StBIN2 Positively Regulates Potato Formation through Hormone and Sugar Signaling
Abstract
1. Introduction
2. Results
2.1. Bioinformatics Analysis of StBIN2 and the Expression Level of Transgenic Lines
2.2. Effects of StBIN2 on the Formation of Potato Tubers
2.2.1. Phenotypic Analysis of the Effects of StBIN2 on Tuber Formation in Potato
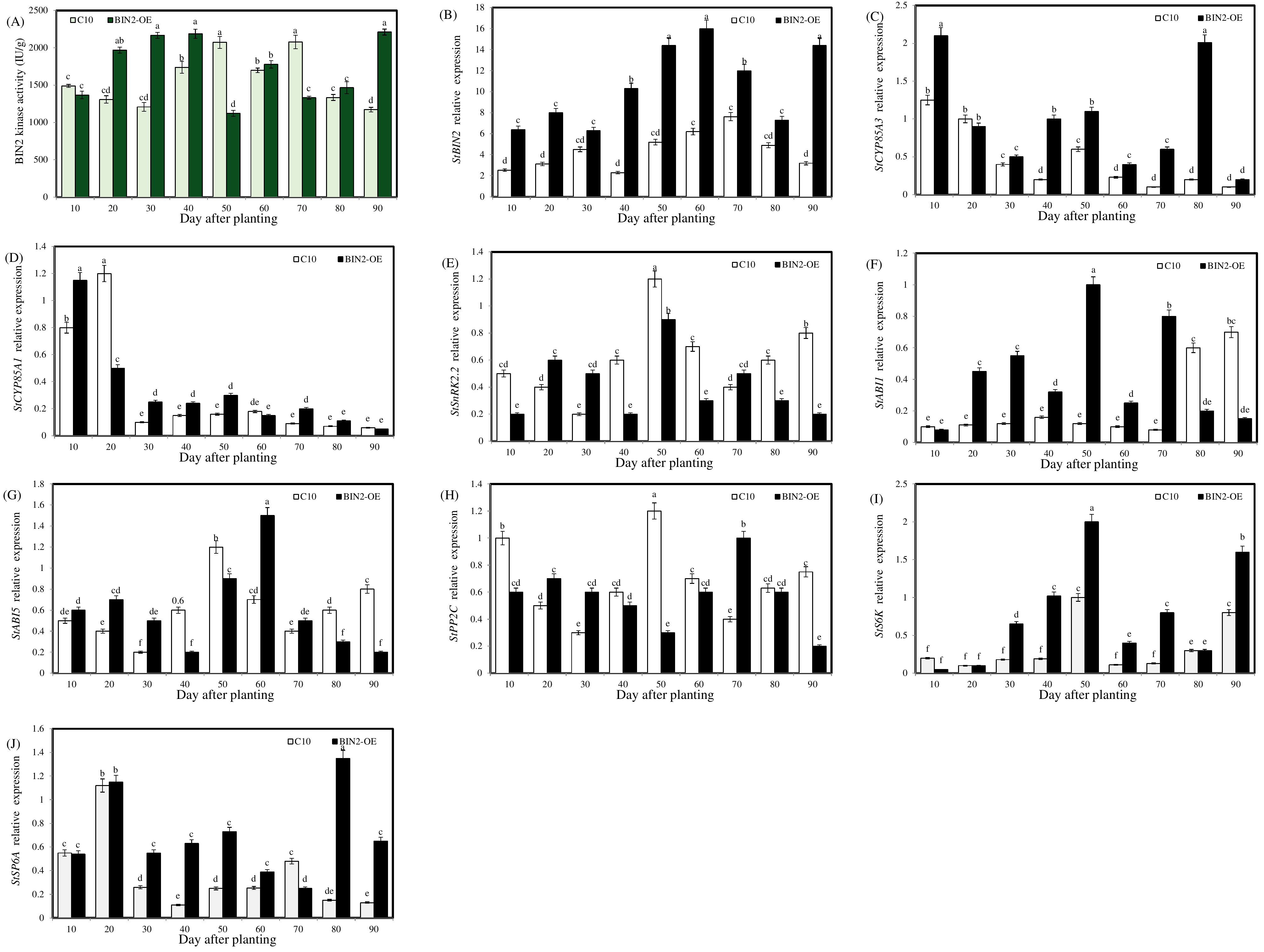
2.2.2. StBIN2 Regulates BRs and ABA Signal Transduction during Seed Potato Formation
2.2.3. StBIN2 Regulates the Effect of Sugar on Seed Potato Formation
2.3. StBIN2 Physically Interacts in a Yeast Two-Hybrid System
3. Discussion
4. Materials and Methods
4.1. Gene and Protein Structure Analysis
4.2. Plant Material and Growth Conditions
4.3. The Generation of StBIN2 Transgenic Potato Lines
4.4. Sampling and Processing Methods
4.5. RNA Extraction and cDNA synthesis
4.6. Index Measurement
4.7. Quantitative Real-Time PCR
4.8. Yeast Two-Hybrid Assay
4.9. Statistical Analysis
Author Contributions
Funding
Institutional Review Board Statement
Informed Consent Statement
Data Availability Statement
Conflicts of Interest
Appendix A

References
- Alamar, M.C.; Tosetti, R.; Landahl, S. Assuring potato tuber quality during storage: A future perspective. Front. Plant Sci. 2017, 8, 2034–2036. [Google Scholar] [CrossRef] [PubMed]
- Debast, S.; Nunes-Nesi, A.; Hajirezaei, M.R. Altering trehalose-6-phosphate content in transgenic potato tubers affects tuber growth and alters responsiveness to hormones during sprouting. Plant Physiol. 2011, 156, 1754–1771. [Google Scholar] [CrossRef]
- Begum, S.; Jing, S.; Yu, L. Modulation of JA signalling reveals the influence of StJAZ1-like on tuber initiation and tuber bulking in potato. Plant J. 2022, 109, 952–964. [Google Scholar] [CrossRef] [PubMed]
- Xue, H.Y.; Liu, W.; Shen, X.L. Effect of sucrose, GA and liquid medium on the tuber formation of potato. Biol. Bull. 2018, 205, 123–128. [Google Scholar]
- Huber, S.; Huber, J. Role and regulation of sucrose-phosphate synthase in higher plants. Annu. Rev. Plant Physiol. Plant Mol. Biol. 1996, 47, 431–444. [Google Scholar] [CrossRef] [PubMed]
- Kim, S.H.; Mizuno, F. Regulation of tuber formation and ADP-glucose pyrophosphorylase (AGPase) in sweet potato (Ipomoea batatas L.) Lam.) by nitrate. Plant Growth Regul. 2002, 37, 207–213. [Google Scholar] [CrossRef]
- Tang, X.; Zicheng, Q.U.; Zhang, H. Effect of physiology and yield by spraying eBR during potato tuber formation stage. J. Nucl. Agric. Sci. 2018, 45, 6–12. [Google Scholar]
- Mariette, A.; Helle, T.; Stéphanie, A. Inhibition of plastid PPase and NTT leads to major changes in starch and tuber formation in potato. J. Exp. Bot. 2018, 8, 1913–1924. [Google Scholar]
- Tiessen, A.; Hendriks, J.; Stitt, M. Starch synthesis in potato tubers is regulated by post-translational redox modification of ADP-glucose pyrophosphorylase: A novel regulatory mechanism linking starch synthesis to the sucrose supply. Plant Cell 2002, 14, 2191–2193. [Google Scholar] [CrossRef]
- Kavakli, I.H.; Park, J.S.; Slattery, C.J. Analysis of allosteric effector binding sites of potato ADP-glucose pyrophosphorylase through reverse genetics. J. Biol. Chem. 2001, 276, 40834–40874. [Google Scholar] [CrossRef]
- Cirou, A.; Diallo, S.; Kurt, C.; Latour, X.; Faure, D. Growth promotion of quorum-quenching bacteria in the rhizosphere of Solanum tuberosum. Environ. Microbiol. 2010, 9, 511–522. [Google Scholar] [CrossRef] [PubMed]
- Luis, F.; Leloir, C.; Cardini, E. The biosynthesis of sucrose phosphate. J. Biol. Chem. 1955, 214, 58–63. [Google Scholar]
- Hou, J.; Liu, T.; Reid, S.; Zhang, H.; Peng, X.; Sun, K.; Du, J.; Sonnewald, U.; Song, B. Silencing of alpha-amylase StAmy23 in potato tuber leads to delayed sprouting. Plant Physiol. Biochem. 2019, 139, 411–418. [Google Scholar] [CrossRef] [PubMed]
- Tsugama, D.; Liu, S.; Takano, T. A bZIP protein, VIP1, is a regulator of osmosensory signaling in Arabidopsis. Plant Physiol. 2012, 159, 144–155. [Google Scholar] [CrossRef]
- Ritter, E.; Angulo, B.; Riga, P.; Herrán, C.; Relloso, J.; Sanjose, M. Comparison of hydroponic and aeroponic cultivation systems for the production of potato minitubers. Potato Res. 2001, 44, 127–135. [Google Scholar] [CrossRef]
- Kondhare, K.R.; Natarajan, B.; Banerjee, A.K. Molecular signals that govern tuber development in potato. Int. J. Dev. Biol. 2020, 64, 2–5. [Google Scholar] [CrossRef]
- Sánchez-Rodríguez, C.; Ketelaar, K.; Schneider, R.; Villalobos, J.A.; Somerville, C.R.; Persson, S.; Wallace, I.S. BRASSINOSTEROID INSENSITIVE2 negatively regulates cellulose synthesis in Arabidopsis by phosphorylating cellulose synthase 1. Proc. Natl. Acad. Sci. USA 2017, 114, 3533–3538. [Google Scholar] [CrossRef] [PubMed]
- Bitterlich, M.; Krugel, U.; Boldt-Burisch, K. Interaction of brassinosteroid functions and sucrose transporter SlSUT2 regulate the formation of arbuscular mycorrhiza. Plant Signal Behav. 2014, 9, e970426. [Google Scholar] [CrossRef]
- Hirano, K.; Kawamura, M.; Araki, N.S. Sorghum DW1 positively regulates brassinosteroid signaling by inhibiting the nuclear localization of BRASSINOSTEROID INSENSITIVE 2. Sci. Rep. 2017, 7, 126. [Google Scholar] [CrossRef]
- Nakaya, M.; Tsukaya, H.; Murakami, N. Brassinosteroids control the proliferation of leaf cells of Arabidopsis thaliana. Plant Cell Physiol. 2002, 43, 239–244. [Google Scholar] [CrossRef]
- Li, J.; Nam, K.H.; Vafeados, D.; Chory, J. BIN2, a new brassinosteroid-insensitive locus in Arabidopsis. Plant Physiol. 2001, 127, 14–22. [Google Scholar] [CrossRef] [PubMed]
- Cho, H.; Ryu, H.; Rho, S. A secreted peptide acts on BIN2-mediated phosphorylation of ARFs to potentiate auxin response during lateral root development. Nat. Cell Biol. 2014, 16, 66–76. [Google Scholar] [CrossRef] [PubMed]
- Hu, Y.; Yu, D. BRASSINOSTEROID INSENSITIVE2 interacts with ABSCISIC ACID INSENSITIVE5 to mediate the antagonism of brassinosteroids to abscisic acid during seed germination in Arabidopsis. Plant Cell 2014, 26, 4394–4408. [Google Scholar] [CrossRef] [PubMed]
- Bulgakov, V.P.; Avramenko, T.V. Linking brassinosteroid and ABA signaling in the context of stress acclimation. Int. J. Mol. Sci. 2020, 21, 5108–5122. [Google Scholar] [CrossRef] [PubMed]
- Li, J.G.; Fan, M.; Hua, W. Brassinosteroid and hydrogen peroxide interdependently induce stomatal opening by promoting guard cell starch degradation. Plant Cell 2020, 32, 984–999. [Google Scholar] [CrossRef]
- Wang, H.; Tang, J.; Liu, J.; Hu, J.; Liu, J.; Chen, Y.; Cai, Z.; Wang, X. Abscisic acid signaling inhibits brassinosteroid signaling through dampening the dephosphorylation of BIN2 by ABI1 and ABI2. Mol. Plant 2018, 11, 315–325. [Google Scholar] [CrossRef]
- Liu, X.; Yang, Q.; Wang, Y. Brassinosteroids regulate pavement cell growth by mediating BIN2-induced microtubule stabilization. J. Exp. Bot. 2018, 69, 1037–1049. [Google Scholar] [CrossRef]
- Li, L.; Deng, M.; Lyu, C. Quantitative phosphoproteomics analysis reveals that protein modification and sugar metabolism contribute to sprouting in potato after BR treatment. Food Chem. 2020, 325, 126–135. [Google Scholar] [CrossRef]
- Raquel, F.; Kjell, S.; Jenny, R.; Rony, S.; Jean, F.H.; Bart, P. Changes in sugar content and proteome of potato in response to cold and dehydration stress and their implications for cryopreservation. J. Proteom. 2014, 98, 99–111. [Google Scholar]
- Giselle, M.A.; Martínez, N.; Jorge, A.T. Sugar Signaling Under Abiotic Stress in Plants. Plant Metab. Regul. Under Environ. Stress 2018, 22, 397–406. [Google Scholar]
- Sheng, H.; Zhang, S.X.; Wei, Y. Exogenous application of low-concentration sugar enhances brassinosteroid signaling for skotomorphogenesis by promoting BIN2 degradation. Int. J. Mol. Sci. 2021, 22, 13588. [Google Scholar] [CrossRef] [PubMed]
- Khan, M.; Luo, B.; Hu, M.; Fu, S.; Liu, J. Brassinosteroid Signaling Downstream Suppressor BIN2 Interacts with SLFRIGIDA-LIKE to Induce Early Flowering in Tomato. Int. J. Mol. Sci. 2022, 23, 11264–11281. [Google Scholar] [CrossRef] [PubMed]
- Plantenga, F.; Bergonzi, S.; Abelenda, J.A. The tuberization signal StSP6A represses flower bud development in potato. J. Exp. Bot. 2018, 70, 937–948. [Google Scholar] [CrossRef] [PubMed]
- Jing, S.; Sun, X.; Yu, L. Transcription factor StABI5-like 1 binding to the FLOWERING LOCUS T homologs promotes early maturity in potato. Plant Physiol. 2022, 23, 1677–1693. [Google Scholar] [CrossRef] [PubMed]
- Wang, E.S.; Liu, T.F.; Sun, X.M. Solanum tuberosum profiling of the candidate interacting proteins of SELF-PRUNING 6A (SP6A) in Solanum tuberosum. Int. J. Mol. Sci. 2022, 23, 9126. [Google Scholar] [CrossRef] [PubMed]
- Zhang, D.; Tan, W.; Yang, F.; Han, Q.; Deng, X.; Guo, H.; Liu, B.; Yin, Y.; Lin, H. A BIN2-GLK1 Signaling Module Integrates Brassinosteroid and Light Signaling to Repress Chloroplast Development in the Dark. Dev. Cell 2021, 56, 310–324. [Google Scholar] [CrossRef] [PubMed]
- Li, T.; Lei, W.; He, R.; Tang, X.; Han, J.; Zou, L.; Yin, Y.; Lin, H.; Zhang, D. Brassinosteroids regulate root meristem development by mediating BIN2-UPB1 module in Arabidopsis. PLoS Genet. 2020, 16, e1008883. [Google Scholar] [CrossRef]
- Jiang, H.; Tang, B.; Xie, Z.; Nolan, T.; Ye, H.; Song, G.; Walley, J.; Yin, Y. GSK3-like kinase BIN2 phosphorylates RD26 to potentiate drought signaling in Arabidopsis. Plant J. 2019, 100, 923–937. [Google Scholar] [CrossRef]
- Han, Q.; Tan, W.; Zhao, Y.; Yang, F.; Yao, X.; Lin, H.; Zhang, D. Salicylic acid-activated BIN2 phosphorylation of TGA3 promotes Arabidopsis PR gene expression and disease resistance. EMBO J. 2022, 41, e110682. [Google Scholar] [CrossRef]
- Yang, C.; Shen, W.; He, Y. OVATE family protein 8 positively mediates brassinosteroid signaling through interacting with the GSK3-like kinase in rice. PLoS Genet. 2016, 12, e1006118. [Google Scholar] [CrossRef]
- Umemoto, N.; Nakayasu, M.; Ohyama, K. Two cytochrome P450 monooxygenases catalyze early hydroxylation steps in the potato steroid glycoalkaloid biosynthetic pathway. Plant Physiol. 2016, 171, 2458–2467. [Google Scholar] [CrossRef] [PubMed]
- Clouse, S.D.; Langford, M.; McMorris, T.C. A brassinosteroid-insensitive mutant in Arabidopsis thaliana exhibits multiple defects in growth and development. Plant Physiol. 1996, 111, 671–678. [Google Scholar] [CrossRef] [PubMed]
- Huang, S.; Zheng, C.; Zhao, Y.; Li, Q.; Liu, J.; Deng, R.; Lei, T.; Wang, S.; Wang, X. RNA interference knockdown of the brassinosteroid receptor BRI1 in potato (Solanum tuberosum L.) reveals novel functions for brassinosteroid signaling in controlling tuberization. Sci. Hortic. 2021, 290, 110516. [Google Scholar] [CrossRef]
- Benoit, S.; Kemp, C.; Christopher, J. Palmitic acid mediates hypothalamic insulin resistance by altering pkc-θ subcellular localization in rodents. J. Clin. Investig. 2011, 121, 456. [Google Scholar] [CrossRef][Green Version]
- Glen, S.; Li, L.; Sanderford, M.; Peterson, D.; Tamura, K.; Kumar, S. MEGA-MD: Molecular evolutionary genetics analysis software with mutational diagnosis of amino acid variation. Bioinformatics 2014, 9, 1305–1307. [Google Scholar]
- Yanping, T.; Lian, Y.; Fushou, H.; Wei, C.; Minmin, S. Identification for promoter cis-acting element of vascular bundle development related gene nvas in nicotiana tobacum. Nat. Sci. Ed. 2018, 37, 31–35. [Google Scholar]
- Wang, X.; Li, J.; Zou, X.; Lu, L.; Li, L.; Ni, S.; Liu, F. Ectopic expression of AtCIPK23 enhances tolerance against Low-K+ stress in transgenic potato. Am. J. Potato Res. 2010, 88, 153–159. [Google Scholar] [CrossRef]
- Islas-Flores, T.; Galán-Vásquez, E.; Villanueva, M.A. Screening a spliced leader-based Symbiodinium microadriaticum cDNA library using the yeast-two hybrid system reveals a hemerythrin-like protein as a putative SmicRACK1 ligand. Microorganisms. 2021, 9, 791. [Google Scholar] [CrossRef]
- Zarbakhsh, S.; Shahsavar, A.R. Exogenous γ-aminobutyric acid improves the photosynthesis efficiency, soluble sugar contents, and mineral nutrients in pomegranate plants exposed to drought, salinity, and drought-salinity stresses. BMC Plant Biol. 2023, 23, 543. [Google Scholar] [CrossRef]
- Awasthi, B.P.; Guragain, D.; Chaudhary, P.; Jee, J.G.; Kim, J.A.; Jeong, B.S. Antitumor activity of a pexidartinib bioisostere inhibiting CSF1 production and CSF1R kinase activity in human hepatocellular carcinoma. Chem. Biol. Interact. 2023, 369, 110255. [Google Scholar] [CrossRef]
- Noelle, K.J.; Katya, L.M.; Michael, W.N. Shared Patterns of Gene Expression and Protein Evolution Associated with Adaptation to Desert Environments in Rodents. Genome Biol. Evol. 2022, 14, 155–163. [Google Scholar]
- Remans, T.; Smeets, K.; Opdenakker, K.; Mathijsen, D.; Vangronsveld, J.; Cuypers, A. Normalisation of real-time rt-pcr gene expression measurements in Arabidopsis thaliana exposed to increased metal concentrations. Planta 2008, 227, 1343–1349. [Google Scholar] [CrossRef]
- Gerhards, J.; Maerz, L.D.; Matthees, E.S.; Donow, C.; Moepps, B.; Premont, R.T. Kinase activity is not required for g-protein-coupled receptor kinase 4 restraining mtor signaling during cilia and kidney development. J. Am. Soc. Nephrol. 2023, 34, 590–606. [Google Scholar] [CrossRef]
- Deng, M.; Peng, J.; Zhang, J.; Ran, S.; Wang, X. The cysteine-rich peptide snakin-2 negatively regulates tubers sprouting through modulating lignin biosynthesis and H2O2 accumulation in potato. Int. J. Mol. Sci. 2021, 22, 2287. [Google Scholar] [CrossRef]
- Liu, S.; Yu, C.; Tian, H.; Hu, T.; He, Y.; Li, Z.; Tan, W.; Zhang, L.; Duan, L. A Novel Bikinin Analogue for Arabidopsis and Rice with Superior Plant Growth-Promoting Activity. J. Plant Growth Regul. 2018, 37, 166–173. [Google Scholar] [CrossRef]








| Cis-Element | Core Sequence | Functional Description of Cis-Element | Positions |
|---|---|---|---|
| ABRE | ACGTG | cis-acting element involved in abscisic acid responsiveness | −50 |
| TGA-box A | TGACGTA | part of an auxin-responsive element | −23 |
| TGA-element | AACGAC | auxin-responsive element | −1296 |
| TATC-box | TATCCCA | cis-acting element involved in gibberellin responsiveness | −643, −871 |
| P-box | CCTTTTG | gibberellin-responsive element | −64, −82, −512 |
| CGTCA-motif | CGTCA | cis-acting regulatory element involved in the MeJA responsiveness | −23 |
| TCA-element | CCATCTTTTT | cis-acting element involved in salicylic acid responsiveness | −824 |
| CAT-box | GCCACT | cis-acting regulatory element related to meristem expression | −250, −263, −1521 |
| WUN-motif | AAATTTCCT | wound-responsive element | −726 |
| ARE | AAACCA | cis-acting regulatory element essential for the anaerobic induction | −1283 |
| MYB | TAACCA | MYB transcription factor binding site | −28, −533, −1220, −1330 |
| MYC | CATGTG | MYC transcription factor binding site | −56, −1170 |
| MYC | CATTTG | MYC transcription factor binding site | −867, −1320 |
| GT1-motif | GGTTAA | light responsive element | −534, −1329 |
| G-box | CACGTC | cis-acting regulatory element involved in light responsiveness | −49 |
| Box 4 | ATTAAT | part of a conserved DNA module involved in light responsiveness | −892, −911, −997, −1126 |
Disclaimer/Publisher’s Note: The statements, opinions and data contained in all publications are solely those of the individual author(s) and contributor(s) and not of MDPI and/or the editor(s). MDPI and/or the editor(s) disclaim responsibility for any injury to people or property resulting from any ideas, methods, instructions or products referred to in the content. |
© 2023 by the authors. Licensee MDPI, Basel, Switzerland. This article is an open access article distributed under the terms and conditions of the Creative Commons Attribution (CC BY) license (https://creativecommons.org/licenses/by/4.0/).
Share and Cite
Liu, J.; Cai, C.; Liu, S.; Li, L.; Wang, Q.; Wang, X. StBIN2 Positively Regulates Potato Formation through Hormone and Sugar Signaling. Int. J. Mol. Sci. 2023, 24, 16087. https://doi.org/10.3390/ijms242216087
Liu J, Cai C, Liu S, Li L, Wang Q, Wang X. StBIN2 Positively Regulates Potato Formation through Hormone and Sugar Signaling. International Journal of Molecular Sciences. 2023; 24(22):16087. https://doi.org/10.3390/ijms242216087
Chicago/Turabian StyleLiu, Jie, Chengcheng Cai, Shifeng Liu, Liqin Li, Qiang Wang, and Xiyao Wang. 2023. "StBIN2 Positively Regulates Potato Formation through Hormone and Sugar Signaling" International Journal of Molecular Sciences 24, no. 22: 16087. https://doi.org/10.3390/ijms242216087
APA StyleLiu, J., Cai, C., Liu, S., Li, L., Wang, Q., & Wang, X. (2023). StBIN2 Positively Regulates Potato Formation through Hormone and Sugar Signaling. International Journal of Molecular Sciences, 24(22), 16087. https://doi.org/10.3390/ijms242216087

