Profiling of Barley, Wheat, and Rye FPG and OGG1 Genes during Grain Germination
Abstract
1. Introduction
1.1. The BER Repair System and Its Role in Reducing Oxidative Damage
1.2. Activity of DNA Glycosylases
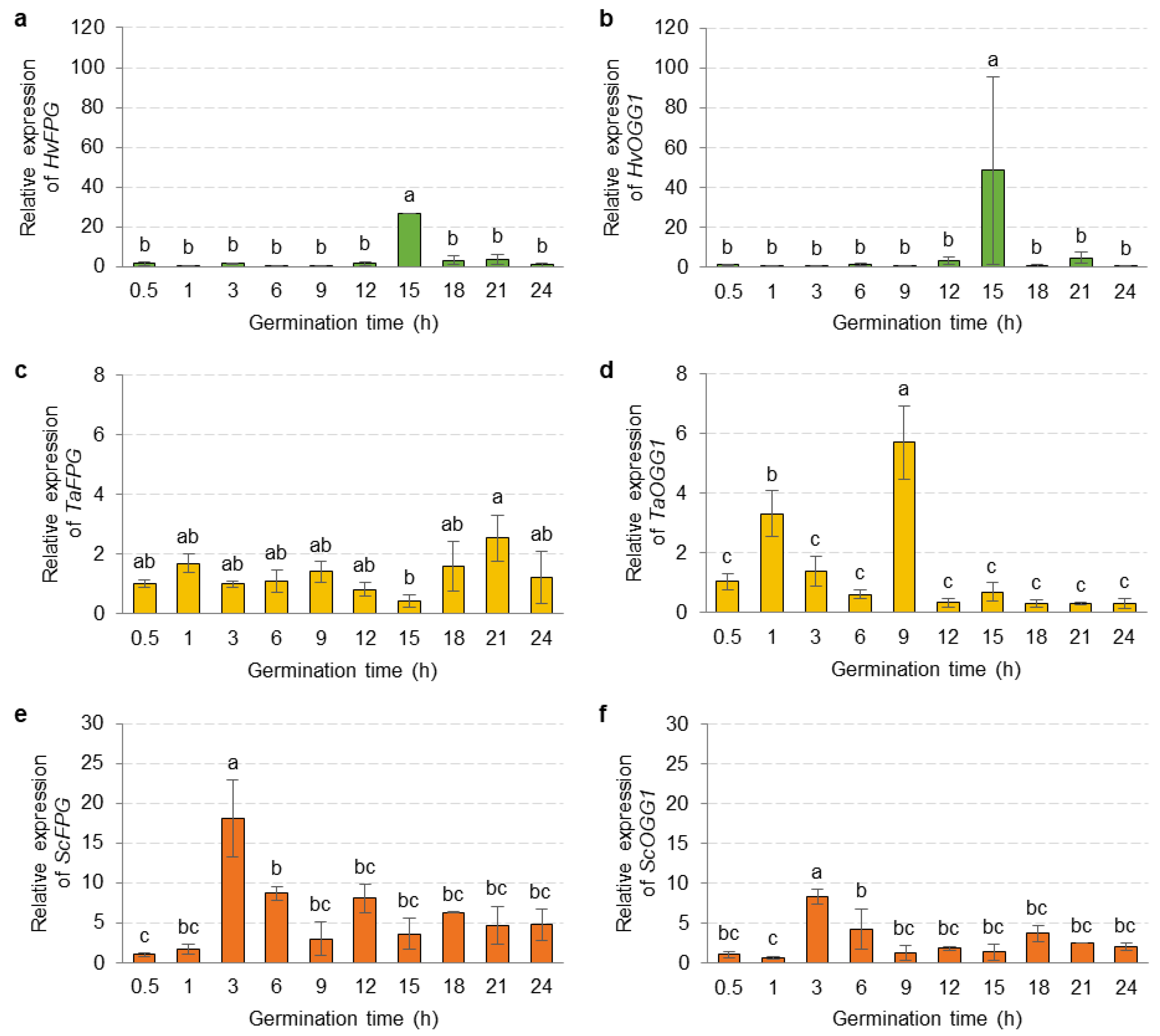
2. Results
2.1. Expression Profiles of FPG and OGG1 Genes during Germination
2.2. Species-Dependent Activity of FPG and OGG1 Genes
3. Discussion
4. Conclusions
5. Materials and Methods
5.1. Plant Material
5.2. RNA Extraction, cDNA Synthesis and Real-Time PCR Reaction
5.3. Data Analysis
Supplementary Materials
Author Contributions
Funding
Institutional Review Board Statement
Informed Consent Statement
Data Availability Statement
Acknowledgments
Conflicts of Interest
References
- Halliwell, B. Reactive Species and Antioxidants. Redox Biology Is a Fundamental Theme of Aerobic Life. Plant Physiol. 2006, 141, 312–322. [Google Scholar] [CrossRef]
- Ahmad, P.; Sarwat, M.; Sharma, S. Reactive Oxygen Species, Antioxidants and Signaling in Plants. J. Plant Biol. 2008, 51, 167–173. [Google Scholar] [CrossRef]
- Chen, H.; Chu, P.; Zhou, Y.; Li, Y.; Liu, J.; Ding, Y.; Tsang, E.W.T.; Jiang, L.; Wu, K.; Huang, S. Overexpression of AtOGG1, a DNA Glycosylase/AP Lyase, Enhances Seed Longevity and Abiotic Stress Tolerance in Arabidopsis. J. Exp. Bot. 2012, 63, 4107–4121. [Google Scholar] [CrossRef] [PubMed]
- Bailly, C.; El-Maarouf-Bouteau, H.; Corbineau, F. From Intracellular Signaling Networks to Cell Death: The Dual Role of Reactive Oxygen Species in Seed Physiology. C. R. Biol. 2008, 331, 806–814. [Google Scholar] [CrossRef] [PubMed]
- El-Maarouf-Bouteau, H.; Mazuy, C.; Corbineau, F.; Bailly, C. DNA Alteration and Programmed Cell Death during Ageing of Sunflower Seed. J. Exp. Bot. 2011, 62, 5003–5011. [Google Scholar] [CrossRef]
- Waterworth, W.M.; Drury, G.E.; Bray, C.M.; West, C.E. Repairing Breaks in the Plant Genome: The Importance of Keeping It Together: Tansley Review. New Phytol. 2011, 192, 805–822. [Google Scholar] [CrossRef]
- Drohat, A.C.; Coey, C.T. Role of Base Excision “Repair” Enzymes in Erasing Epigenetic Marks from DNA. Chem. Rev. 2016, 116, 12711–12729. [Google Scholar] [CrossRef]
- Zharkov, D.O. Base Excision DNA Repair. Cell. Mol. Life Sci. 2008, 65, 1544–1565. [Google Scholar] [CrossRef]
- Roldán-Arjona, T.; Ariza, R.R.; Córdoba-Cañero, D. DNA Base Excision Repair in Plants: An Unfolding Story with Familiar and Novel Characters. Front. Plant Sci. 2019, 10, 1055. [Google Scholar] [CrossRef]
- Brooks, S.C.; Adhikary, S.; Rubinson, E.H.; Eichman, B.F. Recent Advances in the Structural Mechanisms of DNA Glycosylases. Biochim. Biophys. Acta BBA Proteins Proteom. 2013, 1834, 247–271. [Google Scholar] [CrossRef]
- Dalhus, B.; Laerdahl, J.K.; Backe, P.H.; Bjørås, M. DNA Base Repair–Recognition and Initiation of Catalysis. FEMS Microbiol. Rev. 2009, 33, 1044–1078. [Google Scholar] [CrossRef] [PubMed]
- Santerre, A.; BRiTT, A.B. Cloning of a 3-Methyladenine-DNA Glycposylase from Arabidopsis Thaliana. Proc. Natl. Acad. Sci. USA 1994, 91, 2240–2244. [Google Scholar] [CrossRef] [PubMed]
- Kim, D.Y.; Hong, M.J.; Jang, J.H.; Seo, Y.W. CDNA-AFLP Analysis Reveals Differential Gene Expression in Response to Salt Stress in Brachypodium Distachyon. Genes Genom. 2012, 34, 475–484. [Google Scholar] [CrossRef]
- Tillett, R.L.; Wheatley, M.D.; Tattersall, E.A.R.; Schlauch, K.A.; Cramer, G.R.; Cushman, J.C. The Vitis Vinifera C-Repeat Binding Protein 4 (VvCBF4) Transcriptional Factor Enhances Freezing Tolerance in Wine Grape: CBF4 Freezing Tolerance Enhancement in Wine Grape. Plant Biotechnol. J. 2012, 10, 105–124. [Google Scholar] [CrossRef] [PubMed]
- Mak, Y.; Skylas, D.J.; Willows, R.; Connolly, A.; Cordwell, S.J.; Wrigley, C.W.; Sharp, P.J.; Copeland, L. A Proteomic Approach to the Identification and Characterisation of Protein Composition in Wheat Germ. Funct. Integr. Genom. 2006, 6, 322–337. [Google Scholar] [CrossRef]
- Wang, P.; Xia, H.; Zhang, Y.; Zhao, S.; Zhao, C.; Hou, L.; Li, C.; Li, A.; Ma, C.; Wang, X. Genome-Wide High-Resolution Mapping of DNA Methylation Identifies Epigenetic Variation across Embryo and Endosperm in Maize (Zea May). BMC Genom. 2015, 16, 21. [Google Scholar] [CrossRef]
- Kavli, B.; Otterlei, M.; Slupphaug, G.; Krokan, H. Uracil in DNA—General Mutagen, but Normal Intermediate in Acquired Immunity. DNA Repair 2007, 6, 505–516. [Google Scholar] [CrossRef]
- Mol, C.D.; Arvai, A.S.; Sanderson, R.J.; Krokan, H.E.; Mosbaugh, D.W.; Tainer, J.A. Crystal Structure of Human UraciI-DNA Glycosylase in Complex with a Protein Inhibitor: Protein Mimicry of DNA. Cell 1995, 82, 701–708. [Google Scholar] [CrossRef]
- Maldonado, A.; Hernández, P.; Gutiérrez, C. Inhibition of Uracil-DNA Glycosylase Increases SCEs in BrdU-Treated and Visible Light-Irradiated Cells. Exp. Cell Res. 1985, 161, 172–180. [Google Scholar] [CrossRef]
- Bensen, R.J.; Warner, H.R. The Partial Purification and Characterization of Nuclear and Mitochondrial Uracil-DNA Glycosylase Activities from Zea Mays Seedlings. Plant Physiol. 1987, 83, 149–154. [Google Scholar] [CrossRef]
- Bones, A.M. Expression and Occurrence of Uracil-DNA Glycosylase in Higher Plants. Physiol. Plant. 1993, 88, 682–688. [Google Scholar] [CrossRef] [PubMed]
- Talpaert-Borl, M. Formation, Detection and Repair of AP Sites. Mutat. Res./Fundam. Mol. Mech. Mutagen. 1987, 181, 45–56. [Google Scholar] [CrossRef] [PubMed]
- Doherty, A. The Helix-Hairpin-Helix DNA-Binding Motif: A Structural Basis for Non- Sequence-Specific Recognition of DNA. Nucleic Acids Res. 1996, 24, 2488–2497. [Google Scholar] [CrossRef] [PubMed]
- Huffman, J.L.; Sundheim, O.; Tainer, J.A. DNA Base Damage Recognition and Removal: New Twists and Grooves. Mutat. Res./Fundam. Mol. Mech. Mutagen. 2005, 577, 55–76. [Google Scholar] [CrossRef] [PubMed]
- Kathe, S.D.; Barrantes-Reynolds, R.; Jaruga, P.; Newton, M.R.; Burrows, C.J.; Bandaru, V.; Dizdaroglu, M.; Bond, J.P.; Wallace, S.S. Plant and Fungal Fpg Homologs Are Formamidopyrimidine DNA Glycosylases but Not 8-Oxoguanine DNA Glycosylases. DNA Repair 2009, 8, 643–653. [Google Scholar] [CrossRef]
- Johnston, J.W.; Pimbley, I.; Harding, K.; Benson, E.E. Detection of 8-Hydroxy-2’-Deoxyguanosine as a Marker of Oxidative Damage in DNA and Germplasm Exposed to Cryogenic Treatments. CryoLetters 2010, 31, 1–13. [Google Scholar]
- Macovei, A.; Balestrazzi, A.; Confalonieri, M.; Faé, M.; Carbonera, D. New Insights on the Barrel Medic MtOGG1 and MtFPG Functions in Relation to Oxidative Stress Response in Planta and during Seed Imbibition. Plant Physiol. Biochem. 2011, 49, 1040–1050. [Google Scholar] [CrossRef]
- Chandra, J.; Parkhey, S.; Keshavkant, S. Ageing-Regulated Changes in Genetic Integrity of Two Recalcitrant Seeded Species Having Contrasting Longevity. Trees 2018, 32, 109–123. [Google Scholar] [CrossRef]
- Waterworth, W.M.; Latham, R.; Wang, D.; Alsharif, M.; West, C.E. Seed DNA Damage Responses Promote Germination and Growth in Arabidopsis Thaliana. Proc. Natl. Acad. Sci. USA 2022, 119, e2202172119. [Google Scholar] [CrossRef]
- Roldán-Arjona, T.; Ariza, R.R. Repair and Tolerance of Oxidative DNA Damage in Plants. Mutat. Res. 2009, 681, 169–179. [Google Scholar] [CrossRef]
- Murphy, T.M.; Gao, M.-J. Multiple Forms of Formamidopyrimidine-DNA Glycosylase Produced by Alternative Splicing in Arabidopsis Thaliana. J. Photochem. Photobiol. B 2001, 61, 87–93. [Google Scholar] [CrossRef] [PubMed]
- Murphy, T.M.; George, A. A Comparison of Two DNA Base Excision Repair Glycosylases from Arabidopsis Thaliana. Biochem. Biophys. Res. Commun. 2005, 329, 869–872. [Google Scholar] [CrossRef] [PubMed]
- Scortecci, K.C.; Lima, A.F.O.; Carvalho, F.M.; Silva, U.B.; Agnez-Lima, L.F.; de Medeiros, S.R.B. A Characterization of a MutM/Fpg Ortholog in Sugarcane—A Monocot Plant. Biochem. Biophys. Res. Commun. 2007, 361, 1054–1060. [Google Scholar] [CrossRef] [PubMed]
- Garcıa-Ortiz, M.-V.; Ariza, R.R.; Roldan-Arjona, T. An OGG1 Orthologue Encoding a Functional 8-Oxoguanine DNA Glycosylase/Lyase in Arabidopsis Thaliana. Plant Mol. Biol. 2001, 47, 795–804. [Google Scholar] [CrossRef]
- Dany, A.L.; Tissier, A. A Functional OGG1 Homologue from Arabidopsis Thaliana. Mol. Genet. Genom. 2001, 265, 293–301. [Google Scholar] [CrossRef]
- Michaels, M.L.; Cruz, C.; Grollman, A.P.; Miller, J.H. Evidence That MutY and MutM Combine to Prevent Mutations by an Oxidatively Damaged Form of Guanine in DNA. Proc. Natl. Acad. Sci. USA 1992, 89, 7022–7025. [Google Scholar] [CrossRef]
- Forti, C.; Shankar, A.; Singh, A.; Balestrazzi, A.; Prasad, V.; Macovei, A. Hydropriming and Biopriming Improve Medicago Truncatula Seed Germination and Upregulate DNA Repair and Antioxidant Genes. Genes 2020, 11, 242. [Google Scholar] [CrossRef]
- Li, W.; Niu, Y.; Zheng, Y.; Wang, Z. Advances in the Understanding of Reactive Oxygen Species-Dependent Regulation on Seed Dormancy, Germination, and Deterioration in Crops. Front. Plant Sci. 2022, 13, 826809. [Google Scholar] [CrossRef]
- Kiran, K.R.; Deepika, V.B.; Swathy, P.S.; Prasad, K.; Kabekkodu, S.P.; Murali, T.S.; Satyamoorthy, K.; Muthusamy, A. ROS-Dependent DNA Damage and Repair during Germination of NaCl Primed Seeds. J. Photochem. Photobiol. B 2020, 213, 112050. [Google Scholar] [CrossRef]
- Waterworth, W.M.; Footitt, S.; Bray, C.M.; Finch-Savage, W.E.; West, C.E. DNA Damage Checkpoint Kinase ATM Regulates Germination and Maintains Genome Stability in Seeds. Proc. Natl. Acad. Sci. USA 2016, 113, 9647–9652. [Google Scholar] [CrossRef]
- Ducatti, K.R.; Batista, T.B.; Hirai, W.Y.; Luccas, D.A.; Moreno, L.D.A.; Guimarães, C.C.; Bassel, G.W.; Da Silva, E.A.A. Transcripts Expressed during Germination Sensu Stricto Are Associated with Vigor in Soybean Seeds. Plants 2022, 11, 1310. [Google Scholar] [CrossRef]
- Puchta, M.; Groszyk, J.; Małecka, M.; Koter, M.D.; Niedzielski, M.; Rakoczy-Trojanowska, M.; Boczkowska, M. Barley Seeds MiRNome Stability during Long-Term Storage and Aging. Int. J. Mol. Sci. 2021, 22, 4315. [Google Scholar] [CrossRef] [PubMed]
- Puchta, M.; Boczkowska, M.; Groszyk, J. Low RIN Value for RNA-Seq Library Construction from Long-Term Stored Seeds: A Case Study of Barley Seeds. Genes 2020, 11, 1190. [Google Scholar] [CrossRef] [PubMed]
- Chwedorzewska, K.; Bednarek, P.; Lewandowska, R.; Krajewski, P.; Puchalski, J. Studies on Genetic Changes in Rye Samples (Secale Cereale L.) Maintained in a Seed Bank. Cell. Mol. Biol. Lett. 2006, 11, 338–347. [Google Scholar] [CrossRef] [PubMed]
- Pirredda, M.; González-Benito, M.E.; Martín, C.; Mira, S. Genetic and Epigenetic Stability in Rye Seeds under Different Storage Conditions: Ageing and Oxygen Effect. Plants 2020, 9, 393. [Google Scholar] [CrossRef] [PubMed]


| Gene | Species | Hours | ||||
|---|---|---|---|---|---|---|
| Mean Square | F | p | Mean Square | F | p | |
| FPG | 332.31 ** | 21.2811 | 0.0000 | 41.41 * | 2.6521 | 0.0117 |
| OGG1 | 15,945.00 ** | 33.0171 | 0.0000 | 1061.81 * | 2.1987 | 0.0344 |
Disclaimer/Publisher’s Note: The statements, opinions and data contained in all publications are solely those of the individual author(s) and contributor(s) and not of MDPI and/or the editor(s). MDPI and/or the editor(s) disclaim responsibility for any injury to people or property resulting from any ideas, methods, instructions or products referred to in the content. |
© 2023 by the authors. Licensee MDPI, Basel, Switzerland. This article is an open access article distributed under the terms and conditions of the Creative Commons Attribution (CC BY) license (https://creativecommons.org/licenses/by/4.0/).
Share and Cite
Kowalik, S.; Groszyk, J. Profiling of Barley, Wheat, and Rye FPG and OGG1 Genes during Grain Germination. Int. J. Mol. Sci. 2023, 24, 12354. https://doi.org/10.3390/ijms241512354
Kowalik S, Groszyk J. Profiling of Barley, Wheat, and Rye FPG and OGG1 Genes during Grain Germination. International Journal of Molecular Sciences. 2023; 24(15):12354. https://doi.org/10.3390/ijms241512354
Chicago/Turabian StyleKowalik, Sylwia, and Jolanta Groszyk. 2023. "Profiling of Barley, Wheat, and Rye FPG and OGG1 Genes during Grain Germination" International Journal of Molecular Sciences 24, no. 15: 12354. https://doi.org/10.3390/ijms241512354
APA StyleKowalik, S., & Groszyk, J. (2023). Profiling of Barley, Wheat, and Rye FPG and OGG1 Genes during Grain Germination. International Journal of Molecular Sciences, 24(15), 12354. https://doi.org/10.3390/ijms241512354

