Free Energy Profile for the Complete Transport of Nonpolar Molecules through a Carbon Nanotube
Abstract
:1. Introduction
2. Materials and Methods
2.1. Computational Models
2.2. Molecular Dynamics Simulations
2.3. Potential of Mean Force
3. Results and Discussion
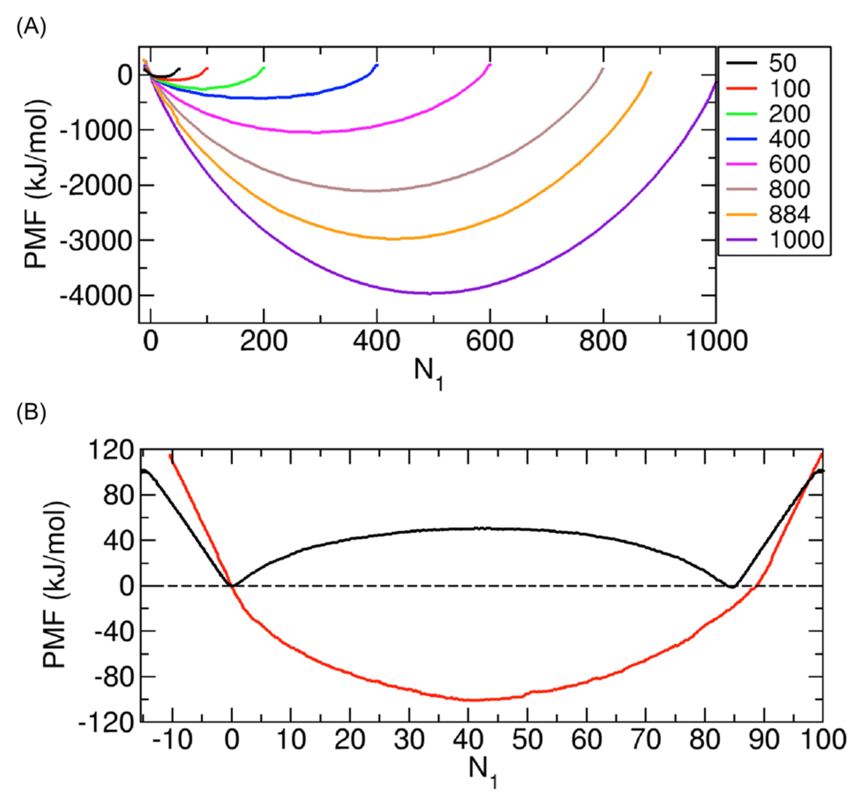
3.1. Potential of Mean Force
3.2. Well Depth of the Potential of Mean Force
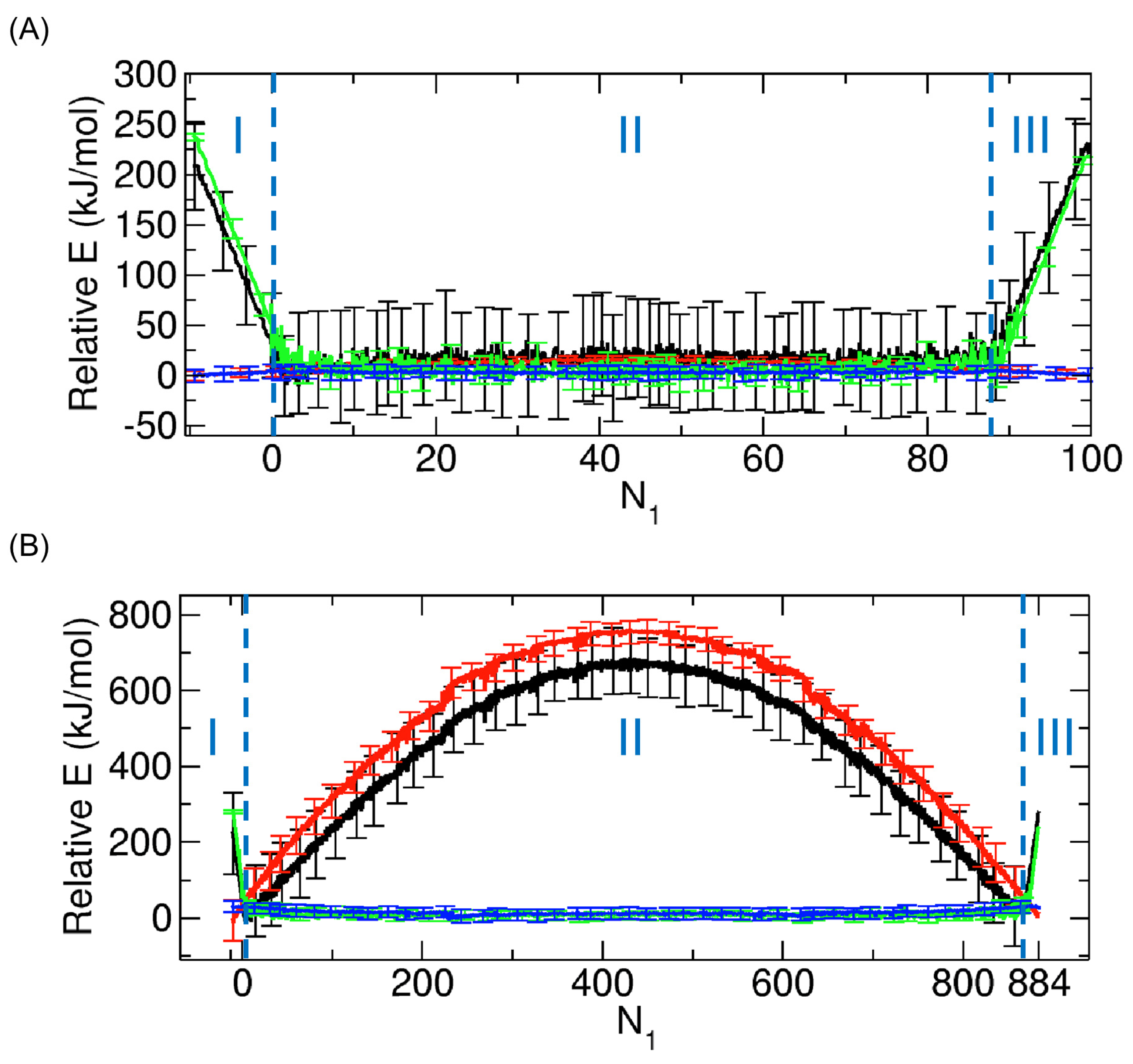
3.3. Potential Energy
3.4. Energetic and Entropic Contributions to the Formation of the PMF Well
4. Conclusions
Funding
Institutional Review Board Statement
Informed Consent Statement
Data Availability Statement
Conflicts of Interest
References
- Phillips, R.; Kondev, J.; Theriot, J.; Garcia, H.G. Physical Biology of the Cell, 2nd ed.; Garland Science: New York, NY, USA, 2012; ISBN 9780429168833. [Google Scholar]
- Priestley, J.H. The Mechanism of Root Pressure. New Phytol. 1920, 19, 189–200. [Google Scholar] [CrossRef]
- Wang, L.; He, J.; Heiranian, M.; Fan, H.; Song, L.; Li, Y.; Elimelech, M. Water Transport in Reverse Osmosis Membranes Is Governed by Pore Flow, Not a Solution-Diffusion Mechanism. Sci. Adv. 2023, 9, eadf8488. [Google Scholar] [CrossRef] [PubMed]
- Manning, G.S.; Kay, A.R. The Physical Basis of Osmosis. J. Gen. Physiol. 2023, 155, e202313332. [Google Scholar] [CrossRef] [PubMed]
- Corry, B. Designing Carbon Nanotube Membranes for Efficient Water Desalination. J. Phys. Chem. B 2008, 112, 1427–1434. [Google Scholar] [CrossRef] [PubMed]
- Eun, C. Equilibration of Molecules between Two Compartments through a Nanochannel in the Presence of Osmolytes: A Molecular Dynamics Simulation Study. Phys. Chem. Chem. Phys. 2019, 21, 21136–21151. [Google Scholar] [CrossRef] [PubMed]
- Eun, C. Osmosis-Driven Water Transport through a Nanochannel: A Molecular Dynamics Simulation Study. Int. J. Mol. Sci. 2020, 21, 8030. [Google Scholar] [CrossRef] [PubMed]
- Kwon, Y.; Eun, C. Free Energy Change in the Complete Transport of All Water Molecules through a Carbon Nanotube. Phys. Chem. Chem. Phys. 2023, 25, 7032–7046. [Google Scholar] [CrossRef] [PubMed]
- Nerenberg, P.S.; Head-Gordon, T. New Developments in Force Fields for Biomolecular Simulations. Curr. Opin. Struct. Biol. 2018, 49, 129–138. [Google Scholar] [CrossRef] [PubMed]
- Iftimie, R.; Minary, P.; Tuckerman, M.E. Ab Initio Molecular Dynamics: Concepts, Recent Developments, and Future Trends. Proc. Natl. Acad. Sci. USA 2005, 102, 6654–6659. [Google Scholar] [CrossRef] [PubMed]
- Gupta, M.K.; Mittal, R.; Singh, B.; Delaire, O.; Achary, S.N.; Rols, S.; Tyagi, A.K.; Chaplot, S.L. Phonons and Lithium Diffusion in LiAlO 2. Phys. Rev. B 2021, 103, 174109. [Google Scholar] [CrossRef]
- Assadi, M.H.N.; Sahajwalla, V. Polymers’ Surface Interactions with Molten Iron: A Theoretical Study. Chem. Phys. 2014, 443, 107–111. [Google Scholar] [CrossRef]
- Cornell, W.D.; Cieplak, P.; Gould, I.R.; Merz, K.M.; Ferguson, D.M.; Spellmeyer, D.C.; Fox, T.; Caldwell, J.W.; Kollman, P.A. A Second Generation Force Field for the Simulation of Proteins, Nucleic Acids, and Organic Molecules. J. Am. Chem. Soc. 1995, 117, 5179–5197. [Google Scholar] [CrossRef]
- Hummer, G.; Rasaiah, J.C.; Noworyta, J.P. Water Conduction through the Hydrophobic Channel of a Carbon Nanotube. Nature 2001, 414, 188–190. [Google Scholar] [CrossRef] [PubMed]
- Jorgensen, W.L.; Chandrasekhar, J.; Madura, J.D.; Impey, R.W.; Klein, M.L. Comparison of Simple Potential Functions for Simulating Liquid Water. J. Chem. Phys. 1983, 72, 926–935. [Google Scholar] [CrossRef]
- Abraham, M.J.; van der Spoel, D.; Lindahl, E.; Hess, B.; The GROMACS Development Team. GROMACS User Manual Version 2020.6. Available online: www.gromacs.org (accessed on 1 November 2021).
- Abraham, M.J.; Murtola, T.; Schulz, R.; Páll, S.; Smith, J.C.; Hess, B.; Lindah, E. Gromacs: High Performance Molecular Simulations through Multi-Level Parallelism from Laptops to Supercomputers. SoftwareX 2015, 1, 19–25. [Google Scholar] [CrossRef]
- Bussi, G.; Donadio, D.; Parrinello, M. Canonical Sampling through Velocity Rescaling. J. Chem. Phys. 2007, 126, 014101. [Google Scholar] [CrossRef] [PubMed]
- Humphrey, W.; Dalke, A.; Schulten, K. VMD: Visual Molecular Dynamics. J. Mol. Graph. 1996, 14, 33–38. [Google Scholar] [CrossRef] [PubMed]
- Kumar, S.; Rosenberg, J.M.; Bouzida, D.; Swendsen, R.H.; Kollman, P.A. THE Weighted Histogram Analysis Method for Free-Energy Calculations on Biomolecules. I. The Method. J. Comput. Chem. 1992, 13, 1011–1021. [Google Scholar] [CrossRef]
- Hub, J.S.; De Groot, B.L.; Van Der Spoel, D. G-Whams-a Free Weighted Histogram Analysis Implementation Including Robust Error and Autocorrelation Estimates. J. Chem. Theory Comput. 2010, 6, 3713–3720. [Google Scholar] [CrossRef]
- Chandler, D. Introduction to Modern Statistical Mechanics; Oxford University Press: Oxford, UK, 1987. [Google Scholar]









| CNT | Graphene Plate | |
|---|---|---|
| (nm) | 0.3400 | 0.3400 |
| (kJ/mol) | 0.3598 | 0.03598 |
| Original Value | Value in This Work | |
|---|---|---|
| (nm) | 0.09572 | 0.09572 |
| (deg) | 104.52 | 104.52 |
| (e units) | −0.834 | 0 |
| (e units) | 0.417 | 0 |
| (nm) | 0.31506 | 0.31506 |
| (kJ/mol) | 0.6364 | 0.6364 |
Disclaimer/Publisher’s Note: The statements, opinions and data contained in all publications are solely those of the individual author(s) and contributor(s) and not of MDPI and/or the editor(s). MDPI and/or the editor(s) disclaim responsibility for any injury to people or property resulting from any ideas, methods, instructions or products referred to in the content. |
© 2023 by the author. Licensee MDPI, Basel, Switzerland. This article is an open access article distributed under the terms and conditions of the Creative Commons Attribution (CC BY) license (https://creativecommons.org/licenses/by/4.0/).
Share and Cite
Eun, C. Free Energy Profile for the Complete Transport of Nonpolar Molecules through a Carbon Nanotube. Int. J. Mol. Sci. 2023, 24, 14565. https://doi.org/10.3390/ijms241914565
Eun C. Free Energy Profile for the Complete Transport of Nonpolar Molecules through a Carbon Nanotube. International Journal of Molecular Sciences. 2023; 24(19):14565. https://doi.org/10.3390/ijms241914565
Chicago/Turabian StyleEun, Changsun. 2023. "Free Energy Profile for the Complete Transport of Nonpolar Molecules through a Carbon Nanotube" International Journal of Molecular Sciences 24, no. 19: 14565. https://doi.org/10.3390/ijms241914565
APA StyleEun, C. (2023). Free Energy Profile for the Complete Transport of Nonpolar Molecules through a Carbon Nanotube. International Journal of Molecular Sciences, 24(19), 14565. https://doi.org/10.3390/ijms241914565
