Equine Hoof Progenitor Cells Display Increased Mitochondrial Metabolism and Adaptive Potential to a Highly Pro-Inflammatory Microenvironment
Abstract
1. Introduction
2. Results
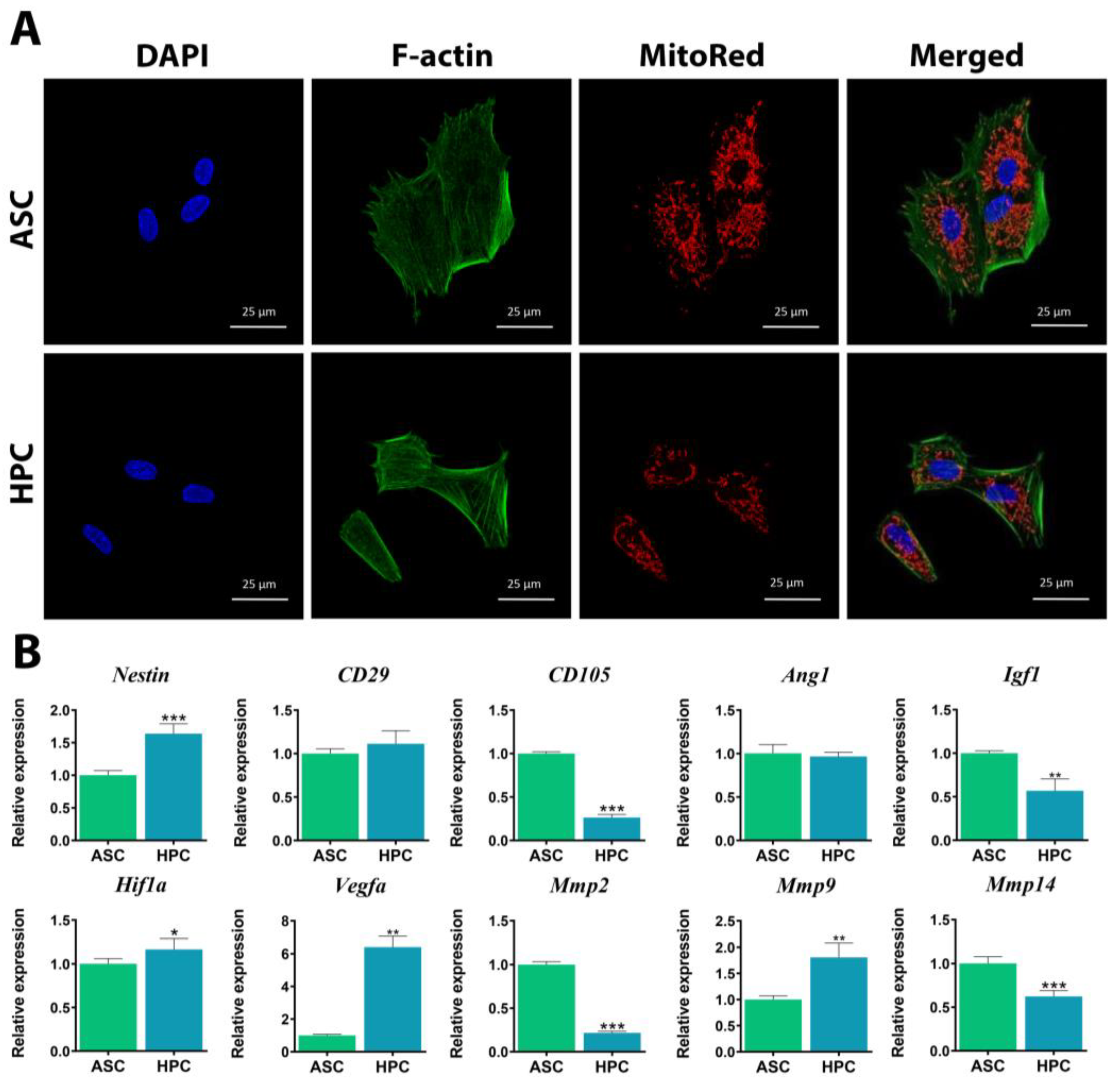
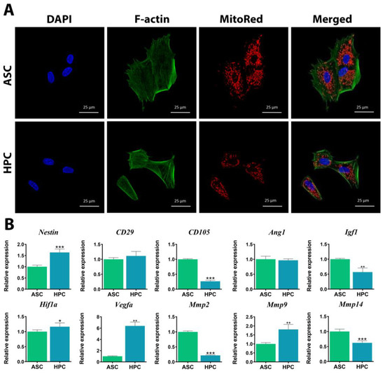
2.1. ASCs and HPCs Have Similar Morphologies but Exhibit Different Phenotypes
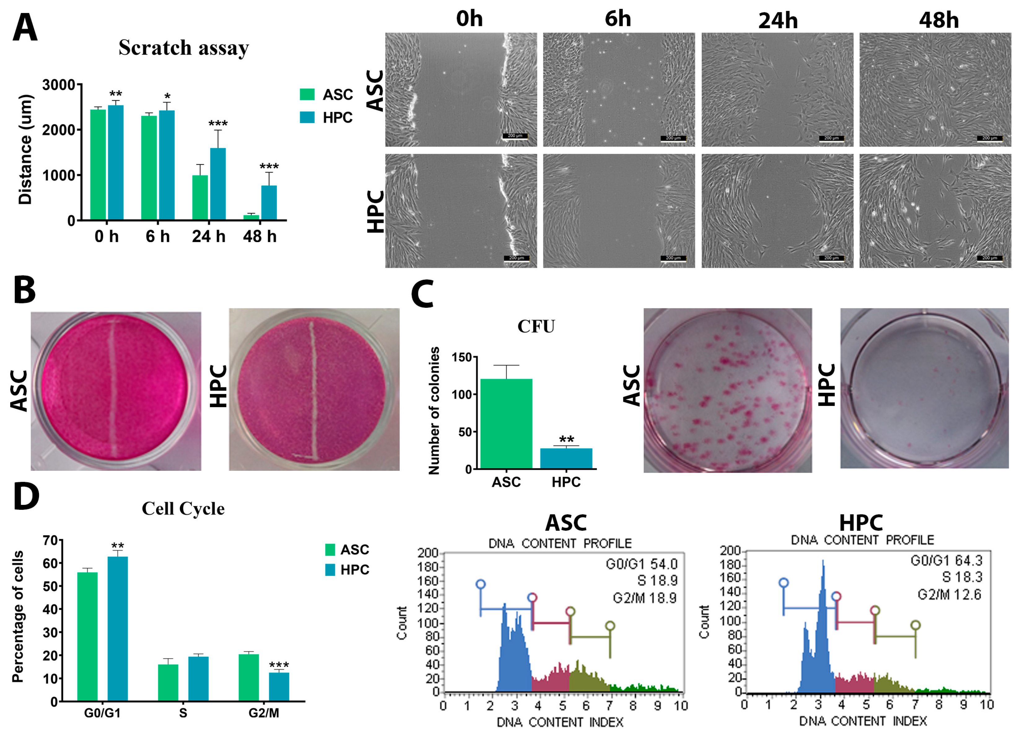
2.2. HPCs Have Lower Migration Capacity and Different Cell Cycle Dynamics Compared to ASCs
2.3. Native HPCs Possess a Distinct Mitochondrial Metabolism Compared to ASCs
2.4. HPCs Exhibit Lower Oxidative Stress Levels Compared to ASCs
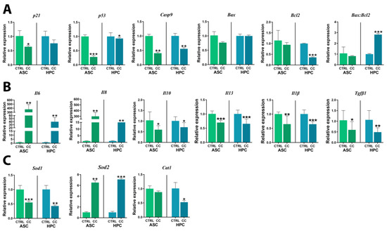
2.5. HPCs Display Different Gene Expression Patterns of Apoptotic and Immunomodulatory Mediators Compared to ASCs
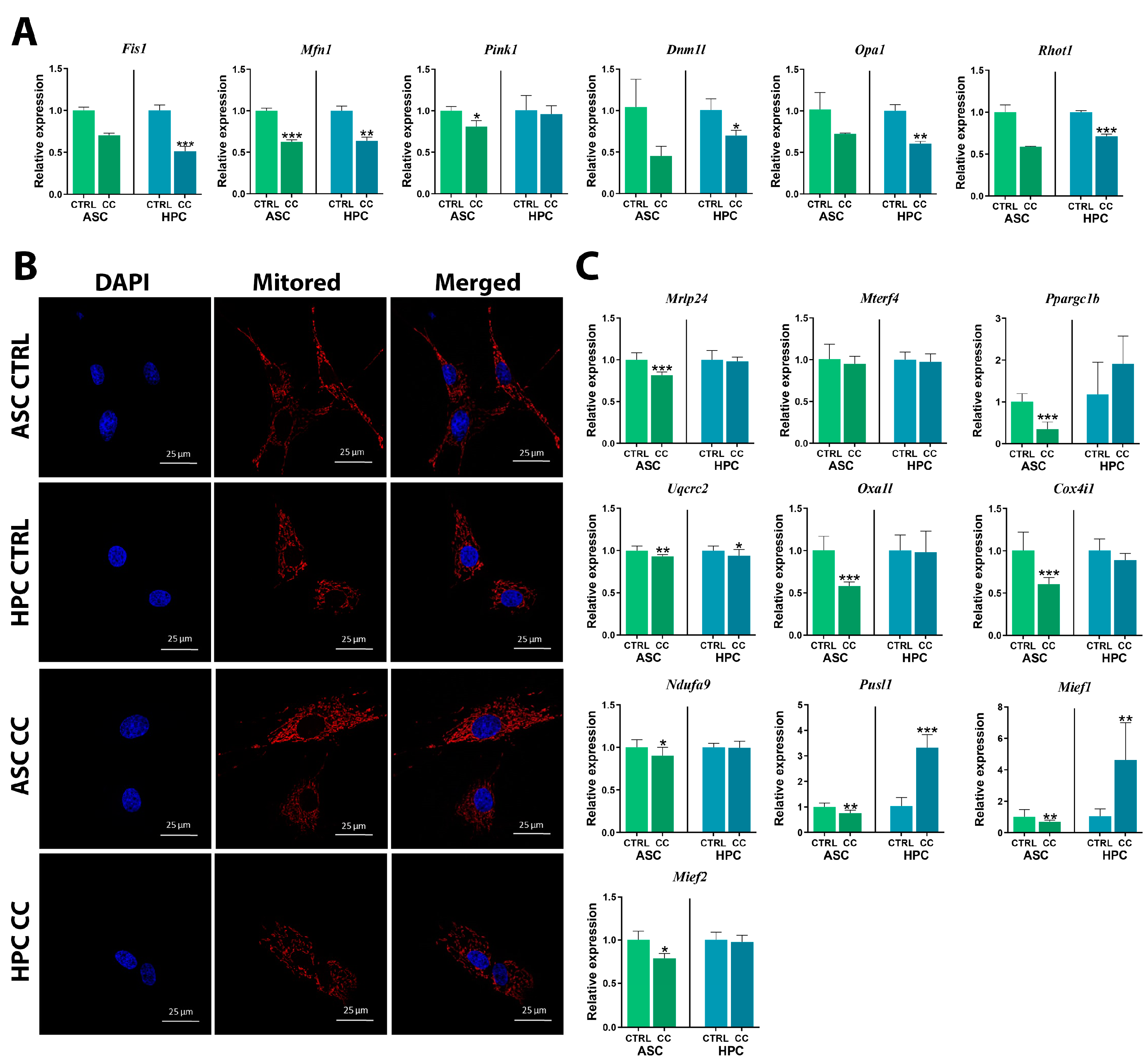
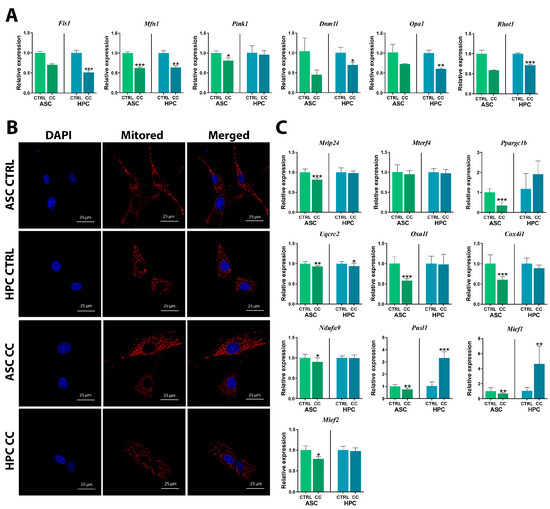
2.6. Priming with a Cytokine Cocktail Exerts a Different Effect on ASC and HPCs’ Mitochondrial Metabolisms
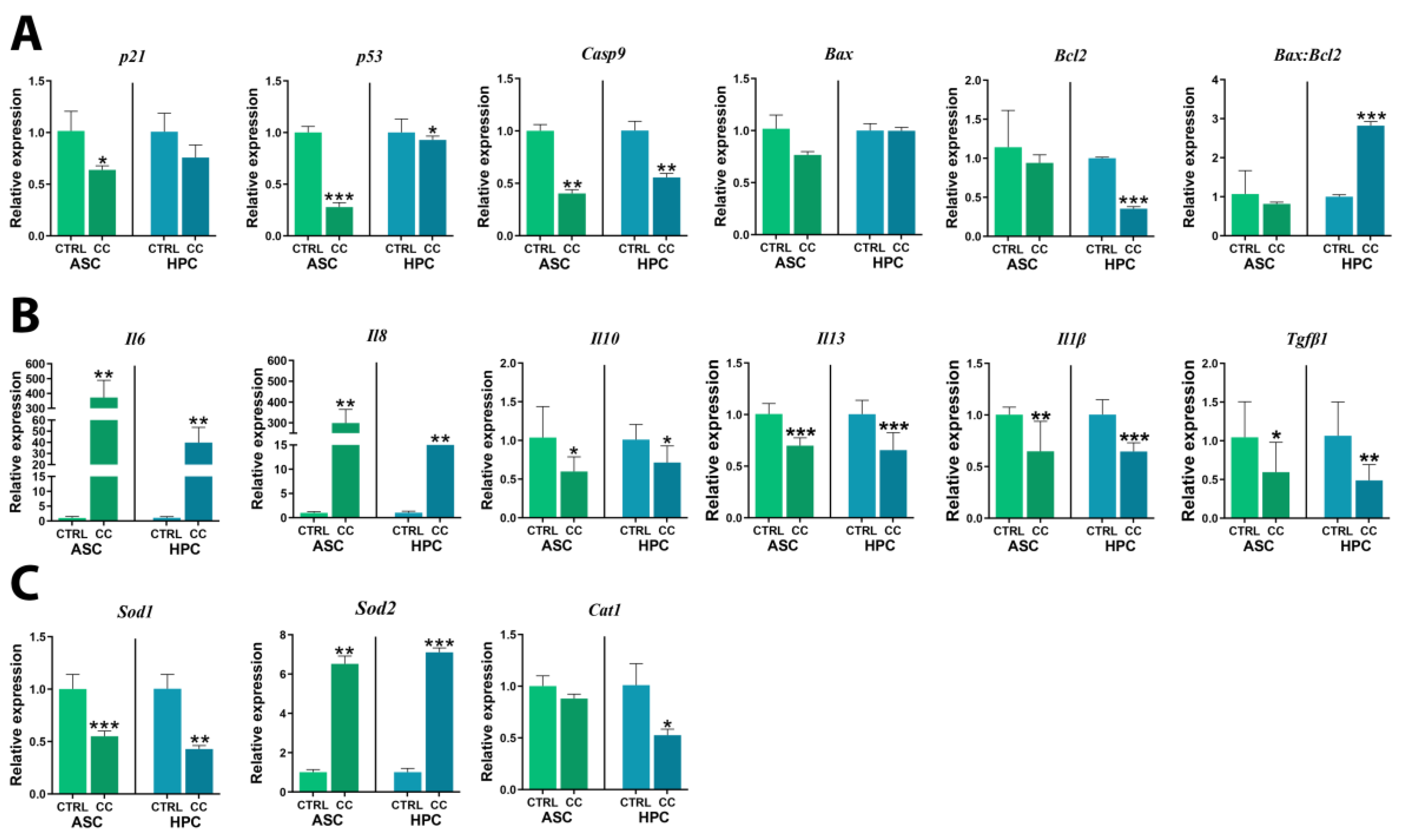
2.7. Apoptosis Dynamics and Inflammatory Response to Priming Are Similar in HPC and ASC Populations
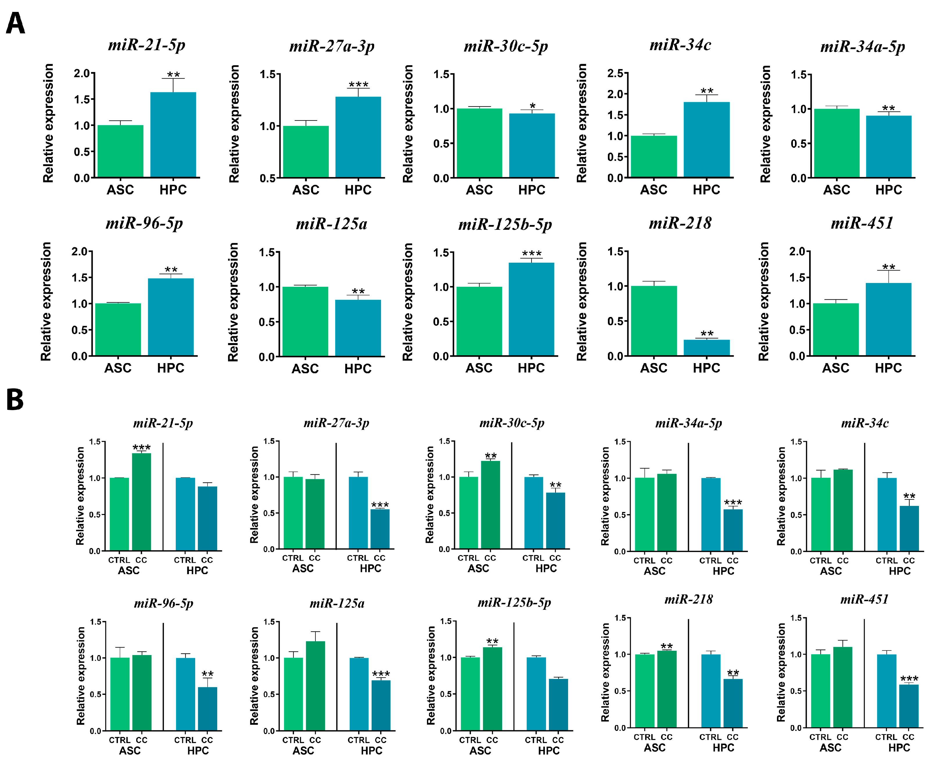
2.8. HPC and ASC Native and Primed Populations Display Different miRNA Expression Patterns
3. Discussion
4. Materials and Methods
4.1. Study Design
4.2. Ethical Approval
4.3. Tissue Harvest and Cell Culture
4.4. Priming with Cytokine Cocktail
4.5. Cell Morphology Assessment
4.6. Scratch Wound Healing Assay and Colony-Forming Units
4.7. Microcapillary Cytometry Analyses
4.8. RNA Isolation and qPCR
4.9. Mitochondria and mtRNA Isolation
4.10. Statistical Analysis
5. Conclusions
Supplementary Materials
Author Contributions
Funding
Institutional Review Board Statement
Informed Consent Statement
Data Availability Statement
Conflicts of Interest
Abbreviations
| Ang1 | Angiopoietin 1 |
| ASCs | Adipose-derived stem cells |
| Bax | BCL-2-associated X protein |
| BCA | Bicinchoninic acid |
| Bcl2 | B cell lymphoma 2 |
| Casp3 | Caspase 3 |
| Casp9 | Caspase 9 |
| Cat1 | Catalase 1 |
| CC | Cytokine cocktail |
| Ccl2 | C-C Motif Chemokine Ligand 2 |
| CD105 | Endoglin |
| CD29 | Integrin subunit beta 1 |
| CFU | Colony-forming units |
| Cox4il | Cytochrome c oxidase subunit IV |
| CTRL | Control |
| DAMPs | Damage-associated molecular patterns |
| DMEM/F12 | Dulbecco’s modified Eagle’s medium/F12 |
| Dnm1l | Dynamin-related protein 1 |
| EAE | Experimental autoimmune encephalomyelitis |
| EMS | Equine metabolic syndrome |
| EVs | Extracellular vesicles |
| Fis1 | Mitochondrial fission molecule |
| GAPDH | Glyceraldehyde 3-phosphate dehydrogenase |
| Hif1a | Hypoxia-inducible factor 1 subunit alpha |
| hMSC | Human mesenchymal stem cells |
| HPCs | Hoof progenitor cells |
| HRP | Horseradish peroxidase |
| IFNγ | Interferon gamma |
| Igf1 | Insulin-like growth factor 1 |
| Ikbkb | Inhibitor of nuclear factor kappa B kinase subunit beta |
| Il6 | Interleukin 6 |
| Il8 | Interleukin 8 |
| Il10 | Interleukin 10 |
| Il13 | Interleukin 13 |
| IL1β | Interleukin 1 beta |
| IPSCs | Induced pluripotent stem cells |
| Mcp1 | Monocyte chemotactic protein 1 |
| Mfn1 | Mitofusin 1 |
| Mief1 | Mitochondrial elongation factor 1 |
| Mief2 | Mitochondrial elongation factor 2 |
| miRNA | microRNA |
| Mmp14 | Matrix metallopeptidase 14 |
| Mmp2 | Matrix metallopeptidase 2 |
| Mmp9 | Matrix metallopeptidase 9 |
| Mrlp24 | Mitochondrial ribosomal protein large 24 |
| mRNA | messenger RNA |
| MSCs | mesenchymal stem cells |
| Mterf4 | Mitochondrial transcription termination factor 4 |
| Ndufa9 | NADH:ubiquinone oxidoreductase subunit A9 |
| Nfkb | Nuclear factor kB |
| Nfkbia | NFKB inhibitor alpha |
| NO | Nitric oxide |
| Opa1 | OPA1 mitochondrial dynamin-like GTPase |
| Oxa1l | OXA1L mitochondrial inner membrane protein |
| P/S | Penicillin/streptomycin mix |
| p21 | Cyclin-dependent kinase inhibitor 1A |
| p53 | Tumor protein P53 |
| PFA | Paraformaldehyde |
| Pink1 | PTEN-induced kinase 1 |
| Ppargc1b | PPARG coactivator 1 beta |
| Pusl1 | Pseudouridine synthase-like 1 |
| Rhot1 | Ras homolog family member T1 |
| RNS | Reactive nitrogen species |
| ROS | Reactive oxygen species |
| RT-qPCR | Quantitative reverse transcription polymerase chain reaction |
| Sod1 | Superoxide dismutase 1 |
| Sod2 | Superoxide dismutase 2 |
| Tgfβ1 | Transforming growth factor beta 1 |
| TNFα | Tumor necrosis factor alpha |
| Uqcrc2 | Ubiquinol–cytochrome c reductase core protein 2 |
| Vegfa | Vascular endothelial growth factor A |
References
- Voga, M.; Adamic, N.; Vengust, M.; Majdic, G. Stem Cells in Veterinary Medicine—Current State and Treatment Options. Front. Vet. Sci. 2020, 7, 278. [Google Scholar] [CrossRef] [PubMed]
- Hoang, D.M.; Pham, P.T.; Bach, T.Q.; Ngo, A.T.L.; Nguyen, Q.T.; Phan, T.T.K.; Nguyen, G.H.; Le, P.T.T.; Hoang, V.T.; Forsyth, N.R.; et al. Stem Cell-Based Therapy for Human Diseases. Signal Transduct. Target. Ther. 2022, 7, 272. [Google Scholar] [CrossRef] [PubMed]
- Feisst, V.; Meidinger, S.; Locke, M.B. From Bench to Bedside: Use of Human Adipose-Derived Stem Cells. Stem Cells Cloning 2015, 8, 149. [Google Scholar] [CrossRef]
- Guan, Y.T.; Xie, Y.; Li, D.S.; Zhu, Y.Y.; Zhang, X.L.; Feng, Y.L.; Chen, Y.P.; Xu, L.J.; Liao, P.F.; Wang, G. Comparison of Biological Characteristics of Mesenchymal Stem Cells Derived from the Human Umbilical Cord and Decidua Parietalis. Mol. Med. Rep. 2019, 20, 633–639. [Google Scholar] [CrossRef]
- Fan, X.L.; Zhang, Y.; Li, X.; Fu, Q.L. Mechanisms Underlying the Protective Effects of Mesenchymal Stem Cell-Based Therapy. Cell. Mol. Life Sci. 2020, 77, 2771–2794. [Google Scholar] [CrossRef] [PubMed]
- Marzano, M.; Fosso, B.; Piancone, E.; Defazio, G.; Pesole, G.; De Robertis, M. Stem Cell Impairment at the Host-Microbiota Interface in Colorectal Cancer. Cancers 2021, 13, 996. [Google Scholar] [CrossRef]
- Chatre, L.; Verdonk, F.; Rocheteau, P.; Crochemore, C.; Chrétien, F.; Ricchetti, M. A Novel Paradigm Links Mitochondrial Dysfunction with Muscle Stem Cell Impairment in Sepsis. Biochim. Biophys. Acta-Mol. Basis Dis. 2017, 1863, 2546–2553. [Google Scholar] [CrossRef]
- Cipriani, P.; Guiducci, S.; Miniati, I.; Cinelli, M.; Urbani, S.; Marrelli, A.; Dolo, V.; Pavan, A.; Saccardi, R.; Tyndall, A.; et al. Impairment of Endothelial Cell Differentiation from Bone Marrow–Derived Mesenchymal Stem Cells: New Insight into the Pathogenesis of Systemic Sclerosis. Arthritis Rheum. 2007, 56, 1994–2004. [Google Scholar] [CrossRef]
- Oliva-Olivera, W.; Coin-Aragüez, L.; Lhamyani, S.; Clemente-Postigo, M.; Torres, J.A.; Bernal-Lopez, M.R.; El Bekay, R.; Tinahones, F.J. Adipogenic Impairment of Adipose Tissue–Derived Mesenchymal Stem Cells in Subjects with Metabolic Syndrome: Possible Protective Role of FGF2. J. Clin. Endocrinol. Metab. 2017, 102, 478–487. [Google Scholar] [CrossRef] [PubMed]
- Durand, N.; Zubair, A.C. Autologous versus Allogeneic Mesenchymal Stem Cell Therapy: The Pros and Cons. Surgery 2022, 171, 1440–1442. [Google Scholar] [CrossRef]
- Marycz, K.; Pielok, A.; Kornicka-Garbowska, K. Equine Hoof Stem Progenitor Cells (HPC) CD29 + /Nestin + /K15 +—A Novel Dermal/Epidermal Stem Cell Population with a Potential Critical Role for Laminitis Treatment. Stem Cell Rev. Rep. 2021, 1, 3. [Google Scholar] [CrossRef]
- Yang, Q.; Pinto, V.M.R.; Duan, W.; Paxton, E.E.; Dessauer, J.H.; Ryan, W.; Lopez, M.J. In Vitro Characteristics of Heterogeneous Equine Hoof Progenitor Cell Isolates. Front. Bioeng. Biotechnol. 2019, 7, 155. [Google Scholar] [CrossRef] [PubMed]
- Marycz, K.; Weiss, C.; Śmieszek, A.; Kornicka, K. Evaluation of Oxidative Stress and Mitophagy during Adipogenic Differentiation of Adipose-Derived Stem Cells Isolated from Equine Metabolic Syndrome (EMS) Horses. Stem Cells Int. 2018, 2018, 5340756. [Google Scholar] [CrossRef]
- Suagee, J.K.; Corl, B.A.; Geor, R.J. A Potential Role for Pro-Inflammatory Cytokines in the Development of Insulin Resistance in Horses. Animals 2012, 2, 243–260. [Google Scholar] [CrossRef] [PubMed]
- Katz, L.M.; Bailey, S.R. A Review of Recent Advances and Current Hypotheses on the Pathogenesis of Acute Laminitis. Equine Vet. J. 2012, 44, 752–761. [Google Scholar] [CrossRef]
- Engiles, J.B.; Galantino-Homer, H.L.; Boston, R.; McDonald, D.; Dishowitz, M.; Hankenson, K.D. Osteopathology in the Equine Distal Phalanx Associated with the Development and Progression of Laminitis. Vet. Pathol. 2015, 52, 928–944. [Google Scholar] [CrossRef] [PubMed]
- Mularczyk, M.; Bourebaba, N.; Marycz, K.; Bourebaba, L. Astaxanthin Carotenoid Modulates Oxidative Stress in Adipose-Derived Stromal Cells Isolated from Equine Metabolic Syndrome Affected Horses by Targeting Mitochondrial Biogenesis. Biomol. 2022, 12, 1039. [Google Scholar] [CrossRef]
- Suszynska, M.; Poniewierska-Baran, A.; Gunjal, P.; Ratajczak, J.; Marycz, K.; Kakar, S.S.; Kucia, M.; Ratajczak, M.Z. Expression of the Erythropoietin Receptor by Germline-Derived Cells—Further Support for a Potential Developmental Link between the Germline and Hematopoiesis. J. Ovarian Res. 2014, 7, 66. [Google Scholar] [CrossRef]
- Loftus, J.P.; Johnson, P.J.; Belknap, J.K.; Pettigrew, A.; Black, S.J. Leukocyte-Derived and Endogenous Matrix Metalloproteinases in the Lamellae of Horses with Naturally Acquired and Experimentally Induced Laminitis. Vet. Immunol. Immunopathol. 2009, 129, 221–230. [Google Scholar] [CrossRef]
- Belknap, J.K.; Faleiros, R.; Black, S.J.; Johnson, P.J.; Eades, S. The Laminar Leukocyte: From Sepsis to Endocrinopathic Models of Laminitis. J. Equine Vet. Sci. 2011, 10, 584–585. [Google Scholar] [CrossRef]
- Angelone, M.; Conti, V.; Biacca, C.; Battaglia, B.; Pecorari, L.; Piana, F.; Gnudi, G.; Leonardi, F.; Ramoni, R.; Basini, G.; et al. The Contribution of Adipose Tissue-Derived Mesenchymal Stem Cells and Platelet-Rich Plasma to the Treatment of Chronic Equine Laminitis: A Proof of Concept. Int. J. Mol. Sci. 2017, 18, 2122. [Google Scholar] [CrossRef]
- Metcalfe, S.M. Mesenchymal Stem Cells and Management of COVID-19 Pneumonia. Med. Drug Discov. 2020, 5, 100019. [Google Scholar] [CrossRef]
- Cofano, F.; Boido, M.; Monticelli, M.; Zenga, F.; Ducati, A.; Vercelli, A.; Garbossa, D. Mesenchymal Stem Cells for Spinal Cord Injury: Current Options Limitations and Future of Cell Therapy International Journal of Molecular Sciences. Int. J. Mol. Sci. 2019, 20, 2698. [Google Scholar] [CrossRef] [PubMed]
- Zhang, K.; Jiang, Y.; Wang, B.; Li, T.; Shang, D.; Zhang, X. Mesenchymal Stem Cell Therapy: A Potential Treatment Targeting Pathological Manifestations of Traumatic Brain Injury. Oxid. Med. Cell. Longev. 2022, 2022, 4645021. [Google Scholar] [CrossRef]
- Nasiri, N.; Hosseini, S.; Reihani-Sabet, F.; Baghaban Eslaminejad, M. Targeted Mesenchymal Stem Cell Therapy Equipped with a Cell-Tissue Nanomatchmaker Attenuates Osteoarthritis Progression. Sci. Rep. 2022, 12, 4015. [Google Scholar] [CrossRef] [PubMed]
- Boland, L.; Bitterlich, L.M.; Hogan, A.E.; Ankrum, J.A.; English, K. Translating MSC Therapy in the Age of Obesity. Front. Immunol. 2022, 13, 943333. [Google Scholar] [CrossRef] [PubMed]
- Belknap, J.K.; Geor, R.J. (Eds.) Equine Laminitis; John Wiley & Sons, Ltd.: Hoboken, NJ, USA, 2016. [Google Scholar]
- Yang, Q.; Lopez, M.J. The Equine Hoof: Laminitis, Progenitor (Stem) Cells, and Therapy Development. Toxicol. Pathol. 2021, 49, 1294–1307. [Google Scholar] [CrossRef]
- Freitas, N.P.P.; Silva, B.D.P.; Bezerra, M.R.L.; Pescini, L.Y.G.; Olinda, R.G.; de Salgueiro, C.C.M.; Nunes, J.F.; Martins, J.A.M.; Martins, S.G.N.L.T. Freeze-Dried Platelet-Rich Plasma and Stem Cell-Conditioned Medium for Therapeutic Use in Horses. J. Equine Vet. Sci. 2022, 121, 104189. [Google Scholar] [CrossRef]
- Golonka, P.; Kornicka-Garbowska, K.; Marycz, K. SIRT1+ Adipose Derived Mesenchymal Stromal Stem Cells (ASCs) Suspended in Alginate Hydrogel for the Treatment of Subchondral Bone Cyst in Medial Femoral Condyle in the Horse. Clinical Report. Stem Cell Rev. Rep. 2020, 16, 1328–1334. [Google Scholar] [CrossRef] [PubMed]
- Yang, Q. Equine Hoof Stratum Internum K14+CD105+ Progenitor Cells: Equine Hoof Stratum Internum K14+CD105+ Progenitor Cells: Culture, Characterization, and Model of Epithelial to Mesenchymal Culture, Characterization, and Model of Epithelial to Mesenchymal Transition Transition; Louisiana State University: Baton Rouge, LA, USA, 2019. [Google Scholar]
- Musina, R.A.; Bekchanova, E.S.; Sukhikh, G.T. Comparison of Mesenchymal Stem Cells Obtained from Different Human Tissues. Cell Technol. Biol. Med. 2005, 1, 89–94. [Google Scholar] [CrossRef]
- Roy, H.; Bhardwaj, S.; Ylä-Herttuala, S. Biology of Vascular Endothelial Growth Factors. FEBS Lett. 2006, 580, 2879–2887. [Google Scholar] [CrossRef]
- Elias, I.; Franckhauser, S.; Bosch, F. New Insights into Adipose Tissue VEGF-A Actions in the Control of Obesity and Insulin Resistance. Adipocyte 2013, 2, 109–112. [Google Scholar] [CrossRef]
- Hirschberg, R.M.; Plendl, J. Pododermal Angiogenesis and Angioadaptation in the Bovine Claw. Microsc. Res. Tech. 2005, 66, 145–155. [Google Scholar] [CrossRef]
- Loftus, J.P.; Black, S.J.; Pettigrew, A.; Abrahamsen, E.J.; Belknap, J.K. Early Laminar Events Involving Endothelial Activation in Horses with Black Walnut– Induced Laminitis. Am. J. Vet. Res. 2007, 68, 1205–1211. [Google Scholar] [CrossRef]
- Lv, B.; Li, F.; Fang, J.; Xu, L.; Sun, C.; Han, J.; Hua, T.; Zhang, Z.; Feng, Z.; Jiang, X. Hypoxia Inducible Factor 1α Promotes Survival of Mesenchymal Stem Cells under Hypoxia. Am. J. Transl. Res. 2017, 9, 1521. [Google Scholar]
- Xie, L.; Zeng, X.; Hu, J.; Chen, Q. Characterization of Nestin, a Selective Marker for Bone Marrow Derived Mesenchymal Stem Cells. Stem Cells Int. 2015, 2015, 762098. [Google Scholar] [CrossRef] [PubMed]
- Wislet-Gendebien, S.; Wautier, F.; Leprince, P.; Rogister, B. Astrocytic and Neuronal Fate of Mesenchymal Stem Cells Expressing Nestin. Brain Res. Bull. 2005, 68, 95–102. [Google Scholar] [CrossRef] [PubMed]
- Jones, E.; Viñuela-Fernandez, I.; Eager, R.A.; Delaney, A.; Anderson, H.; Patel, A.; Robertson, D.C.; Allchorne, A.; Sirinathsinghji, E.C.; Milne, E.M.; et al. Neuropathic Changes in Equine Laminitis Pain. Pain 2007, 132, 321–331. [Google Scholar] [CrossRef]
- Maleki, M.; Ghanbarvand, F.; Behvarz, M.R.; Ejtemaei, M.; Ghadirkhomi, E. Comparison of Mesenchymal Stem Cell Markers in Multiple Human Adult Stem Cells. Int. J. Stem Cells 2014, 7, 118–126. [Google Scholar] [CrossRef] [PubMed]
- Ries, C.; Egea, V.; Karow, M.; Kolb, H.; Jochum, M.; Neth, P. MMP-2, MT1-MMP, and TIMP-2 Are Essential for the Invasive Capacity of Human Mesenchymal Stem Cells: Differential Regulation by Inflammatory Cytokines. Blood 2007, 109, 4055–4063. [Google Scholar] [CrossRef] [PubMed]
- Quintero-fabián, S.; Arreola, R.; Becerril-villanueva, E.; Ramírez-camacho, M.A.; Alvarez-sánchez, M.E. Role of Matrix Metalloproteinases in Angiogenesis and Cancer. Front. Oncol. 2019, 9, 1370. [Google Scholar] [CrossRef]
- Pollitt, C.C. Equine Laminitis: Increased Transcription of Matrix Metalloproteinase-2 (MMP-2) Occurs during the Developmental Phase. Equine Vet. J. 2004, 36, 221–225. [Google Scholar]
- Fu, X.; Halim, A.; Tian, B.; Luo, Q.; Song, G. MT1-MMP Downregulation via the PI3K/Akt Signaling Pathway Is Required for the Mechanical Stretching-Inhibited Invasion of Bone-Marrow-Derived Mesenchymal Stem Cells. J. Cell. Physiol. 2019, 234, 14133–14144. [Google Scholar] [CrossRef]
- Song, Y.H.; Shon, S.H.; Shan, M.; Stroock, A.D.; Fischbach, C. Adipose-Derived Stem Cells Increase Angiogenesis through Matrix Metalloproteinase-Dependent Collagen Remodeling. Integr. Biol. 2016, 8, 205–215. [Google Scholar] [CrossRef]
- Hsu, Y.C.; Wu, Y.T.; Yu, T.H.; Wei, Y.H. Mitochondria in Mesenchymal Stem Cell Biology and Cell Therapy: From Cellular Differentiation to Mitochondrial Transfer. Semin. Cell Dev. Biol. 2016, 52, 119–131. [Google Scholar] [CrossRef] [PubMed]
- Cassidy-Stone, A.; Chipuk, J.E.; Ingerman, E.; Song, C.; Yoo, C.; Kuwana, T.; Kurth, M.J.; Shaw, J.T.; Hinshaw, J.E.; Green, D.R.; et al. Chemical Inhibition of the Mitochondrial Division Dynamin Reveals Its Role in Bax/Bak-Dependent Mitochondrial Outer Membrane Permeabilization. Dev. Cell 2008, 14, 193–204. [Google Scholar] [CrossRef]
- Tanaka, A.; Youle, R.J. A Chemical Inhibitor of DRP1 Uncouples Mitochondrial Fission and Apoptosis. Mol. Cell 2008, 29, 409–410. [Google Scholar] [CrossRef] [PubMed]
- Zhong, Q.; Kowluru, R.A. Diabetic Retinopathy and Damage to Mitochondrial Structure and Transport Machinery. Investig. Ophthalmol. Vis. Sci. 2011, 52, 8739–8746. [Google Scholar] [CrossRef] [PubMed]
- Li, M.; Wang, L.; Wang, Y.; Zhang, S.; Zhou, G.; Lieshout, R.; Ma, B.; Liu, J.; Qu, C.; Verstegen, M.M.A.; et al. Mitochondrial Fusion Via OPA1 and MFN1 Supports Liver Tumor Cell Metabolism and Growth. Cells 2020, 9, 121. [Google Scholar] [CrossRef]
- Eiyama, A.; Okamoto, K. PINK1/Parkin-Mediated Mitophagy in Mammalian Cells. Curr. Opin. Cell Biol. 2015, 33, 95–101. [Google Scholar] [CrossRef]
- Safiulina, D.; Kuum, M.; Choubey, V.; Hickey, M.A.; Kaasik, A. Mitochondrial Transport Proteins RHOT1 and RHOT2 Serve as Docking Sites for PRKN-Mediated Mitophagy. Autophagy 2019, 15, 930–931. [Google Scholar] [CrossRef] [PubMed]
- Marycz, K.; Alicka, M.; Major, P.; Wysocki, M. Adipose-Derived Mesenchymal Stem Cells Isolated from Patients with Type 2 Diabetes Show Reduced “Stemness” through an Altered Secretome Profile, Impaired Anti-Oxidative Protection, and Mitochondrial Dynamics Deterioration. J. Clin. Med. 2019, 8, 765. [Google Scholar] [CrossRef]
- Alicka, M.; Kornicka-Garbowska, K.; Kucharczyk, K.; Kȩpska, M.; Rocken, M.; Marycz, K. Age-Dependent Impairment of Adipose-Derived Stem Cells Isolated from Horses. Stem Cell Res. Ther. 2020, 11, 4. [Google Scholar] [CrossRef] [PubMed]
- Di Nottia, M.; Marchese, M.; Verrigni, D.; Mutti, C.D.; Torraco, A.; Oliva, R.; Fernandez-Vizarra, E.; Morani, F.; Trani, G.; Rizza, T.; et al. A Homozygous MRPL24 Mutation Causes a Complex Movement Disorder and Affects the Mitoribosome Assembly. Neurobiol. Dis. 2020, 141, 104880. [Google Scholar] [CrossRef]
- Bourebaba, N.; Kornicka-Garbowska, K.; Marycz, K.; Bourebaba, L.; Kowalczuk, A. Laurus Nobilis Ethanolic Extract Attenuates Hyperglycemia and Hyperinsulinemia-Induced Insulin Resistance in HepG2 Cell Line through the Reduction of Oxidative Stress and Improvement of Mitochondrial Biogenesis—Possible Implication in Pharmacotherapy. Mitochondrion 2021, 59, 190–213. [Google Scholar] [CrossRef]
- Yu, P.; Zhang, J.; Yu, S.; Luo, Z.; Hua, F.; Yuan, L.; Zhou, Z.; Liu, Q.; Du, X.; Chen, S.; et al. Protective Effect of Sevoflurane Postconditioning against Cardiac Ischemia/Reperfusion Injury via Ameliorating Mitochondrial Impairment, Oxidative Stress and Rescuing Autophagic Clearance. PLoS ONE 2015, 10, e0134666. [Google Scholar] [CrossRef]
- Ragni, E.; Perucca Orfei, C.; De Luca, P.; Mondadori, C.; Viganò, M.; Colombini, A.; De Girolamo, L. Inflammatory Priming Enhances Mesenchymal Stromal Cell Secretome Potential as a Clinical Product for Regenerative Medicine Approaches through Secreted Factors and EV-MiRNAs: The Example of Joint Disease. Stem Cell Res. Ther. 2020, 11, 165. [Google Scholar] [CrossRef]
- Wang, Q.; Yang, Q.; Wang, Z.; Tong, H.; Ma, L.; Zhang, Y.; Shan, F.; Meng, Y.; Yuan, Z. Comparative Analysis of Human Mesenchymal Stem Cells from Fetal-Bone Marrow, Adipose Tissue, and Warton’s Jelly as Sources of Cell Immunomodulatory Therapy. Hum. Vaccines Immunother. 2016, 12, 85–96. [Google Scholar] [CrossRef]
- Sivanathan, K.N.; Rojas-Canales, D.; Grey, S.T.; Gronthos, S.; Coates, P.T. Transcriptome Profiling of IL-17A Preactivated Mesenchymal Stem Cells: A Comparative Study to Unmodified and IFN- γ Modified Mesenchymal Stem Cells. Stem Cells Int. 2017, 2017, 1025820. [Google Scholar] [CrossRef]
- Prasanna, S.J.; Gopalakrishnan, D.; Shankar, S.R.; Vasandan, A.B. Pro-Inflammatory Cytokines, IFNγ and TNFα, Influence Immune Properties of Human Bone Marrow and Wharton Jelly Mesenchymal Stem Cells Differentially. PLoS ONE 2010, 5, e9016. [Google Scholar] [CrossRef]
- Miceli, V.; Bulati, M.; Iannolo, G.; Zito, G.; Gallo, A.; Conaldi, P.G. Therapeutic Properties of Mesenchymal Stromal/Stem Cells: The Need of Cell Priming for Cell-Free Therapies in Regenerative Medicine. Int. J. Mol. Sci. 2021, 22, 763. [Google Scholar] [CrossRef] [PubMed]
- Fan, H.; Zhao, G.; Liu, L.; Liu, F.; Gong, W.; Liu, X.; Yang, L.; Wang, J.; Hou, Y. Pre-Treatment with IL-1β Enhances the Efficacy of MSC Transplantation in DSS-Induced Colitis. Cell. Mol. Immunol. 2012, 9, 473–481. [Google Scholar] [CrossRef]
- Yang, A.; Lu, Y.; Xing, J.; Li, Z.; Yin, X.; Dou, C.; Dong, S.; Luo, F.; Xie, Z.; Hou, T.; et al. IL-8 Enhances Therapeutic Effects of BMSCs on Bone Regeneration via CXCR2-Mediated PI3k/Akt Signaling Pathway. Cell. Physiol. Biochem. 2018, 48, 361–370. [Google Scholar] [CrossRef] [PubMed]
- Pricola, K.L.; Kuhn, N.Z.; Haleem-Smith, H.; Song, Y.; Tuan, R.S. Interleukin-6 Maintains Bone Marrow-Derived Mesenchymal Stem Cell Stemness by an ERK1/2-Dependent Mechanism. J. Cell. Biochem. 2009, 108, 577–588. [Google Scholar] [CrossRef] [PubMed]
- Ya Loke, X.; M Imran, S.A.; Jun Tye, G.; Safwani Wan Kamarul Zaman, W.; Nordin, F.; De Falco, E.; Pelagalli, A.; Perteghella, S.; Kebangsaan Malaysia, U.; Yaacob Latiff, J.; et al. Immunomodulation and Regenerative Capacity of MSCs for Long-COVID. Int. J. Mol. Sci. 2021, 22, 12421. [Google Scholar] [CrossRef] [PubMed]
- Valle-Prieto, A.; Conget, P.A. Human Mesenchymal Stem Cells Efficiently Manage Oxidative Stress. Stem Cells Dev. 2010, 19, 1885–1893. [Google Scholar] [CrossRef]
- Fukui, M.; Zhu, B.T. Mitochondrial Superoxide Dismutase SOD2, but Not Cytosolic SOD1, Plays a Critical Role in Protection against Glutamate-Induced Oxidative Stress and Cell Death in HT22 Neuronal Cells. Free Radic. Biol. Med. 2010, 48, 821–830. [Google Scholar] [CrossRef]
- Biswas, S.K. Does the Interdependence between Oxidative Stress and Inflammation Explain the Antioxidant Paradox? Oxid. Med. Cell. Longev. 2016, 2016, 5698931. [Google Scholar] [CrossRef]
- Laskoski, L.M.; Dittrich, R.L.; Valadão, C.A.A.; Brum, J.S.; Brandão, Y.; Brito, H.F.V.; de Sousa, R.S. Oxidative Stress in Hoof Laminar Tissue of Horses with Lethal Gastrointestinal Diseases. Vet. Immunol. Immunopathol. 2016, 171, 66–72. [Google Scholar] [CrossRef]
- Chen, K.C.; Chen, C.R.; Chen, C.Y.; Peng, C.C.; Peng, R.Y. Bicalutamide Exhibits Potential to Damage Kidney via Destroying Complex i and Affecting Mitochondrial Dynamics. J. Clin. Med. 2022, 11, 135. [Google Scholar] [CrossRef]
- Buhrmann, C.; Mobasheri, A.; Matis, U.; Shakibaei, M. Curcumin Mediated Suppression of Nuclear Factor-ΚB Promotes Chondrogenic Differentiation of Mesenchymal Stem Cells in a High-Density Co-Culture Microenvironment. Arthritis Res. Ther. 2010, 12, R127. [Google Scholar] [CrossRef]
- Shakibaei, M.; Schulze-Tanzil, G.; John, T.; Mobasheri, A. Curcumin Protects Human Chondrocytes from IL-1β-Induced Inhibition of Collagen Type II and Β1-Integrin Expression and Activation of Caspase-3: An Immunomorphological Study. Ann. Anat.-Anat. Anz. 2005, 187, 487–497. [Google Scholar] [CrossRef]
- Chang, J.; Liu, F.; Lee, M.; Wu, B.; Ting, K.; Zara, J.N.; Soo, C.; Al Hezaimi, K.; Zou, W.; Chen, X.; et al. NF-ΚB Inhibits Osteogenic Differentiation of Mesenchymal Stem Cells by Promoting β-Catenin Degradation. Proc. Natl. Acad. Sci. USA 2013, 110, 9469–9474. [Google Scholar] [CrossRef]
- Collino, F.; Bruno, S.; Deregibus, M.C.; Tetta, C.; Camussi, G. MicroRNAs and Mesenchymal Stem Cells. Vitam. Horm. 2011, 87, 291–320. [Google Scholar] [CrossRef]
- Mei, Y.; Bian, C.; Li, J.; Du, Z.; Zhou, H.; Yang, Z.; Zhao, R.C.H. MiR-21 Modulates the ERK-MAPK Signaling Pathway by Regulating SPRY2 Expression during Human Mesenchymal Stem Cell Differentiation. J. Cell. Biochem. 2013, 114, 1374–1384. [Google Scholar] [CrossRef]
- Trohatou, O.; Zagoura, D.; Bitsika, V.; Pappa, K.I.; Antsaklis, A.; Anagnou, N.P.; Roubelakis, M.G. Sox2 Suppression by MiR-21 Governs Human Mesenchymal Stem Cell Properties. Stem Cells Transl. Med. 2014, 3, 54–68. [Google Scholar] [CrossRef] [PubMed]
- Laine, S.K.; Alm, J.J.; Virtanen, S.P.; Aro, H.T.; Laitala-Leinonen, T.K. MicroRNAs MiR-96, MiR-124, and MiR-199a Regulate Gene Expression in Human Bone Marrow-Derived Mesenchymal Stem Cells. J. Cell. Biochem. 2012, 113, 2687–2695. [Google Scholar] [CrossRef]
- Huang, K.; Fu, J.; Zhou, W.; Li, W.; Dong, S.; Yu, S.; Hu, Z.; Wang, H.; Xie, Z. MicroRNA-125b Regulates Osteogenic Differentiation of Mesenchymal Stem Cells by Targeting Cbfβ in Vitro. Biochimie 2014, 102, 47–55. [Google Scholar] [CrossRef]
- Clark, E.A.; Kalomoiris, S.; Nolta, J.A.; Fierro, F.A. Concise Review: MicroRNA Function in Multipotent Mesenchymal Stromal Cells. Stem Cells 2014, 32, 1074–1082. [Google Scholar] [CrossRef] [PubMed]
- Baglio, S.R.; Rooijers, K.; Koppers-Lalic, D.; Verweij, F.J.; Pérez Lanzón, M.; Zini, N.; Naaijkens, B.; Perut, F.; Niessen, H.W.M.; Baldini, N.; et al. Human Bone Marrow- and Adipose-Mesenchymal Stem Cells Secrete Exosomes Enriched in Distinctive MiRNA and TRNA Species. Stem Cell Res. Ther. 2015, 6, 127. [Google Scholar] [CrossRef] [PubMed]
- Wu, Y.; Zhang, Z.; Li, J.; Zhong, H.; Yuan, R.; Deng, Z.; Wu, X. Mechanism of Adipose-Derived Mesenchymal Stem Cell-Derived Extracellular Vesicles Carrying MiR-21-5p in Hyperoxia-Induced Lung Injury. Stem Cell Rev. Rep. 2022, 18, 1007–1024. [Google Scholar] [CrossRef]
- Wu, T.; Liu, Y.; Fan, Z.; Xu, J.; Jin, L.; Gao, Z.; Wu, Z.; Hu, L.; Wang, J.; Zhang, C.; et al. MiR-21 Modulates the Immunoregulatory Function of Bone Marrow Mesenchymal Stem Cells through the PTEN/Akt/TGF-Β1 Pathway. Stem Cells 2015, 33, 3281–3290. [Google Scholar] [CrossRef]
- Sun, Y.; Xu, L.; Huang, S.; Hou, Y.; Liu, Y.; Chan, K.M.; Pan, X.H.; Li, G. Mir-21 Overexpressing Mesenchymal Stem Cells Accelerate Fracture Healing in a Rat Closed Femur Fracture Model. Biomed Res. Int. 2015, 2015, 412327. [Google Scholar] [CrossRef]
- Wang, J.; Huang, R.; Xu, Q.; Zheng, G.; Qiu, G.; Ge, M.; Shu, Q.; Xu, J. Mesenchymal Stem Cell-Derived Extracellular Vesicles Alleviate Acute Lung Injury Via Transfer of MiR-27a-3p. Crit. Care Med. 2020, 48, e599–e610. [Google Scholar] [CrossRef]
- You, L.; Pan, L.; Chen, L.; Gu, W.; Chen, J. MiR-27a Is Essential for the Shift from Osteogenic Differentiation to Adipogenic Differentiation of Mesenchymal Stem Cells in Postmenopausal Osteoporosis. Cell. Physiol. Biochem. 2016, 39, 253–265. [Google Scholar] [CrossRef]
- Ye, J.; Gimble, J.M. Regulation of Stem Cell Differentiation in Adipose Tissue by Chronic Inflammation. Clin. Exp. Pharmacol. Physiol. 2011, 38, 872–878. [Google Scholar] [CrossRef] [PubMed]
- Deun Jung, Y.; Park, S.K.; Kang, D.; Hwang, S.; Kang, M.H.; Hong, S.W.; Moon, J.H.; Shin, J.S.; Jin, D.H.; You, D.; et al. Epigenetic Regulation of MiR-29a/MiR-30c/DNMT3A Axis Controls SOD2 and Mitochondrial Oxidative Stress in Human Mesenchymal Stem Cells. Redox Biol. 2020, 37, 101716. [Google Scholar] [CrossRef] [PubMed]
- Huang, Y.; Zhu, N.; Chen, T.; Chen, W.; Kong, J.; Zheng, W.; Ruan, J. Triptolide Suppressed the Microglia Activation to Improve Spinal Cord Injury Through MiR-96/IKKβ/NF-ΚB Pathway. Spine 2019, 44, E707–E714. [Google Scholar] [CrossRef] [PubMed]
- Bin Zhan, J.; Zheng, J.; Zeng, L.Y.; Fu, Z.; Huang, Q.J.; Wei, X.; Zeng, M. Downregulation of MiR-96-5p Inhibits MTOR/NF-Κb Signaling Pathway via DEPTOR in Allergic Rhinitis. Int. Arch. Allergy Immunol. 2021, 182, 210–219. [Google Scholar] [CrossRef]
- Wu, P.; Cao, Y.; Zhao, R.; Wang, Y. MiR-96-5p Regulates Wound Healing by Targeting BNIP3/FAK Pathway. J. Cell. Biochem. 2019, 120, 12904–12911. [Google Scholar] [CrossRef]
- Uwiera, R.R.E.; Egyedy, A.F.; Ametaj, B.N. Laminitis: A Multisystems Veterinary Perspective with Omics Technologies. In Periparturient Diseases of Dairy Cows; Springer: Cham, Switzerland, 2017; pp. 185–200. [Google Scholar] [CrossRef]
- Mobasheri, A.; Critchlow, K.; Clegg, P.D.; Carter, S.D.; Canessa, C.M. Chronic Equine Laminitis Is Characterised by Loss of GLUT1, GLUT4 and ENaC Positive Laminar Keratinocytes. Equine Vet. J. 2004, 36, 248–254. [Google Scholar] [CrossRef] [PubMed]
- Zhang, L.; Stokes, N.; Polak, L.; Fuchs, E. Specific MicroRNAs Are Preferentially Expressed by Skin Stem Cells to Balance Self-Renewal and Early Lineage Commitment. Cell Stem Cell 2011, 8, 294–308. [Google Scholar] [CrossRef] [PubMed]
- Boissart, C.; Nissan, X.; Giraud-Triboult, K.; Peschanski, M.; Benchoua, A. MiR-125 Potentiates Early Neural Specification of Human Embryonic Stem Cells. Development 2012, 139, 1247–1257. [Google Scholar] [CrossRef]
- Takeda, Y.S.; Xu, Q. Neuronal Differentiation of Human Mesenchymal Stem Cells Using Exosomes Derived from Differentiating Neuronal Cells. PLoS ONE 2015, 10, e0135111. [Google Scholar] [CrossRef]
- Shi, L.; Feng, L.; Liu, Y.; Duan, J.Q.; Lin, W.P.; Zhang, J.F.; Li, G. MicroRNA-218 Promotes Osteogenic Differentiation of Mesenchymal Stem Cells and Accelerates Bone Fracture Healing. Calcif. Tissue Int. 2018, 103, 227–236. [Google Scholar] [CrossRef] [PubMed]
- Chen, S.; Xu, Z.; Shao, J.; Fu, P.; Wu, H. MicroRNA-218 Promotes Early Chondrogenesis of Mesenchymal Stem Cells and Inhibits Later Chondrocyte Maturation. BMC Biotechnol. 2019, 19, 6. [Google Scholar] [CrossRef]
- Sun, Y.; Peng, R.; Peng, H.; Liu, H.; Wen, L.; Wu, T.; Yi, H.; Li, A.; Zhang, Z. MiR-451 Suppresses the NF-KappaB-Mediated Proinflammatory Molecules Expression through Inhibiting LMP7 in Diabetic Nephropathy. Mol. Cell. Endocrinol. 2016, 433, 75–86. [Google Scholar] [CrossRef]
- Sun, X.; Zhang, H. MiR-451 Elevation Relieves Inflammatory Pain by Suppressing Microglial Activation-Evoked Inflammatory Response via Targeting TLR4. Cell Tissue Res. 2018, 374, 487–495. [Google Scholar] [CrossRef]
- Maredziak, M.; Marycz, K.; Tomaszewski, K.A.; Kornicka, K.; Henry, B.M. The Influence of Aging on the Regenerative Potential of Human Adipose Derived Mesenchymal Stem Cells. Stem Cells Int. 2016, 2016, 2152435. [Google Scholar] [CrossRef]
- Smieszek, A.; Marcinkowska, K.; Pielok, A.; Sikora, M.; Valihrach, L.; Carnevale, E.; Marycz, K. Obesity Affects the Proliferative Potential of Equine Endometrial Progenitor Cells and Modulates Their Molecular Phenotype Associated with Mitochondrial Metabolism. Cells 2022, 11, 1437. [Google Scholar] [CrossRef]
- Chomzynski, P. Single-Step Method of RNA Isolation by Acid Guanidinium Thiocyanate–Phenol–Chloroform Extraction. Anal. Biochem. 1987, 162, 156–159. [Google Scholar] [CrossRef] [PubMed]









Disclaimer/Publisher’s Note: The statements, opinions and data contained in all publications are solely those of the individual author(s) and contributor(s) and not of MDPI and/or the editor(s). MDPI and/or the editor(s) disclaim responsibility for any injury to people or property resulting from any ideas, methods, instructions or products referred to in the content. |
© 2023 by the authors. Licensee MDPI, Basel, Switzerland. This article is an open access article distributed under the terms and conditions of the Creative Commons Attribution (CC BY) license (https://creativecommons.org/licenses/by/4.0/).
Share and Cite
Pielok, A.; Kępska, M.; Steczkiewicz, Z.; Grobosz, S.; Bourebaba, L.; Marycz, K. Equine Hoof Progenitor Cells Display Increased Mitochondrial Metabolism and Adaptive Potential to a Highly Pro-Inflammatory Microenvironment. Int. J. Mol. Sci. 2023, 24, 11446. https://doi.org/10.3390/ijms241411446
Pielok A, Kępska M, Steczkiewicz Z, Grobosz S, Bourebaba L, Marycz K. Equine Hoof Progenitor Cells Display Increased Mitochondrial Metabolism and Adaptive Potential to a Highly Pro-Inflammatory Microenvironment. International Journal of Molecular Sciences. 2023; 24(14):11446. https://doi.org/10.3390/ijms241411446
Chicago/Turabian StylePielok, Ariadna, Martyna Kępska, Zofia Steczkiewicz, Sylwia Grobosz, Lynda Bourebaba, and Krzysztof Marycz. 2023. "Equine Hoof Progenitor Cells Display Increased Mitochondrial Metabolism and Adaptive Potential to a Highly Pro-Inflammatory Microenvironment" International Journal of Molecular Sciences 24, no. 14: 11446. https://doi.org/10.3390/ijms241411446
APA StylePielok, A., Kępska, M., Steczkiewicz, Z., Grobosz, S., Bourebaba, L., & Marycz, K. (2023). Equine Hoof Progenitor Cells Display Increased Mitochondrial Metabolism and Adaptive Potential to a Highly Pro-Inflammatory Microenvironment. International Journal of Molecular Sciences, 24(14), 11446. https://doi.org/10.3390/ijms241411446

