Systematic Development of Vanadium Catalysts for Sustainable Epoxidation of Small Alkenes and Allylic Alcohols
Abstract
1. Introduction
2. Epoxidation of Allylic Alcohols and Small Alkenes Using Vanadium Catalysts
2.1. Contextualization
2.2. Epoxidation Mechanism Overview
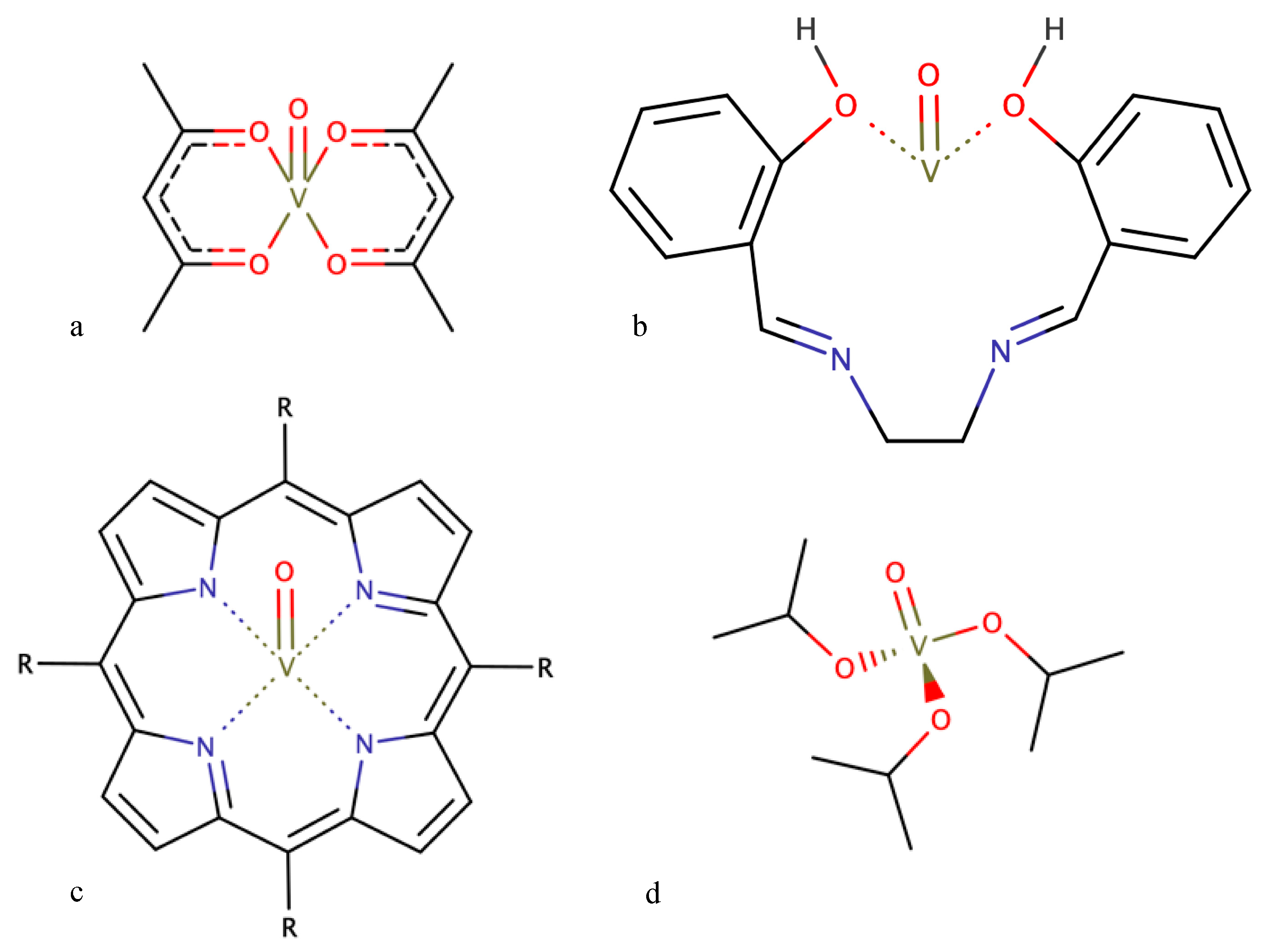
2.3. Comparative Theoretical Studies
3. Development of Epoxidation Reaction Conditions
3.1. Current Overview
3.1.1. Vanadium-Catalyzed Epoxidation of Allylic Alcohols
- Example 1: Tunable oxo-vanadium complexes
- Example 2: Epoxidation with support elements
- Example 3: Asymmetric and domino epoxidations
3.1.2. Vanadium-Catalyzed Epoxidation of Alkenes (Olefins)
- Example 1: Outer and inner sphere epoxidations
- Example 2: Epoxidation with Schiff base ligands
- Example 3: Tunable vanadium complexes
3.2. Overview on Sustainable Processes
4. Final Remarks
Author Contributions
Funding
Institutional Review Board Statement
Informed Consent Statement
Data Availability Statement
Acknowledgments
Conflicts of Interest
References
- Meninno, S.; Lattanzi, A. Epoxides: Small Rings to Play with under Asymmetric Organocatalysis. ACS Org. Inorg. Au 2022, 2, 289–305. [Google Scholar] [CrossRef]
- Nielsen, L.P.C.; Jacobsen, E.N. Catalytic Asymmetric Epoxide Ring-opening Chemistry. In Aziridines and Epoxides in Organic Synthesis; Wiley-VCH: Weinheim, Germany, 2006; pp. 229–269. [Google Scholar]
- Padwa, A.; Murphree, S. Epoxides and aziridines—A mini review. ARKIVOC 2005, 2006, 6–33. [Google Scholar] [CrossRef]
- Molander, G.A.; Mautner, K. Novel processes for stereoselective organic synthesis. Pure Appl. Chem. 1990, 62, 707–712. [Google Scholar] [CrossRef]
- Bryliakov, K.P. Catalytic Asymmetric Oxygenations with the Environmentally Benign Oxidants H2O2 and O2. Chem. Rev. 2017, 117, 11406–11459. [Google Scholar] [CrossRef]
- Cussó, O.; Ribas, X.; Costas, M. Biologically inspired non-heme iron-catalysts for asymmetric epoxidation; design principles and perspectives. Chem. Commun. 2015, 51, 14285–14298. [Google Scholar] [CrossRef]
- Shaarani, F.W.; Bou, J.J. Synthesis of vegetable-oil based polymer by terpolymerization of epoxidized soybean oil, propylene oxide and carbon dioxide. Sci. Total Environ. 2017, 598, 931–936. [Google Scholar] [CrossRef]
- Chen, J.; Chen, M.; Zhang, B.; Nie, R.; Huang, A.; Goh, T.W.; Volkov, A.; Zhang, Z.; Rena, O.; Huang, W. Allylic oxidation of olefins with a manganese based metal–organic framework. Green Chem. 2019, 21, 3629–3636. [Google Scholar] [CrossRef]
- Kiatkittipong, K.; Mohamad Shukri, M.A.A.; Kiatkittipong, W.; Lim, J.W.; Show, P.L.; Lam, M.K.; Assabumrungrat, S. Green Pathway in Utilizing CO2 via Cycloaddition. Processes 2020, 8, 548–560. [Google Scholar] [CrossRef]
- Marriam, F.; Irshad, A.; Umer, I.; Asghar, M.A.; Atif, M. Vegetable oils as bio-based precursors for epoxies. Sustain. Chem. Pharm. 2023, 31, 100935. [Google Scholar] [CrossRef]
- Zacharopoulou, V.; Vasiliadou, E.S.; Lemonidou, A.A. One-step propylene formation from bio-glycerol over molybdena-based catalysts. Green Chem. 2015, 17, 903–912. [Google Scholar] [CrossRef]
- Milchert, E.; Malarczyk-Matusiak, K.; Musik, M. Technological aspects of vegetable oils epoxidation in the presence of ion exchange resins: A review. Pol. J. Chem. Technol. 2016, 18, 128–133. [Google Scholar] [CrossRef]
- Resul, M.F.M.G.; Fernández, A.M.L.; Rehman, A.; Harvey, A.P. Development of a selective, solvent-free epoxidation of limonene using hydrogen peroxide and a tungsten-based catalyst. React. Chem. Eng. 2018, 3, 747–756. [Google Scholar] [CrossRef]
- Mendieta, C.M.; Vallejos, M.E.; Felissia, F.E.; Chinga-Carrasco, G.; Area, M.C. Review: Bio-polyethylene from Wood Wastes. J. Polym. Environ. 2020, 28, 1–16. [Google Scholar] [CrossRef]
- Yudanov, I.V. Mechanism of olefin epoxidation with transition metal peroxo complexes: DFT study. J. Struct. Chem. 2007, 48, S111–S124. [Google Scholar] [CrossRef]
- Bach, R.D.; Canepa, C.; Winter, J.E.; Blanchette, P.E. Mechanism of Acid-Catalyzed Epoxidation of Alkenes with Peroxy Acids. J. Org. Chem. 1997, 62, 5191–5197. [Google Scholar] [CrossRef]
- Kim, C.; Traylor, T.G.; Perrin, C.L. MCPBA Epoxidation of Alkenes: Reinvestigation of Correlation between Rate and Ionization Potential. J. Am. Chem. Soc. 1998, 120, 9513–9516. [Google Scholar] [CrossRef]
- Yang, D. Ketone-Catalyzed Asymmetric Epoxidation Reactions. Acc. Chem. Res. 2004, 37, 497–505. [Google Scholar] [CrossRef]
- Baumstark, A.L.; Franklin, P.J.; Vasquez, P.C.; Crow, B.S. Kinetics of the Epoxidation of Geraniol and Model Systems by Dimethyldioxirane. Molecules 2004, 9, 117–124. [Google Scholar] [CrossRef]
- Murray, R.W.; Jeyaraman, R. Dioxiranes: Synthesis and reactions of methyldioxiranes. J. Org. Chem. 1985, 50, 2847–2853. [Google Scholar] [CrossRef]
- Denmark, S.E.; Wu, Z. 6-Oxo-1,1,4,4-tetramethyl-1,4-diazepinium Salts. A New Class of Catalysts for Efficient Epoxidation of Olefins with Oxone. J. Org. Chem. 1998, 63, 2810–2811. [Google Scholar] [CrossRef]
- Meng, Y.; Taddeo, F.; Aguilera, A.F.; Cai, X.; Russo, V.; Tolvanen, P.; Leveneur, S. The Lord of the Chemical Rings: Catalytic Synthesis of Important Industrial Epoxide Compounds. Catalysts 2021, 11, 765. [Google Scholar] [CrossRef]
- McGarrigle, E.M.; Gilheany, D.G. Chromium− and Manganese−salen Promoted Epoxidation of Alkenes. Chem. Rev. 2005, 105, 1563–1602. [Google Scholar] [CrossRef] [PubMed]
- Nam, W.; Oh, S.-Y.; Sun, Y.J.; Kim, J.; Kim, W.-K.; Woo, S.K.; Shin, W. Factors Affecting the Catalytic Epoxidation of Olefins by Iron Porphyrin Complexes and H2O2 in Protic Solvents. J. Org. Chem. 2003, 68, 7903–7906. [Google Scholar] [CrossRef]
- Paula, R.D.; Simões, M.M.Q.; Neves, M.G.P.M.S.; Cavaleiro, J.A.S. Homogeneous olefin epoxidation catalysed by an imidazolium-based manganese porphyrin. Catal. Commun. 2008, 10, 57–60. [Google Scholar] [CrossRef]
- Ahmad, I.; Rehman, S. Metal-porphyrin in epoxidation of olefins: Recent advances. Tetrahedron 2022, 104, 132604. [Google Scholar] [CrossRef]
- Sharpless, K.B.; Townsend, J.M.; Williams, D.R. Mechanism of epoxidation of olefins by covalent peroxides of molybdenum(VI). J. Am. Chem. Soc. 1972, 94, 295–296. [Google Scholar] [CrossRef]
- Chong, A.O.; Sharpless, K.B. Mechanism of the molybdenum and vanadium catalyzed epoxidation of olefins by alkyl hydroperoxides. J. Org. Chem. 1977, 42, 1587–1590. [Google Scholar] [CrossRef]
- Nunes, C.D.; Vaz, P.D.; Félix, V.; Veiros, L.F.; Moniz, T.; Rangel, M.; Realista, S.; Mourato, A.C.; Calhorda, M.J. Vanadyl cationic complexes as catalysts in olefin oxidation. Dalton Trans. 2015, 44, 5125–5138. [Google Scholar] [CrossRef]
- Pisk, J.; Agustin, D. Molybdenum, Vanadium, and Tungsten-Based Catalysts for Sustainable (ep)Oxidation. Molecules 2022, 27, 6011. [Google Scholar] [CrossRef]
- Clerici, M.G.; Bellussi, G.; Romano, U. Synthesis of propylene oxide from propylene and hydrogen peroxide catalyzed by titanium silicalite. J. Catal. 1991, 129, 159–167. [Google Scholar] [CrossRef]
- Cativiela, C.; Figueras, F.; Fraile, J.; García, J.; Mayoral, J. Hydrotalcite-promoted epoxidation of electron-deficient alkenes with hydrogen peroxide. Tetrahedron Lett. 1995, 36, 4125–4128. [Google Scholar] [CrossRef]
- Sheldon, R.A. Selective catalytic synthesis of fine chemicals: Opportunities and trends. J. Mol. Catal. A Chem. 1996, 107, 75–83. [Google Scholar] [CrossRef]
- Michaelson, R.C.; Palermo, R.E.; Sharpless, K.B. Chiral hydroxamic acids as ligands in the vanadium catalyzed asymmetric epoxidation of allylic alcohols by tert-butyl hydroperoxide. J. Am. Chem. Soc. 1977, 99, 1990–1992. [Google Scholar] [CrossRef]
- Rebelo, S.L.H.; Pereira, M.M.; Simões, M.M.Q.; Neves, M.G.P.M.S.; Cavaleiro, J.A.S. Mechanistic studies on metalloporphyrin epoxidation reactions with hydrogen peroxide: Evidence for two active oxidative species. J. Catal. 2005, 234, 76–87. [Google Scholar] [CrossRef]
- Takagi, S.; Takahashi, E.; Miyamoto, T.K.; Sasaki, Y. A New Iron (III) Porphyrin System for Olefin Epoxidation Catalysts. Chem. Lett. 1986, 15, 1275–1278. [Google Scholar] [CrossRef]
- Pellissier, H. Recent advances in enantioselective vanadium-catalyzed transformations. Coord. Chem. Rev. 2015, 284, 93–110. [Google Scholar] [CrossRef]
- Gascon, J.; Corma, A.; Kapteijn, F.; Llabrés i Xamena, F.X. Metal Organic Framework Catalysis: Quo vadis? ACS Catal. 2014, 4, 361–378. [Google Scholar] [CrossRef]
- Corma, A.; García, H.; Llabrés i Xamena, F.X. Engineering Metal Organic Frameworks for Heterogeneous Catalysis. Chem. Rev. 2010, 110, 4606–4655. [Google Scholar] [CrossRef] [PubMed]
- Negro, C.; Bilanin, C.; Qu, X.; Oliver-Meseguer, J.; Ferrando-Soria, J.; Leyva-Pérez, A.; Armentano, D.; Pardo, E. Epoxidation vs. dehydrogenation of allylic alcohols: Heterogenization of the VO(acac)2 catalyst in a metal–organic framework. Chem. Commun. 2022, 58, 5578–5581. [Google Scholar] [CrossRef] [PubMed]
- Bühl, M.; Schurhammer, R.; Imhof, P. Peroxovanadate Imidazole Complexes as Catalysts for Olefin Epoxidation: Density Functional Study of Dynamics, 51V NMR Chemical Shifts, and Mechanism. J. Am. Chem. Soc. 2004, 126, 3310–3320. [Google Scholar] [CrossRef]
- Gupta, K.C.; Sutar, A.K. Catalytic activities of Schiff base transition metal complexes. Coord. Chem. Rev. 2008, 252, 1420–1450. [Google Scholar] [CrossRef]
- Sutradhar, M.; Martins, L.; da Silva, M.; Pombeiro, A.J.L. Vanadium complexes: Recent progress in oxidation catalysis. Coord. Chem. Rev. 2015, 301, 200–239. [Google Scholar] [CrossRef]
- Pessoa, J.C.; Maurya, M.R. Vanadium complexes supported on organic polymers as sustainable systems for catalytic oxidations. Inorganica Chim. Acta 2017, 455, 415–428. [Google Scholar] [CrossRef]
- Langeslay, R.R.; Kaphan, D.M.; Marshall, C.L.; Stair, P.C.; Sattelberger, A.P.; Delferro, M. Catalytic Applications of Vanadium: A Mechanistic Perspective. Chem. Rev. 2019, 119, 2128–2191. [Google Scholar] [CrossRef] [PubMed]
- Boghaei, D.M.; Mohebi, S. Non-symmetrical tetradentate vanadyl Schiff base complexes derived from 1,2-phenylene diamine and 1,3-naphthalene diamine as catalysts for the oxidation of cyclohexene. Tetrahedron 2002, 58, 5357–5366. [Google Scholar] [CrossRef]
- Mohebbi, S.; Sarvestani, A.H. Effective oxidation of 1,2-cyclooctene by oxo-vanadium(IV) tetradentate Schiff base complexes under 1 atmosphere of molecular oxygen. Transit. Met. Chem. 2006, 31, 749–752. [Google Scholar] [CrossRef]
- Mohebbi, S.; Nikpour, F.; Raiati, S. Homogeneous green catalyst for epoxidation of cyclooctene by mono oxovanadium(IV) complexes of N2O2 donate ligand system. J. Mol. Catal. A Chem. 2006, 256, 265–268. [Google Scholar] [CrossRef]
- Alvarez, H.M.; de Andrade, J.L.; Pereira, N.; Muri, E.M.F.; Horn, A.; Barbosa, D.P.; Antunes, O.A.C. Catalytic oxidation of isosafrol by vanadium complexes. Catal. Commun. 2007, 8, 1336–1340. [Google Scholar] [CrossRef]
- Maurya, M.R.; Kumar, A. Oxovanadium(IV) based coordination polymers and their catalytic potentials for the oxidation of styrene, cyclohexene and trans-stilbene. J. Mol. Catal. A Chem. 2006, 250, 190–198. [Google Scholar] [CrossRef]
- Munoz, G.; Gunessee, B.K.; Bégué, D.; Bouyssiere, B.; Baraille, I.; Vallverdu, G.; Santos Silva, H. Redox activity of nickel and vanadium porphyrins: A possible mechanism behind petroleum genesis and maturation? RSC Adv. 2019, 9, 9509–9516. [Google Scholar] [CrossRef] [PubMed]
- Chen, W.; Suenobu, T.; Fukuzumi, S. A Vanadium Porphyrin with Temperature-Dependent Phase Transformation: Synthesis, Crystal Structures, Supramolecular Motifs and Properties. Chem. Asian J. 2011, 6, 1416–1422. [Google Scholar] [CrossRef]
- Poncet, J.-L.; Barbe, J.-M.; Guilard, R.; Oumous, H.; Lecomte, C.; Protas, J. Vanadium (II) porphyrin complexes: Synthesis and characterization. Crystal structure of 2,3,7,8,12,13,17,18-octaethylporphinatobis-(dimethylphenylphosphine)vanadium(II). J. Chem. Soc. Chem. Commun. 1982, 24, 1421–1422. [Google Scholar] [CrossRef]
- Liu, X.-H.; Huang, J.-Y.; Tao, L.-M.; Yu, H.-Y.; Zhou, X.-T.; Xue, C.; Han, Q.; Zou, W.; Ji, H.-B. Oxygen Atom Transfer Mechanism for Vanadium-Oxo Porphyrin Complexes Mediated Aerobic Olefin Epoxidation. Chin. J. Chem. 2022, 40, 115–122. [Google Scholar] [CrossRef]
- Li, Z.; Zhang, W.; Yamamoto, H. Vanadium-Catalyzed Enantioselective Desymmetrization of meso Secondary Allylic Alcohols and Homoallylic Alcohols. Angew. Chem. Int. Ed. 2008, 47, 7520–7522. [Google Scholar] [CrossRef] [PubMed]
- Kirihara, M. Aerobic oxidation of organic compounds catalyzed by vanadium compounds. Coord. Chem. Rev. 2011, 255, 2281–2302. [Google Scholar] [CrossRef]
- Conte, V.; Coletti, A.; Floris, B.; Licini, G.; Zonta, C. Mechanistic aspects of vanadium catalysed oxidations with peroxides. Coord. Chem. Rev. 2011, 255, 2165–2177. [Google Scholar] [CrossRef]
- Vandichel, M.; Leus, K.; Van Der Voort, P.; Waroquier, M.; Van Speybroeck, V. Mechanistic insight into the cyclohexene epoxidation with VO(acac)2 and tert-butyl hydroperoxide. J. Catal. 2012, 294, 1–18. [Google Scholar] [CrossRef]
- Sedighipoor, M.; Kianfar, A.H.; Mahmood, W.A.K.; Azarian, M.H. Epoxidation of alkenes by an oxidovanadium(IV) tetradentate Schiff base complex as an efficient catalyst with tert-butyl hydroperoxide. Inorganica Chim. Acta 2017, 457, 116–121. [Google Scholar] [CrossRef]
- Kirillova, M.V.; Kuznetsov, M.L.; Romakh, V.B.; Shul’pina, L.S.; Fraústo da Silva, J.J.R.; Pombeiro, A.J.L.; Shul’pin, G.B. Mechanism of oxidations with H2O2 catalyzed by vanadate anion or oxovanadium(V) triethanolaminate (vanadatrane) in combination with pyrazine-2-carboxylic acid (PCA): Kinetic and DFT studies. J. Catal. 2009, 267, 140–157. [Google Scholar] [CrossRef]
- Kuznetsov, M.L.; Pessoa, J.C. Epoxidation of olefins catalysed by vanadium–salan complexes: A theoretical mechanistic study. Dalton Trans. 2009, 28, 5460–5468. [Google Scholar] [CrossRef]
- Shul’pin, G.B. Hydrocarbon Oxygenations with Peroxides Catalyzed by Metal Compounds. Mini-Rev. Org. Chem. 2009, 6, 95–104. [Google Scholar] [CrossRef]
- Shul’pin, G.B.; Kirillova, M.V.; Sooknoi, T.; Pombeiro, A.J.L. Oxidation of saturated hydrocarbons to alkyl hydroperoxides by a ‘H2O2/titanosilicalite-1/NaOH/MeCN’ system. Catal. Lett. 2008, 123, 135–141. [Google Scholar] [CrossRef]
- Mizuno, N.; Kamata, K.; Yamaguchi, K. Oxidative functional group transformations with hydrogen peroxide catalyzed by a divanadium-substituted phosphotungstate. Catal. Today 2012, 185, 157–161. [Google Scholar] [CrossRef]
- Kamata, K.; Sugahara, K.; Yonehara, K.; Ishimoto, R.; Mizuno, N. Efficient Epoxidation of Electron-Deficient Alkenes with Hydrogen Peroxide Catalyzed by [γ-PW10O38V2(μ-OH)2]3−. Chem. A Eur. J. 2011, 17, 7549–7559. [Google Scholar] [CrossRef] [PubMed]
- Aschi, M.; Crucianelli, M.; Di Giuseppe, A.; Di Nicola, C.; Marchetti, F. Insights on the mechanistic features of catalytic oxidations of simple and conjugated olefins promoted by VO(acac)2/H2O2 system, in acetonitrile: A computational study. Catal. Today 2012, 192, 56–62. [Google Scholar] [CrossRef]
- Lee, C.; Yang, W.; Parr, R.G. Development of the Colle-Salvetti correlation-energy formula into a functional of the electron density. Phys. Rev. B 1988, 37, 785–789. [Google Scholar] [CrossRef]
- Marchetti, F.; Pettinari, C.; Di Nicola, C.; Pettinari, R.; Crispini, A.; Crucianelli, M.; Di Giuseppe, A. Synthesis and characterization of novel oxovanadium(IV) complexes with 4-acyl-5-pyrazolone donor ligands: Evaluation of their catalytic activity for the oxidation of styrene derivatives. Appl. Catal. A Gen. 2010, 378, 211–220. [Google Scholar] [CrossRef]
- Hussain, M.M.; Hernández Toribio, J.; Carroll, P.J.; Walsh, P.J. Synthesis of 2-Keto-anti-1,3-diols by Chemoselective Tandem Oxidation of 2-B(pin)-Substituted Allylic Alcohols. Angew. Chem. Int. Ed. 2011, 50, 6337–6340. [Google Scholar] [CrossRef]
- Han, L.; Liu, C.; Zhang, W.; Shi, X.-X.; You, S.-L. Dearomatization of tryptophols via a vanadium-catalyzed asymmetric epoxidation and ring-opening cascade. Chem. Commun. 2014, 50, 1231–1233. [Google Scholar] [CrossRef]
- Noji, M.; Kobayashi, T.; Uechi, Y.; Kikuchi, A.; Kondo, H.; Sugiyama, S.; Ishii, K. Asymmetric Epoxidation of Allylic Alcohols Catalyzed by Vanadium–Binaphthylbishydroxamic Acid Complex. J. Org. Chem. 2015, 80, 3203–3210. [Google Scholar] [CrossRef]
- Amberg, M.; Dönges, M.; Stapf, G.; Hartung, J. Formation of 3-acyloxy-γ-butyrolactones from 4-pentenols in vanadium-catalyzed oxidations. Tetrahedron 2014, 70, 5321–5331. [Google Scholar] [CrossRef]
- Dönges, M.; Amberg, M.; Stapf, G.; Kelm, H.; Bergsträßer, U.; Hartung, J. cis-2,6-Bis-(methanolate)-piperidine oxovanadium(V) complexes as catalysts for oxidative alkenol cyclization by tert-butyl hydroperoxide. Inorganica Chim. Acta 2014, 420, 120–134. [Google Scholar] [CrossRef]
- Grivani, G.; Bruno, G.; Rudbari, H.A.; Khalaji, A.D.; Pourteimouri, P. Synthesis, characterization and crystal structure determination of a new oxovanadium(IV) Schiff base complex: The catalytic activity in the epoxidation of cyclooctene. Inorg. Chem. Commun. 2012, 18, 15–20. [Google Scholar] [CrossRef]
- Grivani, G.; Ghavami, A.; Eigner, V.; Dušek, M.; Khalaji, A.D. A new oxidovanadium(IV) Schiff base complex containing asymmetric tetradentate ONN′O′ Schiff base ligand: Synthesis, characterization, crystal structure determination, thermal study and catalytic activity. Chin. Chem. Lett. 2015, 26, 779–784. [Google Scholar] [CrossRef]
- Grivani, G.; Khalaji, A.D.; Tahmasebi, V.; Gotoh, K.; Ishida, H. Synthesis, characterization and crystal structures of new bidentate Schiff base ligand and its vanadium(IV) complex: The catalytic activity of vanadyl complex in epoxidation of alkenes. Polyhedron 2012, 31, 265–271. [Google Scholar] [CrossRef]
- Liang, M.; Zou, D.-H.; Chen, W.; Kan, W.; Tian, Z.-M. Synthesis, crystal structures and catalytic activity of oxidovanadium(V) complexes with tridentate ONO aroylhydrazone ligands. Inorg. Nano-Met. Chem. 2022, 52, 556–562. [Google Scholar] [CrossRef]
- Zou, D.H.; Liang, M.; Chen, W. Synthesis, X-Ray Crystal Structures and Catalytic Epoxidation of Oxidovanadium(V) Complexes with Aroylhydrazone and Ethyl Maltolate Ligands. Acta Chim. Slov. 2021, 68, 441–446. [Google Scholar] [CrossRef]
- Xiao, Y.; Huang, H.; Yin, D.; Guo, D.; Mao, L.; Fu, Z. Oxidation of anethole with hydrogen peroxide catalyzed by oxovanadium aromatic carboxylate complexes. Catal. Commun. 2008, 10, 29–32. [Google Scholar] [CrossRef]
- Li, F.; Wang, Z.-H.; Zhao, L.; Xiong, F.-J.; He, Q.-Q.; Chen, F.-E. An efficient enantioselective synthesis of florfenicol via a vanadium-catalyzed asymmetric epoxidation. Tetrahedron Asymmetry 2011, 22, 1337–1341. [Google Scholar] [CrossRef]
- IUPAC. Compendium of Chemical Terminology, (the “Gold Book”), 2nd ed.; McNaught, A.D., Wilkinson, A., Eds.; Blackwell Scientific Publications: Oxford, UK, 1997; Online version (2019-) created by S. J. Chalk; ISBN 0-9678550-9-8. [Google Scholar] [CrossRef]
- Lattanzi, A.; Scettri, A. VO(acac)2/TBHP Catalyzed Epoxidation of 2-(2-Alkenyl)phenols. Highly Regio- and Diastereoselective Oxidative Cyclization to 2,3-Dihydro-benzofuranols and 3-Chromanols. Synlett 2002, 2002, 0942–0946. [Google Scholar] [CrossRef]
- Goujon, J.-Y.; Zammattio, F.; Chrétien, J.-M.; Beaudet, I. A new approach to 2,2-disubstituted chromenes and tetrahydroquinolines through intramolecular cyclization of chiral 3,4-epoxy alcohols. Tetrahedron 2004, 60, 4037–4049. [Google Scholar] [CrossRef]
- Wu, H.-L.; Uang, B.-J. Asymmetric epoxidation of allylic alcohols catalyzed by new chiral vanadium(V) complexes. Tetrahedron Asymmetry 2002, 13, 2625–2628. [Google Scholar] [CrossRef]
- Malkov, A.V.; Bourhani, Z.; Kočovský, P. Amino acid-derived hydroxamic acids as chiral ligands in the vanadium catalysed epoxidation. Org. Biomol. Chem. 2005, 3, 3194–3200. [Google Scholar] [CrossRef]
- Zhang, W.; Yamamoto, H. Vanadium-Catalyzed Asymmetric Epoxidation of Homoallylic Alcohols. J. Am. Chem. Soc. 2007, 129, 286–287. [Google Scholar] [CrossRef]
- Malkov, A.V.; Czemerys, L.; Malyshev, D.A. Vanadium-Catalyzed Asymmetric Epoxidation of Allylic Alcohols in Water. J. Org. Chem. 2009, 74, 3350–3355. [Google Scholar] [CrossRef]
- Bourhani, Z.; Malkov, A.V. Ligand-accelerated vanadium-catalysed epoxidation in water. Chem. Commun. 2005, 36, 4592–4594. [Google Scholar] [CrossRef]
- Adam, W.; Beck, A.K.; Pichota, A.; Saha-Möller, C.R.; Seebach, D.; Vogl, N.; Zhang, R. Control of enantioselectivity through a hydrogen-bonded template in the vanadium(V)-catalyzed epoxidation of allylic alcohols by optically active hydroperoxides. Tetrahedron Asymmetry 2003, 14, 1355–1361. [Google Scholar] [CrossRef]
- Lattanzi, A.; Piccirillo, S.; Scettri, A. Vanadium-Catalyzed Asymmetric Epoxidation of Allylic Alcohols Mediated by (+)-Norcamphor-Derived Hydroperoxide. Eur. J. Org. Chem. 2005, 2005, 1669–1674. [Google Scholar] [CrossRef]
- Zeng, W.; Ballard, T.E.; Melander, C. Tuning the oxidation properties of vanadium(V) through ligand stoichiometry. Tetrahedron Lett. 2006, 47, 5923–5926. [Google Scholar] [CrossRef]
- Bryliakov, K.P.; Talsi, E.P.; Kühn, T.; Bolm, C. Multinuclear NMR study of the reactive intermediates in enantioselective epoxidations of allylic alcohols catalyzed by a vanadium complex derived from a planar-chiral hydroxamic acid. New J. Chem. 2003, 27, 609–614. [Google Scholar] [CrossRef]
- Pereira, C.; Leite, A.; Nunes, A.; Rebelo, S.L.H.; Rangel, M.; Freire, C. Oxidovanadium(IV) Complexes of 3-Hydroxy-4-pyrone and 3-Hydroxy-4-pyridinone Ligands: A New Generation of Homogeneous Catalysts for the Epoxidation of Geraniol. Catal. Lett. 2010, 135, 98–104. [Google Scholar] [CrossRef]
- da Silva, J.A.L.; da Silva, J.J.R.F.; Pombeiro, A.J.L. Oxovanadium complexes in catalytic oxidations. Coord. Chem. Rev. 2011, 255, 2232–2248. [Google Scholar] [CrossRef]
- Dorbes, S.; Pereira, C.; Andrade, M.; Barros, D.; Pereira, A.; Rebelo, S.; Araujo, J.; Pires, J.; Carvalho, A.; Freire, C. Oxidovanadium(IV) acetylacetonate immobilized onto CMK-3 for heterogeneous epoxidation of geraniol. Microporous Mesoporous Mater. 2012, 160, 67–74. [Google Scholar] [CrossRef]
- Jarrais, B.; Silva, A.R.; Freire, C. Anchoring of Vanadyl Acetylacetonate onto Amine-Functionalised Activated Carbons: Catalytic Activity in the Epoxidation of an Allylic Alcohol. Eur. J. Inorg. Chem. 2005, 2005, 4582–4589. [Google Scholar] [CrossRef]
- Wang, J.; Zhao, L.; Shi, H.; He, J. Highly Enantioselective and Efficient Asymmetric Epoxidation Catalysts: Inorganic Nanosheets Modified with α-Amino Acids as Ligands. Angew. Chem. Int. Ed. 2011, 50, 9171–9176. [Google Scholar] [CrossRef]
- Liu, H.; Zhao, L.; Wang, J.; He, J. Multilple host–guest interactions in heterogeneous vanadium catalysts: Inorganic nanosheets modified alpha-amino acids as ligands. J. Catal. 2013, 298, 70–76. [Google Scholar] [CrossRef]
- Zhao, L.-W.; Shi, H.-M.; An, Z.; Wang, J.-Z.; He, J. Validity of Inorganic Nanosheets as an Efficient Planar Substituent To Enhance the Enantioselectivity of Transition-Metal-Catalyzed Asymmetric Synthesis. Chem. A Eur. J. 2013, 19, 12350–12355. [Google Scholar] [CrossRef]
- Zhao, L.-W.; Shi, H.-M.; Wang, J.-Z.; He, J. Nanosheet-Enhanced Enantioselectivity in the Vanadium-Catalyzed Asymmetric Epoxidation of Allylic Alcohols. Chem. A Eur. J. 2012, 18, 9911–9918. [Google Scholar] [CrossRef]
- Cohen, A.; Siddaraju, Y.; Marek, I. Directed Diastereoselective Cyclopropanation and Epoxidation of Alkenyl Cyclopropyl Carbinol Derivatives. Org. Lett. 2022, 24, 8322–8325. [Google Scholar] [CrossRef]
- Tietze, L.F.; Beifuss, U. Sequential Transformations in Organic Chemistry: A Synthetic Strategy with a Future. Angew. Chem. Int. Ed. Engl. 1993, 32, 131–163. [Google Scholar] [CrossRef]
- Tietze, L.F. Domino Reactions in Organic Synthesis. Chem. Rev. 1996, 96, 115–136. [Google Scholar] [CrossRef] [PubMed]
- Guillena, G.; Ramón, D.J.; Yus, M. Organocatalytic enantioselective multicomponent reactions (OEMCRs). Tetrahedron Asymmetry 2007, 18, 693–700. [Google Scholar] [CrossRef]
- Pellissier, H. Stereocontrolled Domino Reactions. Chem. Rev. 2013, 113, 442–524. [Google Scholar] [CrossRef] [PubMed]
- Clavier, H.; Pellissier, H. Recent Developments in Enantioselective Metal-Catalyzed Domino Reactions. Adv. Synth. Catal. 2012, 354, 3347–3403. [Google Scholar] [CrossRef]
- Pellissier, H. Asymmetric domino reactions. Part A: Reactions based on the use of chiral auxiliaries. Tetrahedron 2006, 62, 1619–1665. [Google Scholar] [CrossRef]
- Boghaei, D.M.; Mohebi, S. Synthesis, characterization and study of vanadyl tetradentate Schiff base complexes as catalyst in aerobic selective oxidation of olefins. J. Mol. Catal. A Chem. 2002, 179, 41–51. [Google Scholar] [CrossRef]
- Freindorf, M.; Kraka, E. Mechanistic Details of the Sharpless Epoxidation of Allylic Alcohols— A Combined URVA and Local Mode Study. Catalysts 2022, 12, 789. [Google Scholar]
- Mohebbi, S.; Boghaei, D.M.; Sarvestani, A.H.; Salimi, A. Oxovanadium(IV) complexes as homogeneous catalyst—Aerobic epoxidation of olefins. Appl. Catal. A Gen. 2005, 278, 263–267. [Google Scholar] [CrossRef]
- Dekar, S.; Merzougui, M.; Weiss, J.; Ouari, K. Structural investigations and catalytic performances of a new oxovanadium complex derived from 1,2-bis((E)-5-bromo-2-hydroxybenzylideneamino)-4-methylbenzene. J. Mol. Struct. 2022, 1261, 132888. [Google Scholar] [CrossRef]
- Adam, M.S.S.; Khalil, A. Nickel (II), copper (II), and vanadyl (II) complexes with tridentate nicotinoyl hydrazone derivative functionalized as effective catalysts for epoxidation processes and as biological reagents. J. Taiwan Inst. Chem. Eng. 2022, 132, 104192. [Google Scholar] [CrossRef]
- McCaffrey, V.P.; Conover, O.Q.; Bernard, M.A.; Yarranton, J.T.; Lessnau, N.R.; Hempfling, J.P. Substituent effects in dioxovanadium(V) schiff-base complexes: Tuning the outcomes of oxidation reactions. Polyhedron 2021, 205, 115268. [Google Scholar] [CrossRef]
- Rayati, S.; Koliaei, M.; Ashouri, F.; Mohebbi, S.; Wojtczak, A.; Kozakiewicz, A. Oxovanadium(IV) Schiff base complexes derived from 2,2′-dimethylpropandiamine: A homogeneous catalyst for cyclooctene and styrene oxidation. Appl. Catal. A Gen. 2008, 346, 65–71. [Google Scholar] [CrossRef]
- Rayati, S.; Sadeghzadeh, N.; Khavasi, H.R. A new di-μ-oxo bis[oxovanadium(V)] complex containing Schiff base ligand derived from 1,2-diaminopropane and 2′-hydroxy-4′-methoxyacetophenone: Synthesis, structure and catalytic properties. Inorg. Chem. Commun. 2007, 10, 1545–1548. [Google Scholar] [CrossRef]
- Trivedi, M.; Nagarajan, R.; Kumar, A.; Rath, N.P. A new single pot synthesis of μ-bis(oxido)bis{oxidovanadium(V)} dipicolinato complex with 2-aminopyridinium as counter cation: Spectroscopic, structural, catalytic and theoretical studies. J. Organomet. Chem. 2010, 695, 1722–1728. [Google Scholar] [CrossRef]
- Nayak, P.; Nayak, M.; Meena, K.; Kar, S. Oxo(corrolato)vanadium(iv) catalyzed epoxidation: Oxo(peroxo)(corrolato)vanadium(v) is the true catalytic species. New J. Chem. 2022, 46, 4634–4646. [Google Scholar] [CrossRef]
- Shen, Y.; Atobe, M.; Li, W.; Nonaka, T. Paired electrosynthesis of epoxides and dibromides from olefinic compounds. Electrochim. Acta 2003, 48, 1041–1046. [Google Scholar] [CrossRef]
- Dimitrova, M.; Turmanova, S.; Vassilev, K. Complexes of glutathione with heavy metals as catalysts for oxidation. React. Kinet. Mech. Catal. 2010, 99, 69–78. [Google Scholar] [CrossRef]
- Adão, P.; Costa Pessoa, J.; Henriques, R.T.; Kuznetsov, M.L.; Avecilla, F.; Maurya, M.R.; Kumar, U.; Correia, I. Synthesis, Characterization, and Application of Vanadium−Salan Complexes in Oxygen Transfer Reactions. Inorg. Chem. 2009, 48, 3542–3561. [Google Scholar] [CrossRef]
- Sultana, S.Y.; Talukdar, H.; Borah, B.J.; Sharma, M.; Islam, N.S. Synthesis, structure and catalytic activity of new oxovanadium(V) complexes with deferiprone and N,N-donor ligands. Inorganica Chim. Acta 2022, 534, 120813. [Google Scholar] [CrossRef]
- Asghari Lalami, N.; Hosseini Monfared, H.; Noei, H.; Mayer, P. Binuclear vanadium(V) complexes of bis(aryl)adipohydrazone: Synthesis, spectroscopic studies, crystal structure and catalytic activity. Transit. Met. Chem. 2011, 36, 669. [Google Scholar] [CrossRef]
- Javadi, M.M.; Moghadam, M.; Mohammadpoor-Baltork, I.; Tangestaninejad, S.; Mirkhani, V. Epoxidation of alkenes and oxidation of sulfides catalyzed by a new binuclear vanadium bis-oxazoline complex. J. Iran. Chem. Soc. 2015, 12, 477–485. [Google Scholar] [CrossRef]
- Pisk, J.; Daran, J.-C.; Poli, R.; Agustin, D. Pyridoxal based ONS and ONO vanadium(V) complexes: Structural analysis and catalytic application in organic solvent free epoxidation. J. Mol. Catal. A Chem. 2015, 403, 52–63. [Google Scholar] [CrossRef]
- Hosseini-Monfared, H.; Farrokhi, A.; Alavi, S.; Mayer, P. Synthesis, structure and catalytic activity of an oxo-bridged dinuclear oxovanadium complex of an isonicotinohydrazide ligand. Transit. Met. Chem. 2013, 38, 267–273. [Google Scholar] [CrossRef]
- Cordelle, C.; Agustin, D.; Daran, J.-C.; Poli, R. Oxo-bridged bis oxo-vanadium(V) complexes with tridentate Schiff base ligands (VOL)2O (L = SAE, SAMP, SAP): Synthesis, structure and epoxidation catalysis under solvent-free conditions. Inorganica Chim. Acta 2010, 364, 144–149. [Google Scholar] [CrossRef]
- Bikas, R.; Ghorbanloo, M.; Jafari, S.; Eigner, V.; Dusek, M. Catalytic oxidation of olefins and sulfides in the presence of hydrazone-oxidovanadium(V) complex containing VOCl2+ core. Inorganica Chim. Acta 2016, 453, 78–85. [Google Scholar] [CrossRef]
- Ghorbanloo, M.; Jafari, S.; Bikas, R.; Krawczyk, M.S.; Lis, T. Dioxidovanadium(V) complexes containing thiazol-hydrazone NNN-donor ligands and their catalytic activity in the oxidation of olefins. Inorganica Chim. Acta 2017, 455, 15–24. [Google Scholar] [CrossRef]
- Zhang, Y.; Yang, T.; Zheng, B.-Y.; Liu, M.-Y.; Xing, N. Synthesis, crystal structures of oxovanadium(V) complexes with hydrazone ligands and their catalytic performance for the styrene oxidation. Polyhedron 2017, 121, 123–129. [Google Scholar] [CrossRef]
- Maurya, M.R.; Bisht, M.; Kumar, A.; Kuznetsov, M.L.; Avecilla, F.; Pessoa, J.C. Synthesis, characterization, reactivity and catalytic activity of oxidovanadium(iv), oxidovanadium(v) and dioxidovanadium(v) complexes of benzimidazole modified ligands. Dalton Trans. 2011, 40, 6968–6983. [Google Scholar] [CrossRef]
- Mahboubi-Anarjan, P.; Bikas, R.; Hosseini-Monfared, H.; Aleshkevych, P.; Mayer, P. Synthesis, characterization, EPR spectroscopy and catalytic activity of a new oxidovanadium(IV) complex with N2O2-donor ligand. J. Mol. Struct. 2017, 1131, 258–265. [Google Scholar] [CrossRef]
- Shul’pin, G.B.; Kozlov, Y.N.; Nizova, G.V.; Süss-Fink, G.; Stanislas, S.; Kitaygorodskiy, A.; Kulikova, V.S. Oxidations by the reagent “O2–H2O2–vanadium derivative–pyrazine-2-carboxylic acid”. Part 12.1 Main features, kinetics and mechanism of alkane hydroperoxidation. J. Chem. Soc. Perkin Trans. 2001, 2, 1351–1371. [Google Scholar] [CrossRef]
















| Publication Years | Article Count | Percentage/% |
|---|---|---|
| 2011–2020 | 262 | 53.4 |
| 2001–2010 | 168 | 33.8 |
| 1991–2000 | 61 | 12.3 |
| 1981–1990 | 6 | 1.2 |
Disclaimer/Publisher’s Note: The statements, opinions and data contained in all publications are solely those of the individual author(s) and contributor(s) and not of MDPI and/or the editor(s). MDPI and/or the editor(s) disclaim responsibility for any injury to people or property resulting from any ideas, methods, instructions or products referred to in the content. |
© 2023 by the authors. Licensee MDPI, Basel, Switzerland. This article is an open access article distributed under the terms and conditions of the Creative Commons Attribution (CC BY) license (https://creativecommons.org/licenses/by/4.0/).
Share and Cite
Ferraz-Caetano, J.; Teixeira, F.; Cordeiro, M.N.D.S. Systematic Development of Vanadium Catalysts for Sustainable Epoxidation of Small Alkenes and Allylic Alcohols. Int. J. Mol. Sci. 2023, 24, 12299. https://doi.org/10.3390/ijms241512299
Ferraz-Caetano J, Teixeira F, Cordeiro MNDS. Systematic Development of Vanadium Catalysts for Sustainable Epoxidation of Small Alkenes and Allylic Alcohols. International Journal of Molecular Sciences. 2023; 24(15):12299. https://doi.org/10.3390/ijms241512299
Chicago/Turabian StyleFerraz-Caetano, José, Filipe Teixeira, and Maria Natália Dias Soeiro Cordeiro. 2023. "Systematic Development of Vanadium Catalysts for Sustainable Epoxidation of Small Alkenes and Allylic Alcohols" International Journal of Molecular Sciences 24, no. 15: 12299. https://doi.org/10.3390/ijms241512299
APA StyleFerraz-Caetano, J., Teixeira, F., & Cordeiro, M. N. D. S. (2023). Systematic Development of Vanadium Catalysts for Sustainable Epoxidation of Small Alkenes and Allylic Alcohols. International Journal of Molecular Sciences, 24(15), 12299. https://doi.org/10.3390/ijms241512299

