Distinct Mechanistic Behaviour of Tomato CYP74C3 and Maize CYP74A19 Allene Oxide Synthases: Insights from Trapping Experiments and Allene Oxide Isolation
Abstract
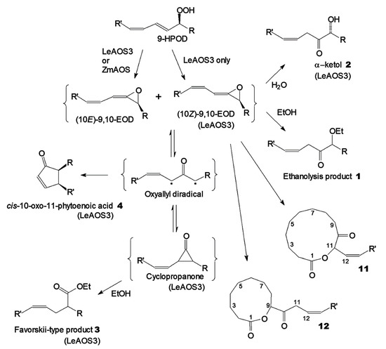
1. Introduction
2. Results
2.1. Ethanol Trapping Experiments with 9-HPOD. Major Products
2.2. Ethanol Trapping Experiments with 13-HPOT. Major Products
2.3. Allene Oxide Isolation and NMR Study
2.4. The Relative Yields of Separate Products
2.5. Allene Oxide Conversions in Aprotic Solvent
3. Discussion
3.1. General Aspects of Product Specificities of LeAOS3 and ZmAOS
3.2. Favorskii-Type Product Formation
3.3. Cyclopentenone Formation
3.4. Concluding Remarks
4. Materials and Methods
4.1. Materials
4.2. Expression and Purification of Recombinant Enzyme
4.3. Ethanol Trapping Experiments with 9-HPOD, 13-HPOT or 13-HPOD
4.4. Allene Oxide Isolation
4.5. Separation and Purification of Products
4.6. The Allene Oxide Conversions in an Aprotic Solvent
4.7. Methods of Spectral Analyses
Supplementary Materials
Author Contributions
Funding
Institutional Review Board Statement
Informed Consent Statement
Data Availability Statement
Conflicts of Interest
References
- Grechkin, A. Recent developments in biochemistry of the plant lipoxygenase pathway. Prog. Lipid. Res. 1998, 37, 317–352. [Google Scholar] [CrossRef] [PubMed]
- Brash, A.R. Mechanistic aspects of CYP74 allene oxide synthases and related cytochrome P450 enzymes. Phytochemistry 2009, 70, 1522–1531. [Google Scholar] [CrossRef] [PubMed]
- Creelman, R.A.; Mullet, J.E. Biosynthesis and action of jasmonates in plants. Annu. Rev. Plant Biol. 1997, 48, 355–381. [Google Scholar] [CrossRef] [PubMed]
- Wasternack, C. Jasmonates: An update on biosynthesis, signal transduction and action in plant stress response, growth and development. Ann. Bot. 2007, 100, 681–697. [Google Scholar] [CrossRef] [PubMed]
- Lee, D.S.; Nioche, P.; Hamberg, M.; Raman, C.S. Structural insights into the evolutionary paths of oxylipin biosynthetic enzymes. Nature 2008, 455, 363–368. [Google Scholar] [CrossRef]
- Oliw, E.H. Fatty acid dioxygenase-cytochrome P450 fusion enzymes of filamentous fungal pathogens. Fungal Genet. Biol. 2021, 157, 103623. [Google Scholar] [CrossRef]
- Chan, T.H.; Ong, B.S. Chemistry of allene oxides. Tetrahedron 1980, 36, 2269–2289. [Google Scholar] [CrossRef]
- Brash, A.R.; Baertschi, S.W.; Ingram, C.D.; Harris, T.M. Isolation and characterization of natural allene oxides: Unstable intermediates in the metabolism of lipid hydroperoxides. Proc. Natl. Acad. Sci. USA 1988, 85, 3382–3386. [Google Scholar] [CrossRef]
- Medvedeva, N.V.; Latypov, S.K.; Balandina, A.A.; Mukhtarova, L.S.; Grechkin, A.N. Geometrical configuration of 12,13-epoxyoctadeca-9,11-dienoic acid, a product of the reaction catalyzed by flaxseed allene oxide synthase (CYP74A). Russ. J. Bioorg. Chem. 2005, 31, 595–596. [Google Scholar] [CrossRef]
- Brash, A.R.; Boeglin, W.E.; Stec, D.F.; Voehler, M.; Schneider, C.; Cha, J.K. Isolation and characterization of two geometric allene oxide isomers synthesized from 9S-hydroperoxylinoleic acid by cytochrome P450 CYP74C3: Stereochemical assignment of natural fatty acid allene oxides. J. Biol. Chem. 2013, 288, 20797–20806. [Google Scholar] [CrossRef]
- Hamberg, M. Mechanism of corn hydroperoxide isomerase: Detection of 12,13(S)-oxido-9(Z),11-octadecadienoic acid. Biochim. Biophys. Acta 1987, 920, 76–84. [Google Scholar] [CrossRef]
- Grechkin, A.N.; Kuramshin, R.A.; Safonova, E.Y.; Latypov, S.K.; Ilyasov, A.V. Formation of ketols from linolenic acid 13-hydroperoxide via allene oxide. Evidence for two distinct mechanisms of allene oxide hydrolysis. Biochim. Biophys. Acta 1991, 1086, 317–325. [Google Scholar] [CrossRef] [PubMed]
- Baertschi, S.W.; Ingram, C.D.; Harris, T.M.; Brash, A.R. Absolute configuration of cis-12-oxophytodienoic acid of flaxseed: Implications for the mechanism of biosynthesis from the 13(S)-hydroperoxide of linolenic acid. Biochemistry 1988, 27, 18–24. [Google Scholar] [CrossRef] [PubMed]
- Hamberg, M. Biosynthesis of 12-oxo-10, 15 (Z)-phytodienoic acid: Identification of an allene oxide cyclase. Biochem. Biophys. Res. Commun. 1988, 156, 543–550. [Google Scholar] [CrossRef] [PubMed]
- Grechkin, A.N.; Chechetkin, I.R.; Mukhtarova, L.S.; Hamberg, M. Role of structure and pH in cyclization of allene oxide fatty acids: Implications for the reaction mechanism. Chem. Phys. Lipids 2002, 120, 87–99. [Google Scholar] [CrossRef] [PubMed]
- Hamberg, M. New cyclopentenone fatty acids formed from linoleic and linolenic acids in potato. Lipids 2000, 35, 353–363. [Google Scholar] [CrossRef]
- Itoh, A.; Schilmiller, A.L.; McCaig, B.C.; Howe, G.A. Identification of a jasmonate-regulated allene oxide synthase that metabolizes 9-hydroperoxides of linoleic and linolenic acids. J. Biol. Chem. 2002, 277, 46051–46058. [Google Scholar] [CrossRef]
- Grechkin, A.N.; Mukhtarova, L.S.; Latypova, L.R.; Gogolev, Y.; Toporkova, Y.Y.; Hamberg, M. Tomato CYP74C3 is a multifunctional enzyme not only synthesizing allene oxide but also catalyzing its hydrolysis and cyclization. ChemBioChem 2008, 9, 2498–2505. [Google Scholar] [CrossRef]
- Vick, B.A.; Feng, P.; Zimmerman, D.C. Formation of 12-[18O]oxo-cis-10,cis-15-phytodienoic acid from 13-[18O]hydroperoxylinolenic acid by hydroperoxide cyclase. Lipids 1980, 15, 468–471. [Google Scholar] [CrossRef]
- Grechkin, A.N. Cyclization of natural allene oxide fatty acids. The anchimeric assistance of β, γ-double bond beside the oxirane and the reaction mechanism. Biochim. Biophys. Acta 1994, 1213, 199–206. [Google Scholar] [CrossRef]
- Grechkin, A.N.; Lantsova, N.V.; Toporkova, Y.Y.; Gorina, S.S.; Mukhitova, F.K.; Khairutdinov, B.I. Novel allene oxide synthase products formed via Favorskii-type rearrangement: Mechanistic implications for 12-oxo-10,15-phytodienoic acid biosynthesis. ChemBioChem 2011, 12, 2511–2517. [Google Scholar] [CrossRef] [PubMed]
- Hamberg, M. Fatty acid allene oxides II. Formation of two macrolactones from 12,13(S)-epoxy-9(Z),11-octadecadienoic acid. Chem. Phys. Lipids 1988, 46, 235–243. [Google Scholar] [CrossRef] [PubMed]
- Brash, A.R. Formation of an allene oxide from (8R)-8-hydroperoxyeicosatetraenoic acid in the coral Plexaura homomalla. J. Am. Chem. Soc. 1989, 111, 1891–1892. [Google Scholar] [CrossRef]
- Villar, P.; Grechkin, A.N.; González-Pérez, A.B.; de Lera, Á.R. On the rearrangements of biologically-relevant vinyl allene oxides to cis-cyclopentenones, ketols, and Favorskii-type carboxylic acids. Org. Biomol. Chem. 2021, 19, 9460–9469. [Google Scholar] [CrossRef] [PubMed]
- Corey, E.J.; d’Alarcao, M.; Matsuda, S.P.T.; Lansbury, R.T. Intermediacy of 8-(R)-HPETE in the conversion of arachidonic acid to preclavulone A by Clavularia viridis. Implications for the biosynthesis of marine prostanoids. J. Am. Chem. Soc. 1987, 109, 289–290. [Google Scholar] [CrossRef]
- Corey, E.J.; Lansbury, P.T. Identification of a eicosanoid from in vitro biosynthetic experiments with Clavularia viridis. Implication for the biosynthesis of clavulones. Tetrahedron Lett. 1985, 26, 4771–4774. [Google Scholar] [CrossRef]
- López, C.S.; Faza, O.N.; York, D.M.; De Lera, A.R. Theoretical study of the vinyl allene oxide to cyclopent-2-en-1-one rearrangement: Mechanism, torquoselectivity and solvent effects. J. Org. Chem. 2004, 69, 3635–3644. [Google Scholar] [CrossRef]
- Davis, R.; Tantillo, D.J. Theoretical studies on pentadienyl cation electrocyclizations. Curr. Org. Chem. 2010, 14, 1561–1577. [Google Scholar] [CrossRef]
- González-Pérez, A.B.; Grechkin, A.; de Lera, A.R. A unifying mechanism for the rearrangement of vinyl allene oxide geometric isomers to cyclopentenones. Org. Biomol. Chem. 2014, 12, 7694–7701. [Google Scholar] [CrossRef]
- Hebert, S.P.; Cha, J.K.; Brash, A.R.; Schlegel, H.B. Investigation into 9 (S)-HPODE-derived allene oxide to cyclopentenone cyclization mechanism via diradical oxyallyl intermediates. Org. Biomol. Chem. 2016, 14, 3544–3557. [Google Scholar] [CrossRef]
- González-Pérez, A.B.; Grechkin, A.; de Lera, Á.R. Rearrangement of vinyl allene oxide geometric isomers to cyclopentenones. Further computational insights with biologically relevant model systems. Org. Biomol. Chem. 2017, 15, 2846–2855. [Google Scholar] [CrossRef] [PubMed]
- Toporkova, Y.Y.; Gorina, S.S.; Bessolitsyna, E.K.; Smirnova, E.O.; Fatykhova, V.S.; Brühlmann, F.; Ilyina, T.M.; Mukhtarova, L.S.; Grechkin, A.N. Double function hydroperoxide lyases/epoxyalcohol synthases (CYP74C) of higher plants: Identification and conversion into allene oxide synthases by site-directed mutagenesis. Biochim. Biophys. Acta Mol. Cell Biol. Lipids 2018, 1863, 369–378. [Google Scholar] [CrossRef] [PubMed]
- Schenkman, J.B.; Jansson, I. Spectral analyses of cytochromes P450. In Cytochrome P450 Protocols; Humana Press: Totowa, NJ, USA, 2006; Volume 320, pp. 11–18. [Google Scholar]







| Position Number | 13C Chemical Shifts (ppm); Functional Group | 1H Chemical Shifts (ppm), Multiplicity, Coupling Constant (Hz) | 2D NMR Correlations | |||
|---|---|---|---|---|---|---|
| COSY | TOCSY | HMBC | NOESY | |||
| 1 | 172.73, COOMe | |||||
| 2 | 34.21, CH2 | 2.19, t, 7.4 (H3) | H3 | H3, H4 | C1, C3, C4 | H3 |
| 3 | 25.65, CH2 | 1.59, m | H2, H4 | H2 | C1, C2, C4 | H2 |
| 4 | 30.17, CH2 | 1.31, m | H3 | C3 | ||
| 5 | 23.0–31.0, CH2 | 1.20–1.35, m | ||||
| 6 | 23.0–31.0, CH2 | 1.20–1.35, m | H7 | H9 | ||
| 7 | 26.46, CH2 | 1.43, m | H6, H8 | H9 | C8 | H9 |
| 8a | 32.43, CH2 | 1.66, m | H7, H8b, H9 | H7, H8b, H9, H11 | C7, C9, C10 | H8b, H9 |
| 8b | 1.76, m | H7, H8a, H9 | H7, H8a, H9 | C7, C9, C10 | H8a, H9 | |
| 9 | 60.01, CH | 3.46, dd, 5.5 (H8a), 4.5 (H8b) | H8a, H8b | H6, H7, H8a, H8b | C8, C10 | H7, H8a, H8b, H11, H12 |
| 10 | 144.00, C | |||||
| 11 | 86.39, CH | 5.66, d 11.6 (H12) | H12 | H8a, H12, H13, H14, H15 | C9, C10, C12, C13 | H9, H12, H14, H15 |
| 12 | 123.89, CH | 5.87, dd (t-like), 11.6 (H11), 10.4 (H13) | H11, H13, H14 | H11, H13, H14 | C10, C11, C14 | H9, H11, H13, |
| 13 | 126.96, CH | 5.14, dt, 10.4 (H12), 7.5 (H14) | H12, H14 | H11, H12, H14, H15, H16, H18 | C11, C14 | H12, H14, H15 |
| 14 | 28.39, CH2 | 2.12, dt, 7.4 (H13), 7.4 (H15) | H12, H13, H15 | H11, H12, H13, H15, H16, H18 | C8?, C12, C13, C15 | H11, H13, H15 |
| 15 | 30.64, CH2 | 1.39, m | H14 | H11, H13 | H14 | |
| 16 | 30.49, CH2 | 1.20–1.35, m | H13 | |||
| 17 | 23.74, CH2 | 1.32, m | H18 | |||
| 18 | 14.67, CH3 | 0.89, t, 7.0 (H17) | H17 | H11, H12, H13, H14 | C16, C17 | |
| (1) | 50.98, COOMe | 3.52, s | COOMe, C2, C3 | |||
| Position Number | 1H Chemical Shifts (ppm), Multiplicity, Coupling Constant (Hz) | 2D NMR Correlations | |
|---|---|---|---|
| COSY | TOCSY | ||
| 11 | 5.49, d 11.3 (H12) | H12 | H12, H13 |
| 12 | 6.11, dd (t-like), 11.3 (H11), 10.9 (H13) | H11 | H11, H14 |
| 13 | 5.23, dt, 10.9 (H12), 7.5 (H14) | H11, H14 | |
| Enzyme | Substrate | Trapping Product | α–Ketol | Favorskii-Type Product | Cyclopentenone |
|---|---|---|---|---|---|
| LeAOS3 | 9HPOD | qqqqqqййййй | qqqqqqййййй | ||
| ZmAOS | 9HPOD | qqqqqqййййй | |||
| LeAOS3 | 13HPOT | qqqqqqййййй | qqqqqqййййй | ||
| ZmAOS | 13HPOT | qqqqqqййййй | |||
| LeAOS3 | 13HPOD | qqqqqqййййй | qqqqqqййййй | ||
| ZmAOS | 13HPOD | qqqqqqййййй |
Disclaimer/Publisher’s Note: The statements, opinions and data contained in all publications are solely those of the individual author(s) and contributor(s) and not of MDPI and/or the editor(s). MDPI and/or the editor(s) disclaim responsibility for any injury to people or property resulting from any ideas, methods, instructions or products referred to in the content. |
© 2023 by the authors. Licensee MDPI, Basel, Switzerland. This article is an open access article distributed under the terms and conditions of the Creative Commons Attribution (CC BY) license (https://creativecommons.org/licenses/by/4.0/).
Share and Cite
Grechkin, A.N.; Lantsova, N.V.; Mukhtarova, L.S.; Khairutdinov, B.I.; Gorina, S.S.; Iljina, T.M.; Toporkova, Y.Y. Distinct Mechanistic Behaviour of Tomato CYP74C3 and Maize CYP74A19 Allene Oxide Synthases: Insights from Trapping Experiments and Allene Oxide Isolation. Int. J. Mol. Sci. 2023, 24, 2230. https://doi.org/10.3390/ijms24032230
Grechkin AN, Lantsova NV, Mukhtarova LS, Khairutdinov BI, Gorina SS, Iljina TM, Toporkova YY. Distinct Mechanistic Behaviour of Tomato CYP74C3 and Maize CYP74A19 Allene Oxide Synthases: Insights from Trapping Experiments and Allene Oxide Isolation. International Journal of Molecular Sciences. 2023; 24(3):2230. https://doi.org/10.3390/ijms24032230
Chicago/Turabian StyleGrechkin, Alexander N., Natalia V. Lantsova, Lucia S. Mukhtarova, Bulat I. Khairutdinov, Svetlana S. Gorina, Tatiana M. Iljina, and Yana Y. Toporkova. 2023. "Distinct Mechanistic Behaviour of Tomato CYP74C3 and Maize CYP74A19 Allene Oxide Synthases: Insights from Trapping Experiments and Allene Oxide Isolation" International Journal of Molecular Sciences 24, no. 3: 2230. https://doi.org/10.3390/ijms24032230
APA StyleGrechkin, A. N., Lantsova, N. V., Mukhtarova, L. S., Khairutdinov, B. I., Gorina, S. S., Iljina, T. M., & Toporkova, Y. Y. (2023). Distinct Mechanistic Behaviour of Tomato CYP74C3 and Maize CYP74A19 Allene Oxide Synthases: Insights from Trapping Experiments and Allene Oxide Isolation. International Journal of Molecular Sciences, 24(3), 2230. https://doi.org/10.3390/ijms24032230

