Characterization of the Heat Shock Transcription Factor Family in Medicago sativa L. and Its Potential Roles in Response to Abiotic Stresses
Abstract
1. Introduction
2. Results
2.1. MsHSF Gene Identification and Characterization in the Alfalfa Autotetraploid Genome
2.2. Phylogenetic Analysis of HSF Genes in Alfalfa
2.3. Gene Structure and Conserved Motif Analysis of MsHSF Genes
2.4. Gene Duplication Events and Synteny Analysis among MsHSF Genes
2.5. Analysis of Cis-Elements in the Promoter Regions of MsHSF Genes
2.6. Expression Patterns of MsHSF Genes in M. sativa Tissues
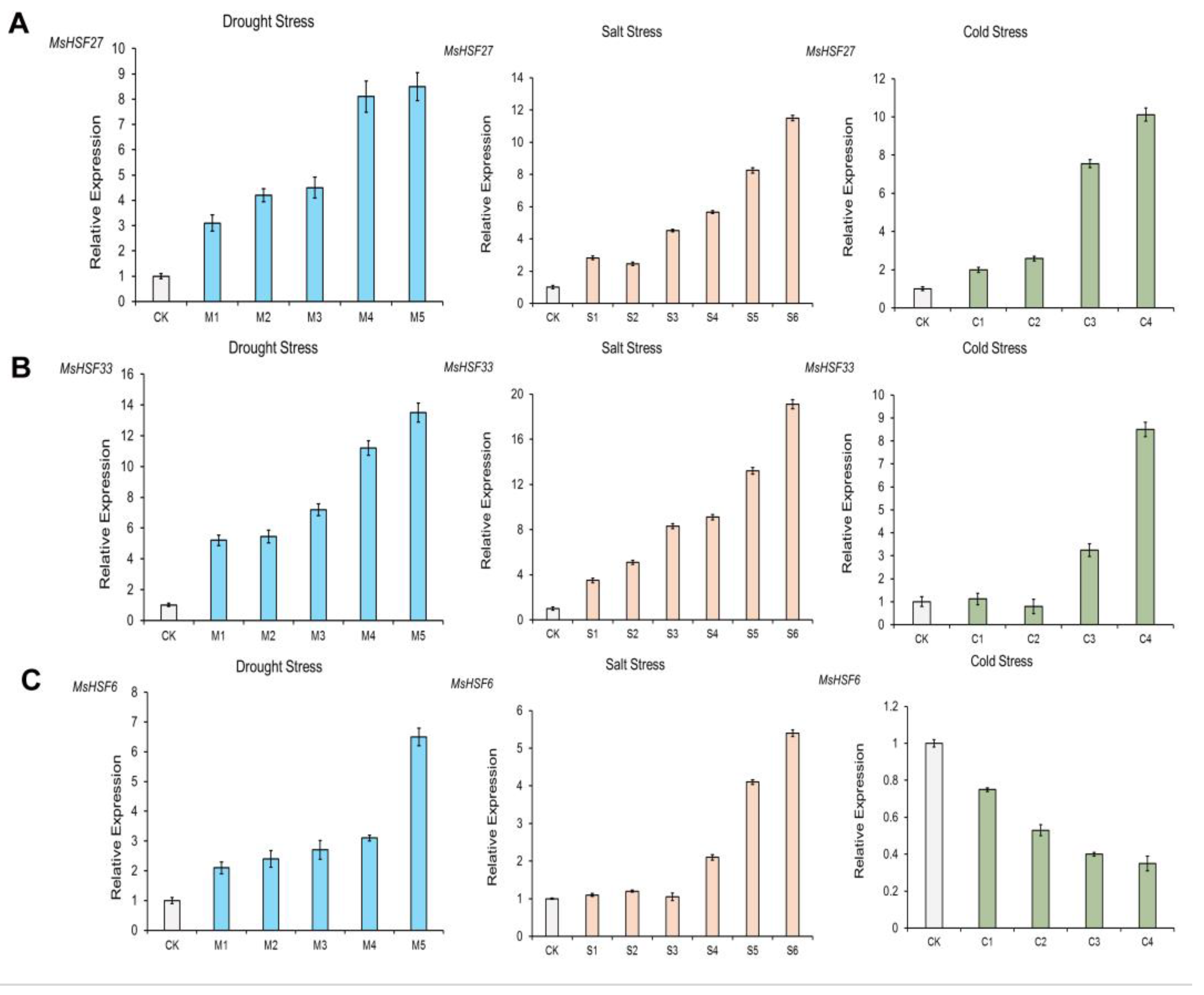
2.7. Expression Analysis for MsHSF Genes under Different Abiotic Stresses
2.8. Identification and Analysis of Genes Coexpressed with MsHSF6/27/33 under Salt Stress
3. Discussion
4. Materials and Methods
4.1. Identification of MsHSF Genes in the Medicago Sativa Genome
4.2. Chromosome Location and Gene Information
4.3. Phylogenetic Analysis
4.4. Gene Structure, Motif Identification and Conserved Domains
4.5. Gene Duplication and Synteny Analysis
4.6. Identification of Cis-Acting Elements
4.7. Transcriptomic Data Analysis
4.8. Details of Plant Material and Treatment
4.9. Expression Analysis of MsHSF Genes
4.10. Genes Coexpressed with MsHSFs
5. Conclusions
Supplementary Materials
Author Contributions
Funding
Institutional Review Board Statement
Informed Consent Statement
Data Availability Statement
Conflicts of Interest
References
- Song, X.; Liu, G.; Duan, W.; Liu, T.; Huang, Z.; Ren, J.; Li, Y.; Hou, X. Genome-wide identification, classification and expression analysis of the heat shock transcription factor family in Chinese cabbage. Mol. Genet. Genom. 2014, 289, 541–551. [Google Scholar] [CrossRef] [PubMed]
- Yan, Y.; Wang, S.; Wei, M.; Gong, B.; Shi, Q. Effect of Different Rootstocks on the Salt Stress Tolerance in Watermelon Seedlings. Hortic. Plant J. 2018, 4, 239–249. [Google Scholar] [CrossRef]
- Bakshi, A.; Moin, M.; Kumar, M.U.; Reddy, A.B.; Ren, M.; Datla, R.; Siddiq, E.A.; Kirti, P.B. Ectopic expression of Arabidopsis Target of Rapamycin (AtTOR) improves water-use efficiency and yield potential in rice. Sci. Rep. 2017, 7, 42835. [Google Scholar] [CrossRef]
- Mittler, R.; Finka, A.; Goloubinoff, P. How do plants feel the heat? Trends Biochem. Sci. 2012, 37, 118–125. [Google Scholar] [CrossRef]
- Singh, K.; Foley, R.C.; Onate-Sanchez, L. Transcription factors in plant defense and stress responses. Curr. Opin. Plant Biol. 2002, 5, 430–436. [Google Scholar] [CrossRef] [PubMed]
- Ohama, N.; Sato, H.; Shinozaki, K.; Yamaguchi-Shinozaki, K. Transcriptional Regulatory Network of Plant Heat Stress Response. Trends Plant Sci. 2017, 22, 53–65. [Google Scholar] [CrossRef]
- Scharf, K.D.; Berberich, T.; Ebersberger, I.; Nover, L. The plant heat stress transcription factor (Hsf) family: Structure, function and evolution. Biochim. Biophys. Acta 2012, 1819, 104–119. [Google Scholar]
- Wu, C. Heat shock transcription factors: Structure and regulation. Annu. Rev. Cell Dev. Biol. 1995, 11, 441–469. [Google Scholar]
- Pelham, H.R. A regulatory upstream promoter element in the Drosophila hsp 70 heat-shock gene. Cell 1982, 30, 517–528. [Google Scholar] [CrossRef]
- von Koskull-Doring, P.; Scharf, K.D.; Nover, L. The diversity of plant heat stress transcription factors. Trends Plant Sci. 2007, 12, 452–457. [Google Scholar] [CrossRef]
- Nover, L.; Bharti, K.; Döring, P.; Mishra, S.K.; Ganguli, A.; Scharf, K.D. Arabidopsis and the heat stress transcription factor world: How many heat stress transcription factors do we need? Cell Stress Chaperones 2001, 6, 177–189. [Google Scholar] [PubMed]
- Lyck, R.; Harmening, U.; Höhfeld, I.; Treuter, E.; Scharf, K.D.; Nover, L. Intracellular distribution and identification of the nuclear localization signals of two plant heat-stress transcription factors. Planta 1997, 202, 117–125. [Google Scholar] [PubMed]
- Heerklotz, D.; Doring, P.; Bonzelius, F.; Winkelhaus, S.; Nover, L. The balance of nuclear import and export determines the intracellular distribution and function of tomato heat stress transcription factor HsfA2. Mol. Cell Biol. 2001, 21, 1759–1768. [Google Scholar] [CrossRef] [PubMed]
- Döring, P.; Treuter, E.; Kistner, C.; Lyck, R.; Chen, A.; Nover, L. The role of AHA motifs in the activator function of tomato heat stress transcription factors HsfA1 and HsfA2. Plant Cell 2000, 12, 265–278. [Google Scholar] [CrossRef]
- Kotak, S.; Port, M.; Ganguli, A.; Bicker, F.; von Koskull-Doring, P. Characterization of C-terminal domains of Arabidopsis heat stress transcription factors (Hsfs) and identification of a new signature combination of plant class A Hsfs with AHA and NES motifs essential for activator function and intracellular localization. Plant J. 2004, 39, 98–112. [Google Scholar] [CrossRef]
- Scharf, K.D.; Rose, S.; Zott, W.; Schöffl, F.; Nover, L. Three tomato genes code for heat stress transcription factors with a region of remarkable homology to the DNA-binding domain of the yeast HSF. EMBO J. 1990, 9, 4495–4501. [Google Scholar] [CrossRef] [PubMed]
- Kotak, S.; Vierling, E.; Baumlein, H.; von Koskull-Doring, P. A novel transcriptional cascade regulating expression of heat stress proteins during seed development of Arabidopsis. Plant Cell 2007, 19, 182–195. [Google Scholar] [CrossRef] [PubMed]
- Lin, Q.; Jiang, Q.; Lin, J.; Wang, D.; Li, S.; Liu, C.; Sun, C.; Chen, K. Heat shock transcription factors expression during fruit development and under hot air stress in Ponkan (Citrus reticulata Blanco cv. Ponkan) fruit. Gene 2015, 559, 129–136. [Google Scholar] [CrossRef]
- Charng, Y.Y.; Liu, H.C.; Liu, N.Y.; Chi, W.T.; Wang, C.N.; Chang, S.H.; Wang, T.T. A heat-inducible transcription factor, HsfA2, is required for extension of acquired thermotolerance in Arabidopsis. Plant Physiol. 2007, 143, 251–262. [Google Scholar] [CrossRef]
- Yoshida, T.; Ohama, N.; Nakajima, J.; Kidokoro, S.; Mizoi, J.; Nakashima, K.; Maruyama, K.; Kim, J.-M.; Seki, M.; Todaka, D.; et al. Arabidopsis HsfA1 transcription factors function as the main positive regulators in heat shock-responsive gene expression. Mol. Genet. Genom. 2011, 286, 321–332. [Google Scholar] [CrossRef]
- Li, Z.; Zhang, L.; Wang, A.; Xu, X.; Li, J. Ectopic overexpression of SlHsfA3, a heat stress transcription factor from tomato, confers increased thermotolerance and salt hypersensitivity in germination in transgenic Arabidopsis. PLoS ONE 2013, 8, e54880. [Google Scholar] [CrossRef]
- Huang, Y.; Li, M.Y.; Wang, F.; Xu, Z.S.; Huang, W.; Wang, G.L.; Ma, J.; Xiong, A.S. Heat shock factors in carrot: Genome-wide identification, classification, and expression profiles response to abiotic stress. Mol. Biol. Rep. 2015, 42, 893–905. [Google Scholar]
- Xiang, J.; Ran, J.; Zou, J.; Zhou, X.; Liu, A.; Zhang, X.; Peng, Y.; Tang, N.; Luo, G.; Chen, X. Heat shock factor OsHsfB2b negatively regulates drought and salt tolerance in rice. Plant Cell Rep. 2013, 32, 1795–1806. [Google Scholar] [CrossRef]
- Bechtold, U.; Albihlal, W.S.; Lawson, T.; Fryer, M.J.; Sparrow, P.A.; Richard, F.; Persad, R.; Bowden, L.; Hickman, R.; Martin, C.; et al. Arabidopsis HEAT SHOCK TRANSCRIPTION FACTORA1b overexpression enhances water productivity, resistance to drought, and infection. J. Exp. Bot. 2013, 64, 3467–3481. [Google Scholar] [CrossRef]
- Guo, J.; Wu, J.; Ji, Q.; Wang, C.; Luo, L.; Yuan, Y.; Wang, Y.; Wang, J. Genome-wide analysis of heat shock transcription factor families in rice and Arabidopsis. J. Genet. Genom. 2008, 35, 105–118. [Google Scholar] [CrossRef] [PubMed]
- Lin, Y.-X.; Jiang, H.-Y.; Chu, Z.-X.; Tang, X.-L.; Zhu, S.-W.; Cheng, B.-J. Genome-wide identification, classification and analysis of heat shock transcription factor family in maize. BMC Genom. 2011, 12, 76. [Google Scholar] [CrossRef] [PubMed]
- Huang, B.; Huang, Z.; Ma, R.; Chen, J.; Zhang, Z.; Yrjala, K. Genome-wide identification and analysis of the heat shock transcription factor family in moso bamboo (Phyllostachys edulis). Sci. Rep. 2021, 11, 16492. [Google Scholar] [CrossRef] [PubMed]
- Li, P.S.; Yu, T.F.; He, G.H.; Chen, M.; Zhou, Y.B.; Chai, S.C.; Xu, Z.S.; Ma, Y.Z. Genome-wide analysis of the Hsf family in soybean and functional identification of GmHsf-34 involvement in drought and heat stresses. BMC Genom. 2014, 15, 1009. [Google Scholar] [CrossRef]
- Li, M.; Xie, F.; Li, Y.; Gong, L.; Luo, Y.; Zhang, Y.; Chen, Q.; Wang, Y.; Lin, Y.; Zhang, Y.; et al. Genome-Wide Analysis of the Heat Shock Transcription Factor Gene Family in Brassica juncea: Structure, Evolution, and Expression Profiles. DNA Cell Biol. 2020, 39, 1990–2004. [Google Scholar]
- Chen, L.; He, F.; Long, R.; Zhang, F.; Li, M.; Wang, Z.; Kang, J.; Yang, Q. A global alfalfa diversity panel reveals genomic selection signatures in Chinese varieties and genomic associations with root development. J. Integr. Plant Biol. 2021, 63, 1937–1951. [Google Scholar] [CrossRef]
- Shen, C.; Du, H.; Chen, Z.; Lu, H.; Zhu, F.; Chen, H.; Meng, X.; Liu, Q.; Liu, P.; Zheng, L.; et al. The Chromosome-Level Genome Sequence of the Autotetraploid Alfalfa and Resequencing of Core Germplasms Provide Genomic Resources for Alfalfa Research. Mol. Plant 2020, 13, 1250–1261. [Google Scholar] [CrossRef] [PubMed]
- Chen, H.; Zeng, Y.; Yang, Y.; Huang, L.; Tang, B.; Zhang, H.; Hao, F.; Liu, W.; Li, Y.; Liu, Y.; et al. Allele-aware chromosome-level genome assembly and efficient transgene-free genome editing for the autotetraploid cultivated alfalfa. Nat. Commun. 2020, 11, 2494. [Google Scholar]
- Long, R.; Zhang, F.; Zhang, Z.; Li, M.; Chen, L.; Wang, X.; Liu, W.; Zhang, T.; Yu, L.-X.; He, F.; et al. Genome Assembly of Alfalfa Cultivar Zhongmu-4 and Identification of SNPs Associated with Agronomic Traits. Genom. Proteom. Bioinform. 2022, 20, 14–28. [Google Scholar] [CrossRef]
- Ma, J.; Zhang, G.; Ye, Y.; Shang, L.; Hong, S.; Ma, Q.; Zhao, Y.; Gu, C. Genome-Wide Identification and Expression Analysis of HSF Transcription Factors in Alfalfa (Medicago sativa) under Abiotic Stress. Plants 2022, 11, 2763. [Google Scholar] [CrossRef]
- Shan, Q.; Ma, F.; Wei, J.; Li, H.; Ma, H.; Sun, P. Physiological Functions of Heat Shock Proteins. Curr. Protein Pept. Sci. 2020, 21, 751–760. [Google Scholar] [CrossRef]
- Li, H.; Wang, X.H.; Li, Q.; Xu, P.; Liu, Z.N.; Xu, M.; Cui, X.Y. GmCIPK21, a CBL-interacting protein kinase confers salt tolerance in soybean (Glycine max L.). Plant Physiol. Biochem. 2022, 184, 47–55. [Google Scholar] [CrossRef]
- Nakashima, K.; Takasaki, H.; Mizoi, J.; Shinozaki, K.; Yamaguchi-Shinozaki, K. NAC transcription factors in plant abiotic stress responses. Biochim. Biophys. Acta 2012, 1819, 97–103. [Google Scholar] [CrossRef] [PubMed]
- Macovei, A.; Vaid, N.; Tula, S.; Tuteja, N. A new DEAD-box helicase ATP-binding protein (OsABP) from rice is responsive to abiotic stress. Plant Signal Behav. 2012, 7, 1138–1143. [Google Scholar] [CrossRef] [PubMed]
- Duan, S.; Liu, B.; Zhang, Y.; Li, G.; Guo, X. Genome-wide identification and abiotic stress-responsive pattern of heat shock transcription factor family in Triticum aestivum L. BMC Genom. 2019, 20, 257. [Google Scholar] [CrossRef]
- Ye, J.; Yang, X.; Hu, G.; Liu, Q.; Li, W.; Zhang, L.; Song, X. Genome-Wide Investigation of Heat Shock Transcription Factor Family in Wheat (Triticum aestivum L.) and Possible Roles in Anther Development. Int. J. Mol. Sci. 2020, 21, 608. [Google Scholar] [CrossRef]
- Xue, G.P.; Sadat, S.; Drenth, J.; McIntyre, C.L. The heat shock factor family from Triticum aestivum in response to heat and other major abiotic stresses and their role in regulation of heat shock protein genes. J. Exp. Bot. 2014, 65, 539–557. [Google Scholar] [PubMed]
- Lynch, M.; Conery, J.S. The evolutionary fate and consequences of duplicate genes. Science 2000, 290, 1151–1155. [Google Scholar] [CrossRef]
- Cannon, S.B.; Mitra, A.; Baumgarten, A.; Young, N.D.; May, G. The roles of segmental and tandem gene duplication in the evolution of large gene families in Arabidopsis thaliana. BMC Plant Biol. 2004, 4, 10. [Google Scholar]
- Ogawa, D.; Yamaguchi, K.; Nishiuchi, T. High-level overexpression of the Arabidopsis HsfA2 gene confers not only increased themotolerance but also salt/osmotic stress tolerance and enhanced callus growth. J. Exp. Bot. 2007, 58, 3373–3383. [Google Scholar] [CrossRef] [PubMed]
- Liu, H.C.; Charng, Y.Y. Common and distinct functions of Arabidopsis class A1 and A2 heat shock factors in diverse abiotic stress responses and development. Plant Physiol. 2013, 163, 276–290. [Google Scholar] [CrossRef]
- Bharti, K.; Schmidt, E.; Lyck, R.; Heerklotz, D.; Bublak, D.; Scharf, K.D. Isolation and characterization of HsfA3, a new heat stress transcription factor of Lycopersicon peruvianum. Plant J. 2000, 22, 355–365. [Google Scholar] [CrossRef]
- Sun, T.T.; Wang, C.; Liu, R.; Zhang, Y.; Wang, Y.C.; Wang, L.Q. ThHSFA1 Confers Salt Stress Tolerance through Modulation of Reactive Oxygen Species Scavenging by Directly Regulating ThWRKY4. Int. J. Mol. Sci. 2021, 22, 5048. [Google Scholar] [CrossRef]
- Hu, Y.; Han, Y.T.; Zhang, K.; Zhao, F.L.; Li, Y.J.; Zheng, Y.; Wang, Y.J.; Wen, Y.Q. Identification and expression analysis of heat shock transcription factors in the wild Chinese grapevine (Vitis pseudoreticulata). Plant Physiol. Biochem. 2016, 99, 1–10. [Google Scholar]
- Zhang, Q.; Geng, J.; Du, Y.; Zhao, Q.; Zhang, W.; Fang, Q.; Yin, Z.; Li, J.; Yuan, X.; Fan, Y.; et al. Heat shock transcription factor (Hsf) gene family in common bean (Phaseolus vulgaris): Genome-wide identification, phylogeny, evolutionary expansion and expression analyses at the sprout stage under abiotic stress. BMC Plant Biol. 2022, 22, 33. [Google Scholar]
- Finn, R.D.; Bateman, A.; Clements, J.; Coggill, P.; Eberhardt, R.Y.; Eddy, S.R.; Heger, A.; Hetherington, K.; Holm, L.; Mistry, J.; et al. Pfam: The protein families database. Nucleic Acids Res. 2014, 42, D222–D230. [Google Scholar] [CrossRef]
- Chen, C.; Chen, H.; Zhang, Y.; Thomas, H.R.; Frank, M.H.; He, Y.; Xia, R. TBtools: An Integrative Toolkit Developed for Interactive Analyses of Big Biological Data. Mol. Plant 2020, 13, 1194–1202. [Google Scholar]
- Kumar, S.; Stecher, G.; Li, M.; Knyaz, C.; Tamura, K. MEGA X: Molecular Evolutionary Genetics Analysis across Computing Platforms. Mol. Biol. Evol. 2018, 35, 1547–1549. [Google Scholar] [PubMed]
- Wang, Y.; Tang, H.; Debarry, J.D.; Tan, X.; Li, J.; Wang, X.; Lee, T.H.; Jin, H.; Marler, B.; Guo, H.; et al. MCScanX: A toolkit for detection and evolutionary analysis of gene synteny and collinearity. Nucleic Acids Res. 2012, 40, e49. [Google Scholar] [CrossRef]
- O’Rourke, J.A.; Fu, F.; Bucciarelli, B.; Yang, S.S.; Samac, D.A.; Lamb, J.F.; Monteros, M.J.; Graham, M.A.; Gronwald, J.W.; Krom, N.; et al. The Medicago sativa gene index 1.2: A web-accessible gene expression atlas for investigating expression differences between Medicago sativa subspecies. BMC Genom. 2015, 16, 502. [Google Scholar]
- Dong, X.M.; Deng, H.; Ma, W.X.; Qiang, Z.; Liu, Z.P. Genome-wide identification of the MADS-box transcription factor family in autotetraploid cultivated alfalfa (Medicago sativa L.) and expression analysis under abiotic stress. BMC Genom. 2021, 22, 603. [Google Scholar]
- Kim, D.; Pertea, G.; Trapnell, C.; Pimentel, H.; Kelley, R.; Salzberg, S.L. TopHat2: Accurate alignment of transcriptomes in the presence of insertions, deletions and gene fusions. Genome Biol. 2013, 14, R36. [Google Scholar] [PubMed]
- Love, M.I.; Huber, W.; Anders, S. Moderated estimation of fold change and dispersion for RNA-seq data with DESeq2. Genome Biol. 2014, 15, 550. [Google Scholar]
- Livak, K.J.; Schmittgen, T.D. Analysis of relative gene expression data using real-time quantitative PCR and the 2−ΔΔCT method. Methods 2001, 25, 402–408. [Google Scholar] [CrossRef]










| Gene Name | Gene ID | Chr Location | CDS Length (bp) | Protein Length (aa) | MW (kDa) | pI | Subcellular Location |
|---|---|---|---|---|---|---|---|
| MsHSF1 | MS.gene47348 | chr1.1:46,491,236–46,493,679 | 1560 | 520 | 59.08 | 5.5 | Nucleus |
| MsHSF2 | MS.gene49374 | chr1.1:53,676,456–53,677,640 | 1023 | 341 | 40.17 | 5.44 | Nucleus |
| MsHSF3 | MS.gene006320 | chr1.1:72,806,609–72,807,606 | 909 | 303 | 33.80 | 7.58 | Nucleus |
| MsHSF4 | MS.gene37701 | chr1.1:73,816,413–73,818,125 | 978 | 326 | 38.08 | 5.72 | Nucleus |
| MsHSF5 | MS.gene50549 | chr1.2:54,664,413–54,665,621 | 1047 | 349 | 41.23 | 5.7 | Nucleus |
| MsHSF6 | MS.gene34469 | chr1.2:75,570,174–75,571,157 | 912 | 304 | 33.93 | 7.56 | Nucleus |
| MsHSF7 | MS.gene34387 | chr1.2:76,550,116–76,551,779 | 978 | 326 | 38.16 | 5.77 | Nucleus |
| MsHSF8 | MS.gene034932 | chr1.3:44,215,023–44,217,276 | 1374 | 458 | 51.61 | 4.87 | Nucleus |
| MsHSF9 | MS.gene036186 | chr1.3:51,302,463–51,303,647 | 1023 | 341 | 40.17 | 5.44 | Nucleus |
| MsHSF10 | MS.gene49062 | chr1.3:69,715,698–69,716,687 | 912 | 304 | 33.85 | 6.55 | Nucleus |
| MsHSF11 | MS.gene006403 | chr1.3:70,669,752–70,671,419 | 978 | 326 | 38.16 | 5.77 | Nucleus |
| MsHSF12 | MS.gene72412 | chr1.4:50,359,380–50,361,633 | 1374 | 458 | 51.59 | 4.87 | Nucleus |
| MsHSF13 | MS.gene39940 | chr1.4:58,394,993–58,396,193 | 1023 | 341 | 40.16 | 5.44 | Nucleus |
| MsHSF14 | MS.gene41406 | chr1.4:78,626,550–78,627,540 | 897 | 299 | 33.40 | 8.15 | Nucleus |
| MsHSF15 | MS.gene070958 | chr1.4:79,551,444–79,553,156 | 978 | 326 | 38.17 | 5.9 | Nucleus |
| MsHSF16 | MS.gene069887 | chr2.1:4,201,900–4,215,604 | 4506 | 1502 | 171.49 | 7.62 | Nucleus |
| MsHSF17 | MS.gene002630 | chr2.1:68,933,280–68,935,167 | 1269 | 423 | 48.37 | 4.98 | Nucleus |
| MsHSF18 | MS.gene36373 | chr2.2:2,555,932–2,562,788 | 2430 | 810 | 91.82 | 5.29 | Nucleus |
| MsHSF19 | MS.gene001530 | chr2.2:63,861,920–63,863,788 | 1266 | 422 | 48.14 | 4.97 | Nucleus |
| MsHSF20 | MS.gene01615 | chr2.2:66,867,654–66,869,539 | 1269 | 423 | 48.37 | 4.98 | Nucleus |
| MsHSF21 | MS.gene76552 | chr2.3:3,084,334–3,086,356 | 1458 | 486 | 54.63 | 5.16 | Nucleus |
| MsHSF22 | MS.gene76553 | chr2.3:3,087,812–3,090,547 | 1089 | 363 | 41.23 | 4.61 | Nucleus |
| MsHSF23 | MS.gene004307 | chr2.3:68,816,734–68,817,708 | 369 | 123 | 14.55 | 6.28 | Cytosol |
| MsHSF24 | MS.gene03101 | chr2.3:68,965,280–68,967,152 | 1266 | 422 | 48.19 | 4.94 | Nucleus |
| MsHSF25 | MS.gene85167 | chr2.4:3,824,061–3,831,001 | 2493 | 831 | 94.39 | 5.5 | Nucleus |
| MsHSF26 | MS.gene004306 | chr2.4:68,163,087–68,164,955 | 1266 | 422 | 48.14 | 4.97 | Nucleus |
| MsHSF27 | MS.gene32806 | chr3.1:82,443,497–82,444,921 | 1143 | 381 | 42.84 | 4.93 | Nucleus |
| MsHSF28 | MS.gene38358 | chr3.2:84,790,567–84,791,844 | 1116 | 372 | 42.09 | 8.16 | Nucleus |
| MsHSF29 | MS.gene015008 | chr3.2:86,383,022–86,384,435 | 1143 | 381 | 42.83 | 4.93 | Nucleus |
| MsHSF30 | MS.gene38707 | chr3.3:84,309,749–84,311,026 | 1116 | 372 | 42.08 | 8.16 | Nucleus |
| MsHSF31 | MS.gene066508 | chr3.3:85,975,236–85,976,635 | 858 | 286 | 31.93 | 4.51 | Nucleus |
| MsHSF32 | MS.gene012969 | chr3.4:89,680,036–89,681,313 | 1116 | 372 | 42.09 | 8.16 | Nucleus |
| MsHSF33 | MS.gene37417 | chr3.4:91,525,254–91,526,669 | 1143 | 381 | 42.86 | 4.82 | Nucleus |
| MsHSF34 | MS.gene015638 | chr4.1:1,466,842–1,468,746 | 1101 | 367 | 41.88 | 5.07 | Nucleus |
| MsHSF35 | MS.gene27848 | chr4.1:13,157,657–13,158,981 | 1203 | 401 | 45.93 | 5.33 | Nucleus |
| MsHSF36 | MS.gene09269 | chr4.1:14,521,522–14,524,663 | 1461 | 487 | 54.36 | 5.06 | Nucleus |
| MsHSF37 | MS.gene31937 | chr4.1:20,930,615–20,932,282 | 633 | 211 | 24.50 | 5.82 | Nucleus |
| MsHSF38 | MS.gene006573 | chr4.1:26,940,377–26,942,558 | 1479 | 493 | 55.02 | 5.1 | Nucleus |
| MsHSF39 | MS.gene62673 | chr4.2:1,228,383–1,230,289 | 1113 | 371 | 42.19 | 5.07 | Nucleus |
| MsHSF40 | MS.gene08822 | chr4.2:13,315,350–13,318,491 | 1461 | 487 | 54.36 | 5.06 | Nucleus |
| MsHSF41 | MS.gene39449 | chr4.2:22,136,602–22,138,266 | 630 | 210 | 24.41 | 6.25 | Nucleus |
| MsHSF42 | MS.gene95836 | chr4.3:1,296,902–1,298,804 | 1101 | 367 | 41.90 | 5.07 | Nucleus |
| MsHSF43 | MS.gene065968 | chr4.3:13,372,525–13,373,849 | 1203 | 401 | 45.93 | 5.33 | Nucleus |
| MsHSF44 | MS.gene023483 | chr4.3:15,605,046–15,608,184 | 1461 | 487 | 54.36 | 5.06 | Nucleus |
| MsHSF45 | MS.gene052478 | chr4.3:24,186,653–24,188,321 | 633 | 211 | 24.56 | 6.02 | Nucleus |
| MsHSF46 | MS.gene031737 | chr4.3:30,991,732–30,994,076 | 1479 | 493 | 55.18 | 5.01 | Nucleus |
| MsHSF47 | MS.gene058589 | chr4.4:1,483,835–1,485,751 | 1101 | 367 | 41.83 | 5.02 | Nucleus |
| MsHSF48 | MS.gene023615 | chr4.4:13,251,720–13,253,044 | 1203 | 401 | 45.93 | 5.33 | Nucleus |
| MsHSF49 | MS.gene08977 | chr4.4:14,900,400–14,903,540 | 1461 | 487 | 54.35 | 5.1 | Nucleus |
| MsHSF50 | MS.gene33789 | chr4.4:23,836,186–23,837,855 | 633 | 211 | 24.54 | 6.02 | Nucleus |
| MsHSF51 | MS.gene065779 | chr4.4:32,552,978–32,555,159 | 1479 | 493 | 55.02 | 5.1 | Nucleus |
| MsHSF52 | MS.gene065778 | chr4.4:32,564,463–32,566,644 | 1479 | 493 | 55.02 | 5.1 | Nucleus |
| MsHSF53 | MS.gene006572 | chr4.4:32,578,622–32,580,803 | 1479 | 493 | 55.02 | 5.1 | Nucleus |
| MsHSF54 | MS.gene015551 | chr5.1:4,238,143–4,239,348 | 1095 | 365 | 40.19 | 5.1 | Nucleus |
| MsHSF55 | MS.gene015144 | chr5.1:9,692,198–9,694,414 | 861 | 287 | 32.19 | 8.37 | Nucleus |
| MsHSF56 | MS.gene016952 | chr5.1:70,548,465–70,549,718 | 729 | 243 | 28.31 | 7.08 | Nucleus |
| MsHSF57 | MS.gene050384 | chr5.2:3,806,018–3,807,223 | 1095 | 365 | 40.19 | 5.1 | Nucleus |
| MsHSF58 | MS.gene041094 | chr5.2:9,587,990–9,590,203 | 861 | 287 | 32.21 | 6.47 | Nucleus |
| MsHSF59 | MS.gene050386 | chr5.2:31,314,868–31,316,072 | 1095 | 365 | 40.19 | 5.1 | Nucleus |
| MsHSF60 | MS.gene47664 | chr5.2:75,725,943–75,727,205 | 762 | 254 | 29.59 | 6.45 | Nucleus |
| MsHSF61 | MS.gene072808 | chr5.3:4,227,992–4,229,197 | 1095 | 365 | 40.19 | 5.1 | Nucleus |
| MsHSF62 | MS.gene047640 | chr5.3:9,771,172–9,773,103 | 861 | 287 | 32.24 | 7.55 | Nucleus |
| MsHSF63 | MS.gene78932 | chr5.3:18,647,929–18,651,784 | 1506 | 502 | 55.35 | 4.73 | Nucleus |
| MsHSF64 | MS.gene70849 | chr5.3:71,945,341–71,946,606 | 762 | 254 | 29.54 | 6.45 | Nucleus |
| MsHSF65 | MS.gene019282 | chr5.4:4,925,106–4,926,311 | 1095 | 365 | 40.19 | 5.1 | Nucleus |
| MsHSF66 | MS.gene010367 | chr5.4:10,594,467–10,602,650 | 1383 | 461 | 51.42 | 5.26 | Nucleus |
| MsHSF67 | MS.gene038168 | chr5.4:70,232,760–70,234,141 | 729 | 243 | 28.26 | 7.08 | Nucleus |
| MsHSF68 | MS.gene054313 | chr6.1:24,564,039–24,566,289 | 963 | 321 | 37.00 | 5.47 | Nucleus |
| MsHSF69 | MS.gene054312 | chr6.1:24,572,932–24,574,908 | 969 | 323 | 37.00 | 5.19 | Nucleus |
| MsHSF70 | MS.gene054311 | chr6.1:24,590,934–24,592,848 | 897 | 299 | 34.29 | 5.05 | Nucleus |
| MsHSF71 | MS.gene054310 | chr6.1:24,626,677–24,628,933 | 900 | 300 | 34.31 | 5.14 | Nucleus |
| MsHSF72 | MS.gene052458 | chr6.1:75,626,062–75,628,744 | 1452 | 484 | 54.99 | 6.14 | Nucleus |
| MsHSF73 | MS.gene03506 | chr6.2:37,838,394–37,840,681 | 969 | 323 | 37.04 | 5.12 | Nucleus |
| MsHSF74 | MS.gene03507 | chr6.2:37,852,586–37,854,503 | 897 | 299 | 34.40 | 5.17 | Nucleus |
| MsHSF75 | MS.gene03509 | chr6.2:37,891,892–37,897,203 | 900 | 300 | 34.26 | 5.37 | Nucleus |
| MsHSF76 | MS.gene98248 | chr6.2:55,114,403–55,115,562 | 1023 | 341 | 37.74 | 5.64 | Nucleus |
| MsHSF77 | MS.gene80513 | chr6.3:36,909,010–36,911,297 | 969 | 323 | 37.02 | 5.18 | Nucleus |
| MsHSF78 | MS.gene80509 | chr6.3:36,932,369–36,934,439 | 957 | 319 | 36.77 | 5.2 | Nucleus |
| MsHSF79 | MS.gene80508 | chr6.3:36,950,527–36,952,807 | 966 | 322 | 37.10 | 5.3 | Nucleus |
| MsHSF80 | MS.gene80507 | chr6.3:36,994,105–36,996,079 | 957 | 319 | 36.44 | 5.27 | Nucleus |
| MsHSF81 | MS.gene80504 | chr6.3:37,053,440–37,055,696 | 900 | 300 | 34.31 | 5.22 | Nucleus |
| MsHSF82 | MS.gene84114 | chr6.3:52,909,236–52,910,395 | 1023 | 341 | 37.78 | 5.5 | Nucleus |
| MsHSF83 | MS.gene42038 | chr6.4:16,627,031–16,628,940 | 897 | 299 | 34.34 | 5.31 | Nucleus |
| MsHSF84 | MS.gene42037 | chr6.4:16,648,745–16,650,960 | 897 | 299 | 34.34 | 4.97 | Nucleus |
| MsHSF85 | MS.gene42036 | chr6.4:16,658,343–16,660,257 | 897 | 299 | 34.32 | 5.32 | Nucleus |
| MsHSF86 | MS.gene000756 | chr6.4:34,113,335–34,114,494 | 1023 | 341 | 37.75 | 5.64 | Nucleus |
| MsHSF87 | MS.gene018149 | chr7.1:12,337,762–12,346,750 | 1506 | 502 | 57.70 | 6.02 | Nucleus |
| MsHSF88 | MS.gene42537 | chr7.1:16,183,243–16,184,979 | 699 | 233 | 26.99 | 8.2 | Nucleus |
| MsHSF89 | MS.gene43382 | chr7.2:14,288,001–14,300,261 | 1731 | 577 | 66.18 | 5.84 | Nucleus |
| MsHSF90 | MS.gene054891 | chr7.3:15,394,234–15,396,451 | 939 | 313 | 35.97 | 6.12 | Nucleus |
| MsHSF91 | MS.gene017872 | chr7.3:17,787,214–17,788,956 | 699 | 233 | 26.99 | 8.2 | Nucleus |
| MsHSF92 | MS.gene020288 | chr7.4:13,679,001–13,681,206 | 939 | 313 | 35.99 | 6.43 | Nucleus |
| MsHSF93 | MS.gene39054 | chr7.4:17,608,870–17,610,596 | 687 | 229 | 26.69 | 8.8 | Nucleus |
| MsHSF94 | MS.gene012268 | chr8.1:6,048,162–6,050,222 | 1263 | 421 | 47.82 | 5.41 | Nucleus |
| MsHSF95 | MS.gene011821 | chr8.1:27,164,988–27,169,493 | 837 | 279 | 30.93 | 6.48 | Chloroplast |
| MsHSF96 | MS.gene051856 | chr8.2:6,520,812–6,522,869 | 1260 | 420 | 47.65 | 5.4 | Nucleus |
| MsHSF97 | MS.gene56773 | chr8.2:25,831,390–25,835,797 | 840 | 280 | 31.02 | 6.18 | Nucleus |
| MsHSF98 | MS.gene90514 | chr8.3:23,968,421–23,972,840 | 837 | 279 | 30.93 | 6.48 | Chloroplast |
| MsHSF99 | MS.gene57572 | chr8.4:9,015,415–9,017,472 | 1257 | 419 | 47.51 | 5.47 | Nucleus |
| MsHSF100 | MS.gene57604 | chr8.4:9,044,302–9,046,006 | 906 | 302 | 34.88 | 8.68 | Nucleus |
| MsHSF101 | MS.gene99195 | chr8.4:26,635,298–26,639,638 | 774 | 258 | 28.49 | 5.92 | Nucleus |
| MsHSF102 | MS.gene065776 | 33,245:8758–10,604 | 954 | 318 | 35.33 | 6.09 | Nucleus |
| MsHSF103 | MS.gene065780 | 33,246:5248–7429 | 1479 | 493 | 55.02 | 5.1 | Nucleus |
| MsHSF104 | MS.gene90989 | 8272:103,717–104,876 | 1023 | 341 | 37.73 | 5.5 | Nucleus |
Disclaimer/Publisher’s Note: The statements, opinions and data contained in all publications are solely those of the individual author(s) and contributor(s) and not of MDPI and/or the editor(s). MDPI and/or the editor(s) disclaim responsibility for any injury to people or property resulting from any ideas, methods, instructions or products referred to in the content. |
© 2023 by the authors. Licensee MDPI, Basel, Switzerland. This article is an open access article distributed under the terms and conditions of the Creative Commons Attribution (CC BY) license (https://creativecommons.org/licenses/by/4.0/).
Share and Cite
Liu, H.; Li, X.; Zi, Y.; Zhao, G.; Zhu, L.; Hong, L.; Li, M.; Wang, S.; Long, R.; Kang, J.; et al. Characterization of the Heat Shock Transcription Factor Family in Medicago sativa L. and Its Potential Roles in Response to Abiotic Stresses. Int. J. Mol. Sci. 2023, 24, 12683. https://doi.org/10.3390/ijms241612683
Liu H, Li X, Zi Y, Zhao G, Zhu L, Hong L, Li M, Wang S, Long R, Kang J, et al. Characterization of the Heat Shock Transcription Factor Family in Medicago sativa L. and Its Potential Roles in Response to Abiotic Stresses. International Journal of Molecular Sciences. 2023; 24(16):12683. https://doi.org/10.3390/ijms241612683
Chicago/Turabian StyleLiu, Hao, Xianyang Li, Yunfei Zi, Guoqing Zhao, Lihua Zhu, Ling Hong, Mingna Li, Shiqing Wang, Ruicai Long, Junmei Kang, and et al. 2023. "Characterization of the Heat Shock Transcription Factor Family in Medicago sativa L. and Its Potential Roles in Response to Abiotic Stresses" International Journal of Molecular Sciences 24, no. 16: 12683. https://doi.org/10.3390/ijms241612683
APA StyleLiu, H., Li, X., Zi, Y., Zhao, G., Zhu, L., Hong, L., Li, M., Wang, S., Long, R., Kang, J., Yang, Q., & Chen, L. (2023). Characterization of the Heat Shock Transcription Factor Family in Medicago sativa L. and Its Potential Roles in Response to Abiotic Stresses. International Journal of Molecular Sciences, 24(16), 12683. https://doi.org/10.3390/ijms241612683

