Wireframe DNA Origami for the Cellular Delivery of Platinum(II)-Based Drugs
Abstract
:1. Introduction
2. Results and Discussion
2.1. Origami Structures for the Loading of Platinum Compounds
2.2. Characterizations of the Platinum Complexes-Loaded Origami
2.3. Loading Capacity of Platinum Complex in DNA Origami
2.4. Stability and Degradation Assay
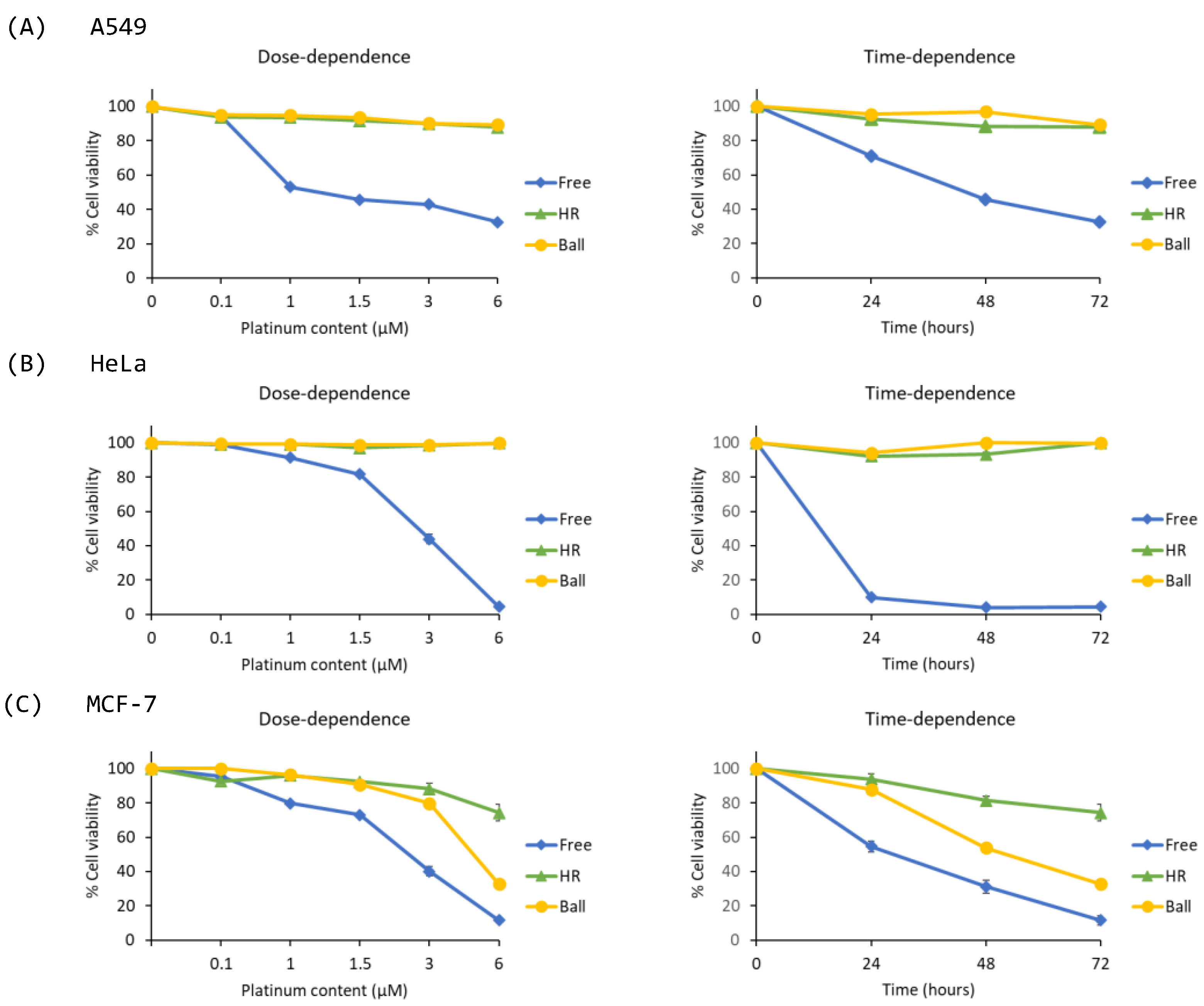
2.5. In Vitro Assays on Immortalized Cultured Cancer Cells
3. Materials and Methods
3.1. Structure Preparation
3.2. Platinum Loading
3.3. Agarose Gel Electrophoresis
3.4. Negative-Stain TEM
3.5. ICP-AES Measurements
3.6. Degradation Assays by Gel Electrophoresis with Nucleases
3.7. Cell Culture Media Stability Assay
3.8. Cell Culture
3.9. Cell Viability Assay
4. Conclusions
Supplementary Materials
Author Contributions
Funding
Institutional Review Board Statement
Informed Consent Statement
Data Availability Statement
Acknowledgments
Conflicts of Interest
References
- Seeman, N.C. Nucleic Acid Junctions and Lattices. J. Theor. Biol. 1982, 99, 237–247. [Google Scholar] [CrossRef] [PubMed]
- Rothemund, P.W.K. Folding DNA to Create Nanoscale Shapes and Patterns. Nature 2006, 440, 297–302. [Google Scholar] [CrossRef] [PubMed]
- Dietz, H.; Douglas, S.M.; Shih, W.M. Folding DNA into Twisted and Curved Nanoscale Shapes. Science 2009, 325, 725–730. [Google Scholar] [CrossRef]
- Han, D.; Pal, S.; Nangreave, J.; Deng, Z.; Liu, Y.; Yan, H. DNA Origami with Complex Curvatures in Three-Dimensional Space. Science 2011, 332, 342–346. [Google Scholar] [CrossRef] [PubMed]
- Zhao, Y.-X.; Shaw, A.; Zeng, X.; Benson, E.; Nyström, A.M.; Högberg, B. DNA Origami Delivery System for Cancer Therapy with Tunable Release Properties. ACS Nano 2012, 6, 8684–8691. [Google Scholar] [CrossRef] [PubMed]
- Zhan, P.; Peil, A.; Jiang, Q.; Wang, D.; Mousavi, S.; Xiong, Q.; Shen, Q.; Shang, Y.; Ding, B.; Lin, C.; et al. Recent Advances in DNA Origami-Engineered Nanomaterials and Applications. Chem. Rev. 2023, 123, 3976–4050. [Google Scholar] [CrossRef] [PubMed]
- Xing, C.; Chen, S.; Lin, Q.; Lin, Y.; Wang, M.; Wang, J.; Lu, C. An Aptamer-Tethered DNA Origami Amplifier for Sensitive and Accurate Imaging of Intracellular microRNA. Nanoscale 2022, 14, 1327–1332. [Google Scholar] [CrossRef] [PubMed]
- Ouyang, X.; De Stefano, M.; Krissanaprasit, A.; Bank Kodal, A.L.; Bech Rosen, C.; Liu, T.; Helmig, S.; Fan, C.; Gothelf, K.V. Docking of Antibodies into the Cavities of DNA Origami Structures. Angew. Chem. Int. Ed. 2017, 56, 14423–14427. [Google Scholar] [CrossRef]
- Zhang, T.; Liedl, T. DNA-Based Assembly of Quantum Dots into Dimers and Helices. Nanomaterials 2019, 9, 339. [Google Scholar] [CrossRef]
- Taymaz-Nikerel, H.; Karabekmez, M.E.; Eraslan, S.; Kırdar, B. Doxorubicin Induces an Extensive Transcriptional and Metabolic Rewiring in Yeast Cells. Sci. Rep. 2018, 8, 13672. [Google Scholar] [CrossRef]
- Udomprasert, A.; Wootthichairangsan, C.; Duangrat, R.; Chaithongyot, S.; Zhang, Y.; Nixon, R.; Liu, W.; Wang, R.; Ponglikitmongkol, M.; Kangsamaksin, T. Enhanced Functional Properties of Three DNA Origami Nanostructures as Doxorubicin Carriers to Breast Cancer Cells. ACS Appl. Bio Mater. 2022, 5, 2262–2272. [Google Scholar] [CrossRef] [PubMed]
- Ijäs, H.; Shen, B.; Heuer-Jungemann, A.; Keller, A.; Kostiainen, M.A.; Liedl, T.; Ihalainen, J.A.; Linko, V. Unraveling the Interaction between Doxorubicin and DNA Origami Nanostructures for Customizable Chemotherapeutic Drug Release. Nucleic Acids Res. 2021, 49, 3048–3062. [Google Scholar] [CrossRef] [PubMed]
- Udomprasert, A.; Kangsamaksin, T. DNA Origami Applications in Cancer Therapy. Cancer Sci. 2017, 108, 1535–1543. [Google Scholar] [CrossRef] [PubMed]
- Halley, P.D.; Lucas, C.R.; McWilliams, E.M.; Webber, M.J.; Patton, R.A.; Kural, C.; Lucas, D.M.; Byrd, J.C.; Castro, C.E. Daunorubicin-Loaded DNA Origami Nanostructures Circumvent Drug-Resistance Mechanisms in a Leukemia Model. Small 2016, 12, 308–320. [Google Scholar] [CrossRef] [PubMed]
- Jiang, Q.; Song, C.; Nangreave, J.; Liu, X.; Lin, L.; Qiu, D.; Wang, Z.-G.; Zou, G.; Liang, X.; Yan, H.; et al. DNA Origami as a Carrier for Circumvention of Drug Resistance. J. Am. Chem. Soc. 2012, 134, 13396–13403. [Google Scholar] [CrossRef] [PubMed]
- De Castro, F.; Stefàno, E.; De Luca, E.; Benedetti, M.; Fanizzi, F.P. Platinum-Nucleos(t)Ide Compounds as Possible Antimetabolites for Antitumor/Antiviral Therapy: Properties and Perspectives. Pharmaceutics 2023, 15, 941. [Google Scholar] [CrossRef]
- De Castro, F.; De Luca, E.; Benedetti, M.; Fanizzi, F.P. Platinum Compounds as Potential Antiviral Agents. Coord. Chem. Rev. 2022, 451, 214276. [Google Scholar] [CrossRef]
- De Castro, F.; De Luca, E.; Girelli, C.R.; Barca, A.; Romano, A.; Migoni, D.; Verri, T.; Benedetti, M.; Fanizzi, F.P. First Evidence for N7-Platinated Guanosine Derivatives Cell Uptake Mediated by Plasma Membrane Transport Processes. J. Inorg. Biochem. 2022, 226, 111660. [Google Scholar] [CrossRef]
- Sala, L.; Perecko, T.; Mestek, O.; Pinkas, D.; Homola, T.; Kočišek, J. Cisplatin-Cross-Linked DNA Origami Nanostructures for Drug Delivery Applications. ACS Appl. Nano Mater. 2022, 5, 13267–13275. [Google Scholar] [CrossRef]
- Ponnuswamy, N.; Bastings, M.M.C.; Nathwani, B.; Ryu, J.H.; Chou, L.Y.T.; Vinther, M.; Li, W.A.; Anastassacos, F.M.; Mooney, D.J.; Shih, W.M. Oligolysine-Based Coating Protects DNA Nanostructures from Low-Salt Denaturation and Nuclease Degradation. Nat. Commun. 2017, 8, 15654. [Google Scholar] [CrossRef]
- Wang, Y.; Benson, E.; Fördős, F.; Lolaico, M.; Baars, I.; Fang, T.; Teixeira, A.I.; Högberg, B. DNA Origami Penetration in Cell Spheroid Tissue Models Is Enhanced by Wireframe Design. Adv. Mater. 2021, 33, 2008457. [Google Scholar] [CrossRef] [PubMed]
- Zhang, F.; Jiang, S.; Wu, S.; Li, Y.; Mao, C.; Liu, Y.; Yan, H. Complex Wireframe DNA Origami Nanostructures with Multi-Arm Junction Vertices. Nat. Nanotechnol. 2015, 10, 779–784. [Google Scholar] [CrossRef]
- Lolaico, M.; Blokhuizen, S.; Shen, B.; Wang, Y.; Högberg, B. Computer-Aided Design of A-Trail Routed Wireframe DNA Nanostructures with Square Lattice Edges. ACS Nano 2023, 17, 6565–6574. [Google Scholar] [CrossRef] [PubMed]
- Baig, M.M.F.A.; Zou, T.; Neelakantan, P.; Zhang, C. Development and Functionalization of DNA Nanostructures for Biomedical Applications. J. Chin. Chem. Soc. 2021, 68, 228–238. [Google Scholar] [CrossRef]
- Park, G.Y.; Wilson, J.J.; Song, Y.; Lippard, S.J. Phenanthriplatin, a Monofunctional DNA-Binding Platinum Anticancer Drug Candidate with Unusual Potency and Cellular Activity Profile. Proc. Natl. Acad. Sci. USA 2012, 109, 11987–11992. [Google Scholar] [CrossRef]
- Dabbish, E.; Russo, N.; Sicilia, E. Rationalization of the Superior Anticancer Activity of Phenanthriplatin: An In-Depth Computational Exploration. Chem.—A Eur. J. 2020, 26, 259–268. [Google Scholar] [CrossRef]
- Monroe, J.D.; Hruska, H.L.; Ruggles, H.K.; Williams, K.M.; Smith, M.E. Anti-Cancer Characteristics and Ototoxicity of Platinum(II) Amine Complexes with Only One Leaving Ligand. PLoS ONE 2018, 13, e0192505. [Google Scholar] [CrossRef]
- Lei, Z.-N.; Tian, Q.; Teng, Q.-X.; Wurpel, J.N.D.; Zeng, L.; Pan, Y.; Chen, Z.-S. Understanding and Targeting Resistance Mechanisms in Cancer. MedComm 2023, 4, e265. [Google Scholar] [CrossRef]
- Benson, E.; Mohammed, A.; Gardell, J.; Masich, S.; Czeizler, E.; Orponen, P.; Högberg, B. DNA Rendering of Polyhedral Meshes at the Nanoscale. Nature 2015, 523, 441–444. [Google Scholar] [CrossRef]
- Benson, E.; Mohammed, A.; Rayneau-Kirkhope, D.; Gådin, A.; Orponen, P.; Högberg, B. Effects of Design Choices on the Stiffness of Wireframe DNA Origami Structures. ACS Nano 2018, 12, 9291–9299. [Google Scholar] [CrossRef]
- Martinho, N.; Santos, T.C.B.; Florindo, H.F.; Silva, L.C. Cisplatin-Membrane Interactions and Their Influence on Platinum Complexes Activity and Toxicity. Front. Physiol. 2019, 9, 1898. [Google Scholar] [CrossRef] [PubMed]
- Johnstone, T.C.; Park, G.Y.; Lippard, S.J. Understanding and Improving Platinum Anticancer Drugs—Phenanthriplatin. Anticancer. Res. 2014, 34, 471–476. [Google Scholar] [PubMed]
- Gerling, T.; Kube, M.; Kick, B.; Dietz, H. Sequence-Programmable Covalent Bonding of Designed DNA Assemblies. Sci. Adv. 2018, 4, eaau1157. [Google Scholar] [CrossRef] [PubMed]
- Napirei, M.; Ludwig, S.; Mezrhab, J.; Klöckl, T.; Mannherz, H.G. Murine Serum Nucleases—Contrasting Effects of Plasmin and Heparin on the Activities of DNase1 and DNase1-like 3 (DNase1l3). FEBS J. 2009, 276, 1059–1073. [Google Scholar] [CrossRef] [PubMed]
- NAPIREI, M.; RICKEN, A.; EULITZ, D.; KNOOP, H.; MANNHERZ, H.G. Expression Pattern of the Deoxyribonuclease 1 Gene: Lessons from the Dnase1 Knockout Mouse. Biochem. J. 2004, 380, 929–937. [Google Scholar] [CrossRef] [PubMed]
- Cherepanova, A.; Tamkovich, S.; Pyshnyi, D.; Kharkova, M.; Vlassov, V.; Laktionov, P. Immunochemical Assay for Deoxyribonuclease Activity in Body Fluids. J. Immunol. Methods 2007, 325, 96–103. [Google Scholar] [CrossRef] [PubMed]
- Kashkoulinejad-Kouhi, T.; Safarian, S.; Arnaiz, B.; Saa, L. Enhancement of Cisplatin Sensitivity in Human Breast Cancer MCF-7 Cell Line through BiP and 14-3-3ζ Co-Knockdown. Oncol. Rep. 2021, 45, 665–679. [Google Scholar] [CrossRef]
- Baptist, A.V.; Heuer-Jungemann, A. Lyophilization Reduces Aggregation of Three-Dimensional DNA Origami at High Concentrations. ACS Omega 2023, 8, 18225–18233. [Google Scholar] [CrossRef]
- Facchetti, G.; Rimoldi, I. Anticancer Platinum(II) Complexes Bearing N-Heterocycle Rings. Bioorg. Med. Chem. Lett. 2019, 29, 1257–1263. [Google Scholar] [CrossRef]
- Almaqwashi, A.A.; Zhou, W.; Naufer, M.N.; Riddell, I.A.; Yilmaz, Ö.H.; Lippard, S.J.; Williams, M.C. DNA Intercalation Facilitates Efficient DNA-Targeted Covalent Binding of Phenanthriplatin. J. Am. Chem. Soc. 2019, 141, 1537–1545. [Google Scholar] [CrossRef]
- Lozada, I.B.; Huang, B.; Stilgenbauer, M.; Beach, T.; Qiu, Z.; Zheng, Y.; Herbert, D.E. Monofunctional Platinum(Ii) Anticancer Complexes Based on Multidentate Phenanthridine-Containing Ligand Frameworks. Dalton Trans. 2020, 49, 6557–6560. [Google Scholar] [CrossRef] [PubMed]
- Monroe, J.D.; Moolani, S.A.; Irihamye, E.N.; Lett, K.E.; Hebert, M.D.; Gibert, Y.; Smith, M.E. Cisplatin and Phenanthriplatin Modulate Long-Noncoding RNA Expression in A549 and IMR90 Cells Revealing Regulation of microRNAs, Wnt/β-Catenin and TGF-β Signaling. Sci. Rep. 2021, 11, 10408. [Google Scholar] [CrossRef] [PubMed]






Disclaimer/Publisher’s Note: The statements, opinions and data contained in all publications are solely those of the individual author(s) and contributor(s) and not of MDPI and/or the editor(s). MDPI and/or the editor(s) disclaim responsibility for any injury to people or property resulting from any ideas, methods, instructions or products referred to in the content. |
© 2023 by the authors. Licensee MDPI, Basel, Switzerland. This article is an open access article distributed under the terms and conditions of the Creative Commons Attribution (CC BY) license (https://creativecommons.org/licenses/by/4.0/).
Share and Cite
De Luca, E.; Wang, Y.; Baars, I.; De Castro, F.; Lolaico, M.; Migoni, D.; Ducani, C.; Benedetti, M.; Högberg, B.; Fanizzi, F.P. Wireframe DNA Origami for the Cellular Delivery of Platinum(II)-Based Drugs. Int. J. Mol. Sci. 2023, 24, 16715. https://doi.org/10.3390/ijms242316715
De Luca E, Wang Y, Baars I, De Castro F, Lolaico M, Migoni D, Ducani C, Benedetti M, Högberg B, Fanizzi FP. Wireframe DNA Origami for the Cellular Delivery of Platinum(II)-Based Drugs. International Journal of Molecular Sciences. 2023; 24(23):16715. https://doi.org/10.3390/ijms242316715
Chicago/Turabian StyleDe Luca, Erik, Yang Wang, Igor Baars, Federica De Castro, Marco Lolaico, Danilo Migoni, Cosimo Ducani, Michele Benedetti, Björn Högberg, and Francesco Paolo Fanizzi. 2023. "Wireframe DNA Origami for the Cellular Delivery of Platinum(II)-Based Drugs" International Journal of Molecular Sciences 24, no. 23: 16715. https://doi.org/10.3390/ijms242316715
APA StyleDe Luca, E., Wang, Y., Baars, I., De Castro, F., Lolaico, M., Migoni, D., Ducani, C., Benedetti, M., Högberg, B., & Fanizzi, F. P. (2023). Wireframe DNA Origami for the Cellular Delivery of Platinum(II)-Based Drugs. International Journal of Molecular Sciences, 24(23), 16715. https://doi.org/10.3390/ijms242316715

