SOMAscan Proteomics Identifies Novel Plasma Proteins in Amyotrophic Lateral Sclerosis Patients
Abstract
1. Introduction
2. Results
2.1. Patients Cohort Features
2.2. SOMAscan Proteomics Results
2.3. System Biology Analysis of Pathway Dysregulated in ALS Patients
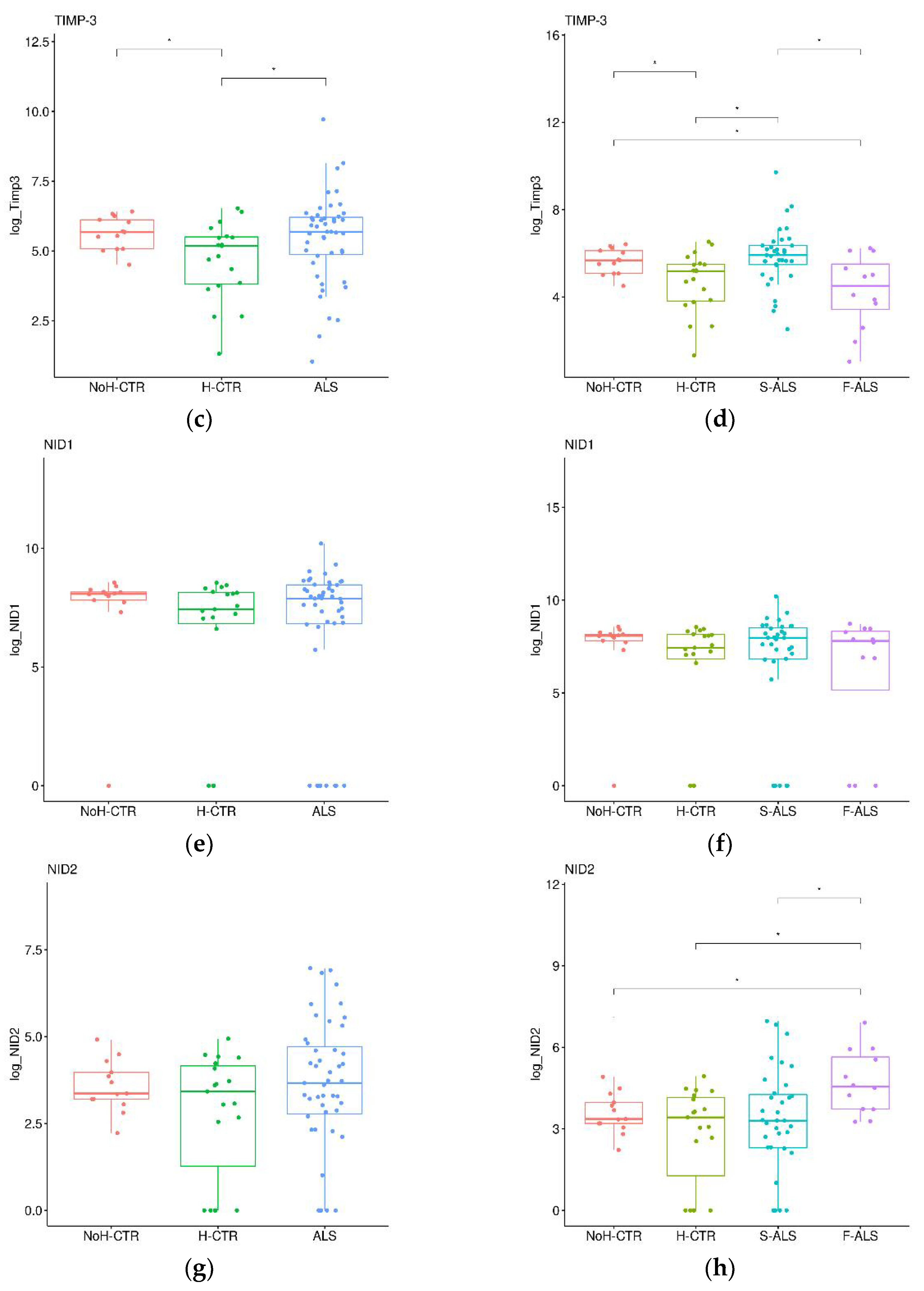
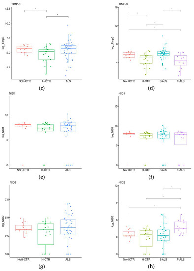
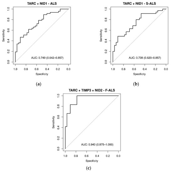
2.4. Validation of TARC, TIMP 3, NID1 and NID2 Using ELISA
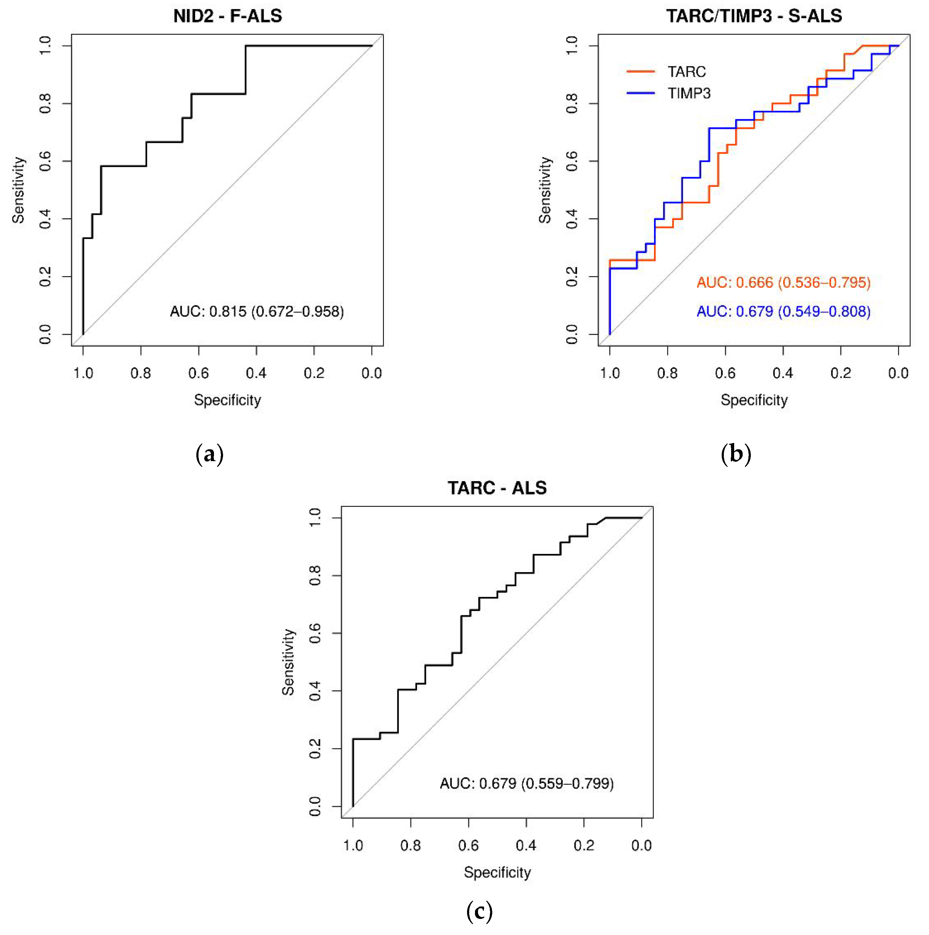
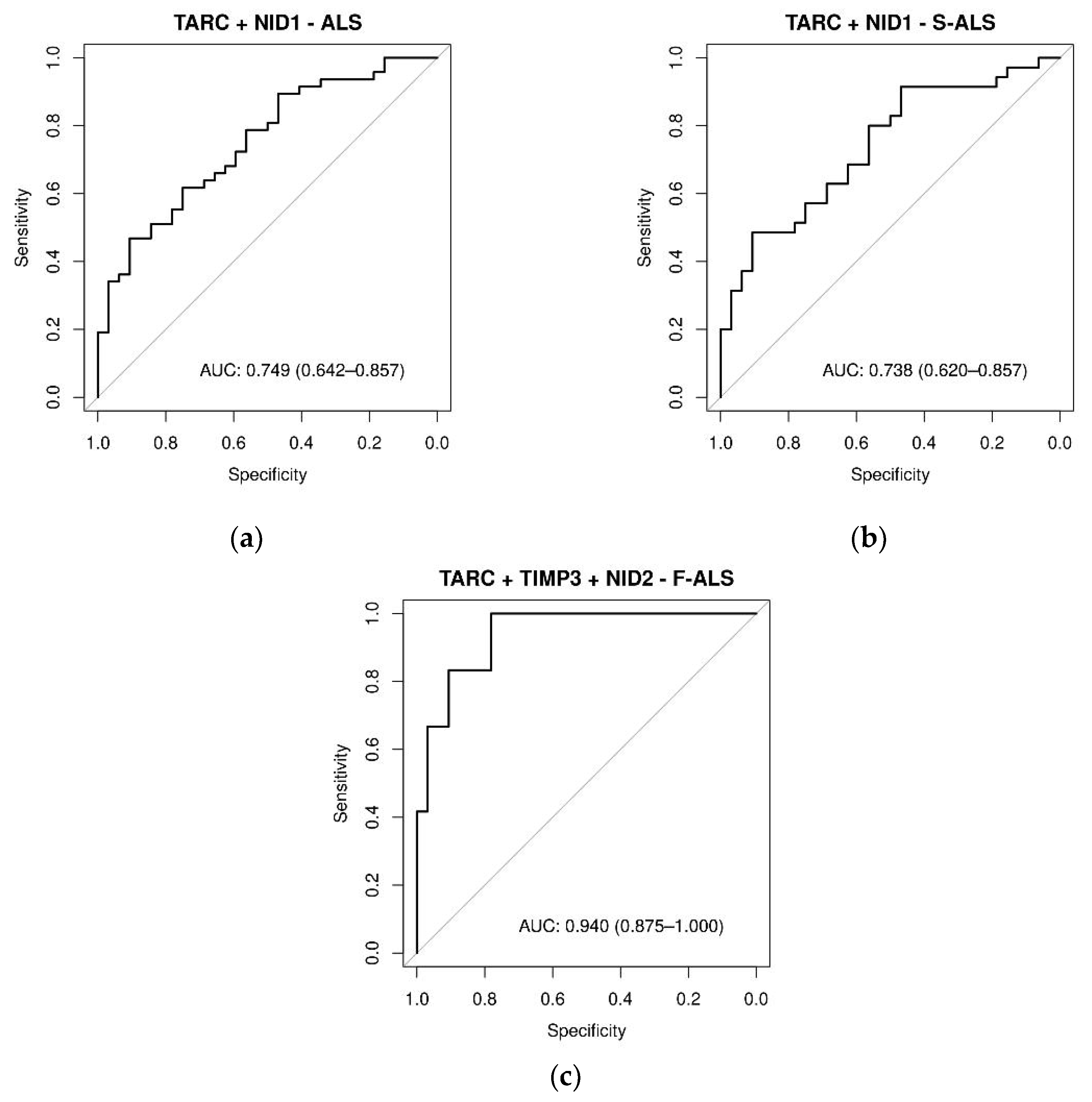
2.5. Different Expression Patterns of Plasma Proteins in F-ALS and S-ALS Patients
3. Discussion
4. Materials and Methods
4.1. Patient Cohorts
4.2. Sample Collection and Plasma Extraction
4.3. SOMAscan Assay
4.4. SOMAscan Data Analysis
4.5. System Biology Analysis
4.6. Enzyme-Linked Immunosorbent Assay
4.7. Statistical Analysis
5. Conclusions
Supplementary Materials
Author Contributions
Funding
Institutional Review Board Statement
Informed Consent Statement
Data Availability Statement
Acknowledgments
Conflicts of Interest
Abbreviations
| AD | Alzheimer’s disease | 
| ADAMs | A disintegrin and metalloproteinases | 
| ADAMTSs | ADAM with thrombospondin motifs | 
| ALS | Amyotrophic lateral sclerosis | 
| ALSbi | ALS with behavioral impairment | 
| ALSFRS-R | ALS functional rating scale revised | 
| ALSci | ALS with cognitive impairment | 
| AUC | Area under concentration curve | 
| BM | Basement membrane | 
| BP | Biological processes | 
| C9orf72 | Chromosome 9 open reading frame 72 | 
| CC | Cellular components | 
| CCL | C-C motif chemokine ligand | 
| CNS | Central nervous system | 
| COPD | Chronic obstructive pulmonary disease | 
| CSF | Cerebrospinal fluid | 
| CTR | Control group | 
| DNP | Data not provided | 
| DNT | Data not tested | 
| ECM | Extracellular matrix | 
| ELISA | Enzyme-linked immunosorbent assay | 
| F-ALS | Familial amyotrophic lateral sclerosis | 
| fdr | False discovery rate | 
| FTD | Frontotemporal dementia | 
| GO | Gene ontology | 
| HC | Hierarchical clustering | 
| H-CTR | Neurologically healthy controls | 
| limma | Linear models for microarray analysis | 
| MF | Molecular functions | 
| MMP | Matrix metalloproteinase | 
| MNDs | Motor neuron diseases | 
| ND | Neurodegenerative disease | 
| NID1 | Nidogen 1 | 
| NID2 | Nidogen 2 | 
| NoH-CTR | No neurologically healthy controls | 
| PR | Progression rate | 
| ROC | Receiver operating characteristic | 
| S-ALS | Sporadic amyotrophic lateral sclerosis | 
| SAM | Significance analysis of microarrays | 
| SC | Sample collection | 
| SD | Standard deviation | 
| RFU | Relative fluorescence units | 
| SOD1 | Superoxide dismutase 1 | 
| SOMAmer | Slow off-rate modified aptamer | 
| TARC | Thymus- and activation-regulated chemokine | 
| TARDBP | TAR DNA-binding protein | 
| TIMP-3 | Metalloproteinase inhibitor 3 | 
References
- Rothstein, J.D.; Martin, L.J.; Kuncl, R.W. Decreased Glutamate Transport by the Brain and Spinal Cord in Amyotrophic Lateral Sclerosis. N. Engl. J. Med. 1992, 326, 1464–1468. [Google Scholar] [CrossRef]
- Mehta, P.; Horton, D.K.; Kasarskis, E.J.; Tessaro, E.; Eisenberg, M.S.; Laird, S.; Iskander, J. CDC Grand Rounds: National Amyotrophic Lateral Sclerosis (ALS) Registry Impact, Challenges, and Future Directions. MMWR Morb. Mortal Wkly. Rep. 2017, 66, 1379–1382. [Google Scholar] [CrossRef]
- Su, W.-M.; Cheng, Y.-F.; Jiang, Z.; Duan, Q.-Q.; Yang, T.-M.; Shang, H.-F.; Chen, Y.-P. Predictors of Survival in Patients with Amyotrophic Lateral Sclerosis: A Large Meta-Analysis. EBioMedicine 2021, 74, 103732. [Google Scholar] [CrossRef]
- Alsultan, A.A.; Waller, R.; Heath, P.R.; Kirby, J. The Genetics of Amyotrophic Lateral Sclerosis: Current Insights. Degener. Neurol. Neuromuscul. Dis. 2016, 6, 49–64. [Google Scholar] [CrossRef]
- Siddique, T.; Ajroud-Driss, S. Familial Amyotrophic Lateral Sclerosis, a Historical Perspective. Acta Myol. 2011, 30, 117–120. [Google Scholar]
- Ghasemi, M. Amyotrophic Lateral Sclerosis Mimic Syndromes. Iran. J. Neurol. 2016, 15, 85–91. [Google Scholar]
- Bereman, M.S.; Beri, J.; Enders, J.R.; Nash, T. Machine Learning Reveals Protein Signatures in CSF and Plasma Fluids of Clinical Value for ALS. Sci. Rep. 2018, 8, 16334. [Google Scholar] [CrossRef]
- Conraux, L.; Pech, C.; Guerraoui, H.; Loyaux, D.; Ferrara, P.; Guillemot, J.-C.; Meininger, V.; Pradat, P.-F.; Salachas, F.; Bruneteau, G.; et al. Plasma Peptide Biomarker Discovery for Amyotrophic Lateral Sclerosis by MALDI-TOF Mass Spectrometry Profiling. PLoS ONE 2013, 8, e79733. [Google Scholar] [CrossRef]
- Palma, A.S.; de Carvalho, M.; Grammel, N.; Pinto, S.; Barata, N.; Conradt, H.S.; Costa, J. Proteomic Analysis of Plasma from Portuguese Patients with Familial Amyotrophic Lateral Sclerosis. Amyotroph. Lateral Scler. 2008, 9, 339–349. [Google Scholar] [CrossRef]
- Zubiri, I.; Lombardi, V.; Bremang, M.; Mitra, V.; Nardo, G.; Adiutori, R.; Lu, C.-H.; Leoni, E.; Yip, P.; Yildiz, O.; et al. Tissue-Enhanced Plasma Proteomic Analysis for Disease Stratification in Amyotrophic Lateral Sclerosis. Mol. Neurodegener. 2018, 13, 60. [Google Scholar] [CrossRef]
- Brancia, C.; Noli, B.; Boido, M.; Boi, A.; Puddu, R.; Borghero, G.; Marrosu, F.; Bongioanni, P.; Orrù, S.; Manconi, B.; et al. VGF Protein and Its C-Terminal Derived Peptides in Amyotrophic Lateral Sclerosis: Human and Animal Model Studies. PLoS ONE 2016, 11, e0164689. [Google Scholar] [CrossRef]
- Philips, T.; Robberecht, W. Neuroinflammation in Amyotrophic Lateral Sclerosis: Role of Glial Activation in Motor Neuron Disease. Lancet Neurol. 2011, 10, 253–263. [Google Scholar] [CrossRef]
- Robelin, L.; Gonzalez De Aguilar, J.L. Blood Biomarkers for Amyotrophic Lateral Sclerosis: Myth or Reality? Biomed. Res. Int. 2014, 2014, 525097. [Google Scholar] [CrossRef]
- Menni, C.; Kiddle, S.J.; Mangino, M.; Viñuela, A.; Psatha, M.; Steves, C.; Sattlecker, M.; Buil, A.; Newhouse, S.; Nelson, S.; et al. Circulating Proteomic Signatures of Chronological Age. J. Gerontol. A Biol. Sci. Med. Sci. 2015, 70, 809–816. [Google Scholar] [CrossRef]
- Tanaka, T.; Biancotto, A.; Moaddel, R.; Moore, A.Z.; Gonzalez-Freire, M.; Aon, M.A.; Candia, J.; Zhang, P.; Cheung, F.; Fantoni, G.; et al. Plasma Proteomic Signature of Age in Healthy Humans. Aging Cell 2018, 17, e12799. [Google Scholar] [CrossRef]
- Sathyan, S.; Ayers, E.; Gao, T.; Weiss, E.F.; Milman, S.; Verghese, J.; Barzilai, N. Plasma Proteomic Profile of Age, Health Span, and All-Cause Mortality in Older Adults. Aging Cell 2020, 19, e13250. [Google Scholar] [CrossRef]
- Fong, T.G.; Chan, N.Y.; Dillon, S.T.; Zhou, W.; Tripp, B.; Ngo, L.H.; Otu, H.H.; Inouye, S.K.; Vasunilashorn, S.M.; Cooper, Z.; et al. Identification of Plasma Proteome Signatures Associated With Surgery Using SOMAscan. Ann. Surg. 2021, 273, 732–742. [Google Scholar] [CrossRef]
- Vasunilashorn, S.M.; Dillon, S.T.; Chan, N.Y.; Fong, T.G.; Joseph, M.; Tripp, B.; Xie, Z.; Ngo, L.H.; Lee, C.G.; Elias, J.A.; et al. Proteome-Wide Analysis Using SOMAscan Identifies and Validates Chitinase-3-Like Protein 1 as a Risk and Disease Marker of Delirium among Older Adults Undergoing Major Elective Surgery. J. Gerontol. A Biol. Sci. Med. Sci. 2022, 77, 484–493. [Google Scholar] [CrossRef]
- Dammer, E.B.; Ping, L.; Duong, D.M.; Modeste, E.S.; Seyfried, N.T.; Lah, J.J.; Levey, A.I.; Johnson, E.C.B. Multi-Platform Proteomic Analysis of Alzheimer’s Disease Cerebrospinal Fluid and Plasma Reveals Network Biomarkers Associated with Proteostasis and the Matrisome. Alzheimers Res. 2022, 14, 174. [Google Scholar] [CrossRef]
- Dillon, S.T.; Otu, H.H.; Ngo, L.H.; Fong, T.G.; Vasunilashorn, S.M.; Xie, Z.; Kunze, L.J.; Vlassakov, K.v.; Abdeen, A.; Lange, J.K.; et al. Patterns and Persistence of Perioperative Plasma and Cerebrospinal Fluid Neuroinflammatory Protein Biomarkers After Elective Orthopedic Surgery Using SOMAscan. Anesth. Analg. 2023, 136, 163–175. [Google Scholar] [CrossRef]
- Candia, J.; Daya, G.N.; Tanaka, T.; Ferrucci, L.; Walker, K.A. Assessment of Variability in the Plasma 7k SomaScan Proteomics Assay. Sci. Rep. 2022, 12, 17147. [Google Scholar] [CrossRef]
- Le Gall, L.; Anakor, E.; Connolly, O.; Vijayakumar, U.G.; Duddy, W.J.; Duguez, S. Molecular and Cellular Mechanisms Affected in ALS. J. Pers. Med. 2020, 10, 101. [Google Scholar] [CrossRef]
- Brooks, B.R.; Miller, R.G.; Swash, M.; Munsat, T.L. El Escorial Revisited: Revised Criteria for the Diagnosis of Amyotrophic Lateral Sclerosis. Amyotroph. Lateral Scler. Other Mot. Neuron Disord. 2000, 1, 293–299. [Google Scholar] [CrossRef]
- Boylan, K. Familial Amyotrophic Lateral Sclerosis. Neurol. Clin. 2015, 33, 807–830. [Google Scholar] [CrossRef]
- Herzog, V.; Kirfel, G.; Siemes, C.; Schmitz, A. Biological Roles of APP in the Epidermis. Eur. J. Cell Biol. 2004, 83, 613–624. [Google Scholar] [CrossRef]
- Kiuchi, Y.; Isobe, Y.; Fukushima, K. Entactin-Induced Inhibition of Human Amyloid β-Protein Fibril Formation in Vitro. Neurosci. Lett. 2001, 305, 119–122. [Google Scholar] [CrossRef]
- Von Hundelshausen, P.; Agten, S.M.; Eckardt, V.; Blanchet, X.; Schmitt, M.M.; Ippel, H.; Neideck, C.; Bidzhekov, K.; Leberzammer, J.; Wichapong, K.; et al. Chemokine Interactome Mapping Enables Tailored Intervention in Acute and Chronic Inflammation. Sci. Transl. Med. 2017, 9, eaah6650. [Google Scholar] [CrossRef]
- Pearce, W.H.; Shively, V.P. Abdominal Aortic Aneurysm as a Complex Multifactorial Disease: Interactions of Polymorphisms of Inflammatory Genes, Features of Autoimmunity, and Current Status of MMPs. Ann. N. Y. Acad. Sci. 2006, 1085, 117–132. [Google Scholar] [CrossRef]
- Roy, R.; Zhang, B.; Moses, M. Making the Cut: Protease-Mediated Regulation of Angiogenesis. Exp. Cell Res. 2006, 312, 608–622. [Google Scholar] [CrossRef]
- Shapiro, S.D. Matrix Metalloproteinase Degradation of Extracellular Matrix: Biological Consequences. Curr. Opin. Cell. Biol. 1998, 10, 602–608. [Google Scholar] [CrossRef]
- Ma, Y.; Cang, S.; Li, G.; Su, Y.; Zhang, H.; Wang, L.; Yang, J.; Shi, X.; Qin, G.; Yuan, H. Integrated Analysis of Transcriptome Data Revealed MMP3 and MMP13 as Critical Genes in Anaplastic Thyroid Cancer Progression. J. Cell Physiol. 2019, 234, 22260–22271. [Google Scholar] [CrossRef]
- Wang, L.; Wu, Q.; Qiu, P.; Mirza, A.; McGuirk, M.; Kirschmeier, P.; Greene, J.R.; Wang, Y.; Pickett, C.B.; Liu, S. Analyses of P53 Target Genes in the Human Genome by Bioinformatic and Microarray Approaches. J. Biol. Chem. 2001, 276, 43604–43610. [Google Scholar] [CrossRef]
- Liu, S.; Mirza, A.; Wang, L. Generation of P53 Target Database via Integration of Microarray and Global P53 DNA-Binding Site Analysis. In Checkpoint Controls and Cancer; Humana Press: Totowa, NJ, USA, 2004; pp. 33–54. [Google Scholar]
- Corniola, R.S.; Tassabehji, N.M.; Hare, J.; Sharma, G.; Levenson, C.W. Zinc Deficiency Impairs Neuronal Precursor Cell Proliferation and Induces Apoptosis via P53-Mediated Mechanisms. Brain Res. 2008, 1237, 52–61. [Google Scholar] [CrossRef]
- Greenlee, K.J.; Corry, D.B.; Engler, D.A.; Matsunami, R.K.; Tessier, P.; Cook, R.G.; Werb, Z.; Kheradmand, F. Proteomic Identification of In Vivo Substrates for Matrix Metalloproteinases 2 and 9 Reveals a Mechanism for Resolution of Inflammation. J. Immunol. 2006, 177, 7312–7321. [Google Scholar] [CrossRef]
- Wei, C.-L.; Wu, Q.; Vega, V.B.; Chiu, K.P.; Ng, P.; Zhang, T.; Shahab, A.; Yong, H.C.; Fu, Y.; Weng, Z.; et al. A Global Map of P53 Transcription-Factor Binding Sites in the Human Genome. Cell 2006, 124, 207–219. [Google Scholar] [CrossRef]
- Ohyagi, Y.; Asahara, H.; Chui, D.-H.; Tsuruta, Y.; Sakae, N.; Miyoshi, K.; Yamada, T.; Kikuchi, H.; Taniwaki, T.; Murai, H.; et al. Intracellular Aβ42 Activates P53 Promoter: A Pathway to Neurodegeneration in Alzheimer’s Disease. FASEB J. 2005, 19, 1–29. [Google Scholar] [CrossRef]
- Fogarasi, M.; Janssen, A.; Weber, B.H.F.; Stöhr, H. Molecular Dissection of TIMP3 Mutation S156C Associated with Sorsby Fundus Dystrophy. Matrix Biol. 2008, 27, 381–392. [Google Scholar] [CrossRef]
- Knäuper, V.; Cowell, S.; Smith, B.; López-Otin, C.; O’Shea, M.; Morris, H.; Zardi, L.; Murphy, G. The Role of the C-Terminal Domain of Human Collagenase-3 (MMP-13) in the Activation of Procollagenase-3, Substrate Specificity, and Tissue Inhibitor of Metalloproteinase Interaction. J. Biol. Chem. 1997, 272, 7608–7616. [Google Scholar] [CrossRef]
- Knäuper, V.; López-Otin, C.; Smith, B.; Knight, G.; Murphy, G. Biochemical Characterization of Human Collagenase-3. J. Biol. Chem. 1996, 271, 1544–1550. [Google Scholar] [CrossRef]
- Knauper, V.; Smith, B.; Lopez-Otin, C.; Murphy, G. Activation of Progelatinase B (ProMMP-9) by Active Collagenase-3 (MMP-13). Eur. J. Biochem. 1997, 248, 369–373. [Google Scholar] [CrossRef]
- Vempati, P.; Karagiannis, E.D.; Popel, A.S. A Biochemical Model of Matrix Metalloproteinase 9 Activation and Inhibition. J. Biol. Chem. 2007, 282, 37585–37596. [Google Scholar] [CrossRef]
- Zucker, S.; Vacirca, J. Role of Matrix Metalloproteinases (MMPs) in Colorectal Cancer. Cancer Metastasis Rev. 2004, 23, 101–117. [Google Scholar] [CrossRef]
- Dreier, R.; Grässel, S.; Fuchs, S.; Schaumburger, J.; Bruckner, P. Pro-MMP-9 Is a Specific Macrophage Product and Is Activated by Osteoarthritic Chondrocytes via MMP-3 or a MT1-MMP/MMP-13 Cascade. Exp. Cell Res. 2004, 297, 303–312. [Google Scholar] [CrossRef]
- Cummins, P.M.; von Offenberg Sweeney, N.; Killeen, M.T.; Birney, Y.A.; Redmond, E.M.; Cahill, P.A. Cyclic Strain-Mediated Matrix Metalloproteinase Regulation within the Vascular Endothelium: A Force to Be Reckoned With. Am. J. Physiol.-Heart Circ. Physiol. 2007, 292, H28–H42. [Google Scholar] [CrossRef]
- Han, Y.-P.; Yan, C.; Zhou, L.; Qin, L.; Tsukamoto, H. A Matrix Metalloproteinase-9 Activation Cascade by Hepatic Stellate Cells in Trans-Differentiation in the Three-Dimensional Extracellular Matrix. J. Biol. Chem. 2007, 282, 12928–12939. [Google Scholar] [CrossRef]
- Swets, J.A. Measuring the Accuracy of Diagnostic Systems. Science 1988, 240, 1285–1293. [Google Scholar] [CrossRef]
- Petricoin, E.F.; Belluco, C.; Araujo, R.P.; Liotta, L.A. The Blood Peptidome: A Higher Dimension of Information Content for Cancer Biomarker Discovery. Nat. Rev. Cancer 2006, 6, 961–967. [Google Scholar] [CrossRef]
- Louveau, A.; Smirnov, I.; Keyes, T.J.; Eccles, J.D.; Rouhani, S.J.; Peske, J.D.; Derecki, N.C.; Castle, D.; Mandell, J.W.; Lee, K.S.; et al. Structural and Functional Features of Central Nervous System Lymphatic Vessels. Nature 2015, 523, 337–341. [Google Scholar] [CrossRef]
- Bakker, E.N.T.P.; Bacskai, B.J.; Arbel-Ornath, M.; Aldea, R.; Bedussi, B.; Morris, A.W.J.; Weller, R.O.; Carare, R.O. Lymphatic Clearance of the Brain: Perivascular, Paravascular and Significance for Neurodegenerative Diseases. Cell. Mol. Neurobiol. 2016, 36, 181–194. [Google Scholar] [CrossRef]
- Xu, Z.; Henderson, R.D.; David, M.; McCombe, P.A. Neurofilaments as Biomarkers for Amyotrophic Lateral Sclerosis: A Systematic Review and Meta-Analysis. PLoS ONE 2016, 11, e0164625. [Google Scholar] [CrossRef]
- McCombe, P.A.; Henderson, R.D. The Role of Immune and Inflammatory Mechanisms in ALS. Curr. Mol. Med. 2011, 11, 246–254. [Google Scholar] [CrossRef]
- Lin, C.Y.; Pfluger, C.M.; Henderson, R.D.; McCombe, P.A. Reduced Levels of Interleukin 33 and Increased Levels of Soluble ST2 in Subjects with Amyotrophic Lateral Sclerosis. J. Neuroimmunol. 2012, 249, 93–95. [Google Scholar] [CrossRef]
- Mantovani, S.; Gordon, R.; Macmaw, J.K.; Pfluger, C.M.M.; Henderson, R.D.; Noakes, P.G.; McCombe, P.A.; Woodruff, T.M. Elevation of the Terminal Complement Activation Products C5a and C5b-9 in ALS Patient Blood. J. Neuroimmunol. 2014, 276, 213–218. [Google Scholar] [CrossRef]
- McCombe, P.A.; Pfluger, C.; Singh, P.; Lim, C.Y.H.; Airey, C.; Henderson, R.D. Serial Measurements of Phosphorylated Neurofilament-Heavy in the Serum of Subjects with Amyotrophic Lateral Sclerosis. J. Neurol. Sci. 2015, 353, 122–129. [Google Scholar] [CrossRef]
- Ngo, S.T.; Steyn, F.J.; Huang, L.; Mantovani, S.; Pfluger, C.M.M.; Woodruff, T.M.; O’Sullivan, J.D.; Henderson, R.D.; McCombe, P.A. Altered Expression of Metabolic Proteins and Adipokines in Patients with Amyotrophic Lateral Sclerosis. J. Neurol. Sci. 2015, 357, 22–27. [Google Scholar] [CrossRef]
- Ioannides, Z.A.; Ngo, S.T.; Henderson, R.D.; McCombe, P.A.; Steyn, F.J. Altered Metabolic Homeostasis in Amyotrophic Lateral Sclerosis: Mechanisms of Energy Imbalance and Contribution to Disease Progression. Neurodegener Dis. 2016, 16, 382–397. [Google Scholar] [CrossRef]
- Geyer, P.E.; Holdt, L.M.; Teupser, D.; Mann, M. Revisiting Biomarker Discovery by Plasma Proteomics. Mol. Syst. Biol. 2017, 13, 942. [Google Scholar] [CrossRef]
- Bellei, E.; Bergamini, S.; Monari, E.; Fantoni, L.I.; Cuoghi, A.; Ozben, T.; Tomasi, A. High-Abundance Proteins Depletion for Serum Proteomic Analysis: Concomitant Removal of Non-Targeted Proteins. Amino Acids 2011, 40, 145–156. [Google Scholar] [CrossRef]
- Prinz, M.; Priller, J. Tickets to the Brain: Role of CCR2 and CX3CR1 in Myeloid Cell Entry in the CNS. J. Neuroimmunol. 2010, 224, 80–84. [Google Scholar] [CrossRef]
- Williamson, L.L.; Bilbo, S.D. Chemokines and the Hippocampus: A New Perspective on Hippocampal Plasticity and Vulnerability. Brain Behav. Immun. 2013, 30, 186–194. [Google Scholar] [CrossRef]
- Rostène, W.; Dansereau, M.-A.; Godefroy, D.; van Steenwinckel, J.; Goazigo, A.R.-L.; Mélik-Parsadaniantz, S.; Apartis, E.; Hunot, S.; Beaudet, N.; Sarret, P. Neurochemokines: A Menage a Trois Providing New Insights on the Functions of Chemokines in the Central Nervous System. J. Neurochem. 2011, 118, 680–694. [Google Scholar] [CrossRef] [PubMed]
- Ransohoff, R.M. Chemokines and Chemokine Receptors: Standing at the Crossroads of Immunobiology and Neurobiology. Immunity 2009, 31, 711–721. [Google Scholar] [CrossRef] [PubMed]
- De Haas, A.H.; van Weering, H.R.J.; de Jong, E.K.; Boddeke, H.W.G.M.; Biber, K.P.H. Neuronal Chemokines: Versatile Messengers in Central Nervous System Cell Interaction. Mol. Neurobiol. 2007, 36, 137–151. [Google Scholar] [CrossRef] [PubMed]
- Henkel, J.S.; Beers, D.R.; Siklós, L.; Appel, S.H. The Chemokine MCP-1 and the Dendritic and Myeloid Cells It Attracts Are Increased in the MSOD1 Mouse Model of ALS. Mol. Cell. Neurosci. 2006, 31, 427–437. [Google Scholar] [CrossRef] [PubMed]
- Moreno-Martinez, L.; Calvo, A.C.; Muñoz, M.J.; Osta, R. Are Circulating Cytokines Reliable Biomarkers for Amyotrophic Lateral Sclerosis? Int. J. Mol. Sci. 2019, 20, 2759. [Google Scholar] [CrossRef]
- Furukawa, T.; Matsui, N.; Fujita, K.; Miyashiro, A.; Nodera, H.; Izumi, Y.; Shimizu, F.; Miyamoto, K.; Takahashi, Y.; Kanda, T.; et al. Increased Proinflammatory Cytokines in Sera of Patients with Multifocal Motor Neuropathy. J. Neurol. Sci. 2014, 346, 75–79. [Google Scholar] [CrossRef]
- Andrés-Benito, P.; Moreno, J.; Domínguez, R.; Aso, E.; Povedano, M.; Ferrer, I. Inflammatory Gene Expression in Whole Peripheral Blood at Early Stages of Sporadic Amyotrophic Lateral Sclerosis. Front. Neurol. 2017, 8, 546. [Google Scholar] [CrossRef] [PubMed]
- Peters, S.; Zitzelsperger, E.; Kuespert, S.; Iberl, S.; Heydn, R.; Johannesen, S.; Petri, S.; Aigner, L.; Thal, D.R.; Hermann, A.; et al. The TGF-β System As a Potential Pathogenic Player in Disease Modulation of Amyotrophic Lateral Sclerosis. Front. Neurol. 2017, 8, 669. [Google Scholar] [CrossRef] [PubMed]
- Camu, W.; Mickunas, M.; Veyrune, J.-L.; Payan, C.; Garlanda, C.; Locati, M.; Juntas-Morales, R.; Pageot, N.; Malaspina, A.; Andreasson, U.; et al. Repeated 5-Day Cycles of Low Dose Aldesleukin in Amyotrophic Lateral Sclerosis (IMODALS): A Phase 2a Randomised, Double-Blind, Placebo-Controlled Trial. EBioMedicine 2020, 59, 102844. [Google Scholar] [CrossRef]
- Liu, H.; Chen, S.-E.; Jin, B.; Carson, J.A.; Niu, A.; Durham, W.; Lai, J.-Y.; Li, Y.-P. TIMP3: A Physiological Regulator of Adult Myogenesis. J. Cell Sci. 2010, 123, 2914–2921. [Google Scholar] [CrossRef] [PubMed]
- Cabral-Pacheco, G.A.; Garza-Veloz, I.; Castruita-De la Rosa, C.; Ramirez-Acuña, J.M.; Perez-Romero, B.A.; Guerrero-Rodriguez, J.F.; Martinez-Avila, N.; Martinez-Fierro, M.L. The Roles of Matrix Metalloproteinases and Their Inhibitors in Human Diseases. Int. J. Mol. Sci. 2020, 21, 9739. [Google Scholar] [CrossRef]
- Cunningham, L.A.; Wetzel, M.; Rosenberg, G.A. Multiple Roles for MMPs and TIMPs in Cerebral Ischemia. Glia 2005, 50, 329–339. [Google Scholar] [CrossRef]
- Park, J.H.; Cho, S.-J.; Jo, C.; Park, M.H.; Han, C.; Kim, E.-J.; Huh, G.Y.; Koh, Y.H. Altered TIMP-3 Levels in the Cerebrospinal Fluid and Plasma of Patients with Alzheimer’s Disease. J. Pers. Med. 2022, 12, 827. [Google Scholar] [CrossRef]
- Lee, J.K.; Shin, J.H.; Suh, J.; Choi, I.S.; Ryu, K.S.; Gwag, B.J. Tissue Inhibitor of Metalloproteinases-3 (TIMP-3) Expression Is Increased during Serum Deprivation-Induced Neuronal Apoptosis in Vitro and in the G93A Mouse Model of Amyotrophic Lateral Sclerosis: A Potential Modulator of Fas-Mediated Apoptosis. Neurobiol. Dis. 2008, 30, 174–185. [Google Scholar] [CrossRef]
- Kudo, L.C.; Parfenova, L.; Vi, N.; Lau, K.; Pomakian, J.; Valdmanis, P.; Rouleau, G.A.; Vinters, H.V.; Wiedau-Pazos, M.; Karsten, S.L. Integrative Gene–Tissue Microarray-Based Approach for Identification of Human Disease Biomarkers: Application to Amyotrophic Lateral Sclerosis. Hum. Mol. Genet. 2010, 19, 3233–3253. [Google Scholar] [CrossRef]
- Timpl, R.; Brown, J.C. Supramolecular Assembly of Basement Membranes. BioEssays 1996, 18, 123–132. [Google Scholar] [CrossRef]
- Bader, B.L.; Smyth, N.; Nedbal, S.; Miosge, N.; Baranowsky, A.; Mokkapati, S.; Murshed, M.; Nischt, R. Compound Genetic Ablation of Nidogen 1 and 2 Causes Basement Membrane Defects and Perinatal Lethality in Mice. Mol. Cell. Biol. 2005, 25, 6846–6856. [Google Scholar] [CrossRef]
- Patel, T.R.; Bernards, C.; Meier, M.; McEleney, K.; Winzor, D.J.; Koch, M.; Stetefeld, J. Structural Elucidation of Full-Length Nidogen and the Laminin–Nidogen Complex in Solution. Matrix Biol. 2014, 33, 60–67. [Google Scholar] [CrossRef]
- Murshed, M.; Smyth, N.; Miosge, N.; Karolat, J.; Krieg, T.; Paulsson, M.; Nischt, R. The Absence of Nidogen 1 Does Not Affect Murine Basement Membrane Formation. Mol. Cell. Biol. 2000, 20, 7007–7012. [Google Scholar] [CrossRef]
- Schymeinsky, J.; Nedbal, S.; Miosge, N.; Pöschl, E.; Rao, C.; Beier, D.R.; Skarnes, W.C.; Timpl, R.; Bader, B.L. Gene Structure and Functional Analysis of the Mouse Nidogen-2 Gene: Nidogen-2 Is Not Essential for Basement Membrane Formation in Mice. Mol. Cell. Biol. 2002, 22, 6820–6830. [Google Scholar] [CrossRef]
- Dong, L.; Chen, Y.; Lewis, M.; Hsieh, J.-C.; Reing, J.; Chaillet, J.R.; Howell, C.Y.; Melhem, M.; Inoue, S.; Kuszak, J.R.; et al. Neurologic Defects and Selective Disruption of Basement Membranes in Mice Lacking Entactin-1/Nidogen-1. Lab. Investig. 2002, 82, 1617–1630. [Google Scholar] [CrossRef] [PubMed]
- Vasudevan, A.; Ho, M.S.P.; Weiergräber, M.; Nischt, R.; Schneider, T.; Lie, A.; Smyth, N.; Köhling, R. Basement Membrane Protein Nidogen-1 Shapes Hippocampal Synaptic Plasticity and Excitability. Hippocampus 2010, 20, 608–620. [Google Scholar] [CrossRef] [PubMed]
- Fox, J.W.; Mayer, U.; Nischt, R.; Aumailley, M.; Reinhardt, D.; Wiedemann, H.; Mann, K.; Timpl, R.; Krieg, T.; Engel, J. Recombinant Nidogen Consists of Three Globular Domains and Mediates Binding of Laminin to Collagen Type IV. EMBO J. 1991, 10, 3137–3146. [Google Scholar] [CrossRef] [PubMed]
- Keable, A.; Fenna, K.; Yuen, H.M.; Johnston, D.A.; Smyth, N.R.; Smith, C.; Salman, R.A.-S.; Samarasekera, N.; Nicoll, J.A.R.; Attems, J.; et al. Deposition of Amyloid β in the Walls of Human Leptomeningeal Arteries in Relation to Perivascular Drainage Pathways in Cerebral Amyloid Angiopathy. Biochim. Biophys. Acta BBA-Mol. Basis Dis. 2016, 1862, 1037–1046. [Google Scholar] [CrossRef] [PubMed]
- Gurney, M.E.; Pu, H.; Chiu, A.Y.; Dal Canto, M.C.; Polchow, C.Y.; Alexander, D.D.; Caliendo, J.; Hentati, A.; Kwon, Y.W.; Deng, H.-X.; et al. Motor Neuron Degeneration in Mice That Express a Human Cu,Zn Superoxide Dismutase Mutation. Science 1994, 264, 1772–1775. [Google Scholar] [CrossRef]
- Crociara, P.; Chieppa, M.N.; Vallino Costassa, E.; Berrone, E.; Gallo, M.; lo Faro, M.; Pintore, M.D.; Iulini, B.; D’Angelo, A.; Perona, G.; et al. Motor Neuron Degeneration, Severe Myopathy and TDP-43 Increase in a Transgenic Pig Model of SOD1-Linked Familiar ALS. Neurobiol. Dis. 2019, 124, 263–275. [Google Scholar] [CrossRef]
- Gaudet, P.; Livstone, M.S.; Lewis, S.E.; Thomas, P.D. Phylogenetic-Based Propagation of Functional Annotations within the Gene Ontology Consortium. Brief. Bioinform. 2011, 12, 449–462. [Google Scholar] [CrossRef]
- Naba, A.; Pearce, O.M.T.; del Rosario, A.; Ma, D.; Ding, H.; Rajeeve, V.; Cutillas, P.R.; Balkwill, F.R.; Hynes, R.O. Characterization of the Extracellular Matrix of Normal and Diseased Tissues Using Proteomics. J. Proteome Res. 2017, 16, 3083–3091. [Google Scholar] [CrossRef]
- KOCH, S.; KOHL, K.; KLEIN, E.; VONBUBNOFF, D.; BIEBER, T. Skin Homing of Langerhans Cell Precursors: Adhesion, Chemotaxis, and Migration. J. Allergy Clin. Immunol. 2006, 117, 163–168. [Google Scholar] [CrossRef]
- Friedl, P.; Bröcker, E.-B. Reconstructing Leukocyte Migration in 3D Extracellular Matrix by Time-Lapse Videomicroscopy and Computer-Assisted Tracking. In Cell Migration in Inflammation and Immunity; Humana Press: Totowa, NJ, USA, 2003; pp. 77–90. [Google Scholar]
- Savino, W.; Mendes-da-Cruz, D.A.; Silva, J.S.; Dardenne, M.; Cotta-de-Almeida, V. Intrathymic T-Cell Migration: A Combinatorial Interplay of Extracellular Matrix and Chemokines? Trends Immunol. 2002, 23, 305–313. [Google Scholar] [CrossRef]
- Joshi, A.; Mayr, M. In Aptamers They Trust: The Caveats of the SOMAscan Biomarker Discovery Platform from SomaLogic. Circulation 2018, 138, 2482–2485. [Google Scholar] [CrossRef] [PubMed]
- Peviani, M.; Caron, I.; Pizzasegola, C.; Gensano, F.; Tortarolo, M.; Bendotti, C. Unraveling the Complexity of Amyotrophic Lateral Sclerosis: Recent Advances from the Transgenic Mutant SOD1 Mice. CNS Neurol. Disord. Drug Targets 2010, 9, 491–503. [Google Scholar] [CrossRef] [PubMed]
- Chiò, A.; Canosa, A.; Gallo, S.; Moglia, C.; Ilardi, A.; Cammarosano, S.; Papurello, D.; Calvo, A. Pain in Amyotrophic Lateral Sclerosis: A Population-Based Controlled Study. Eur. J. Neurol. 2012, 19, 551–555. [Google Scholar] [CrossRef] [PubMed]
- De Groote, M.A.; Nahid, P.; Jarlsberg, L.; Johnson, J.L.; Weiner, M.; Muzanyi, G.; Janjic, N.; Sterling, D.G.; Ochsner, U.A. Elucidating Novel Serum Biomarkers Associated with Pulmonary Tuberculosis Treatment. PLoS ONE 2013, 8, e61002. [Google Scholar] [CrossRef]
- Gold, L.; Ayers, D.; Bertino, J.; Bock, C.; Bock, A.; Brody, E.N.; Carter, J.; Dalby, A.B.; Eaton, B.E.; Fitzwater, T.; et al. Aptamer-Based Multiplexed Proteomic Technology for Biomarker Discovery. PLoS ONE 2010, 5, e15004. [Google Scholar] [CrossRef]
- Tusher, V.G.; Tibshirani, R.; Chu, G. Significance Analysis of Microarrays Applied to the Ionizing Radiation Response. Proc. Natl. Acad. Sci. USA 2001, 98, 5116–5121. [Google Scholar] [CrossRef]
- Chen, G.; Chen, J.; Liu, H.; Chen, S.; Zhang, Y.; Li, P.; Thierry-Mieg, D.; Thierry-Mieg, J.; Mattes, W.; Ning, B.; et al. Comprehensive Identification and Characterization of Human Secretome Based on Integrative Proteomic and Transcriptomic Data. Front. Cell Dev. Biol. 2019, 7, 299. [Google Scholar] [CrossRef]











| Cohort 1 | |
|---|---|
| CTR Group | 8 | 
| Demographic Data | |
| Female/male | 3/5 | 
| Age at SC (y), mean (SD) | 61 (12) | 
| Clinical Data | |
| H-CTR (%) | 8 (100) | 
| NoH-CTR (%) | 0 (0) | 
| ALS Group | 16 | 
| Demographic Data | |
| Female/male | 8/8 | 
| Age at SC (y), mean (SD) | 64 (11) | 
| Age at onset (y), mean (SD) | 62 (13) | 
| Genetic Data | |
| F-ALS (%) | 8 (50) | 
| SOD1 (%) | 3 (19) | 
| C9orf72 (%) | 3 (19) | 
| TARDBP (%) | 2 (12) | 
| S-ALS (%) | 8 (50) | 
| Clinical Data | |
| ΔALSFRS (point decline per month), mean (SD) | 0.68 (0.53) | 
| Onset site: | |
| 1. Classic (%) | 5 (31) | 
| 2. Upper motor neuron predominant (%) | 0 (0) | 
| 3. Pseudopolyneuritic (%) | 5 (31) | 
| 4. Bulbar (%) | 6 (38) | 
| Cognitive status at diagnosis: | |
| Normal (%) | 8 (50) | 
| FTD (%) | 1 (6) | 
| ALSci (%) | 1 (6) | 
| ALSbi (%) | 3 (19) | 
| DNT (%) | 3 (19) | 
| Disease progression: | |
| Slow (%) | 7 (44) | 
| Fast (%) | 9 (56) | 
| Comorbidities: | |
| Hyperthension (%) | 5 (31) | 
| Diabetes (%) | 1 (6) | 
| Hypercolesteremia (%) | 5 (31) | 
| Hypothyroidism (%) | 0 (0) | 
| COPD (%) | 2 (13) | 
| Other comorbidity (%) | 8 (50) | 
| Cohort 2 | |
| CTR Group | 32 | 
| Demographic Data | |
| Female/male | 12/20 | 
| Age at SC (y), mean (SD) | 64 (11) | 
| Clinical Data | |
| H-CTR (%) | 19 (59) | 
| NoH-CTR (%) | 13 (41) | 
| NoH-CTR pathology: | |
| Normal-pressure hydrocephalus (%) | 8 (62) | 
| Post-poliomyelitis syndrome (%) | 2 (15) | 
| Myasthenia gravis (%) | 2 (15) | 
| Parkinson’s disease (%) | 1 (8) | 
| ALS Group | 47 | 
| Demographic Data | |
| Female/male | 18/29 | 
| Age at SC (y), mean (SD) | 65 (10) | 
| Age at onset (y), mean (SD) | 63 (11) | 
| Genetic Data | |
| F-ALS (%): | 12 (26) | 
| SOD1 (%) | 4 (9) | 
| C9orf72 (%) | 6 (13) | 
| TARDBP (%) | 2 (4) | 
| S-ALS (%) | 35 (74) | 
| Clinical Data | |
| ΔALSFRS (points decline per month), mean (SD) | 0.74 (0.60) | 
| Onset site: | |
| 1. Classic (%) | 18 (38) | 
| 2. Upper motor neuron predominant (%) | 3 (6) | 
| 3. Pseudopolyneuritic (%) | 10 (11) | 
| 4. Bulbar (%) | 14 (30) | 
| DNP (%) | 2 (4) | 
| Cognitive status at diagnosis: | |
| Normal (%) | 24 (51) | 
| FTD (%) | 4 (9) | 
| ALSci (%) | 9 (19) | 
| ALSbi (%) | 3 (6) | 
| DNT (%) | 7 (15) | 
| Disease progression: | |
| Slow (%) | 35 (75) | 
| Fast (%) | 10 (21) | 
| DNP (%) | 2 (4) | 
| Comorbidities: | |
| Hyperthension (%) | 20 (43) | 
| Diabetes (%) | 5 (11) | 
| Hypercolesteremia (%) | 5 (11) | 
| Hypothyroidism (%) | 3 (6) | 
| COPD (%) | 3 (6) | 
| Other comorbidity (%) | 11 (23) | 
| Network Object “FROM” | Object Type | Network Object “TO” | Object Type | Effect | Mechanism | Link Info | Ref. | 
|---|---|---|---|---|---|---|---|
| Nidogen | Generic binding protein | Amyloid beta | Generic binding protein | Inhibition | Binding | Nidogen binds to and inhibits amyloid beta. | [25,26] | 
| CCL5 | Receptor ligand | CCL17 | Receptor ligand | Activation | Binding | CCL5 binds to and activates CCL17. | [27] | 
| Stromelysin-1 | Metalloprotease | Nidogen | Generic binding protein | Inhibition | Cleavage | Stromelysin-1 cleaves and inhibits nidogen. | [28,29,30] | 
| MMP-13 | Metalloprotease | CCL5 | Receptor ligand | Unspecified | Cleavage | MMP-13 cleaves CCL5. | [9] | 
| MMP-13 | Metalloprotease | Stromelysin-1 | Metalloprotease | Activation | Binding | MMP-13 binds to and activates stromelysin-1. | [31] | 
| p53 | Transcription factor | TIMP3 | Generic binding protein | Activation | Transcription regulation | p53 binds to gene TIMP3 promoter and increases its activity. | [32,33,34] | 
| MMP-9 | Metalloprotease | Nidogen | Generic binding protein | Inhibition | Cleavage | MMP-9 cleaves on Nidogen and inhibits its activity. | [28,30] | 
| MMP-9 | Metalloprotease | CCL17 | Receptor ligand | Inhibition | Cleavage | MMP-9 cleaves on CCL17 and inhibits its activity. | [35] | 
| p53 | Transcription factor | Nidogen-2 | Generic binding protein | Unspecified | Transcription regulation | By using chromatin immunoprecipitation with paired-end ditag sequencing analysis it was shown that nidogen 2 has binding sites for p53. | [36] | 
| Amyloid beta 42 | Generic binding protein | p53 | Transcription factor | Activation | Transcription regulation | Amyloid beta 42 co-activates transcription of p53. | [37] | 
| TIMP3 | Generic binding protein | MMP-13 | Metalloprotease | Inhibition | Binding | TIMP3 physically interacts with MMP-13 and decreases its activity. | [38,39,40] | 
| MMP-13 | Metalloprotease | MMP-9 | Metalloprotease | Activation | Cleavage | [28,41,42,43,44,45,46] | 
| Disclaimer/Publisher’s Note: The statements, opinions and data contained in all publications are solely those of the individual author(s) and contributor(s) and not of MDPI and/or the editor(s). MDPI and/or the editor(s) disclaim responsibility for any injury to people or property resulting from any ideas, methods, instructions or products referred to in the content. | 
© 2023 by the authors. Licensee MDPI, Basel, Switzerland. This article is an open access article distributed under the terms and conditions of the Creative Commons Attribution (CC BY) license (https://creativecommons.org/licenses/by/4.0/).
Share and Cite
Berrone, E.; Chiorino, G.; Guana, F.; Benedetti, V.; Palmitessa, C.; Gallo, M.; Calvo, A.; Casale, F.; Manera, U.; Favole, A.; et al. SOMAscan Proteomics Identifies Novel Plasma Proteins in Amyotrophic Lateral Sclerosis Patients. Int. J. Mol. Sci. 2023, 24, 1899. https://doi.org/10.3390/ijms24031899
Berrone E, Chiorino G, Guana F, Benedetti V, Palmitessa C, Gallo M, Calvo A, Casale F, Manera U, Favole A, et al. SOMAscan Proteomics Identifies Novel Plasma Proteins in Amyotrophic Lateral Sclerosis Patients. International Journal of Molecular Sciences. 2023; 24(3):1899. https://doi.org/10.3390/ijms24031899
Chicago/Turabian StyleBerrone, Elena, Giovanna Chiorino, Francesca Guana, Valerio Benedetti, Claudia Palmitessa, Marina Gallo, Andrea Calvo, Federico Casale, Umberto Manera, Alessandra Favole, and et al. 2023. "SOMAscan Proteomics Identifies Novel Plasma Proteins in Amyotrophic Lateral Sclerosis Patients" International Journal of Molecular Sciences 24, no. 3: 1899. https://doi.org/10.3390/ijms24031899
APA StyleBerrone, E., Chiorino, G., Guana, F., Benedetti, V., Palmitessa, C., Gallo, M., Calvo, A., Casale, F., Manera, U., Favole, A., Crociara, P., Testori, C., Carta, V., Tessarolo, C., D’Angelo, A., De Marco, G., Caramelli, M., Chiò, A., Casalone, C., & Corona, C. (2023). SOMAscan Proteomics Identifies Novel Plasma Proteins in Amyotrophic Lateral Sclerosis Patients. International Journal of Molecular Sciences, 24(3), 1899. https://doi.org/10.3390/ijms24031899
 
        


 
       