Cofactor Engineering for Efficient Production of α-Farnesene by Rational Modification of NADPH and ATP Regeneration Pathway in Pichia pastoris
Abstract
1. Introduction
2. Results and Discussion
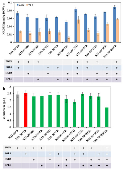
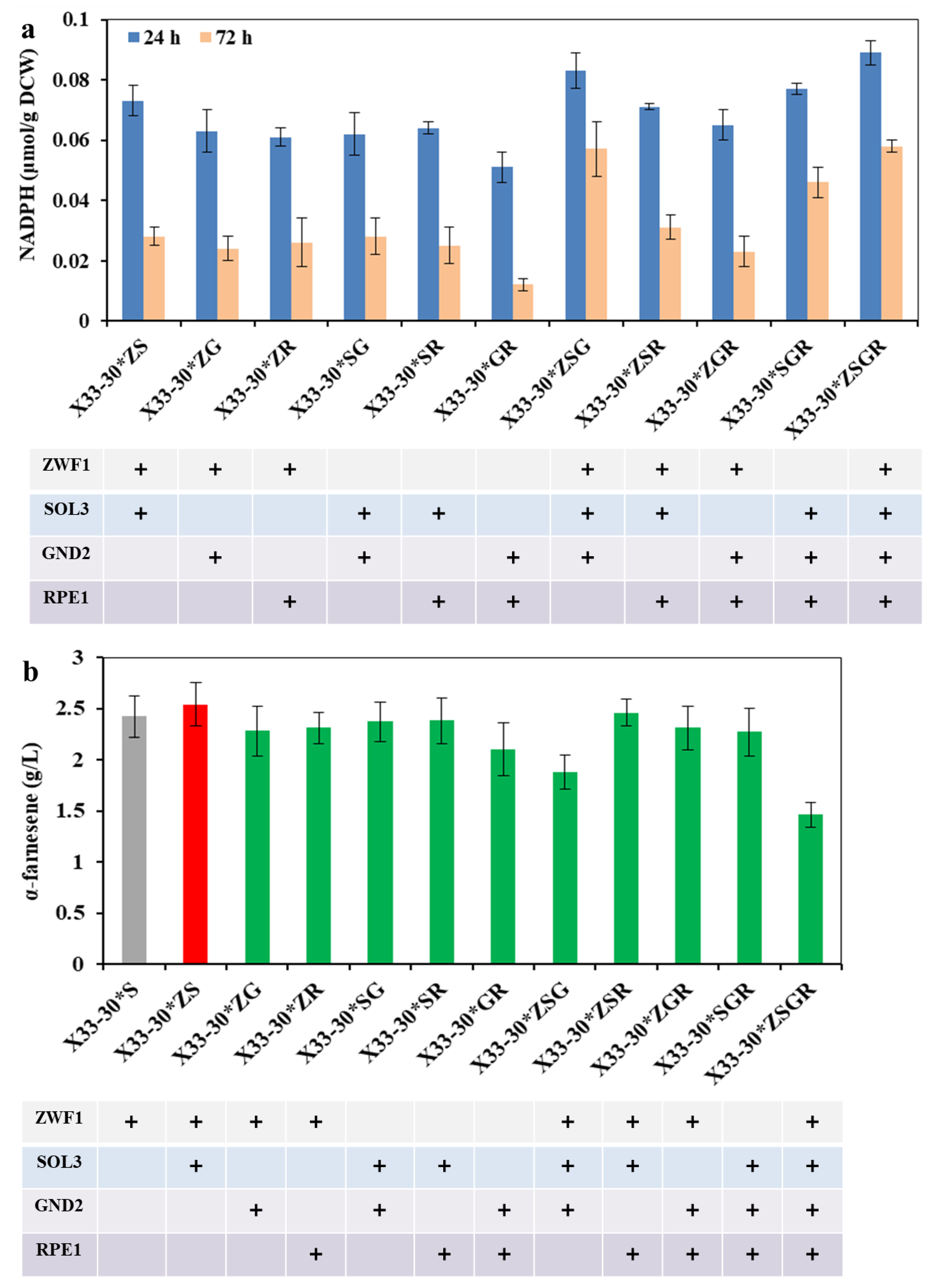
2.1. Combined Over-Expression of ZWF1 and SOL3 Improves the NADPH Supply and Thus Increases α-Farnesene Production in P. pastoris X33-30*
2.2. Inactivation of Glucose-6-Phosphate Isomerase Disturbs the Cell Growth and Thus Negatively Affects α-Farnesene Biosynthesis in P. pastoris X33-31
2.3. Low Intensity Expression of POS5 from S. cerevisiae Balances the NADPH/NADH Ratio and Thus Promotes α-Farnesene Biosynthesis in P. pastoris
2.4. Overexpression of Adenine Phosphoribosyltransferase Enhances the Precursor AMP Supply and Thus Increases the ATP Availability and α-Farnesene Production in P. pastoris
2.5. Deletion of NADH-Dependent Dihydroxyacetone Phosphate Reductase Elevates the Intracellular NADH Level and Thus Elevates the Intracellular ATP Level and α-Farnesene Production in P. pastoris
3. Materials and Methods
3.1. Strains and Medium
3.2. Construction of Plasmids and Strains
3.3. Shake Flask Culture Conditions and Biomass Analysis
3.4. Quantification of α-Farnesene
3.5. Quantification of Intracellular NADH/NAD+, NADPH/NADP+ and ATP
3.6. Statistical Analysis
4. Conclusions
Supplementary Materials
Author Contributions
Funding
Institutional Review Board Statement
Informed Consent Statement
Data Availability Statement
Acknowledgments
Conflicts of Interest
References
- Yang, X.; Nambou, K.; Wei, L.J.; Hua, Q. Heterologous production of alpha-farnesene in metabolically engineered strains of Yarrowia lipolytica. Bioresour. Technol. 2016, 216, 1040–1048. [Google Scholar] [CrossRef] [PubMed]
- Liu, S.-C.; Liu, Z.; Wei, L.-J.; Hua, Q. Pathway engineering and medium optimization for α-farnesene biosynthesis in oleaginous yeast Yarrowia lipolytica. J. Biotechnol. 2020, 319, 74–81. [Google Scholar] [CrossRef] [PubMed]
- Liu, H.; Chen, S.L.; Xu, J.Z.; Zhang, W.G. Dual Regulation of Cytoplasm and Peroxisomes for Improved Ay-Farnesene Production in Recombinant Pichia pastoris. ACS Synth. Biol. 2021, 10, 1563–1573. [Google Scholar] [CrossRef] [PubMed]
- Ye, Z.; Shi, B.; Huang, Y.; Ma, T.; Xiang, Z.; Hu, B.; Kuang, Z.; Huang, M.; Lin, X.; Tian, Z.; et al. Revolution of vitamin E production by starting from microbial fermented farnesene to isophytol. Innovation 2022, 3, 100228. [Google Scholar] [CrossRef]
- You, S.P.; Chang, H.X.; Zhang, C.Y.; Gao, L.; Qi, W.; Tao, Z.P.; Su, R.X.; He, Z.M. Recycling Strategy and Repression Elimination for Lignocellulosic-Based Farnesene Production with an Engineered Escherichia coli. J. Agric. Food Chem. 2019, 67, 9858–9867. [Google Scholar] [CrossRef]
- Liu, Y.H.; Jiang, X.; Cui, Z.Y.; Wang, Z.X.; Qi, Q.S.; Hou, J. Engineering the oleaginous yeast Yarrowia lipolytica for production of alpha-farnesene. Biotechnol. Biofuels 2019, 12, 296. [Google Scholar] [CrossRef]
- Tang, R.H.; Wen, Q.F.; Li, M.J.; Zhang, W.; Wang, Z.B.; Yang, J.M. Recent Advances in the Biosynthesis of Farnesene Using Metabolic Engineering. J. Agric. Food Chem. 2021, 69, 15468–15483. [Google Scholar] [CrossRef]
- Liu, G.S.; Li, T.; Zhou, W.; Jiang, M.; Tao, X.Y.; Liu, M.; Zhao, M.; Ren, Y.H.; Gao, B.; Wang, F.Q.; et al. The yeast peroxisome: A dynamic storage depot and subcellular factory for squalene overproduction. Metab. Eng. 2020, 57, 151–161. [Google Scholar] [CrossRef]
- Meadows, A.L.; Hawkins, K.M.; Tsegaye, Y.; Antipov, E.; Kim, Y.; Raetz, L.; Dahl, R.H.; Tai, A.; Mahatdejkul-Meadows, T.; Xu, L.; et al. Rewriting yeast central carbon metabolism for industrial isoprenoid production. Nature 2016, 537, 694. [Google Scholar] [CrossRef]
- Sandoval, C.M.; Ayson, M.; Moss, N.; Lieu, B.; Jackson, P.; Gaucher, S.P.; Horning, T.; Dahl, R.H.; Denery, J.R.; Abbott, D.A.; et al. Use of pantothenate as a metabolic switch increases the genetic stability of farnesene producing Saccharomyces cerevisiae. Metab. Eng. 2014, 25, 215–226. [Google Scholar] [CrossRef]
- Tomas-Gamisans, M.; Andrade, C.C.P.; Maresca, F.; Monforte, S.; Ferrer, P.; Albiol, J. Redox Engineering by Ectopic Overexpression of NADH Kinase in Recombinant Pichia pastoris (Komagataella phaffii): Impact on Cell Physiology and Recombinant Production of Secreted Proteins. Appl. Environ. Microb. 2020, 86, e02038-19. [Google Scholar] [CrossRef]
- Blank, L.M.; Lehmbeck, F.; Sauer, U. Metabolic-flux and network analysis in fourteen hemiascomycetous yeasts. FEMS Yeast Res. 2005, 5, 545–558. [Google Scholar] [CrossRef] [PubMed]
- Grabowska, D.; Chelstowska, A. The ALD6 gene product is indispensable for providing NADPH in yeast cells lacking glucose-6-phosphate dehydrogenase activity. J. Biol. Chem. 2003, 278, 13984–13988. [Google Scholar] [CrossRef] [PubMed]
- Lu, S.R.; Zhou, C.Y.; Guo, X.N.; Du, Z.D.; Cheng, Y.F.; Wang, Z.Y.; He, X.P. Enhancing fluxes through the mevalonate pathway in Saccharomyces cerevisiae by engineering the HMGR and beta-alanine metabolism. Microb. Biotechnol. 2022, 15, 2292–2306. [Google Scholar] [CrossRef] [PubMed]
- Zhang, L.T.; Zhang, C.H.; Xu, R.; Yu, W.J.; Liu, J.G. A strategy for promoting carbon flux into fatty acid and astaxanthin biosynthesis by inhibiting the alternative oxidase respiratory pathway in Haematococcus pluvialis. Bioresour. Technol. 2022, 344, 126275. [Google Scholar] [CrossRef] [PubMed]
- Liu, H.; Wang, F.; Deng, L.; Xu, P. Genetic and bioprocess engineering to improve squalene production in Yarrowia lipolytica. Bioresour. Technol. 2020, 317, 123991. [Google Scholar] [CrossRef]
- Ng, C.Y.; Farasat, I.; Maranas, C.D.; Salis, H.M. Rational design of a synthetic Entner-Doudoroff pathway for improved and controllable NADPH regeneration. Metab. Eng. 2015, 29, 86–96. [Google Scholar] [CrossRef]
- Nie, Y.S.; Huang, M.Z.; Lu, J.J.; Qian, J.C.; Lin, W.L.; Chu, J.; Zhuang, Y.P.; Zhang, S.L. Impacts of high beta-galactosidase expression on central metabolism of recombinant Pichia pastoris GS115 using glucose as sole carbon source via C-13 metabolic flux analysis. J. Biotechnol. 2014, 187, 124–134. [Google Scholar] [CrossRef]
- Celton, M.; Sanchez, I.; Goelzer, A.; Fromion, V.; Camarasa, C.; Dequin, S. A comparative transcriptomic, fluxomic and metabolomic analysis of the response of Saccharomyces cerevisiae to increases in NADPH oxidation. BMC Genom. 2012, 13, 317. [Google Scholar] [CrossRef]
- Man, Z.; Rao, Z.; Xu, M.; Guo, J.; Yang, T.; Zhang, X.; Xu, Z. Improvement of the intracellular environment for enhancing l-arginine production of Corynebacterium glutamicum by inactivation of H2O2-forming flavin reductases and optimization of ATP supply. Metab. Eng. 2016, 38, 310–321. [Google Scholar] [CrossRef]
- Chung, B.K.; Selvarasu, S.; Andrea, C.; Ryu, J.; Lee, H.; Ahn, J.; Lee, H.; Lee, D.Y. Genome-scale metabolic reconstruction and in silico analysis of methylotrophic yeast Pichia pastoris for strain improvement. Microb. Cell Fact. 2010, 9, 50. [Google Scholar] [CrossRef] [PubMed]
- Zelle, E.; Pfelzer, N.; Oldiges, M.; Koch-Koerfges, A.; Bott, M.; Noh, K.; Wiechert, W. An energetic profile of Corynebacterium glutamicum underpinned by measured biomass yield on ATP. Metab. Eng. 2021, 65, 66–78. [Google Scholar] [CrossRef] [PubMed]
- Prabhu, A.A.; Veeranki, V.D. Metabolic engineering of Pichia pastoris GS115 for enhanced pentose phosphate pathway (PPP) flux toward recombinant human interferon gamma (hIFN-gamma) production. Mol. Biol. Rep. 2018, 45, 961–972. [Google Scholar] [CrossRef] [PubMed]
- Nocon, J.; Steiger, M.; Mairinger, T.; Hohlweg, J.; Russmayer, H.; Hann, S.; Gasser, B.; Mattanovich, D. Increasing pentose phosphate pathway flux enhances recombinant protein production in Pichia pastoris. Appl. Microbiol. Biotechnol. 2016, 100, 5955–5963. [Google Scholar] [CrossRef] [PubMed]
- Nocon, J.; Steiger, M.G.; Pfeffer, M.; Sohn, S.B.; Kim, T.Y.; Maurer, M.; Russmayer, H.; Pflugl, S.; Ask, M.; Haberhauer-Troyer, C.; et al. Model based engineering of Pichia pastoris central metabolism enhances recombinant protein production. Metab. Eng. 2014, 24, 129–138. [Google Scholar] [CrossRef]
- Paramasivan, K.; Mutturi, S. Regeneration of NADPH Coupled with HMG-CoA Reductase Activity Increases Squalene Synthesis in Saccharomyces cerevisiae. J. Agric. Food Chem. 2017, 65, 8162–8170. [Google Scholar] [CrossRef] [PubMed]
- Brown, S.; Clastre, M.; Courdavault, V.; O’Connor, S.E. De novo production of the plant-derived alkaloid strictosidine in yeast. Proc. Natl. Acad. Sci. USA 2015, 112, 3205–3210. [Google Scholar] [CrossRef]
- Rebnegger, C.; Graf, A.B.; Valli, M.; Steiger, M.G.; Gasser, B.; Maurer, M.; Mattanovich, D. In Pichia pastoris, growth rate regulates protein synthesis and secretion, mating and stress response. Biotechnol. J. 2014, 9, 511–525. [Google Scholar] [CrossRef]
- Kim, J.E.; Jang, I.S.; Sung, B.H.; Kim, S.C.; Lee, J.Y. Rerouting of NADPH synthetic pathways for increased protopanaxadiol production in Saccharomyces cerevisiae. Sci. Rep. 2018, 8, 15820. [Google Scholar] [CrossRef]
- Larochelle, M.; Drouin, S.; Robert, F.; Turcotte, B. Oxidative stress-activated zinc cluster protein Stb5 has dual activator/repressor functions required for pentose phosphate pathway regulation and NADPH production. Mol. Cell. Biol. 2006, 26, 6690–6701. [Google Scholar] [CrossRef]
- Qin, N.; Li, L.; Ji, X.; Li, X.; Zhang, Y.; Larsson, C.; Chen, Y.; Nielsen, J.; Liu, Z. Rewiring Central Carbon Metabolism Ensures Increased Provision of Acetyl-CoA and NADPH Required for 3-OH-Propionic Acid Production. ACS Synth. Biol. 2020, 9, 3236–3244. [Google Scholar] [CrossRef] [PubMed]
- Zhang, Q.; Wang, X.; Luo, H.; Wang, Y.; Wang, Y.; Tu, T.; Qin, X.; Su, X.; Huang, H.; Yao, B.; et al. Metabolic engineering of Pichia pastoris for myo-inositol production by dynamic regulation of central metabolism. Microb. Cell Fact. 2022, 21, 112. [Google Scholar] [CrossRef] [PubMed]
- Aguilera, A.; Zimmermann, F.K. Isolation and molecular analysis of the phosphoglucose isomerase structural gene of Saccharomyces cerevisiae. Mol. Gen. Genet. 1986, 202, 83–89. [Google Scholar] [CrossRef] [PubMed]
- Heux, S.; Cadiere, A.; Dequin, S. Glucose utilization of strains lacking PGI1 and expressing a transhydrogenase suggests differences in the pentose phosphate capacity among Saccharomyces cerevisiae strains. FEMS Yeast Res. 2008, 8, 217–224. [Google Scholar] [CrossRef]
- Fiaux, J.; Cakar, Z.P.; Sonderegger, M.; Wuthrich, K.; Szyperski, T.; Sauer, U. Metabolic-flux profiling of the yeasts Saccharomyces cerevisiae and Pichia stipitis. Eukaryot. Cell 2003, 2, 170–180. [Google Scholar] [CrossRef]
- Rigoulet, M.; Aguilaniu, H.; Averet, N.; Bunoust, O.; Camougrand, N.; Grandier-Vazeille, X.; Larsson, C.; Pahlman, I.L.; Manon, S.; Gustafsson, L. Organization and regulation of the cytosolic NADH metabolism in the yeast Saccharomyces cerevisiae. Mol. Cell. Biochem. 2004, 256–257, 73–81. [Google Scholar] [CrossRef]
- Yukawa, T.; Bamba, T.; Guirimand, G.; Matsuda, M.; Hasunuma, T.; Kondo, A. Optimization of 1,2,4-butanetriol production from xylose in Saccharomyces cerevisiae by metabolic engineering of NADH/NADPH balance. Biotechnol. Bioeng. 2021, 118, 175–185. [Google Scholar] [CrossRef]
- Xu, J.Z.; Yang, H.K.; Zhang, W.G. NADPH metabolism: A survey of its theoretical characteristics and manipulation strategies in amino acid biosynthesis. Crit. Rev. Biotechnol. 2018, 38, 1061–1076. [Google Scholar] [CrossRef]
- Xu, J.Z.; Ruan, H.Z.; Chen, X.L.; Zhang, F.; Zhang, W.G. Equilibrium of the intracellular redox state for improving cell growth and L-lysine yield of Corynebacterium glutamicum by optimal cofactor swapping. Microb. Cell Fact. 2019, 18, 1–12. [Google Scholar] [CrossRef]
- Delic, M.; Mattanovich, D.; Gasser, B. Repressible promoters—A novel tool to generate conditional mutants in Pichia pastoris. Microb. Cell Fact. 2013, 12, 6. [Google Scholar] [CrossRef]
- Stadlmayr, G.; Mecklenbrauker, A.; Rothmuller, M.; Maurer, M.; Sauer, M.; Mattanovich, D.; Gasser, B. Identification and characterisation of novel Pichia pastoris promoters for heterologous protein production. J. Biotechnol. 2010, 150, 519–529. [Google Scholar] [CrossRef] [PubMed]
- Vogl, T.; Glieder, A. Regulation of Pichia pastoris promoters and its consequences for protein production. New Biotechnol. 2013, 30, 385–404. [Google Scholar] [CrossRef] [PubMed]
- Koch-Koerfges, A.; Kabus, A.; Ochrombel, I.; Marin, K.; Bott, M. Physiology and global gene expression of a Corynebacterium glutamicum DeltaF(1)F(O)-ATP synthase mutant devoid of oxidative phosphorylation. Biochim. Biophys. Acta 2012, 1817, 370–380. [Google Scholar] [CrossRef]
- Glockzin, K.; Meek, T.D.; Katzfuss, A. Characterization of adenine phosphoribosyltransferase (APRT) activity in Trypanosoma brucei brucei: Only one of the two isoforms is kinetically active. PLoS Negl. Trop. Dis. 2022, 16, e0009926. [Google Scholar] [CrossRef] [PubMed]
- Ebert, B.E.; Kurth, F.; Grund, M.; Blank, L.M.; Schmid, A. Response of Pseudomonas putida KT2440 to Increased NADH and ATP Demand. Appl. Environ. Microb. 2011, 77, 6597–6605. [Google Scholar] [CrossRef]
- He, W.J.; Ye, S.C.; Xue, T.; Xu, S.Y.; Li, W.Y.; Lu, J.H.; Cao, L.Y.; Ye, B.Y.; Chen, Y.Q. Silencing the glycerol-3-phosphate dehydrogenase gene in Saccharomyces cerevisiae results in more ethanol being produced and less glycerol. Biotechnol. Lett. 2014, 36, 523–529. [Google Scholar] [CrossRef]
- Albertyn, J.; Vantonder, A.; Prior, B.A. Purification and Characterization of Glycerol-3-Phosphate Dehydrogenase of Saccharomyces-Cerevisiae. FEBS Lett. 1992, 308, 130–132. [Google Scholar] [CrossRef]
- Faijes, M.; Mars, A.E.; Smid, E.J. Comparison of quenching and extraction methodologies for metabolome analysis of Lactobacillus plantarum. Microb. Cell Fact. 2007, 6, 27. [Google Scholar] [CrossRef]
- Ni, L.; Miao, P.; Jiang, J.; Wan, F.; Li, J.; Ai, M.; Kong, L.; Tu, S. Glycyrrhiza uralensis promote the metabolism of toxic components of Aconitum carmichaeli by CYP3A and alleviate the development of chronic heart failure. PLoS ONE 2022, 17, e0270069. [Google Scholar] [CrossRef]
- Wang, J.H.; Jiang, W.; Liang, C.J.; Zhu, L.H.; Li, Y.R.; Mo, Q.; Xu, S.; Chu, A.; Zhang, L.; Ding, Z.Y.; et al. Overproduction of alpha-Farnesene in Saccharomyces cerevisiae by Farnesene Synthase Screening and Metabolic Engineering. J. Agric. Food Chem. 2021, 69, 3103–3113. [Google Scholar] [CrossRef]
- Yang, X.; Liu, J.; Zhang, J.; Shen, Y.; Qi, Q.; Bao, X.; Hou, J. Quorum sensing-mediated protein degradation for dynamic metabolic pathway control in Saccharomyces cerevisiae. Metab. Eng. 2021, 64, 85–94. [Google Scholar] [CrossRef] [PubMed]
- Liu, Y.H.; Wang, Z.X.; Cui, Z.Y.; Qi, Q.S.; Hou, J. α-Farnesene production from lipid by engineered Yarrowia lipolytica. Bioresour. Bioprocess. 2021, 8, 78. [Google Scholar] [CrossRef]
- Lee, H.J.; Choi, J.I.; Woo, H.M. Biocontainment of Engineered Synechococcus elongatus PCC 7942 for Photosynthetic Production of alpha-Farnesene from CO2. J. Agric. Food Chem. 2021, 69, 698–703. [Google Scholar] [CrossRef] [PubMed]
- Lim, H.; Park, J.; Woo, H.M. Overexpression of the Key Enzymes in the Methylerythritol 4-phosphate Pathway in Corynebacterium glutamicum for Improving Farnesyl Diphosphate-Derived Terpene Production. J. Agric. Food Chem. 2020, 68, 10780–10786. [Google Scholar] [CrossRef] [PubMed]







| Strains | NADH | NAD+ | NADH/NAD+ | NADPH | NADP+ | NADPH/NADP+ | ATP |
|---|---|---|---|---|---|---|---|
| X33-30* | 4.92 ± 0.10 | 11.32 ± 0.53 | 0.43 | 0.051 ± 0.003 | 0.213 ± 0.015 | 0.24 | 5.93 ± 0.26 |
| X33-30*A | 4.81 ± 0.23 | 11.83 ± 1.05 | 0.41 | 0.058 ± 0.004 | 0.215 ± 0.010 | 0.27 | 6.28 ± 0.22 |
| X33-30*∆ga | 5.16 ± 0.20 | 11.05 ± 1.05 | 0.47 | 0.064 ± 0.004 | 0.201 ± 0.010 | 0.32 | 6.20 ± 0.30 |
| X33-31 | 4.68 ± 0.35 | 12.03 ± 1.12 | 0.39 | 0.073 ± 0.005 | 0.194 ± 0.017 | 0.38 | 5.19 ± 0.45 |
| X33-35 | 3.19 ± 0.24 | 13.76 ± 1.24 | 0.23 | 0.075 ± 0.007 | 0.186 ± 0.009 | 0.40 | 3.07 ± 0.42 |
| X33-37 | 2.93 ± 0.31 | 14.21 ± 1.38 | 0.21 | 0.073 ± 0.009 | 0.199 ± 0.015 | 0.37 | 3.36 ± 0.23 |
| X33-38 | 3.27 ± 0.04 | 13.63 ± 1.09 | 0.27 | 0.077 ± 0.004 | 0.186 ± 0.018 | 0.41 | 4.03 ± 0.37 |
| P. pastoris | Characteristics | Reference |
|---|---|---|
| X33-30 | An α-farnesene-producing strain derived from P. pastoris X33 by dual regulation of the carbon’s metabolic pathways in cytoplasm and peroxisomes | [3] |
| X33-30* | In the X33-30 strain, PCAT1 promoters were replaced with PGAP promoters. | This study |
| X33-31 | Strain X33-30* with overexpression of ZWF1 and SOL3 | This study |
| X33-32 | Strain X33-31 with overexpression of cPOS5 under control by promoter PGAP | This study |
| X33-33 | Strain X33-31 with overexpression of cPOS5 under control by promoter PPISI | This study |
| X33-34 | Strain X33-31 with overexpression of cPOS5 under control by promoter PGPM1 | This study |
| X33-35 | Strain X33-31 with overexpression of cPOS5 under control by promoter PMET3 | This study |
| X33-36 | Strain X33-31 with overexpression of cPOS5 under control by promoter PKEX2 | This study |
| X33-37 | Strain X33-35 with overexpression of APRT | This study |
| X33-38 | Strain X33-37 with inactivation of GPD1 | This study |
| pGAPZA | Zeocinr, expression vector with GAP promoter | Invitrogen |
| pPIC3.5k | Kana r, expression vector | Invitrogen |
| pGAP-Z | Zeocinr, pGAPZA plasmid with mutated LoxP site and his4 gene | This study |
| pPISI-Z | Replacing the GAP promoter with the PISI promoter in the pGAP-Z plasmid | This study |
| pGPM1-Z | Replacing the GAP promoter with the GPM1 promoter in the pGAP-Z plasmid | This study |
| pMET3-Z | Replacing the GAP promoter with the MET3 promoter in the pGAP-Z plasmid | This study |
| pPGK1-Z | Replacing the GAP promoter with the PGK1 promoter in the pGAP-Z plasmid | This study |
| pGAP-1 | pGAP-Z carrying gene zwf1 | This study |
| pGAP-2 | pGAP-Z carrying gene sol3 | This study |
| pGAP-3 | pGAP-Z carrying gene gnd2 | This study |
| pGAP-4 | pGAP-Z carrying gene rpe1 | This study |
| pGAP-5 | pGAP-Z carrying gene cPOS5 | This study |
| pPISI-1 | pPISI-Z carrying gene cPOS5 | This study |
| pGPM1-1 | pGPM1-Z carrying gene cPOS5 | This study |
| pMET3-1 | pMET3-Z carrying gene cPOS5 | This study |
| pPGK1-1 | pPGK1-Z carrying gene cPOS5 | This study |
| pAPRT-1 | pGAP-Z carrying gene aprt | This study |
| pCas9-PG1-sg | pPIC3.5k plasmid with PTHX1 promoter, cas9 and PG1-sgRNA. Additionally, the his4 gene was replaced with the ARS gene of P. pastoris | This study |
| pCas9-GPD1-sg | pPIC3.5k plasmid with PTHX1 promoter, cas9 and GPD1-sgRNA. Additionally, the his4 gene was replaced with the ARS gene of P. pastoris | This study |
| Strains | Culturing Methods | Carbon Source | Final Titers (g/L) | Productivity (g/L/h) a | References |
|---|---|---|---|---|---|
| P. pastoris X33-38 | Shake flasks | Glucose | 3.09 | 0.043 | This work |
| S. cerevisiae WH62S | Shake flasks | Glucose | 1.48 | 0.009 | [50] |
| Fed-batch | Glucose | 10.4 | 0.043 | ||
| P. pastoris X33-30 | Shake flasks | Sorbitol + Oleic acid | 2.56 | 0.036 | [3] |
| Synechococcus elongatus SeHL-FN03 | Shake flasks | CO2 | 5.0 × 10−3 | 2.604 × 10−5 | [53] |
| Yarrowia lipolytica LSC28 | Shake flasks | Glycerol | 9.0 × 10−2 | 7.500 × 10−4 | [2] |
| Fed-batch | 2.57 | 0.021 | |||
| C. glutamicum JP-2 | 48-well plates | Glucose | 0.28 | NA b | [54] |
| Y. lipolytica F5 | Shake flasks | Glucose | 1.70 | 5.903×10−3 | [6] |
| Fed-batch | 25.55 | 0.089 |
Disclaimer/Publisher’s Note: The statements, opinions and data contained in all publications are solely those of the individual author(s) and contributor(s) and not of MDPI and/or the editor(s). MDPI and/or the editor(s) disclaim responsibility for any injury to people or property resulting from any ideas, methods, instructions or products referred to in the content. |
© 2023 by the authors. Licensee MDPI, Basel, Switzerland. This article is an open access article distributed under the terms and conditions of the Creative Commons Attribution (CC BY) license (https://creativecommons.org/licenses/by/4.0/).
Share and Cite
Chen, S.-L.; Liu, T.-S.; Zhang, W.-G.; Xu, J.-Z. Cofactor Engineering for Efficient Production of α-Farnesene by Rational Modification of NADPH and ATP Regeneration Pathway in Pichia pastoris. Int. J. Mol. Sci. 2023, 24, 1767. https://doi.org/10.3390/ijms24021767
Chen S-L, Liu T-S, Zhang W-G, Xu J-Z. Cofactor Engineering for Efficient Production of α-Farnesene by Rational Modification of NADPH and ATP Regeneration Pathway in Pichia pastoris. International Journal of Molecular Sciences. 2023; 24(2):1767. https://doi.org/10.3390/ijms24021767
Chicago/Turabian StyleChen, Sheng-Ling, Ting-Shan Liu, Wei-Guo Zhang, and Jian-Zhong Xu. 2023. "Cofactor Engineering for Efficient Production of α-Farnesene by Rational Modification of NADPH and ATP Regeneration Pathway in Pichia pastoris" International Journal of Molecular Sciences 24, no. 2: 1767. https://doi.org/10.3390/ijms24021767
APA StyleChen, S.-L., Liu, T.-S., Zhang, W.-G., & Xu, J.-Z. (2023). Cofactor Engineering for Efficient Production of α-Farnesene by Rational Modification of NADPH and ATP Regeneration Pathway in Pichia pastoris. International Journal of Molecular Sciences, 24(2), 1767. https://doi.org/10.3390/ijms24021767

