Innovative Integration of Arrayan (Luma apiculata) Extracts in Chitosan Coating for Fresh Strawberry Preservation
Abstract
:1. Introduction
2. Results and Discussion
2.1. Phenolic Composition of Arrayan Extracts
2.2. Antimicrobial Activity
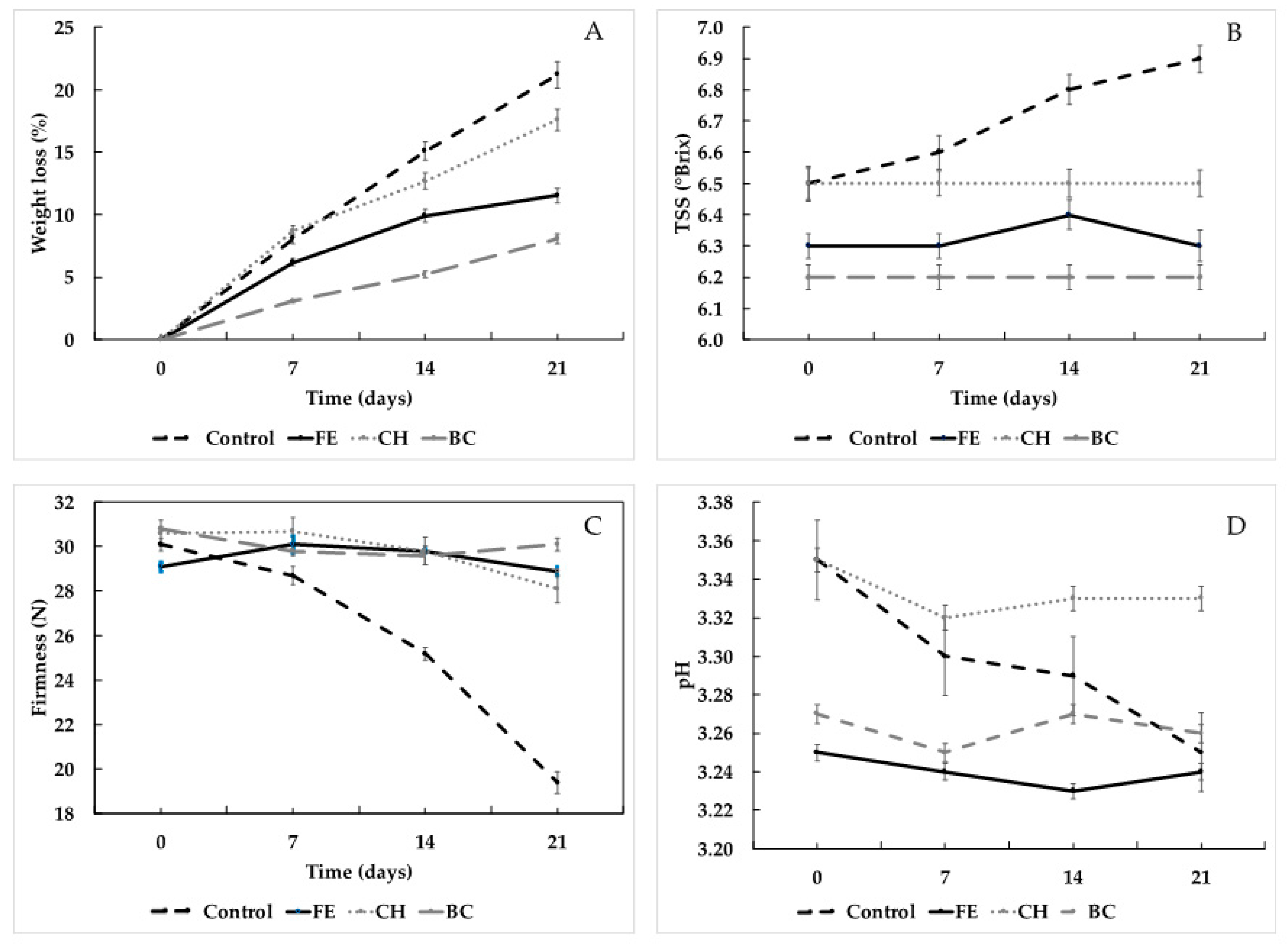
2.3. Physical and Chemical Evolution during Cold Storage
2.3.1. Weight Loss
2.3.2. Firmness
2.3.3. Total Soluble Solids (TSS)
2.3.4. pH
2.4. Microbial Stability during Strawberries Cold Storage
2.5. DPPH Radical Scavenging Assay and ORAC Antioxidant Activity
2.6. Total Phenolic Content (TPC), Ascorbic Acid, Flavonoids, and Anthocyanins
2.7. Sensory Analysis
3. Materials and Methods
3.1. Plant Material
3.2. Extracts and Coatings Preparation
Free Extract Polyphenolic Composition
3.3. Coatings’ In-Vitro Antimicrobial Activity
3.4. Shelf-Life Study (Physical, Chemical, and Microbiological Changes)
- Control: Untreated strawberries.
- Free extract (FE): Strawberries sprayed with free extract solution 0.8% w/v.
- Chitosan solution (CH): Strawberries dipped in 1.0% w/v chitosan solution.
- Bioactive coating (BC): Strawberries dipped in the bioactive coating (1.0% w/v chitosan + 0.8% w/v free extract).
3.4.1. Weight Loss
3.4.2. Firmness
3.4.3. pH and Titratable Acidity (TTA)
3.4.4. Total Soluble Solids (TTS)
3.4.5. Microbial Stability
3.5. Antioxidant Activity
3.5.1. Total Phenolic Content (TPC) and Ascorbic Acid
3.5.2. Flavanol and Anthocyanin Determination
3.6. DPPH Radical Scavenging Assay
3.7. ORAC Antioxidant Activity
3.8. Sensory Analysis
3.9. Statistical Analysis
4. Conclusions
Author Contributions
Funding
Institutional Review Board Statement
Informed Consent Statement
Data Availability Statement
Conflicts of Interest
References
- Huang, W.Y.; Zhang, H.C.; Liu, W.X.; Li, C.Y. Survey of antioxidant capacity and phenolic composition of blueberry, blackberry, and strawberry in Nanjing. J. Zhejiang Univ. Sci. B 2012, 13, 94–102. [Google Scholar] [CrossRef] [PubMed]
- Aday, M.S.; Temizkan, R.; Büyükcan, M.B.; Caner, C. An innovative technique for extending shelf life of strawberry: Ultrasound. LWT 2013, 52, 93–101. [Google Scholar] [CrossRef]
- Atarés, L.; Chiralt, A. Essential oils as additives in biodegradable films and coatings for active food packaging. Trends Food Sci. Technol. 2016, 48, 51–62. [Google Scholar] [CrossRef]
- Dutta, P.K.; Tripathi, S.; Mehrotra, G.K.; Dutta, J. Perspectives for chitosan based antimicrobial films in food applications. Food Chem. 2009, 114, 1173–1182. [Google Scholar] [CrossRef]
- González-Reza, R.; García-Betanzos, C.; Sánchez-Valdes, L.; Quintanar-Guerrero, D.; Cornejo-Villegas, M.; Zambrano-Zaragoza, M. The Functionalization of Nanostructures and Their Potential Applications in Edible Coatings. Coatings 2018, 8, 160. [Google Scholar] [CrossRef]
- Cazón, P.; Velazquez, G.; Ramírez, J.A.; Vázquez, M. Polysaccharide-based films and coatings for food packaging: A review. Food Hydrocoll. 2017, 68, 136–148. [Google Scholar] [CrossRef]
- Irianto, H.E.; Marpaung, D.B.; Ggiyatmi; Fransiska, D.; Basriman, I. Anti-bacterial Activity of Alginate Based Edible Coating Solution Added with Lemongrass Essential Oil against Some Pathogenic Bacteria. In Proceedings of the 10th International and National Seminar on Fisheries and Marine Science (ISFM X 2021), Pekanbaru, Indonesia, 15–16 September 2021; Volume 934. [Google Scholar] [CrossRef]
- Duan, C.; Meng, X.; Meng, J.; Khan, M.I.H.; Dai, L.; Khan, A.; An, X.; Zhang, J.; Huq, T.; Ni, Y. Chitosan as A Preservative for Fruits and Vegetables: A Review on Chemistry and Antimicrobial Properties. J. Bioresour. Bioprod. 2019, 4, 11–21. [Google Scholar] [CrossRef]
- Pavinatto, A.; de Almeida Mattos, A.V.; Malpass, A.C.G.; Okura, M.H.; Balogh, D.T.; Sanfelice, R.C. Coating with chitosan-based edible films for mechanical/biological protection of strawberries. Int. J. Biol. Macromol. 2020, 151, 1004–1011. [Google Scholar] [CrossRef]
- Muley, A.B.; Singhal, R.S. Extension of postharvest shelf life of strawberries (Fragaria ananassa) using a coating of chitosan-whey protein isolate conjugate. Food Chem. 2020, 329, 127213. [Google Scholar] [CrossRef]
- Nair, M.S.; Tomar, M.; Punia, S.; Kukula-Koch, W.; Kumar, M. Enhancing the functionality of chitosan- and alginate-based active edible coatings/films for the preservation of fruits and vegetables: A review. Int. J. Biol. Macromol. 2020, 164, 304–320. [Google Scholar] [CrossRef]
- Popescu, P.A.; Palade, L.M.; Nicolae, I.C.; Popa, E.E.; Miteluț, A.C.; Drăghici, M.C.; Matei, F.; Popa, M.E. Chitosan-Based Edible Coatings Containing Essential Oils to Preserve the Shelf Life and Postharvest Quality Parameters of Organic Strawberries and Apples during Cold Storage. Foods 2022, 11, 3317. [Google Scholar] [CrossRef] [PubMed]
- Kou, S.G.; Peters, L.M.; Mucalo, M.R. Chitosan: A review of sources and preparation methods. Int. J. Biol. Macromol. 2021, 169, 85–94. [Google Scholar] [CrossRef]
- Saleh, I.; Abu-Dieyeh, M. Novel Prosopis juliflora leaf ethanolic extract coating for extending postharvest shelf-life of strawberries. Food Control 2022, 133, 108641. [Google Scholar] [CrossRef]
- Yang, C.; Lu, J.H.; Xu, M.T.; Shi, X.C.; Song, Z.W.; Chen, T.M. Evaluation of chitosan coatings enriched with turmeric and green tea extracts on postharvest preservation of strawberries. LWT 2022, 163, 113551. [Google Scholar] [CrossRef]
- Saki, M.; ValizadehKaji, B.; Abbasifar, A.; Shahrjerdi, I. Effect of chitosan coating combined with thymol essential oil on physicochemical and qualitative properties of fresh fig (Ficus carica L.) fruit during cold storage. J. Food Meas. Charact. 2019, 13, 1147–1158. [Google Scholar] [CrossRef]
- El Khetabi, A.; Lahlali, R.; Ezrari, S.; Radouane, N.; Lyousfi, N.; Banani, H.; Askarne, L.; Tahiri, A.; El Ghadraoui, L.; Belmalha, S.; et al. Role of plant extracts and essential oils in fighting against postharvest fruit pathogens and extending fruit shelf life: A review. Trends Food Sci. Technol. 2022, 120, 402–417. [Google Scholar] [CrossRef]
- Viktorová, J.; Kumar, R.; Řehořová, K.; Hoang, L.; Ruml, T.; Figueroa, C.R.; Valdenegro, M.; Fuentes, L. Antimicrobial activity of extracts of two native fruits of chile: Arrayan (Luma apiculata) and peumo (Cryptocarya alba). Antibiotics 2020, 9, 444. [Google Scholar] [CrossRef]
- Araya-Contreras, T.; Veas, R.; Escobar, C.A.; Machuca, P.; Bittner, M. Antibacterial Effect of Luma apiculata (DC.) Burret Extracts in Clinically Important Bacteria. Int. J. Microbiol. 2019, 2019, 7803726. [Google Scholar] [CrossRef] [PubMed]
- Vega-Galvez, A.; Rodríguez, A.; Stucken, K. Antioxidant, functional properties and health-promoting potential of native South American berries: A review. J. Sci. Food Agric. 2021, 101, 364–378. [Google Scholar] [CrossRef]
- Simirgiotis, M.J.; Bórquez, J.; Schmeda-Hirschmann, G. Antioxidant capacity, polyphenolic content and tandem HPLC-DAD-ESI/MS profiling of phenolic compounds from the South American berries Luma apiculata and L. chequén. Food Chem. 2013, 139, 289–299. [Google Scholar] [CrossRef]
- Ramirez, J.E.; Zambrano, R.; Sepúlveda, B.; Kennelly, E.J.; Simirgiotis, M.J. Anthocyanins and antioxidant capacities of six Chilean berries by HPLC-HR-ESI-ToF-MS. Food Chem. 2015, 176, 106–114. [Google Scholar] [CrossRef] [PubMed]
- Brito, A.; Areche, C.; Sepúlveda, B.; Kennelly, E.J.; Simirgiotis, M.J. Anthocyanin characterization, total phenolic quantification and antioxidant features of some Chilean edible berry extracts. Molecules 2014, 19, 10936–10955. [Google Scholar] [CrossRef] [PubMed]
- Ruiz, A.; Hermosin-Gutierrez, I.; Mardones, C.; Vergara, C.; Herlitz, E.; Vega, M.; Dorau, C.; Winterhalter, P.; von Baer, D. Polyphenols and antioxidant activity of calafate (Berberis microphylla) fruits and other native berries from Southern Chile. J. Agric. Food Chem. 2010, 58, 6081–6089. [Google Scholar] [CrossRef] [PubMed]
- Pap, N.; Fidelis, M.; Azevedo, L.; do Carmo, M.A.V.; Wang, D.; Mocan, A.; Pereira, E.P.R.; Xavier-Santos, D.; Sant’Ana, A.S.; Yang, B.; et al. Berry polyphenols and human health: Evidence of antioxidant, anti-inflammatory, microbiota modulation, and cell-protecting effects. Curr. Opin. Food Sci. 2021, 42, 167–186. [Google Scholar] [CrossRef]
- Lenard, N.; Henagan, T.M.; Lan, T.; Nguyen, A.; Bhattacharya, D. Antimicrobial Activity of Quercetin: An Approach to Its Mechanistic Principle. Molecules 2022, 27, 2494. [Google Scholar] [CrossRef]
- Ma, Y.; Ding, S.; Fei, Y.; Liu, G.; Jang, H.; Fang, J. Antimicrobial activity of anthocyanins and catechins against foodborne pathogens Escherichia coli and Salmonella. Food Control 2019, 106, 106712. [Google Scholar] [CrossRef]
- Liu, H.; Wu, H.; Wang, Y.; Wang, F.; Liu, X.; Zhou, J. Enhancement on antioxidant and antibacterial activities of Brightwell blueberry by extraction and purification. Appl. Biol. Chem. 2021, 64, 78. [Google Scholar] [CrossRef]
- Oliveira, M.; Rodrigues, C.M.; Teixeira, P. Microbiological quality of raw berries and their products: A focus on foodborne pathogens. Heliyon 2019, 5, e02992. [Google Scholar] [CrossRef]
- Bhullar, M.; Perry, B.; Monge, A.; Nabwiire, L.; Shaw, A. Escherichia coli Survival on Strawberries and Unpacked Romaine Lettuce Washed Using Contaminated Water. Foods 2021, 10, 1390. [Google Scholar] [CrossRef]
- Wang, W.; Zhou, Y.; Xiao, X.; Yang, G.; Wang, Q.; Wei, W.; Liu, Y.; Yang, H. Behavior of Salmonella Typhimurium on Fresh Strawberries Under Different Storage Temperatures and Wash Treatments. Front Microbiol. 2018, 9, 2091. [Google Scholar] [CrossRef]
- Esemu, S.N.; Njoh, S.T.; Ndip, L.M.; Keneh, N.K.; Kfusi, J.A.; Njukeng, A.P. Ready-to-eat foods: A potential vehicle for spread of coagulase-positive staphylococci and antibiotic-resistant Staphylococcus aureus in Buea municipality, South West Cameroon. bioRxiv 2021. [Google Scholar] [CrossRef]
- Feliziani, E.; Romanazzi, G. Postharvest decay of strawberry fruit: Etiology, epidemiology, and disease management. J. Berry Res. 2016, 6, 47–63. [Google Scholar] [CrossRef]
- Treulen, F.F.; Salcedo, G.E.; Garrido, F.I.; Morales, C.E.; Paz, E.; Felmer, R. Antimicrobial activity of Luma apiculata against resistant strains of Staphylococcus aureus and Klebsiella pneumoniae. Pure Appl. Biol. 2019, 8, 1962–1974. [Google Scholar] [CrossRef]
- Xue, H.; Sang, Y.; Gao, Y.; Zeng, Y.; Liao, J.; Tan, J. Research Progress on Absorption, Metabolism, and Biological Activities of Anthocyanins in Berries: A Review. Antioxidants 2023, 12, 3. [Google Scholar] [CrossRef]
- Jeyakumari, A.; Aa, Z.; Parvathy, U. Microencapsulation of bioactive food ingredients and controlled release—A review. MOJ Food Process Technol. 2016, 2, 214–224. [Google Scholar] [CrossRef]
- da Costa, S.B.; Duarte, C.; Bourbon, A.I.; Pinheiro, A.C.; Serra, A.T.; Martins, M.M.; Januário, M.I.N.; Vicente, A.A.; Delgadillo, I.; Duarte, C.; et al. Effect of the matrix system in the delivery and in vitro bioactivity of microencapsulated Oregano essential oil. J. Food Eng. 2012, 110, 190–199. [Google Scholar] [CrossRef]
- Sabaghi, M.; Tavasoli, S.; Hoseyni, S.Z.; Mozafari, M.R.; Degraeve, P.; Katouzian, I. A critical review on approaches to regulate the release rate of bioactive compounds from biopolymeric matrices. Food Chem. 2022, 382, 132411. [Google Scholar] [CrossRef]
- Talón, E.; Trifkovic, K.T.; Vargas, M.; Chiralt, A.; González-Martínez, C. Release of polyphenols from starch-chitosan based films containing thyme extract. Carbohydr. Polym. 2017, 175, 122–130. [Google Scholar] [CrossRef]
- Benavides, S.; Mariotti-Celis, M.S.; Paredes, M.J.C.; Parada, J.A.; Franco, W.V. Thyme essential oil loaded microspheres for fish fungal infection: Microstructure, in vitro dynamic release and antifungal activity. J. Microencapsul. 2021, 38, 11–21. [Google Scholar] [CrossRef]
- Petriccione, M.; Mastrobuoni, F.; Pasquariello, M.S.; Zampella, L.; Nobis, E.; Capriolo, G.; Scortichini, M. Effect of Chitosan Coating on the Postharvest Quality and Antioxidant Enzyme System Response of Strawberry Fruit during Cold Storage. Foods 2015, 4, 501–523. [Google Scholar] [CrossRef]
- Riaz, A.; Aadil, R.M.; Amoussa, A.M.O.; Bashari, M.; Abid, M.; Hashim, M.M. Application of chitosan-based apple peel polyphenols edible coating on the preservation of strawberry (Fragaria ananassa cv Hongyan) fruit. J. Food Process. Preserv. 2021, 45, e15018. [Google Scholar] [CrossRef]
- Mohammadi, A.; Hashemi, M.; Hosseini, S.M. Chitosan nanoparticles loaded with Cinnamomum zeylanicum essential oil enhance the shelf life of cucumber during cold storage. Postharvest Biol. Technol. 2015, 110, 203–213. [Google Scholar] [CrossRef]
- Villarreal, N.M.; Rosli, H.G.; Martínez, G.A.; Civello, P.M. Polygalacturonase activity and expression of related genes during ripening of strawberry cultivars with contrasting fruit firmness. Postharvest Biol. Technol. 2008, 47, 141–150. [Google Scholar] [CrossRef]
- Ayala-Zavala, J.F.; Wang, S.Y.; Wang, C.Y.; González-Aguilar, G.A. Effect of storage temperatures on antioxidant capacity and aroma compounds in strawberry fruit. LWT—Food Sci. Technol. 2004, 37, 687–695. [Google Scholar] [CrossRef]
- Eshghi, S.; Hashemi, M.; Mohammadi, A.; Badii, F.; Mohammadhoseini, Z.; Ahmadi, K. Effect of Nanochitosan-Based Coating With and Without Copper Loaded on Physicochemical and Bioactive Components of Fresh Strawberry Fruit (Fragaria x ananassa Duchesne) During Storage. Food Bioproc. Tech. 2014, 7, 2397–2409. [Google Scholar] [CrossRef]
- Garcia, L.C.; Pereira, L.M.; de Luca Sarantópoulos, C.I.G.; Hubinger, M.D. Selection of an Edible Starch Coating for Minimally Processed Strawberry. Food Bioproc. Tech. 2010, 3, 834–842. [Google Scholar] [CrossRef]
- Garcia, L.C.; Pereira, L.M.; De Luca Sarantópoulos, C.I.G.; Hubinger, M.D. Effect of Antimicrobial Starch Edible Coating on Shelf-Life of Fresh Strawberries. Packag. Technol. Sci. 2012, 25, 413–425. [Google Scholar] [CrossRef]
- Zhao, P.; Ndayambaje, J.P.; Liu, X.; Xia, X. Microbial Spoilage of Fruits: A Review on Causes and Prevention Methods. Food Rev. Int. 2020, 38, 225–246. [Google Scholar] [CrossRef]
- Sun, X.; Wang, J.; Dong, M.; Zhang, H.; Li, L.; Wang, L. Food spoilage, bioactive food fresh-keeping films and functional edible coatings: Research status, existing problems and development trend. Trends Food Sci. Technol. 2022, 119, 122–132. [Google Scholar] [CrossRef]
- de Oliveira Filho, J.G.; Braga, A.R.C.; de Oliveira, B.R.; Gomes, F.P.; Moreira, V.L.; Pereira, V.A.C.; Egea, M.B. The potential of anthocyanins in smart, active, and bioactive eco-friendly polymer-based films: A review. Food Res. Int. 2021, 142, 110202. [Google Scholar] [CrossRef]
- Krajcer, A.; Klara, J.; Horak, W.; Lewandowska-Łańcucka, J. Bioactive injectable composites based on insulin-functionalized silica particles reinforced polymeric hydrogels for potential applications in bone tissue engineering. J. Mater. Sci. Technol. 2022, 105, 153–163. [Google Scholar] [CrossRef]
- Benavides, S.; Villalobos-Carvajal, R.; Reyes, J.E. Physical, mechanical and antibacterial properties of alginate film: Effect of the crosslinking degree and oregano essential oil concentration. J. Food Eng. 2012, 110, 232–239. [Google Scholar] [CrossRef]
- Volpe, M.G.; Siano, F.; Paolucci, M.; Sacco, A.; Sorrentino, A.; Malinconico, M.; Varricchio, E. Active edible coating effectiveness in shelf-life enhancement of trout (Oncorhynchusmykiss) fillets. LWT—Food Sci. Technol. 2015, 60, 615–622. [Google Scholar] [CrossRef]
- Allcca-Alca, E.E.; León-Calvo, N.C.; Luque-Vilca, O.M.; Martínez-Cifuentes, M.; Pérez-Correa, J.R.; Mariotti-Celis, M.S.; Huamán-Castilla, N.L. Hot Pressurized Liquid Extraction of Polyphenols from the Skin and Seeds of Vitis vinifera L. cv. Negra Criolla Pomace a Peruvian Native Pisco Industry Waste. Agronomy 2021, 11, 866. [Google Scholar] [CrossRef]
- Fuentes, L.; Valdenegro, M.; Gómez, M.G.; Ayala-Raso, A.; Quiroga, E.; Martínez, J.P.; Vinet, R.; Caballero, E.; Figueroa, C.R. Characterization of fruit development and potential health benefits of arrayan (Luma apiculata), a native berry of South America. Food Chem. 2016, 196, 1239–1247. [Google Scholar] [CrossRef]
- CLSI. Performance Standards for Antimicrobial Susceptibility Testing; Twenty-Second Informational Supplement; Clinical and Laboratory Standards Institute: Wayne, PA, USA, 2013; Volume 32, pp. 1–184. [Google Scholar]
- Patel, C.; Panigrahi, J. Starch glucose coating-induced postharvest shelf-life extension of cucumber. Food Chem. 2019, 288, 208–214. [Google Scholar] [CrossRef]
- Zushi, K.; Yamamoto, M.; Matsuura, M.; Tsutsuki, K.; Yonehana, A.; Imamura, R.; Takahashi, H.; Kirimura, M. Tissue-dependent seasonal variation and predictive models of strawberry firmness. Sci. Hortic. 2023, 307, 111535. [Google Scholar] [CrossRef]
- Zhishen, J.; Mengcheng, T.; Jianming, W. The determination of flavonoid contents in mulberry and their scavenging effects on superoxide radicals. Food Chem. 1999, 64, 555–559. [Google Scholar] [CrossRef]
- Rapisarda, P.; Fallico, B.; Izzo, R.; Maccarone, E. A simple and reliable method for determining anthocyanins in blood orange juices. Agrochimica 1994, 38, 157–164. [Google Scholar]
- Fuentes, L.; Figueroa, C.R.; Valdenegro, M.; Vinet, R. Patagonian berries: Healthy potential and the path to becoming functional foods. Foods 2019, 8, 289. [Google Scholar] [CrossRef]



| Compound | Formula | PubChem CID | Concentration (mg/L) |
|---|---|---|---|
| Flavonoids | |||
| Quercetin-3-rutinoside | C27H30O16 | 5280805 | 718 ± 63.0 |
| Anthocyanins | |||
| Petunidin-3-arabinoside | C21H21ClO11 | 91810653 | 121 ± 3.00 |
| Peonidin-3-galactoside | C22H23ClO11 | 91810512 | 438 ± 7.00 |
| Peonidin-3-arabinoside | C21H21ClO10 | 91810651 | 65.0 ± 2.00 |
| Malvidin-3-arabinoside | C22H23ClO11 | 91810654 | 592 ± 5.00 |
| Microorganism | Inhibition Zone Diameter (mm) | ||
|---|---|---|---|
| FE | CH | BC | |
| Foodborne bacteria | |||
| St. aureus | 21.70 ± 0.03 a | 12.30 ± 0.11 b | 19.33 ± 0.31 c |
| L. innocua | 25.00 ± 0.05 a | 13.00 ± 0.11 b | 17.17 ± 1.33 c |
| E. coli | 22.60 ± 0.04 a | 10.30± 0.10 b | 17.85 ± 0.21 c |
| S. typhymurium | 21.60 ± 0.01 a | 13.30 ± 0.10 b | 18.32 ± 0.10 c |
| Yeasts | |||
| P. kluyverii | 27.10 ± 0.02 a | 19.60 ± 0.12 b | 19.50 ± 0.03 b |
| M. pulcherrima | 28.40 ± 0.04 a | 23.50 ± 0.08 b | 21.40 ± 0.05 b |
| Treatment | Weeks | ||||
|---|---|---|---|---|---|
| 0 | 1 | 2 | 3 | ||
| Mesophilic aerobic (log CFU/mL) | Control | 2.12 ± 0.01 aA | 1.14 ± 0.03 aB | 3.39 ± 0.04 aC | 4.26 ± 0.02 aD |
| FE | 1.83 ± 0.04 bA | 1.05 ± 0.03 aA | 2.23 ± 0.06 bB | 3.46 ± 0.04 bC | |
| CH | 2.32 ± 0.02 aA | 1.85 ± 0.01 aB | 2.52 ± 0.02 bA | 3.17 ± 0.01 bC | |
| BC | 1.63 ± 0.06 bA | 1.25 ± 0.02 aA | 1.37 ± 0.03 cA | 1.62 ± 0.01 cA | |
| Yeast and Mold (log CFU/mL) | Control | 1.35 ± 0.12 aA | 2.11 ± 0.08 aB | 3.15 ± 1.10 aC | 4.32 ± 0.17 aD |
| FE | 1.41 ± 0.08 aA | ≤0.1 bB | 1.21 ± 0.11 bA | 3.34 ± 0.18 bC | |
| CH | 1.37 ± 0.11 aA | ≤0.1 bB | 1.67 ± 0.08 bA | 2.78 ± 0.05 cC | |
| BC | 1.32 ± 0.09 aA | ≤0.1 bB | 1.13 ± 0.02 bA | 1.05 ± 0.01 dA | |
| Treatment | (μmol of TE·100 g/dw) * | |||
|---|---|---|---|---|
| DPPH | ORAC | |||
| Initial | Week 3 | Initial | Week 3 | |
| Control | 167.2 ± 1.14 aA | 49.50 ± 1.14 aB | 75.1 ± 0.12 aC | 61.1 ± 0.34 aD |
| BC | 315.4 ± 1.10 bA | 264.1 ± 1.24 bB | 306.2 ± 2.31 bC | 289.1 ± 3.22 bC |
| Treatment | Flavonoids (mg eq/100 g) | Polyphenols (mg EAF/100 g) | Anthocyanins (mg/100 g) | Ascorbic Acid (mg/100 g) | ||||
|---|---|---|---|---|---|---|---|---|
| Initial | Week 3 | Initial | Week 3 | Initial | Week 3 | Initial | Week 3 | |
| Control | 1.31 ± 0.12 aA | 0.67 ± 0.19 aB | 25.2 ± 0.12 aA | 7.35 ± 0.09 aB | 89.6 ± 0.14 bB | 75.2 ± 0.12 bA | 97.1 ± 0.12 aA | 52.5 ± 0.17 aB |
| BC | 2.27 ± 0.12 bA | 1.95 ± 0.16 bA | 25.3 ± 0.13 aA | 20.6 ± 0.04 bB | 101.2 ± 0.21 aA | 100.2 ± 0.15 aA | 97.2 ± 0.11 aA | 80.2 ± 0.15 bB |
Disclaimer/Publisher’s Note: The statements, opinions and data contained in all publications are solely those of the individual author(s) and contributor(s) and not of MDPI and/or the editor(s). MDPI and/or the editor(s) disclaim responsibility for any injury to people or property resulting from any ideas, methods, instructions or products referred to in the content. |
© 2023 by the authors. Licensee MDPI, Basel, Switzerland. This article is an open access article distributed under the terms and conditions of the Creative Commons Attribution (CC BY) license (https://creativecommons.org/licenses/by/4.0/).
Share and Cite
Benavides, S.; Franco, W. Innovative Integration of Arrayan (Luma apiculata) Extracts in Chitosan Coating for Fresh Strawberry Preservation. Int. J. Mol. Sci. 2023, 24, 14681. https://doi.org/10.3390/ijms241914681
Benavides S, Franco W. Innovative Integration of Arrayan (Luma apiculata) Extracts in Chitosan Coating for Fresh Strawberry Preservation. International Journal of Molecular Sciences. 2023; 24(19):14681. https://doi.org/10.3390/ijms241914681
Chicago/Turabian StyleBenavides, Sergio, and Wendy Franco. 2023. "Innovative Integration of Arrayan (Luma apiculata) Extracts in Chitosan Coating for Fresh Strawberry Preservation" International Journal of Molecular Sciences 24, no. 19: 14681. https://doi.org/10.3390/ijms241914681
APA StyleBenavides, S., & Franco, W. (2023). Innovative Integration of Arrayan (Luma apiculata) Extracts in Chitosan Coating for Fresh Strawberry Preservation. International Journal of Molecular Sciences, 24(19), 14681. https://doi.org/10.3390/ijms241914681

