Differential Pattern of Cell Death and ROS Production in Human Airway Epithelial Cells Exposed to Quinones Combined with Heated-PM2.5 and/or Asian Sand Dust
Abstract
1. Introduction
2. Results
2.1. The Combined Effect of Quinone and h-PM2.5 and/or h-ASD on the WST-1 Reduction Assay of Bronchial Epithelial Cells
2.2. The Combined Effect of Quinone and h-PM2.5 and/or h-ASD on Apoptosis and Necrosis of Airway Epithelial Cells
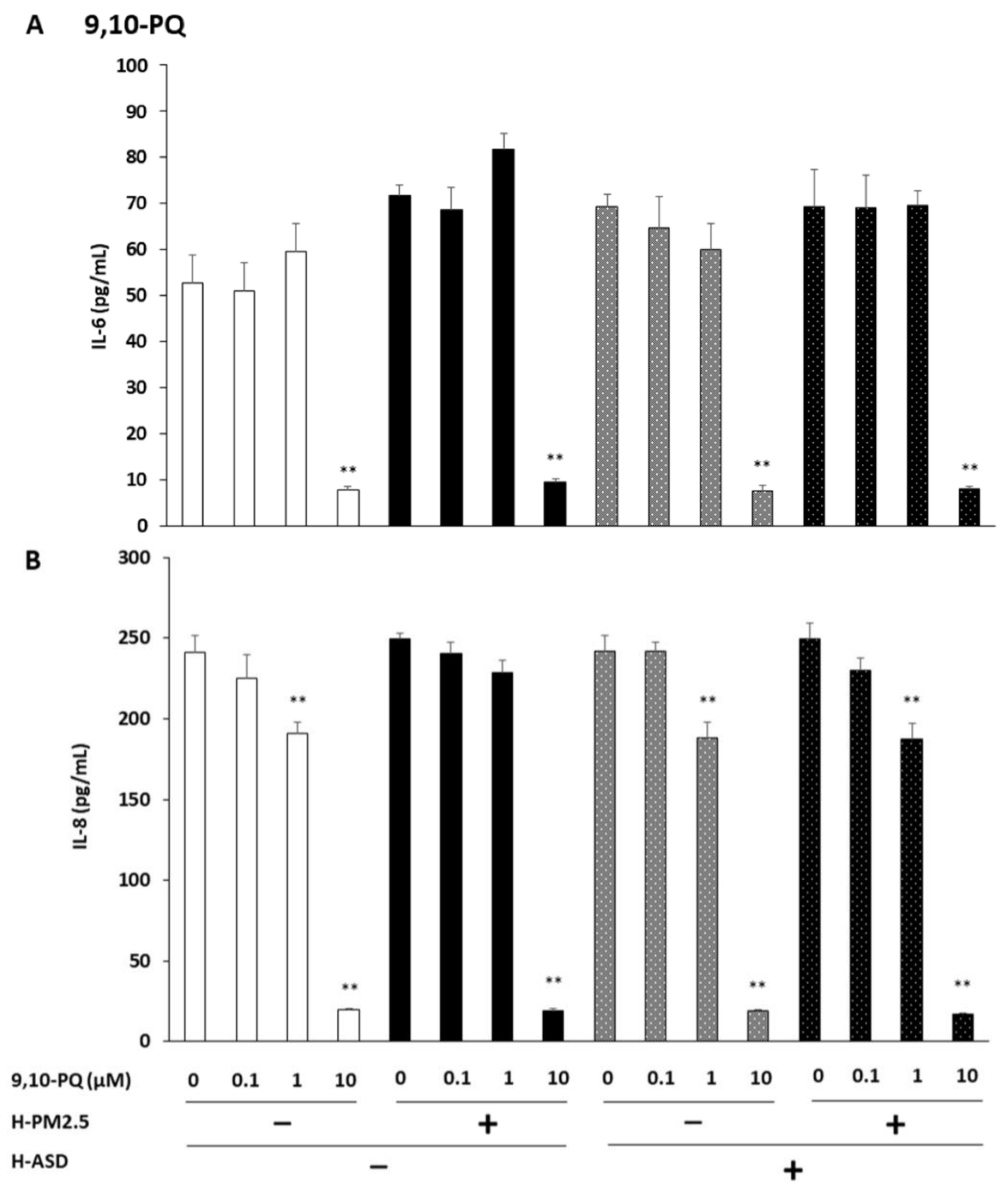
2.3. The Combined Effect of 9,10-PQ and h-PM2.5 and/or h-ASD on Cytokine Production
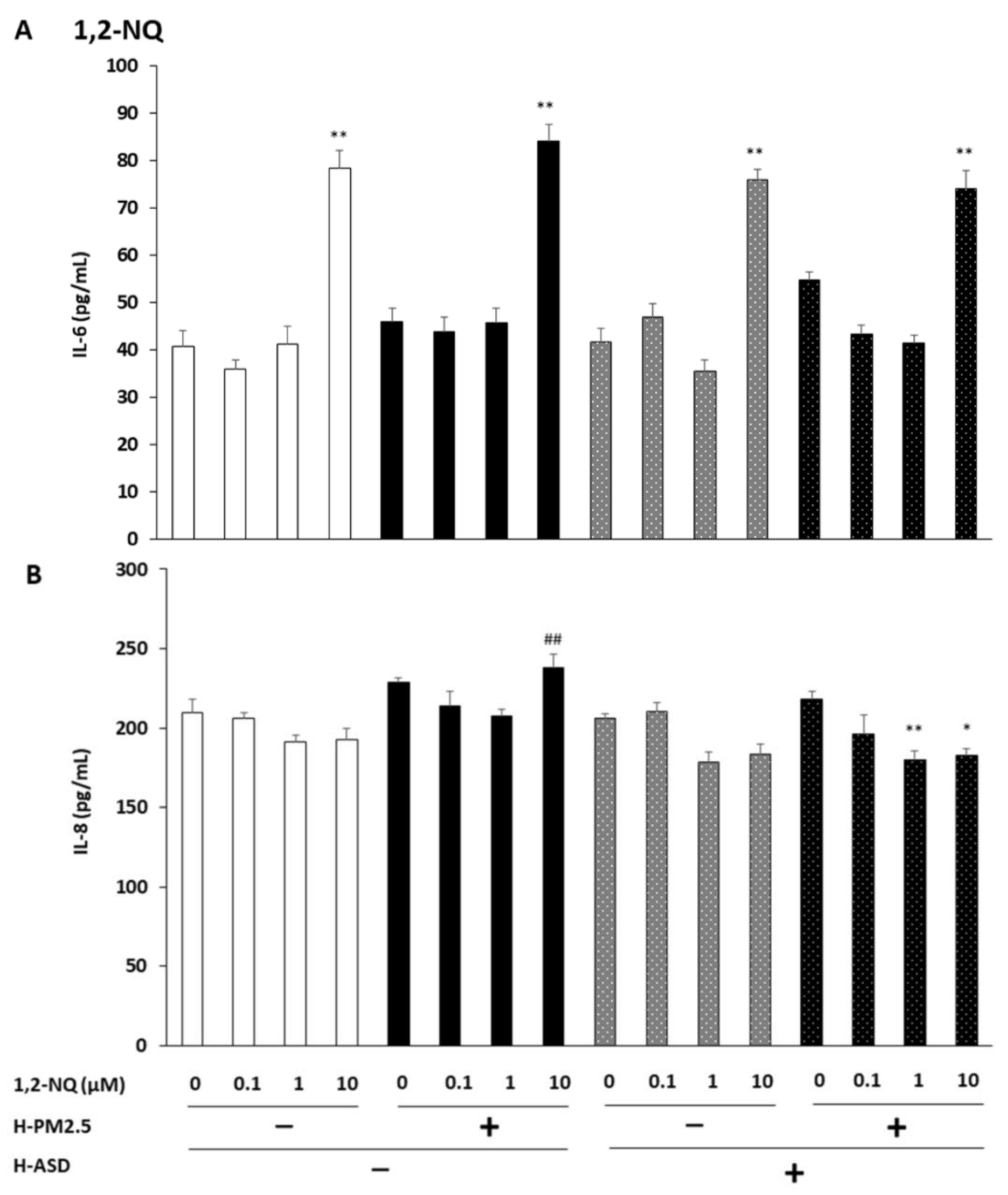
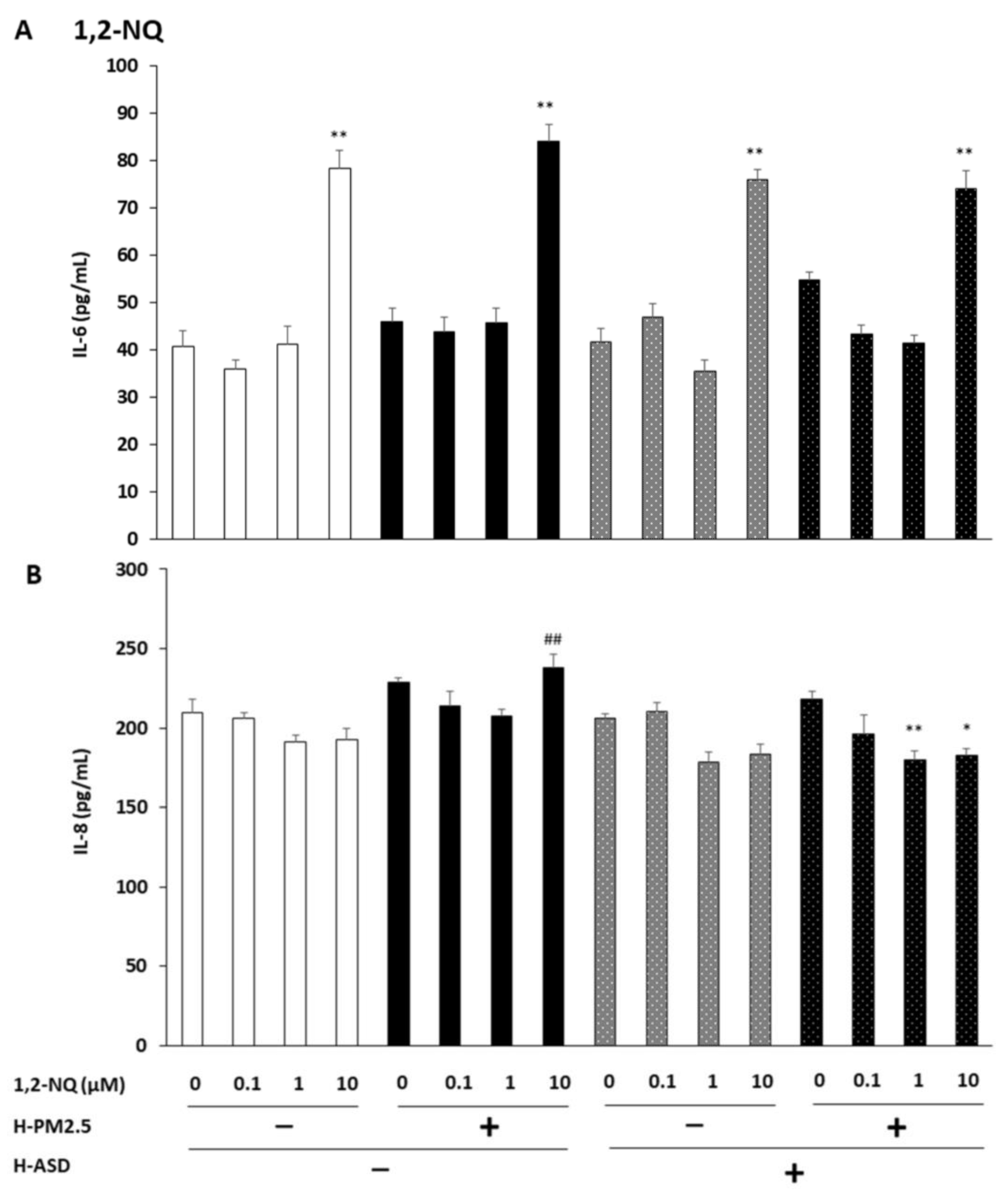
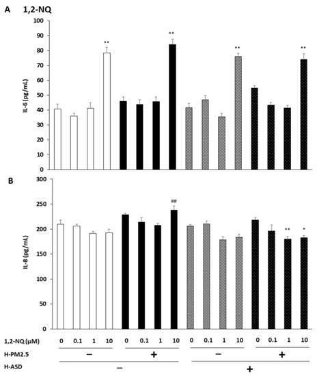
2.4. The Combined Effect of 1,2-NQ and h-PM2.5 and/or h-ASD on Cytokine Production
2.5. The Combined Effect of 9,10-PQ and h-PM2.5 and/or h-ASD on ROS Production
2.6. The Combined Effect of 1,2-NQ and h-PM2.5 and/or h-ASD on ROS Production
3. Discussion
4. Materials and Methods
4.1. Cell Culture
4.2. Preparation of Heated-PM2.5 and Heated-ASD
4.3. Experimental Protocol
4.4. WST-1 Reduction Assay
4.5. Cell Death Detection via Apoptosis and Necrosis
4.6. Quantitation of Inflammatory Proteins in the Culture Supernatant
4.7. Quantification of ROS Generation
4.8. Statistical Analysis
Supplementary Materials
Author Contributions
Funding
Institutional Review Board Statement
Informed Consent Statement
Data Availability Statement
Acknowledgments
Conflicts of Interest
References
- Alghamdi, M.A.; Shamy, M.; Redal, M.A.; Khoder, M.; Awad, A.H.; Elserougy, S. Microorganisms associated particulate matter: A preliminary study. Sci. Total. Environ. 2014, 479–480, 109–116. [Google Scholar] [CrossRef] [PubMed]
- Cheng, Z.; Luo, L.; Wang, S.; Wang, Y.; Sharma, S.; Shimadera, H.; Wang, X.; Bressi, M.; de Miranda, R.M.; Jiang, J.; et al. Status and characteristics of ambient PM2.5 pollution in global megacities. Environ. Int. 2016, 89–90, 212–221. [Google Scholar] [CrossRef] [PubMed]
- Guastadisegni, C.; Kelly, F.J.; Cassee, F.R.; Gerlofs-Nijland, M.E.; Janssen, N.A.; Pozzi, R.; Brunekreef, B.; Sandström, T.; Mudway, I. Determinants of the Proinflammatory Action of Ambient Particulate Matter in Immortalized Murine Macrophages. Environ. Health Perspect. 2010, 118, 1728–1734. [Google Scholar] [CrossRef] [PubMed]
- Wang, Y.; Zu, Y.; Huang, L.; Zhang, H.; Wang, C.; Hu, J. Associations between daily outpatient visits for respiratory diseases and ambient fine particulate matter and ozone levels in Shanghai, China. Environ. Pollut. 2018, 240, 754–763. [Google Scholar] [CrossRef] [PubMed]
- Zhou, M.; He, G.; Liu, Y.; Yin, P.; Li, Y.; Kan, H.; Fan, M.; Xue, A.; Fan, M. The associations between ambient air pollution and adult respiratory mortality in 32 major Chinese cities, 2006–2010. Environ. Res. 2015, 137, 278–286. [Google Scholar] [CrossRef] [PubMed]
- Lyu, Y.; Zhou, J.; Li, J.; Li, J.; Hu, G.; Wang, L.; Wang, L.; Han, J.; Wang, D. Alterations of IL-1beta and TNF-alpha expression in RAW264.7 cell damage induced by two samples of PM2.5 with different compositions. Sci. Prog. 2022, 105, 368504221113709. [Google Scholar] [CrossRef]
- Sumi, D.; Kumagai, Y. Chemical biology of 1,2-naphthoquinone, a novel air pollutant that affects signal transduction pathways. YAKUGAKU ZASSHI 2007, 127, 1949–1956. [Google Scholar] [CrossRef]
- Bolton, J.L.; Dunlap, T. Formation and Biological Targets of Quinones: Cytotoxic versus Cytoprotective Effects. Chem. Res. Toxicol. 2017, 30, 13–37. [Google Scholar] [CrossRef]
- Kepley, C.L.; Lauer, F.T.; Oliver, J.M.; Burchiel, S.W. Environmental polycyclic aromatic hydrocarbons, benzo(a) pyrene (BaP) and BaP-quinones, enhance IgE-mediated histamine release and IL-4 production in human basophils. Clin. Immunol. 2003, 107, 10–19. [Google Scholar] [CrossRef]
- Valderrama, J.A.; Leiva, H.; Rodríguez, J.A.; Theoduloz, C.; Schmeda-Hirshmann, G. Studies on quinones. Part 43: Synthesis and cytotoxic evaluation of polyoxyethylene-containing 1,4-naphthoquinones. Bioorg. Med. Chem. 2008, 16, 3687–3693. [Google Scholar] [CrossRef]
- Shinyashiki, M.; Eiguren-Fernandez, A.; Schmitz, D.A.; Di Stefano, E.; Li, N.; Linak, W.P.; Cho, S.-H.; Froines, J.R.; Cho, A.K. Electrophilic and redox properties of diesel exhaust particles. Environ. Res. 2009, 109, 239–244. [Google Scholar] [CrossRef] [PubMed]
- Hiyoshi, K.; Takano, H.; Inoue, K.-I.; Ichinose, T.; Yanagisawa, R.; Tomura, S.; Cho, A.K.; Froines, J.R.; Kumagai, Y. Effects of a single intratracheal administration of phenanthraquinone on murine lung. J. Appl. Toxicol. 2005, 25, 47–51. [Google Scholar] [CrossRef] [PubMed]
- Inoue, K.; Takano, H.; Hiyoshi, K.; Ichinose, T.; Sadakane, K.; Yanagisawa, R.; Tomura, S.; Kumagai, Y. Naphthoquinone enhances antigen-related airway inflammation in mice. Eur. Respir. J. 2007, 29, 259–267. [Google Scholar] [CrossRef]
- Inoue, K.-I.; Takano, H.; Ichinose, T.; Tomura, S.; Yanagisawa, R.; Sakurai, M.; Sumi, D.; Cho, A.K.; Hiyoshi, K.; Kumagai, Y. Effects of naphthoquinone on airway responsiveness in the presence or absence of antigen in mice. Arch. Toxicol. 2007, 81, 575–581. [Google Scholar] [CrossRef] [PubMed]
- Mueller, A.; Ulrich, N.; Hollmann, J.; Sanchez, C.E.Z.; Rolle-Kampczyk, U.E.; von Bergen, M. Characterization of a multianalyte GC-MS/MS procedure for detecting and quantifying polycyclic aromatic hydrocarbons (PAHs) and PAH derivatives from air particulate matter for an improved risk assessment. Environ. Pollut. 2019, 255 Pt 2, 112967. [Google Scholar] [CrossRef] [PubMed]
- Connellan, S.J. Lung diseases associated with hydrocarbon exposure. Respir. Med. 2017, 126, 46–51. [Google Scholar] [CrossRef]
- Xu, Y.; Li, Z.; Liu, Y.; Pan, B.; Peng, R.; Shao, W.; Yang, W.; Chen, M.; Kan, H.; Ying, Z.; et al. Differential Roles of Water-Insoluble and Water-Soluble Fractions of Diesel Exhaust Particles in the Development of Adverse Health Effects Due to Chronic Instillation of Diesel Exhaust Particles. Chem. Res. Toxicol. 2021, 34, 2450–2459. [Google Scholar] [CrossRef]
- Sadakane, K.; Ichinose, T.; Takano, H.; Yanagisawa, R.; Inoue, K.-I.; Kawazato, H.; Yasuda, A.; Hayakawa, K. Organic Chemicals in Diesel Exhaust Particles Enhance Picryl Chloride-Induced Atopic Dermatitis in NC/Nga Mice. Int. Arch. Allergy Immunol. 2013, 162, 7–15. [Google Scholar] [CrossRef]
- Inoue, K.-I.; Takano, H.; Yanagisawa, R.; Sakurai, M.; Abe, S.; Yoshino, S.; Yamaki, K.; Yoshikawa, T. Effects of Components Derived from Diesel Exhaust Particles on Lung Physiology Related to Antigen. Immunopharmacol. Immunotoxicol. 2007, 29, 403–412. [Google Scholar] [CrossRef]
- Yanagisawa, R.; Takano, H.; Inoue, K.-I.; Ichinose, T.; Sadakane, K.; Yoshino, S.; Yamaki, K.; Yoshikawa, T.; Hayakawa, K. Components of diesel exhaust particles differentially affect Th1/Th2 response in a murine model of allergic airway inflammation. Clin. Exp. Allergy J. Br. Soc. Allergy Clin. Immunol. 2006, 36, 386–395. [Google Scholar] [CrossRef]
- He, M.; Ichinose, T.; Ito, T.; Toriba, A.; Yoshida, S.; Kaori, S.; Nishikawa, M.; Sun, G.; Shibamoto, T. Investigation of inflammation inducing substances in PM2.5 particles by an elimination method using thermal decomposition. Environ. Toxicol. 2019, 34, 1137–1148. [Google Scholar] [CrossRef]
- Rodríguez-Cotto, R.I.; Ortiz-Martínez, M.G.; Jiménez-Vélez, B.D. Organic extracts from African dust storms stimulate oxidative stress and induce inflammatory responses in human lung cells through Nrf2 but not NF-κB. Environ. Toxicol. Pharmacol. 2015, 39, 845–856. [Google Scholar] [CrossRef] [PubMed]
- Honda, A.; Chowdhury, P.H.; Ito, S.; Okano, H.; Onishi, T.; Kawaryu, Y.; Ueda, K.; Takano, H. Synergic effects of 9,10-phenanthrenequinone and cadmium on pro-inflammatory responses in airway epithelial cells. Environ. Toxicol. Pharmacol. 2017, 52, 276–279. [Google Scholar] [CrossRef] [PubMed]
- Goler, A.M.Y.; Jannuzzi, A.T.; Bayrak, N.; Yıldız, M.; Yıldırım, H.; Otsuka, M.; Fujita, M.; Radwan, M.O.; TuYuN, A.F. In Vitro and In Silico Study to Assess Toxic Mechanisms of Hybrid Molecules of Quinone-Benzocaine as Plastoquinone Analogues in Breast Cancer Cells. ACS Omega 2022, 7, 30250–30264. [Google Scholar] [CrossRef] [PubMed]
- Menchinskaya, E.; Chingizova, E.; Pislyagin, E.; Likhatskaya, G.; Sabutski, Y.; Pelageev, D.; Polonik, S.; Aminin, D. Neuroprotective Effect of 1,4-Naphthoquinones in an In Vitro Model of Paraquat and 6-OHDA-Induced Neurotoxicity. Int. J. Mol. Sci. 2021, 22, 9933. [Google Scholar] [CrossRef]
- Tan, A.S.; Berridge, M.V. Evidence for NAD(P)H:quinone oxidoreductase 1 (NQO1)-mediated quinone-dependent redox cycling via plasma membrane electron transport: A sensitive cellular assay for NQO1. Free. Radic. Biol. Med. 2010, 48, 421–429. [Google Scholar] [CrossRef]
- Chang, J.; Go, Y.Y.; Park, M.K.; Chae, S.-W.; Lee, S.-H.; Song, J.-J. Asian Sand Dust Enhances the Inflammatory Response and Mucin Gene Expression in the Middle Ear. Clin. Exp. Otorhinolaryngol. 2016, 9, 198–205. [Google Scholar] [CrossRef]
- Yadav, M.K.; Go, Y.Y.; Chae, S.-W.; Park, M.K.; Song, J.-J. Asian Sand Dust Particles Increased Pneumococcal Biofilm Formation in vitro and Colonization in Human Middle Ear Epithelial Cells and Rat Middle Ear Mucosa. Front. Genet. 2020, 11, 323. [Google Scholar] [CrossRef]
- Piao, M.J.; Ahn, M.J.; Kang, K.A.; Ryu, Y.S.; Hyun, Y.J.; Shilnikova, K.; Zhen, A.X.; Jeong, J.W.; Choi, Y.H.; Kang, H.K.; et al. Particulate matter 2.5 damages skin cells by inducing oxidative stress, subcellular organelle dysfunction, and apoptosis. Arch. Toxicol. 2018, 92, 2077–2091. [Google Scholar] [CrossRef]
- Portilho, A.J.D.S.; da Silva, E.L.; Bezerra, E.C.A.; Gomes, C.B.D.S.M.R.; Ferreira, V.; de Moraes, M.E.A.; da Rocha, D.R.; Burbano, R.M.R.; Moreira-Nunes, C.A.; Montenegro, R.C. 1,4-Naphthoquinone (CNN1) Induces Apoptosis through DNA Damage and Promotes Upregulation of H2AFX in Leukemia Multidrug Resistant Cell Line. Int. J. Mol. Sci. 2022, 23, 8105. [Google Scholar] [CrossRef]
- Sugimoto, R.; Kumagai, Y.; Nakai, Y.; Ishii, T. 9,10-Phenanthraquinone in diesel exhaust particles downregulates Cu,Zn–SOD and HO-1 in human pulmonary epithelial cells: Intracellular iron scavenger 1,10-phenanthroline affords protection against apoptosis. Free. Radic. Biol. Med. 2005, 38, 388–395. [Google Scholar] [CrossRef] [PubMed]
- Valavanidis, A.; Vlahoyianni, T.; Fiotakis, K. Comparative study of the formation of oxidative damage marker 8-hydroxy-2′-deoxyguanosine (8-OHdG) adduct from the nucleoside 2′-deoxyguanosine by transition metals and suspensions of particulate matter in relation to metal content and redox reactivity. Free. Radic. Res. 2005, 39, 1071–1081. [Google Scholar] [CrossRef] [PubMed]
- Belhadj Slimen, I.; Najar, T.; Ghram, A.; Dabbebi, H.; Ben Mrad, M.; Abdrabbah, M. Reactive oxygen species, heat stress and oxidative-induced mitochondrial damage. A review. Int. J. Hyperth. 2014, 30, 513–523. [Google Scholar] [CrossRef] [PubMed]
- Jiang, L.; Diaz, P.T.; Best, T.M.; Stimpfl, J.N.; He, F.; Zuo, L. Molecular characterization of redox mechanisms in allergic asthma. Ann. Allergy Asthma Immunol. 2014, 113, 137–142. [Google Scholar] [CrossRef] [PubMed]
- Dailah, H.G. Therapeutic Potential of Small Molecules Targeting Oxidative Stress in the Treatment of Chronic Obstructive Pulmonary Disease (COPD): A Comprehensive Review. Molecules 2022, 27, 5542. [Google Scholar] [CrossRef]
- Moliteo, E.; Sciacca, M.; Palmeri, A.; Papale, M.; Manti, S.; Parisi, G.F.; Leonardi, S. Cystic Fibrosis and Oxidative Stress: The Role of CFTR. Molecules 2022, 27, 5324. [Google Scholar] [CrossRef]
- Estornut, C.; Milara, J.; Bayarri, M.A.; Belhadj, N.; Cortijo, J. Targeting Oxidative Stress as a Therapeutic Approach for Idiopathic Pulmonary Fibrosis. Front. Pharmacol. 2022, 12, 794997. [Google Scholar] [CrossRef]
- von Knethen, A.; Heinicke, U.; Laux, V.; Parnham, M.J.; Steinbicker, A.U.; Zacharowski, K. Antioxidants as Therapeutic Agents in Acute Respiratory Distress Syndrome (ARDS) Treatment—From Mice to Men. Biomedicines 2022, 10, 98. [Google Scholar] [CrossRef]
- Vuong, H.G.; Nguyen, T.Q.; Nguyen, H.C.; Nguyen, P.T.; Ho, A.T.N.; Hassell, L. Efficacy and Safety of Crizotinib in the Treatment of Advanced Non-Small-Cell Lung Cancer with ROS1 Rearrangement or MET Alteration: A Systematic Review and Meta-Analysis. Target. Oncol. 2020, 15, 589–598. [Google Scholar] [CrossRef]
- Mori, I.; Sun, Z.; Ukachi, M.; Nagano, K.; McLeod, C.W.; Cox, A.G.; Nishikawa, M. Development and certification of the new NIES CRM 28: Urban aerosols for the determination of multielements. Anal. Bioanal. Chem. 2008, 391, 1997–2003. [Google Scholar] [CrossRef]
- He, M.; Ichinose, T.; Yoshida, S.; Nishikawa, M.; Sun, G.; Shibamoto, T. Role of iron and oxidative stress in the exacerbation of allergic inflammation in murine lungs caused by urban particulate matter <2.5 μm and desert dust. J. Appl. Toxicol. 2019, 39, 855–867. [Google Scholar] [CrossRef] [PubMed]
- Chowdhury, P.H.; Kitamura, G.; Honda, A.; Sawahara, T.; Hayashi, T.; Fukushima, W.; Kudo, H.; Ito, S.; Yoshida, S.; Ichinose, T.; et al. Synergistic effect of carbon nuclei and polyaromatic hydrocarbons on respiratory and immune responses. Environ. Toxicol. 2017, 32, 2172–2181. [Google Scholar] [CrossRef] [PubMed]








Disclaimer/Publisher’s Note: The statements, opinions and data contained in all publications are solely those of the individual author(s) and contributor(s) and not of MDPI and/or the editor(s). MDPI and/or the editor(s) disclaim responsibility for any injury to people or property resulting from any ideas, methods, instructions or products referred to in the content. |
© 2023 by the authors. Licensee MDPI, Basel, Switzerland. This article is an open access article distributed under the terms and conditions of the Creative Commons Attribution (CC BY) license (https://creativecommons.org/licenses/by/4.0/).
Share and Cite
Honda, A.; Inoue, K.-i.; Higashihara, M.; Ichinose, T.; Ueda, K.; Takano, H. Differential Pattern of Cell Death and ROS Production in Human Airway Epithelial Cells Exposed to Quinones Combined with Heated-PM2.5 and/or Asian Sand Dust. Int. J. Mol. Sci. 2023, 24, 10544. https://doi.org/10.3390/ijms241310544
Honda A, Inoue K-i, Higashihara M, Ichinose T, Ueda K, Takano H. Differential Pattern of Cell Death and ROS Production in Human Airway Epithelial Cells Exposed to Quinones Combined with Heated-PM2.5 and/or Asian Sand Dust. International Journal of Molecular Sciences. 2023; 24(13):10544. https://doi.org/10.3390/ijms241310544
Chicago/Turabian StyleHonda, Akiko, Ken-ichiro Inoue, Makoto Higashihara, Takamichi Ichinose, Kayo Ueda, and Hirohisa Takano. 2023. "Differential Pattern of Cell Death and ROS Production in Human Airway Epithelial Cells Exposed to Quinones Combined with Heated-PM2.5 and/or Asian Sand Dust" International Journal of Molecular Sciences 24, no. 13: 10544. https://doi.org/10.3390/ijms241310544
APA StyleHonda, A., Inoue, K.-i., Higashihara, M., Ichinose, T., Ueda, K., & Takano, H. (2023). Differential Pattern of Cell Death and ROS Production in Human Airway Epithelial Cells Exposed to Quinones Combined with Heated-PM2.5 and/or Asian Sand Dust. International Journal of Molecular Sciences, 24(13), 10544. https://doi.org/10.3390/ijms241310544

