Characterization of Leukocyte- and Platelet-Rich Plasma Derived from Female Collage Athletes: A Cross-Sectional Cohort Study Focusing on Growth Factor, Inflammatory Cytokines, and Anti-Inflammatory Cytokine Levels
Abstract
:1. Introduction
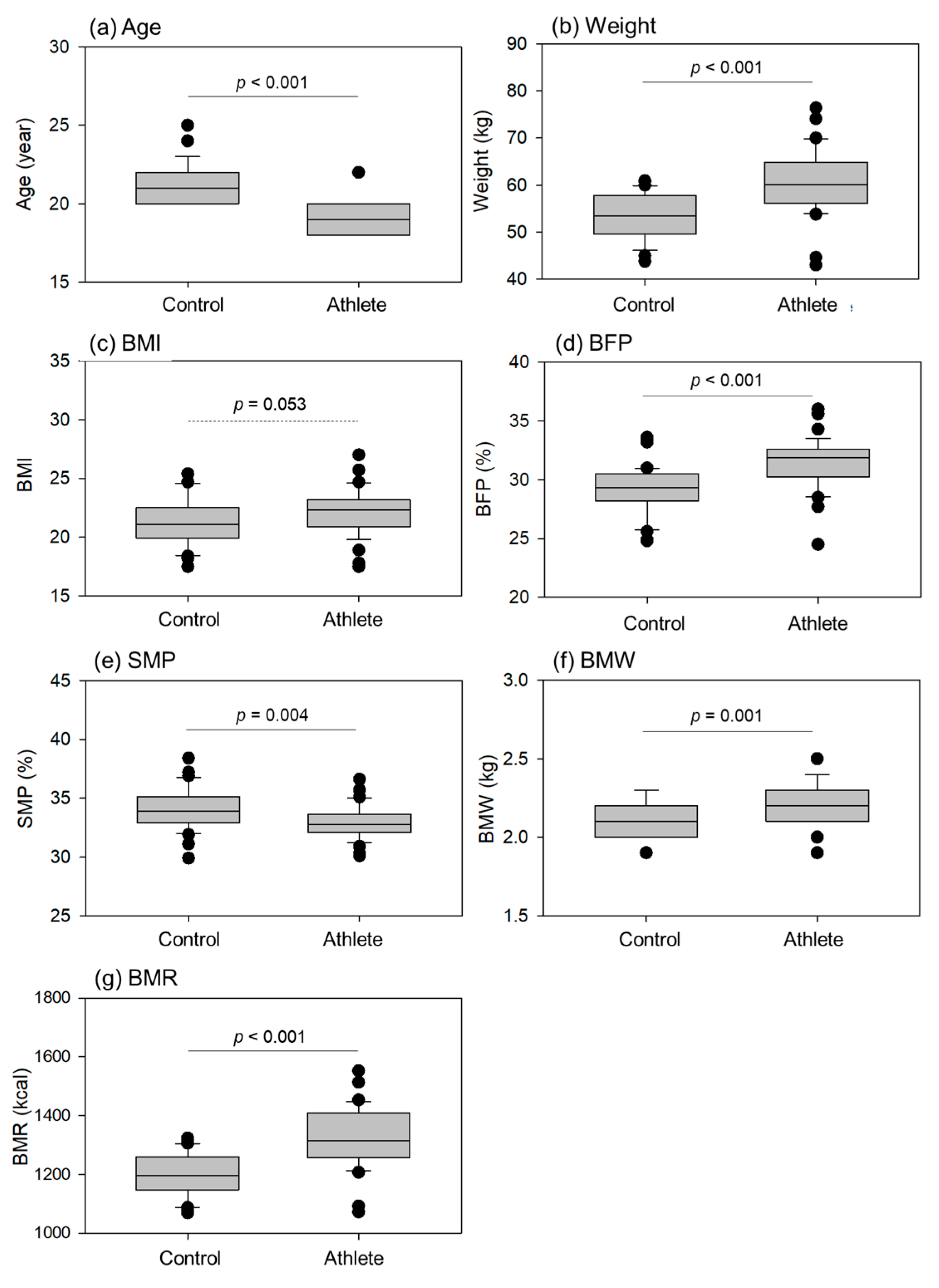
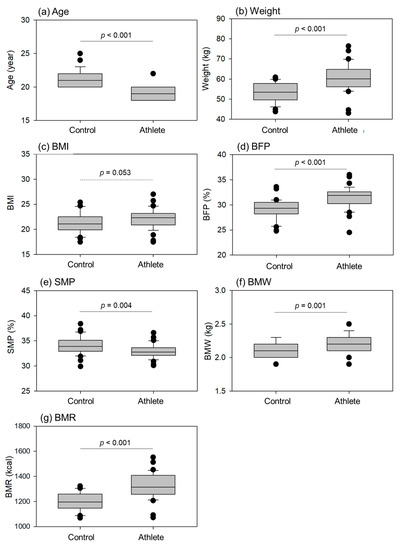
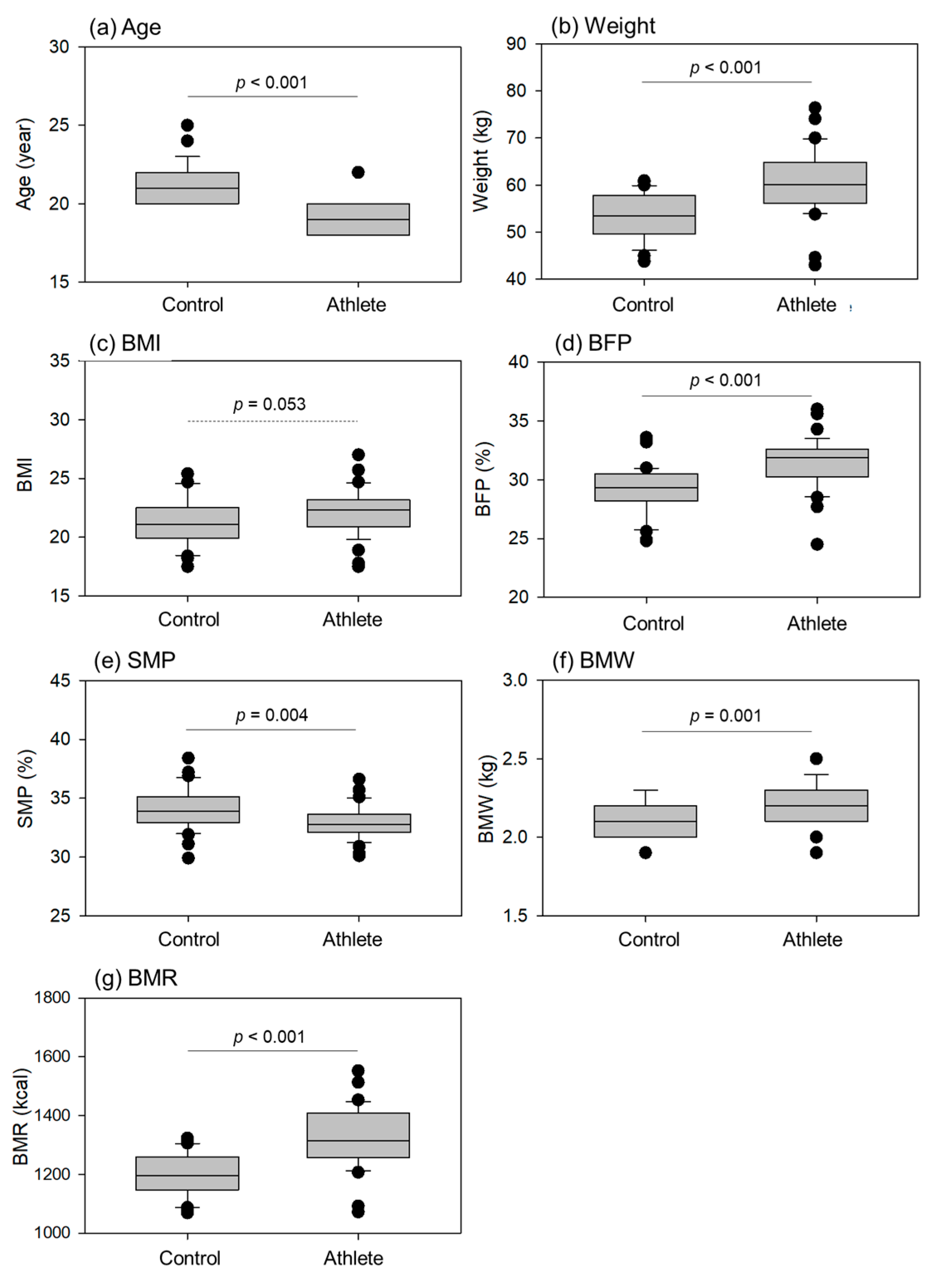
2. Results
3. Discussion
3.1. Historical Background of PRP Therapy and Issues Remaining to Be Addressed
3.2. Possible Specificity of the Young Female Athlete Besides PRP Compositions
3.3. Limitations
4. Materials and Methods
4.1. Participants and Study Design
4.2. Blood Collection and Preparation of L-PRP
4.3. Blood Cell Counting
4.4. Determination of Growth Factor and Cytokine Levels by ELISA
4.5. Determination of Body Composition
4.6. Questionary Survey for Female Athlete Triad
4.7. Statistical Analysis
5. Conclusions
Author Contributions
Funding
Institutional Review Board Statement
Informed Consent Statement
Data Availability Statement
Acknowledgments
Conflicts of Interest
Abbreviations
| ACD-A | A-formula of acid-citrate-dextrose |
| BCI | body composition index |
| BFP | body fat percentage |
| BMI | body mass index |
| BMR | basal metabolic rate |
| BMW | bone mass weight |
| FAT | female athlete triad |
| HCT | hematocrit |
| IL-1β | interleukin-1β |
| IL-1RA | interleukin-1 receptor antagonist |
| L-PRP | leukocyte- and platelet-rich plasma |
| MPV | mean platelet volume |
| PBS | Dulbecco’s phosphate-buffered saline |
| PDGF-BB | platelet-derived growth factor-BB |
| PF4 | platelet factor 4 |
| PLT | platelet |
| P-PRP | pure-platelet-rich plasma |
| PRP | platelet-rich plasma |
| RBC | red blood cell |
| RCT | randomized controlled trial |
| SMP | skeletal muscle percentage |
| TGF-β1 | transforming-growth factor-β1 |
| WBC | white blood cell |
References
- Dhillon, R.S.; Schwarz, E.M.; Maloney, M.D. Platelet-rich plasma therapy—Future or trend? Arthritis Res. Ther. 2012, 14, 219. [Google Scholar] [CrossRef]
- Kawase, T. Platelet-rich plasma and its derivatives as promising bioactive materials for regenerative medicine: Basic principles and concepts underlying recent advances. Odontology 2015, 103, 126–135. [Google Scholar] [CrossRef] [PubMed]
- Everts, P.; Onishi, K.; Jayaram, P.; Lana, J.F.; Mautner, K. Platelet-Rich Plasma: New Performance Understandings and Therapeutic Considerations in 2020. Int. J. Mol. Sci. 2020, 21, 7794. [Google Scholar] [PubMed]
- Nguyen, R.T.; Borg-Stein, J.; McInnis, K. Applications of Platelet-Rich Plasma in Musculoskeletal and Sports Medicine: An Evidence-Based Approach. PM R 2011, 3, 226–250. [Google Scholar] [CrossRef]
- Taylor, D.W.; Petrera, M.; Hendry, M.; Theodoropoulos, J.S. A systematic review of the use of platelet-rich plasma in sports medicine as a new treatment for tendon and ligament injuries. Clin. J. Sport Med. 2011, 21, 344–352. [Google Scholar] [CrossRef] [PubMed]
- Collins, T.; Alexander, D.; Barkatali, B. Platelet-rich plasma: A narrative review. EFORT Open Rev. 2021, 6, 225–235. [Google Scholar] [CrossRef] [PubMed]
- Sneed, D.; Wong, C. Platelet-rich plasma injections as a treatment for Achilles tendinopathy and plantar fasciitis in athletes. PM R, 2023; early view. [Google Scholar] [CrossRef]
- Hamilton, B.; Tol, J.L.; Almusa, E.; Boukarroum, S.; Eirale, C.; Farooq, A.; Whiteley, R.; Chalabi, H. Platelet-rich plasma does not enhance return to play in hamstring injuries: A randomised controlled trial. Br. J. Sports Med. 2015, 49, 943–950. [Google Scholar] [CrossRef]
- Reurink, G.; Goudswaard, G.J.; Moen, M.H.; Weir, A.; Verhaar, J.A.N.; Bierma-Zeinstra, S.M.A.; Maas, M.; Tol, J.L. Rationale, secondary outcome scores and 1-year follow-up of a randomised trial of platelet-rich plasma injections in acute hamstring muscle injury: The Dutch Hamstring Injection Therapy study. Br. J. Sports Med. 2015, 49, 1206–1212. [Google Scholar] [CrossRef]
- Milano, G.; Sánchez, M.; Jo, C.H.; Saccomanno, M.F.; Thampatty, B.P.; Wang, J.H.C. Platelet-rich plasma in orthopaedic sports medicine: State of the art. J. ISAKOS 2019, 4, 188–195. [Google Scholar] [CrossRef]
- O’Dowd, A. Update on the Use of Platelet-Rich Plasma Injections in the Management of Musculoskeletal Injuries: A Systematic Review of Studies From 2014 to 2021. Orthop. J. Sports Med. 2022, 10, 23259671221140888. [Google Scholar] [CrossRef]
- Hamid, M.S.; Yusof, A.; Mohamed Ali, M.R. Platelet-rich plasma (PRP) for acute muscle injury: A systematic review. PLoS ONE 2014, 9, e90538. [Google Scholar] [CrossRef] [PubMed]
- De Macedo, A.; Lana, J.; Pedrozo, C.; Bottene, I.; De Medeiros, J.; Da Silva, L. The Regenerative Medicine Potential of PRP in Elite Athlete Injuries. Fortune J. Rheumatol. 2020, 2, 16–26. [Google Scholar] [CrossRef]
- Ficek, K.; Kamiński, T.; Wach, E.; Cholewiński, J.; Cięszczyk, P. Application of platelet rich plasma in sports medicine. J. Hum. Kinet. 2011, 30, 85–97. [Google Scholar] [CrossRef]
- Sebbagh, P.; Hirt-Burri, N.; Scaletta, C.; Abdel-Sayed, P.; Raffoul, W.; Gremeaux, V.; Laurent, A.; Applegate, L.A.; Gremion, G. Process Optimization and Efficacy Assessment of Standardized PRP for Tendinopathies in Sports Medicine: Retrospective Study of Clinical Files and GMP Manufacturing Records in a Swiss University Hospital. Bioengineering 2023, 10, 409. [Google Scholar] [CrossRef] [PubMed]
- Mochizuki, T.; Ushiki, T.; Watanabe, S.; Omori, G.; Kawase, T. The levels of TGFβ1, VEGF, PDGF-BB, and PF4 in platelet-rich plasma of professional soccer players: A cross-sectional pilot study. J. Orthopaedic. Surg. Res. 2022, 17, 465. [Google Scholar] [CrossRef]
- Ushiki, T.; Mochizuki, T.; Suzuki, K.; Kamimura, M.; Ishiguro, H.; Watanabe, S.; Omori, G.; Yamamoto, N.; Kawase, T. Platelet polyphosphate and energy metabolism in professional male athletes (soccer players): A cross-sectional pilot study. Physiol. Rep. 2022, 10, e15409. [Google Scholar] [CrossRef]
- Haizlip, K.M.; Harrison, B.C.; Leinwand, L.A. Sex-based differences in skeletal muscle kinetics and fiber-type composition. Physiology 2015, 30, 30–39. [Google Scholar] [CrossRef]
- Handelsman, D.J.; Hirschberg, A.L.; Bermon, S. Circulating Testosterone as the Hormonal Basis of Sex Differences in Athletic Performance. Endocr. Rev. 2018, 39, 803–829. [Google Scholar] [CrossRef]
- Chidi-Ogbolu, N.; Baar, K. Effect of Estrogen on Musculoskeletal Performance and Injury Risk. Front. Physiol. 2019, 9, 1834. [Google Scholar] [CrossRef]
- Bishop, M.E.; Ahlmen, A.; Rosendorf, J.; Erickson, B.J.; Cohen, S. Bone stress injuries in female athletes. Ann. Jt. 2020, 6. [Google Scholar] [CrossRef]
- Nazem, T.G.; Ackerman, K.E. The female athlete triad. Sports Health 2012, 4, 302–311. [Google Scholar] [CrossRef] [PubMed]
- Brown, K.A.; Dewoolkar, A.V.; Baker, N.; Dodich, C. The female athlete triad: Special considerations for adolescent female athletes. Transl. Pediatr. 2017, 6, 144–149. [Google Scholar] [CrossRef] [PubMed]
- Maya, J.; Misra, M. The female athlete triad: Review of current literature. Curr. Opin. Endocrinol. Diabetes Obes. 2022, 29, 44–51. [Google Scholar] [CrossRef] [PubMed]
- Chen, Y.T.; Tenforde, A.S.; Fredericson, M. Update on stress fractures in female athletes: Epidemiology, treatment, and prevention. Curr. Rev. Musculoskelet. Med. 2013, 6, 173–181. [Google Scholar] [CrossRef]
- Grau, M.; Cremer, J.M.; Schmeichel, S.; Kunkel, M.; Bloch, W. Comparisons of Blood Parameters, Red Blood Cell Deformability and Circulating Nitric Oxide Between Males and Females Considering Hormonal Contraception: A Longitudinal Gender Study. Front. Physiol. 2018, 9, 1385. [Google Scholar] [CrossRef]
- Sahastrabuddhe, A.P. Counting of RBC and WBC Using Image Processing: A Review. Int. J. Res. Eng. Tecnol. 2016, 5, 356–360. [Google Scholar] [CrossRef]
- Xiong, G.; Lingampalli, N.; Koltsov, J.C.B.; Leung, L.L.; Bhutani, N.; Robinson, W.H.; Chu, C.R. Men and Women Differ in the Biochemical Composition of Platelet-Rich Plasma. Am. J. Sports Med. 2017, 46, 409–419. [Google Scholar] [CrossRef]
- Evanson, J.R.; Guyton, M.K.; Oliver, D.L.; Hire, J.M.; Topolski, R.L.; Zumbrun, S.D.; McPherson, J.C.; Bojescul, J.A. Gender and age differences in growth factor concentrations from platelet-rich plasma in adults. Mil. Med. 2014, 179, 799–805. [Google Scholar] [CrossRef]
- Weibrich, G.; Kleis, W.K.; Kunz-Kostomanolakis, M.; Loos, A.H.; Wagner, W. Correlation of platelet concentration in platelet-rich plasma to the extraction method, age, sex, and platelet count of the donor. Int. J. Oral Maxillofac. Implants 2001, 16, 693–699. [Google Scholar]
- Taniguchi, Y.; Yoshioka, T.; Sugaya, H.; Gosho, M.; Aoto, K.; Kanamori, A.; Yamazaki, M. Growth factor levels in leukocyte-poor platelet-rich plasma and correlations with donor age, gender, and platelets in the Japanese population. J. Exp. Orthop. 2019, 6, 4. [Google Scholar] [CrossRef]
- Rossi, L.; Ranalletta, M.; Pasqualini, I.; Zicaro, J.; Paz, M.; Camino, P.; Piuzzi, N. Substantial Variability in Platelet-Rich Plasma Composition Is Based on Patient Age and Baseline Platelet Count. Arthrosc. Sports Med. Rehabil. 2023, 5, e853–e858. [Google Scholar] [CrossRef] [PubMed]
- Sawyer, S.M.; Azzopardi, P.S.; Wickremarathne, D.; Patton, G.C. The age of adolescence. Lancet Child Adolesc. Health 2018, 2, 223–228. [Google Scholar] [CrossRef] [PubMed]
- Zech, A.; Hollander, K.; Junge, A.; Steib, S.; Groll, A.; Heiner, J.; Nowak, F.; Pfeiffer, D.; Rahlf, A.L. Sex differences in injury rates in team-sport athletes: A systematic review and meta-regression analysis. J. Sport Health Sci. 2022, 11, 104–114. [Google Scholar] [CrossRef] [PubMed]
- Editorial. The female ACL: Why is it more prone to injury? J. Orthop. 2016, 13, A1–A4. [Google Scholar] [CrossRef]
- Toth, A.; Cordasco, F. Anterior cruciate ligament injuries in the female athlete. J. Gend. Specif. Med. 2001, 4, 25–34. [Google Scholar]
- Ushiki, T.; Mochizuki, T.; Suzuki, K.; Kamimura, M.; Ishiguro, H.; Suwabe, T.; Wwatanabe, S.; Omori, G.; Yamamoto, N.; Kawase, T. Strategic Analysis of Body Composition Indices and Resting Platelet ATP Levels in Professional Soccer Players for Better Platelet-rich Plasma Therapy. Front. Bioeng. Biotechnol. 2023, 11, 1255860. [Google Scholar] [CrossRef]
- O’Connell, B.; Wragg, N.M.; Wilson, S.L. The use of PRP injections in the management of knee osteoarthritis. Cell Tissue Res. 2019, 376, 143–152. [Google Scholar] [CrossRef]
- Marx, R.E.; Carlson, E.R.; Eichstaedt, R.M.; Schimmele, S.R.; Strauss, J.E.; Georgeff, K.R. Platelet-rich plasma: Growth factor enhancement for bone grafts. Oral Surg. Oral Med. Oral Pathol. Oral Radiol. Endod. 1998, 85, 638–646. [Google Scholar] [CrossRef]
- Kawase, T.; Okuda, K. Comprehensive Quality Control of the Regenerative Therapy Using Platelet Concentrates: The Current Situation and Prospects in Japan. BioMed Res. Int. 2018, 2018, 6389157. [Google Scholar] [CrossRef]
- Kawase, T.; Mubarak, S.; Mourão, C.F. The Platelet Concentrates Therapy: From the Biased Past to the Anticipated Future. Bioengineering 2020, 7, 82. [Google Scholar] [CrossRef]
- Zhou, Y.; Zhang, J.; Wu, H.; Hogan, M.V.; Wang, J.H. The differential effects of leukocyte-containing and pure platelet-rich plasma (PRP) on tendon stem/progenitor cells—Implications of PRP application for the clinical treatment of tendon injuries. Stem Cell Res. Ther. 2015, 6, 173. [Google Scholar] [CrossRef] [PubMed]
- Anitua, E.; Zalduendo, M.; Troya, M.; Tierno, R.; Alkhraisat, M.H. The inclusion of leukocytes into platelet rich plasma reduces scaffold stability and hinders extracellular matrix remodelling. Ann. Anat. 2022, 240, 151853. [Google Scholar] [CrossRef] [PubMed]
- Lebrun, C.M.; Rumball, J.S. Female Athlete Triad. Sports Med. Arthrosc. Rev. 2002, 10, 23–32. [Google Scholar] [CrossRef]
- Javed, A.; Tebben, P.J.; Fischer, P.R.; Lteif, A.N. Female Athlete Triad and Its Components: Toward Improved Screening and Management. Mayo Clin. Proc. 2013, 88, 996–1009. [Google Scholar] [CrossRef]
- Ushiki, T.; Mochizuki, T.; Suzuki, K.; Kamimura, M.; Ishiguro, H.; Suwabe, T.; Kawase, T. Modulation of ATP Production Influences Inorganic Polyphosphate Levels in Non-Athletes’ Platelets at the Resting State. Int. J. Mol. Sci. 2022, 23, 11293. [Google Scholar] [CrossRef]
- So, R.; Sasai, H.; Matsuo, T.; Tsujimoto, T.; Eto, M.; Saotome, K.; Tanaka, K. Multiple-slice magnetic resonance imaging can detect visceral adipose tissue reduction more accurately than single-slice imaging. Eur. J. Clin. Nutr. 2012, 66, 1351–1355. [Google Scholar] [CrossRef]









| Indices | Control | Athlete | ||||
|---|---|---|---|---|---|---|
| WB | L-PRP | Folds | WB | L-PRP | Folds | |
| WBC | 48.0 ± 14.7 (×102/μL) | 106.6 ± 40.8 (×102/μL) | 2.22 | 57.5 ± 13.2 (×102/μL) | 144.8 ± 66.3 (×102/μL) | 2.52 |
| RBC | 391.5 ± 26.4 (×104/μL) | 210.4 ± 58.2 (×104/μL) | 0.537 | 385.9 ± 24.4 (×104/μL) | 118.2 ± 48.4 (×104/μL) | 0.306 |
| PLT | 22.0 ± 3.7 (×104/μL) | 100.1 ± 21.6 (×104/μL) | 4.55 | 23.4 ± 4.8 (×104/μL) | 104.6 ± 30.8 (×104/μL) | 4.47 |
| HCT | 35.1 ± 2.0 (%) | N.D. | N.D. | 33.9 ± 2.0 (%) | N.D. | N.D. |
| Triad | Questionnaire |
|---|---|
| Amenorrhoea | Have you experienced no menstruation for more than three months? |
| Have you experienced fewer than five menstrual cycles in the previous year? | |
| Bone strength | Have you ever been diagnosed with osteoporosis? |
| Low energy availability | Is your BMI 17.5 or less? |
Disclaimer/Publisher’s Note: The statements, opinions and data contained in all publications are solely those of the individual author(s) and contributor(s) and not of MDPI and/or the editor(s). MDPI and/or the editor(s) disclaim responsibility for any injury to people or property resulting from any ideas, methods, instructions or products referred to in the content. |
© 2023 by the authors. Licensee MDPI, Basel, Switzerland. This article is an open access article distributed under the terms and conditions of the Creative Commons Attribution (CC BY) license (https://creativecommons.org/licenses/by/4.0/).
Share and Cite
Mochizuki, T.; Ushiki, T.; Suzuki, K.; Sato, M.; Ishiguro, H.; Suwabe, T.; Edama, M.; Omori, G.; Yamamoto, N.; Kawase, T. Characterization of Leukocyte- and Platelet-Rich Plasma Derived from Female Collage Athletes: A Cross-Sectional Cohort Study Focusing on Growth Factor, Inflammatory Cytokines, and Anti-Inflammatory Cytokine Levels. Int. J. Mol. Sci. 2023, 24, 13592. https://doi.org/10.3390/ijms241713592
Mochizuki T, Ushiki T, Suzuki K, Sato M, Ishiguro H, Suwabe T, Edama M, Omori G, Yamamoto N, Kawase T. Characterization of Leukocyte- and Platelet-Rich Plasma Derived from Female Collage Athletes: A Cross-Sectional Cohort Study Focusing on Growth Factor, Inflammatory Cytokines, and Anti-Inflammatory Cytokine Levels. International Journal of Molecular Sciences. 2023; 24(17):13592. https://doi.org/10.3390/ijms241713592
Chicago/Turabian StyleMochizuki, Tomoharu, Takashi Ushiki, Katsuya Suzuki, Misato Sato, Hajime Ishiguro, Tatsuya Suwabe, Mutsuaki Edama, Go Omori, Noriaki Yamamoto, and Tomoyuki Kawase. 2023. "Characterization of Leukocyte- and Platelet-Rich Plasma Derived from Female Collage Athletes: A Cross-Sectional Cohort Study Focusing on Growth Factor, Inflammatory Cytokines, and Anti-Inflammatory Cytokine Levels" International Journal of Molecular Sciences 24, no. 17: 13592. https://doi.org/10.3390/ijms241713592
APA StyleMochizuki, T., Ushiki, T., Suzuki, K., Sato, M., Ishiguro, H., Suwabe, T., Edama, M., Omori, G., Yamamoto, N., & Kawase, T. (2023). Characterization of Leukocyte- and Platelet-Rich Plasma Derived from Female Collage Athletes: A Cross-Sectional Cohort Study Focusing on Growth Factor, Inflammatory Cytokines, and Anti-Inflammatory Cytokine Levels. International Journal of Molecular Sciences, 24(17), 13592. https://doi.org/10.3390/ijms241713592

