.5 | 3.4 | |
| SN12C | 2.34 | 1.83 | 14.1 | 17.3 | 2.4 | |
| TK-10 | 3.36 | 2.80 | 21.4 | 18.5 | 4.4 | |
| UO-31 | 1.99 | 2.04 | 13.4 | 15.2 | 2.6 | |
| Prostate Cancer | PC-3 | 2.53 | 1.87 | 4.68 | 13.1 | 2.0 |
| DU-145 | 4.68 | 3.27 | 10.5 | 16.9 | 3.3 | |
| Breast Cancer | MCF7 | 1.74 | 1.68 | 2.46 | 9.83 | 2.8 |
| MDA-MB-231/ATCC | 1.62 | 1.65 | 2.54 | 13.9 | 1.3 | |
| HS 578T | 2.96 | 1.93 | 4.17 | 14.8 | 2.6 | |
| BT-549 | 15.6 | 1.80 | 12.2 | NT | 3.3 | |
| T-47D | 10.7 | 3.46 | 14.6 | 15.8 | 1.8 | |
| MDA-MB-468 | 1.62 | 1.66 | 2.23 | 8.88 | 2.0 | |
| Compound No. | MMGBSA (kcal/mol) | |
|---|---|---|
| B-RAFV600E | C-RAF | |
| 17b | −33.85 ± 12.05 | −70.64 ± 6.96 |
| 18a | −58.02 ± 9.42 | −75.35 ± 6.88 |
Disclaimer/Publisher’s Note: The statements, opinions and data contained in all publications are solely those of the individual author(s) and contributor(s) and not of MDPI and/or the editor(s). MDPI and/or the editor(s) disclaim responsibility for any injury to people or property resulting from any ideas, methods, instructions or products referred to in the content. |
© 2023 by the authors. Licensee MDPI, Basel, Switzerland. This article is an open access article distributed under the terms and conditions of the Creative Commons Attribution (CC BY) license (https://creativecommons.org/licenses/by/4.0/).
Share and Cite
Kim, H.J.; Park, J.W.; Seo, S.; Cho, K.-H.; Alanazi, M.M.; Bang, E.-K.; Keum, G.; El-Damasy, A.K. Discovery of New Quinoline-Based Diarylamides as Potent B-RAFV600E/C-RAF Kinase Inhibitors Endowed with Promising In Vitro Anticancer Activity. Int. J. Mol. Sci. 2023, 24, 3216. https://doi.org/10.3390/ijms24043216
Kim HJ, Park JW, Seo S, Cho K-H, Alanazi MM, Bang E-K, Keum G, El-Damasy AK. Discovery of New Quinoline-Based Diarylamides as Potent B-RAFV600E/C-RAF Kinase Inhibitors Endowed with Promising In Vitro Anticancer Activity. International Journal of Molecular Sciences. 2023; 24(4):3216. https://doi.org/10.3390/ijms24043216
Chicago/Turabian StyleKim, Hyun Ji, Jung Woo Park, Sangjae Seo, Kwang-Hwi Cho, Mohammed M. Alanazi, Eun-Kyoung Bang, Gyochang Keum, and Ashraf K. El-Damasy. 2023. "Discovery of New Quinoline-Based Diarylamides as Potent B-RAFV600E/C-RAF Kinase Inhibitors Endowed with Promising In Vitro Anticancer Activity" International Journal of Molecular Sciences 24, no. 4: 3216. https://doi.org/10.3390/ijms24043216
APA StyleKim, H. J., Park, J. W., Seo, S., Cho, K.-H., Alanazi, M. M., Bang, E.-K., Keum, G., & El-Damasy, A. K. (2023). Discovery of New Quinoline-Based Diarylamides as Potent B-RAFV600E/C-RAF Kinase Inhibitors Endowed with Promising In Vitro Anticancer Activity. International Journal of Molecular Sciences, 24(4), 3216. https://doi.org/10.3390/ijms24043216


