Developmental Instability and Gene Dysregulation in an Extracted Tetraploid from Hexaploid Wheat
Abstract
:1. Introduction
2. Results
2.1. Phenotypic Defects and Disrupted Developmental Stability in the Extracted Tetraploid Wheat
2.2. Disrupted Developmental Stability of ETW Is Not Due to Molecular Level Genetic Alterations
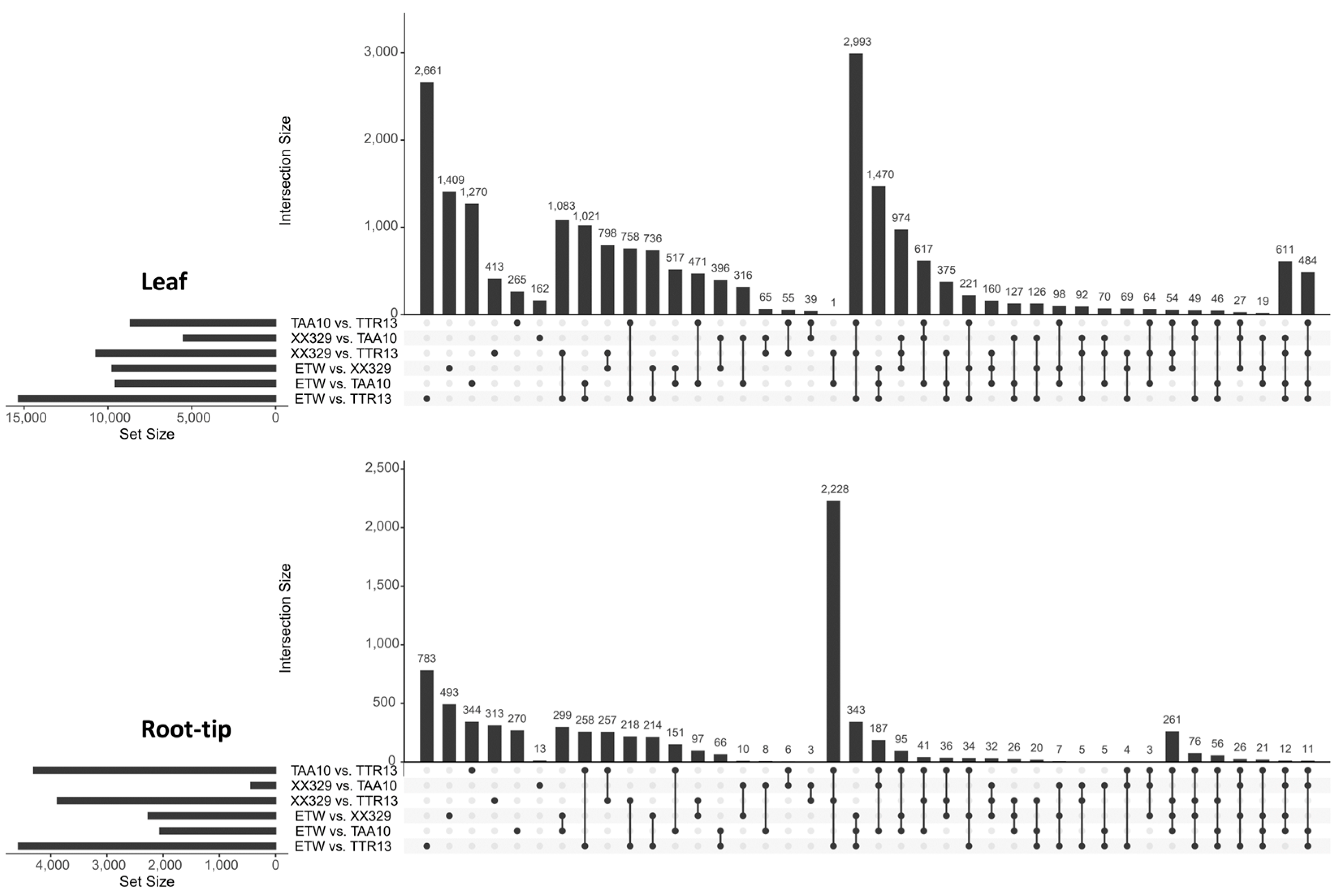
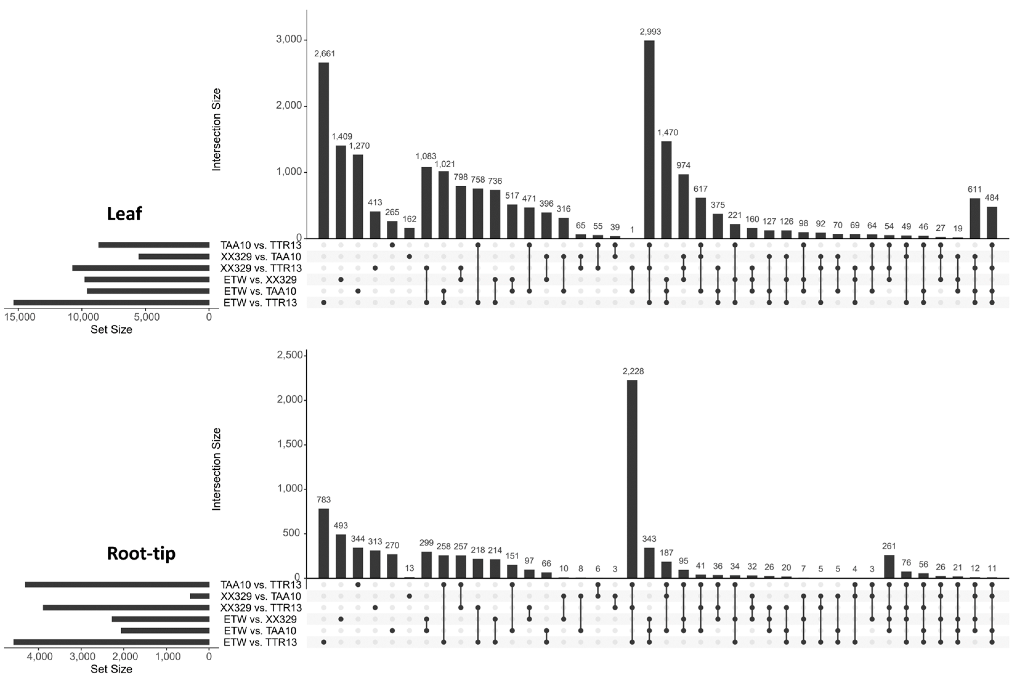
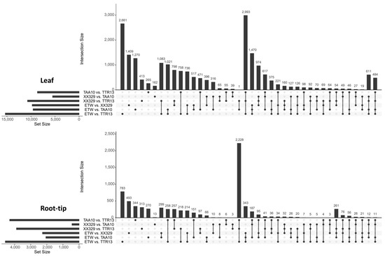
2.3. Phenotypic Defects of ETW Is Likely Linked to Massive Dysregulation of Genome-Wide Gene Expression
2.4. Disrupted Developmental Stabilities Likely Link to Co-Expression Networks in the ETW Population
2.5. Dysregulated Functional Gene Sets in the ETW Population Relative to the Other Wheat Genotypes
3. Discussion
4. Materials and Methods
4.1. Growth Conditions, RNA Extraction and Sequencing
4.2. Fluorescence In Situ Hybridization (FISH) and Genomic In Situ Hybridization (GISH)
4.3. RNAseq Data Processing, Mapping, and Identifying Differentially Expressed Genes
4.4. Variant Calling and Phylogenetic Analysis
4.5. GO and Pfam Enrichment Analysis of DEGs
4.6. Gene Co-Expression Network Analysis of ETW Leaf Samples
4.7. Calculation of Single-Sample Gene Set Enrichment Analysis (ssGSEA) Score of GO Terms
4.8. Identification of GO Terms with Differentially Expressed Profiles
4.9. Construction and Visualization of GO Network
Supplementary Materials
Author Contributions
Funding
Institutional Review Board Statement
Informed Consent Statement
Data Availability Statement
Acknowledgments
Conflicts of Interest
References
- Soltis, P.S.; Soltis, D.E. The role of hybridization in plant speciation. Annu. Rev. Plant Biol. 2009, 60, 561–588. [Google Scholar] [CrossRef] [PubMed]
- McClintock, B. The significance of responses of the genome to challenge. Science 1984, 226, 792–801. [Google Scholar] [CrossRef] [PubMed]
- Comai, L.; Madlung, A.; Josefsson, C.; Tyagi, A. Do the different parental ‘heteromes’ cause genomic shock in newly formed allopolyploids? Philos. Trans. R. Soc. B Biol. Sci. 2003, 358, 1149–1155. [Google Scholar] [CrossRef] [PubMed]
- Chen, Z.J.; Ni, Z. Mechanisms of genomic rearrangements and gene expression changes in plant polyploids. Bioessays 2006, 28, 240–252. [Google Scholar] [CrossRef]
- Leitch, A.; Leitch, I. Genomic plasticity and the diversity of polyploid plants. Science 2008, 320, 481–483. [Google Scholar] [CrossRef]
- Doyle, J.J.; Flagel, L.E.; Paterson, A.H.; Rapp, R.A.; Soltis, D.E.; Soltis, P.S.; Wendel, J.F. Evolutionary genetics of genome merger and doubling in plants. Annu. Rev. Genet. 2008, 42, 443–461. [Google Scholar] [CrossRef]
- Buggs, R.J.; Zhang, L.; Miles, N.; Tate, J.A.; Gao, L.; Wei, W.; Schnable, P.S.; Barbazuk, W.B.; Soltis, P.S.; Soltis, D.E. Transcriptomic shock generates evolutionary novelty in a newly formed, natural allopolyploid plant. Curr. Biol. 2011, 21, 551–556. [Google Scholar] [CrossRef]
- Yoo, M.-J.; Liu, X.; Pires, J.C.; Soltis, P.S.; Soltis, D.E. Nonadditive gene expression in polyploids. Annu. Rev. Genet. 2014, 48, 485–517. [Google Scholar] [CrossRef]
- Edger, P.P.; Smith, R.; McKain, M.R.; Cooley, A.M.; Vallejo-Marin, M.; Yuan, Y.; Bewick, A.J.; Ji, L.; Platts, A.E.; Bowman, M.J. Subgenome dominance in an interspecific hybrid, synthetic allopolyploid, and a 140-year-old naturally established neo-allopolyploid monkeyflower. Plant Cell 2017, 29, 2150–2167. [Google Scholar] [CrossRef]
- Bird, K.A.; VanBuren, R.; Puzey, J.R.; Edger, P.P. The causes and consequences of subgenome dominance in hybrids and recent polyploids. New Phytol. 2018, 220, 87–93. [Google Scholar] [CrossRef]
- Jiang, X.; Song, Q.; Ye, W.; Chen, Z.J. Concerted genomic and epigenomic changes accompany stabilization of Arabidopsis allopolyploids. Nat. Ecol. Evol. 2021, 5, 1382–1393. [Google Scholar] [CrossRef] [PubMed]
- Jackson, S.; Chen, Z.J. Genomic and expression plasticity of polyploidy. Curr. Opin. Plant Biol. 2010, 13, 153–159. [Google Scholar] [CrossRef] [PubMed]
- Levy, A.A.; Feldman, M. Evolution and origin of bread wheat. Plant Cell 2022, 34, 2549–2567. [Google Scholar] [CrossRef]
- Dvorak, J.; Akhunov, E.D. Tempos of gene locus deletions and duplications and their relationship to recombination rate during diploid and polyploid evolution in the aegilops-triticum alliance. Genetics 2005, 171, 323–332. [Google Scholar] [CrossRef] [PubMed]
- Marcussen, T.; Sandve, S.R.; Heier, L.; Spannagl, M.; Pfeifer, M.; Jakobsen, K.S.; Wulff, B.B.H.; Steuernagel, B.; Mayer, K.F.X.; Olsen, O.A.; et al. Ancient hybridizations among the ancestral genomes of bread wheat. Science 2014, 345, 1250092. [Google Scholar] [CrossRef] [PubMed]
- Feldman, M.; Lupton, F.G.H.; Miller, T.E. Wheats. In Evolution of Crop Plants, 2nd ed.; Smartt, J., Simmonds, N.W., Eds.; Longman Scientific: London, UK, 1995; pp. 184–192. [Google Scholar]
- Jiang, J.; Gill, B.S. Different species-specific chromosome translocations in Triticum timopheevii and T. turgidum support the diphyletic origin of polyploid wheats. Chromosome Res. 1994, 2, 59–64. [Google Scholar] [CrossRef]
- Kerber, E.R. Wheat: Reconstitution of the Tetraploid Component (AABB) of Hexaploids. Science 1964, 143, 253–255. [Google Scholar] [CrossRef]
- Zhang, H.; Zhu, B.; Qi, B.; Gou, X.; Dong, Y.; Xu, C.; Zhang, B.; Huang, W.; Liu, C.; Wang, X.; et al. Evolution of the BBAA component of bread wheat during its history at the allohexaploid level. Plant Cell 2014, 26, 2761–2776. [Google Scholar] [CrossRef]
- Lv, R.; Han, L.; Xiao, B.; Xiao, C.; Yang, Z.; Wang, H.; Wang, H.; Liu, B.; Yang, C. An extracted tetraploid wheat harbouring the BBAA component of common wheat shows anomalous shikimate and sucrose metabolism. BMC Plant Biol. 2019, 19, 188. [Google Scholar] [CrossRef]
- Yuan, J.; Jiao, W.; Liu, Y.; Ye, W.; Wang, X.; Liu, B.; Song, Q.; Chen, Z.J. Dynamic and reversible DNA methylation changes induced by genome separation and merger of polyploid wheat. BMC Biol. 2020, 18, 171. [Google Scholar] [CrossRef]
- Lv, Z.; Li, Z.; Wang, M.; Zhao, F.; Zhang, W.; Li, C.; Gong, L.; Zhang, Y.; Mason, A.S.; Liu, B. Conservation and trans-regulation of histone modification in the A and B subgenomes of polyploid wheat during domestication and ploidy transition. BMC Biol. 2021, 19, 42. [Google Scholar] [CrossRef] [PubMed]
- Debat, V.; David, P. Mapping phenotypes: Canalization, plasticity and developmental stability. Trends Ecol. Evol. 2001, 16, 555–561. [Google Scholar] [CrossRef]
- Gao, Q.; Wang, C.; Xi, Y.; Shao, Q.; Li, L.; Luan, S. A receptor-channel trio conducts Ca2+ signalling for pollen tube reception. Nature 2022, 607, 534–539. [Google Scholar] [CrossRef] [PubMed]
- Stintzi, A.; Browse, J. The Arabidopsis male-sterile mutant, opr3, lacks the 12-oxophytodienoic acid reductase required for jasmonate synthesis. Proc. Natl. Acad. Sci. USA 2000, 97, 10625–10630. [Google Scholar] [CrossRef] [PubMed]
- Rohde, A.; Morreel, K.; Ralph, J.; Goeminne, G.; Hostyn, V.; De Rycke, R.; Kushnir, S.; Van Doorsselaere, J.; Joseleau, J.P.; Vuylsteke, M.; et al. Molecular phenotyping of the pal1 and pal2 mutants of Arabidopsis thaliana reveals far-reaching consequences on phenylpropanoid, amino acid, and carbohydrate metabolism. Plant Cell 2004, 16, 2749–2771. [Google Scholar] [CrossRef]
- Chen, X.; Liu, J.; Cheng, Y.; Jia, D. HEN1 functions pleiotropically in Arabidopsis development and acts in C function in the flower. Development 2002, 129, 1085–1094. [Google Scholar] [CrossRef] [PubMed]
- Hanzelmann, S.; Castelo, R.; Guinney, J. GSVA: Gene set variation analysis for microarray and RNA-seq data. BMC Bioinform. 2013, 14, 7. [Google Scholar] [CrossRef] [PubMed]
- Chinnusamy, V.; Zhu, J.K. Epigenetic regulation of stress responses in plants. Curr. Opin. Plant Biol. 2009, 12, 133–139. [Google Scholar] [CrossRef]
- Krishnamoorthy, K.; Lee, M. Improved tests for the equality of normal coefficients of variation. Comput. Stat. 2014, 29, 215–232. [Google Scholar] [CrossRef]
- Han, F.; Liu, B.; Fedak, G.; Liu, Z. Genomic constitution and variation in five partial amphiploids of wheat--Thinopyrum intermedium as revealed by GISH, multicolor GISH and seed storage protein analysis. Theor. Appl. Genet. 2004, 109, 1070–1076. [Google Scholar] [CrossRef]
- Kato, A.; Lamb, J.C.; Birchler, J.A. Chromosome painting using repetitive DNA sequences as probes for somatic chromosome identification in maize. Proc. Natl. Acad. Sci. USA 2004, 101, 13554–13559. [Google Scholar] [CrossRef]
- Kim, D.; Paggi, J.M.; Park, C.; Bennett, C.; Salzberg, S.L. Graph-based genome alignment and genotyping with HISAT2 and HISAT-genotype. Nat. Biotechnol. 2019, 37, 907–915. [Google Scholar] [CrossRef]
- Liao, Y.; Smyth, G.K.; Shi, W. featureCounts: An efficient general purpose program for assigning sequence reads to genomic features. Bioinformatics 2014, 30, 923–930. [Google Scholar] [CrossRef]
- Love, M.I.; Huber, W.; Anders, S. Moderated estimation of fold change and dispersion for RNA-seq data with DESeq2. Genome Biol. 2014, 15, 550. [Google Scholar] [CrossRef]
- McKenna, A.; Hanna, M.; Banks, E.; Sivachenko, A.; Cibulskis, K.; Kernytsky, A.; Garimella, K.; Altshuler, D.; Gabriel, S.; Daly, M.; et al. The Genome Analysis Toolkit: A MapReduce framework for analyzing next-generation DNA sequencing data. Genome Res. 2010, 20, 1297–1303. [Google Scholar] [CrossRef]
- Danecek, P.; Auton, A.; Abecasis, G.; Albers, C.A.; Banks, E.; DePristo, M.A.; Handsaker, R.E.; Lunter, G.; Marth, G.T.; Sherry, S.T.; et al. The variant call format and VCFtools. Bioinformatics 2011, 27, 2156–2158. [Google Scholar] [CrossRef]
- Kumar, S.; Stecher, G.; Li, M.; Knyaz, C.; Tamura, K. MEGA X: Molecular Evolutionary Genetics Analysis across Computing Platforms. Mol. Biol. Evol. 2018, 35, 1547–1549. [Google Scholar] [CrossRef]
- Langfelder, P.; Horvath, S. WGCNA: An R package for weighted correlation network analysis. BMC Bioinform. 2008, 9, 559. [Google Scholar] [CrossRef] [PubMed]
- Wu, T.; Hu, E.; Xu, S.; Chen, M.; Guo, P.; Dai, Z.; Feng, T.; Zhou, L.; Tang, W.; Zhan, L.; et al. clusterProfiler 4.0: A universal enrichment tool for interpreting omics data. Innovation 2021, 2, 100141. [Google Scholar] [CrossRef] [PubMed]
- Ritchie, M.E.; Phipson, B.; Wu, D.; Hu, Y.; Law, C.W.; Shi, W.; Smyth, G.K. limma powers differential expression analyses for RNA-sequencing and microarray studies. Nucleic Acids Res. 2015, 43, e47. [Google Scholar] [CrossRef] [PubMed]
- Shannon, P.; Markiel, A.; Ozier, O.; Baliga, N.S.; Wang, J.T.; Ramage, D.; Amin, N.; Schwikowski, B.; Ideker, T. Cytoscape: A software environment for integrated models of biomolecular interaction networks. Genome Res. 2003, 13, 2498–2504. [Google Scholar] [CrossRef] [PubMed]
- Kucera, M.; Isserlin, R.; Arkhangorodsky, A.; Bader, G.D. AutoAnnotate: A Cytoscape app for summarizing networks with semantic annotations. F1000Research 2016, 5, 1717. [Google Scholar] [CrossRef] [PubMed]






| Comparison | Upregulated | Downregulated | Total | |
|---|---|---|---|---|
| Leaf | ETW vs. TTR13 | 7555 | 7782 | 15,337 |
| ETW vs. TAA10 | 5132 | 4429 | 9561 | |
| ETW vs. XX329 | 6138 | 3609 | 9747 | |
| TAA10 vs. TTR13 | 4435 | 4224 | 8659 | |
| XX329 vs. TTR13 | 4599 | 6117 | 10,716 | |
| XX329 vs. TAA10 | 2213 | 3293 | 5506 | |
| Root-tip | ETW vs. TTR13 | 2418 | 2157 | 4575 |
| ETW vs. TAA10 | 537 | 1521 | 2058 | |
| ETW vs. XX329 | 553 | 1715 | 2268 | |
| TAA10 vs. TTR13 | 2754 | 1548 | 4302 | |
| XX329 vs. TTR13 | 2505 | 1378 | 3883 | |
| XX329 vs. TAA10 | 310 | 130 | 440 |
| Plant Height | Tiller Number per Plant | Seed Number per Plant | Spikelet Number per Plant | |
|---|---|---|---|---|
| Tiller number per plant | 0.494 (0.003) | |||
| Seed number per plant | 0.002 (0.990) | −0.058 (0.740) | ||
| Spikelet number per plant | 0.726 (<0.001) | 0.578 (<0.001) | 0.048 (0.785) | |
| Seed setting rate | −0.138 (0.428) | −0.192 (0.268) | 0.944 (<0.001) | −0.127 (0.466) |
Disclaimer/Publisher’s Note: The statements, opinions and data contained in all publications are solely those of the individual author(s) and contributor(s) and not of MDPI and/or the editor(s). MDPI and/or the editor(s) disclaim responsibility for any injury to people or property resulting from any ideas, methods, instructions or products referred to in the content. |
© 2023 by the authors. Licensee MDPI, Basel, Switzerland. This article is an open access article distributed under the terms and conditions of the Creative Commons Attribution (CC BY) license (https://creativecommons.org/licenses/by/4.0/).
Share and Cite
Li, Y.; Sha, Y.; Wang, H.; Lv, R.; Zhang, D.; Li, S.; Xu, C.; Liu, B. Developmental Instability and Gene Dysregulation in an Extracted Tetraploid from Hexaploid Wheat. Int. J. Mol. Sci. 2023, 24, 14037. https://doi.org/10.3390/ijms241814037
Li Y, Sha Y, Wang H, Lv R, Zhang D, Li S, Xu C, Liu B. Developmental Instability and Gene Dysregulation in an Extracted Tetraploid from Hexaploid Wheat. International Journal of Molecular Sciences. 2023; 24(18):14037. https://doi.org/10.3390/ijms241814037
Chicago/Turabian StyleLi, Yang, Yan Sha, Han Wang, Ruili Lv, Deshi Zhang, Shuhang Li, Chunming Xu, and Bao Liu. 2023. "Developmental Instability and Gene Dysregulation in an Extracted Tetraploid from Hexaploid Wheat" International Journal of Molecular Sciences 24, no. 18: 14037. https://doi.org/10.3390/ijms241814037
APA StyleLi, Y., Sha, Y., Wang, H., Lv, R., Zhang, D., Li, S., Xu, C., & Liu, B. (2023). Developmental Instability and Gene Dysregulation in an Extracted Tetraploid from Hexaploid Wheat. International Journal of Molecular Sciences, 24(18), 14037. https://doi.org/10.3390/ijms241814037

