Insights into Cellular Localization and Environmental Influences on the Toxicity of Marine Fish-Killing Flagellate, Heterosigma akashiwo
Abstract
1. Introduction
2. Results
2.1. Toxicity Measurement in H. akashiwo
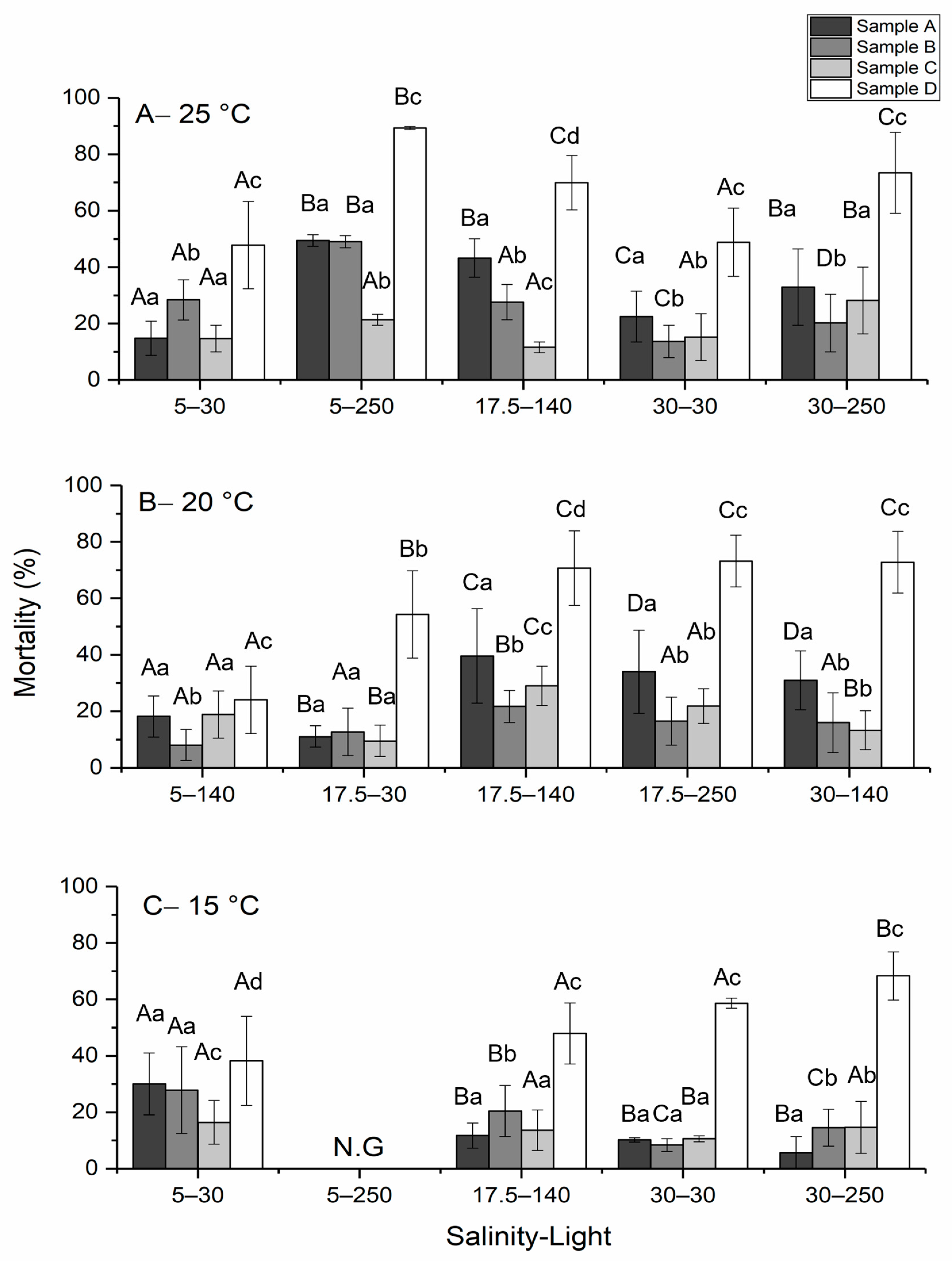
2.1.1. Determining the Optimum Condition for the Toxicity of H. akashiwo
2.1.2. Response Surface Model (RSM) Validation
2.1.3. Combined Effect of Salinity, Light, and Temperature on H. akashiwo Toxicity
2.1.4. Response Optimization and Model Validation
2.2. Lipid and Protein Measurement in H. akashiwo
2.2.1. Determining the Optimum Condition for the Maximum Lipid and Protein Production of H. akashiwo
2.2.2. Response Surface Model (RSM) Validation
2.3. Relationship between Growth, Yield, and Cell Permeability with Toxicity, Lipid, and Protein Production
3. Discussion
3.1. Toxicity Measurement in H. akashiwo
3.2. Lipid and Protein Measurement in H. akashiwo
4. Materials and Methods
4.1. Cultures
4.2. Algal Samples Preparation for Toxicity Assay
4.3. Toxicity Measurement
4.4. Sample Preparation to Measure Total Proteins and Lipids
4.5. Determination of Total Proteins
4.6. Determination of Neutral Lipids
4.7. Experimental Design
4.8. Statistical Analysis
5. Conclusions
Author Contributions
Funding
Institutional Review Board Statement
Informed Consent Statement
Data Availability Statement
Conflicts of Interest
References
- Taylor, F.J.R.; Haigh, R. The ecology of fish-killing blooms of the chloromonad flagellate Heterosigma in the Strait of Georgia and adjacent waters. In Toxic Phytoplankton Blooms in the Sea: Proceeding of Fifth International Conference on Toxic Marine Phytoplankton, Newport, Rhode Island; Developments in Marine Biology; Smayda, T.J., Shimizu, Y., Eds.; Elsevier: New York, NY, USA, 1993; Volume 3, pp. 705–710. [Google Scholar]
 - Smayda, T.J. Ecophysiology and bloom dynamics of Heterosigma akashiwo (Raphidophyceae). In Physiology Ecology of Harmful Algal Blooms; Anderson, D.M., Cembella, A.D., Hallegraeff, G.M., Eds.; Springer: Berlin/Heidelberg, Germany, 1998; pp. 113–132. [Google Scholar]
 - Ikeda, C.E.; Cochlan, W.P.; Bronicheski, C.M.; Trainer, V.L.; Trick, C.G. The effects of salinity on the cellular permeability and ichthyotoxicity of Heterosigma akashiwo. J. Phycol. 2016, 53, 745–760. [Google Scholar] [CrossRef] [PubMed]
 - Mehdizadeh Allaf, M. Heterosigma akashiwo, a Fish-Killing Flagellate. Microb. Res. 2023, 14, 132–147. [Google Scholar] [CrossRef]
 - Hershberger, P.K.; Rensel, J.E.; Matter, A.L.; Taub, F.B. Vertical distribution of the chloromonad flagellate Heterosigma carterae in columns: Implications for bloom development. Can. J. Fish. Aquat. Sci. 1997, 54, 2228–2234. [Google Scholar] [CrossRef]
 - Rensel, J.E.; Whyte, J.N.C. Finfish mariculture and harmful algal blooms. In Manual on Harmful Marine Microalgae. Monographs on Oceanographic Methodology; Hallegraeff, G.M., Anderson, D.M., Cembella, A.D., Eds.; UNESCO Publishing: Paris, France, 2003; Volume 11, pp. 693–722. [Google Scholar]
 - O’Halloran, C.; Silver, M.W.; Holman, T.R.; Scholin, C.A. Heterosigma akashiwo in central California waters. Harmful Algae 2006, 5, 124–132. [Google Scholar] [CrossRef]
 - Rensel, J.E.J.; Haigh, N.; Tynan, T.J. Fraser river sockeye salmon marine survival decline and harmful blooms of Heterosigma akashiwo. Harmful Algae 2010, 10, 98–115. [Google Scholar] [CrossRef]
 - Livingston, R.J. Phytoplankton bloom effects on a gulf estuary: Water quality changes and biological response. Ecol. Appl. 2007, 17, S110–S128. [Google Scholar] [CrossRef]
 - Ono, k.; Khan, S.; Onoue, Y. Effects of temperature and light intensity on the growth and toxicity of Heterosigma akashiwo (Raphidophyceae). Aquac. Res. 2000, 31, 427–433. [Google Scholar] [CrossRef]
 - Haque, S.M.; Onoue, Y. Effects of salinity on growth and toxin production of a noxious phytoflagellate, Heterosigma akashiwo (Raphidophyceae). Bot. Mar. 2002, 45, 356–363. [Google Scholar] [CrossRef]
 - Clement, A.; Lembeye, G. Phytoplankton monitoring program in the fish farming region of South Chile. In Toxic Phytoplankton Blooms in the Sea: Proceeding of Fifth International Conference on Toxic Marine Phytoplankton, Newport, Rhode Island; Developments in Marine Biology; Smayda, T.J., Shimizu, Y., Eds.; Elsevier: New York, NY, USA, 1993; Volume 3, pp. 223–228. [Google Scholar]
 - Tseng, C.K.; Zhou, M.J.; Zou, J.Z. Toxic phytoplankton studies in China. In Toxic Phytoplankton Blooms in the Sea: Proceeding of Fifth International Conference on Toxic Marine Phytoplankton, Newport, Rhode Island; Developments in Marine Biology; Smayda, T.J., Shimizu, Y., Eds.; Elsevier: New York, NY, USA, 1993; Volume 3, pp. 347–352. [Google Scholar]
 - Chang, F.H.; Anderson, C.; Boustead, N.C. First record of a Heterosigma (Raphidophyceae) bloom with associated mortality of cage-reared salmon in Big Glory Bay, New Zealand. N. Z. J. Mar. Freshw. Res. 1990, 24, 461–469. [Google Scholar] [CrossRef]
 - Martinez, R.; Orive, E.; Laza-Martinez, A.; Seoane, S. Growth response of six strains of Heterosigma akashiwo to varying temperature, salinity and irradiance conditions. J. Plankton Res. 2010, 32, 529–538. [Google Scholar] [CrossRef]
 - Pettersson, L.H.; Pozdnyakov, D. Qualification, species variety, and consequences of harmful algal blooms (HABs). In Monitoring of Harmful Algal Bloom; Pettersson, L.H., Pozdnyakov, D., Eds.; Springer: Berlin/Heidelberg, Germany, 2013; pp. 1–24. [Google Scholar]
 - Anderson, D.M.; Hoagland, P.; Kaoru, Y.; White, A.W. Estimated Annual Economic Impact from Harmful Algal Blooms (HABs) in the United States; Technical Report, WHOI 2000-11; Woods Hole Oceanographic Institution: Falmouth, MA, USA, 2000; p. 99. [Google Scholar]
 - Lewitus, A.; Horner, R.; Caron, D.; Garcia-Mendoza, E.; Hickey, B.; Hunter, M.; Huppert, D.; Kudela, R.; Langlois, G.; Largier, J.; et al. Harmful algal blooms along the North American west coast region: History, trends, causes, and impacts. Harmful Algae 2012, 19, 133–159. [Google Scholar] [CrossRef]
 - Khan, S.; Arakawa, O.; Onoue, Y. Neurotoxins in a toxic red tide of Heterosigma akashiwo (Raphidophyceae) in Kagoshima Bay, Japan. Aquac. Res. 1997, 28, 9–14. [Google Scholar] [CrossRef]
 - Yang, C.Z.; Albright, L.J.; Yousif, A.N. Oxygen-radical-mediated effects of the toxic phytoplankter Heterosigma carterae on juvenile rainbow trout Oncorhynchus mykiss. Dis. Aquat. Organ. 1995, 23, 101–108. [Google Scholar] [CrossRef]
 - Twiner, M.J.; Trick, C.G. Possible physiological mechanisms for production of hydrogen peroxide by the ichthyotoxic flagellate Heterosigma akashiwo. J. Plankton Res. 2000, 22, 1961–1975. [Google Scholar] [CrossRef]
 - Ling, C.; Trick, C.G. Expression and standardized measurement of hemolytic activity in Heterosigma akashiwo. Harmful Algae 2010, 9, 522–529. [Google Scholar] [CrossRef]
 - Mohamed, Z.A.; Sheheri, A.M.A. The link between shrimp farm runoff and blooms of toxic Heterosigma akashiwo in Red Sea coastal waters. Oceanologia 2012, 54, 287–309. [Google Scholar] [CrossRef]
 - Powers, L.; Creed, I.F.; Trick, C.G. Sinking of Heterosigma akashiwo results in increased toxicity of this harmful algal bloom species. Harmful Algae 2012, 13, 95–104. [Google Scholar] [CrossRef]
 - Astuya, A.; Ramirez, A.E.; Aballay, A.; Araya, J.; Silva, J.; Ulloa, V.; Fuentealba, J. Neurotoxin-like compounds from the ichthyotoxic red tide alga Heterosigma akashiwo induce a TTX-like synaptic silencing in mammalian neurons. Harmful Algae 2015, 47, 1–8. [Google Scholar] [CrossRef]
 - Nakamura, A.; Okamoto, T.; Komatsu, N.; Ooka, S.; Oda, T.; Ishimatsu, A.; Muramastu, T. Fish mucus stimurates the generation of superoxide anion by Chattonella marina and Heterosigma akashiwo. Fish. Sci. 1998, 64, 866–869. [Google Scholar] [CrossRef]
 - Ishimatsu, A.; Sameshima, M.; Tamura, A.; Oda, T. Histological analysis of the mechanisms of Chattonella induced hypoxemia in yellowtail. Fish. Sci. 1996, 62, 50–58. [Google Scholar] [CrossRef]
 - Botana, L.M.; Alfonso, A.; Botana, A.; Vieytes, M.R.; Vale, C.; Vilarino, N.; Louzao, C. Functional assays for marine toxins as an alternative, high-throughput screening solution to animal tests. TrAC Trends Anal. Chem. 2009, 28, 603–611. [Google Scholar] [CrossRef]
 - Stewart, I.; McLeod, C. The laboratory mouse in routine food safety testing for marine algal biotoxins and harmful algal bloom toxin research: Past, present and future. J. AOAC Int. 2014, 97, 356–372. [Google Scholar] [CrossRef] [PubMed]
 - Boyer, G.L.; Sullivan, J.J.; Andersen, R.J.; Harrison, P.J.; Taylor, F.J.R. Effect of nutrient limitation on toxin production and composition in the marine dinoflagellate Protogonyaulax tamarensis. Mar. Biol. 1987, 96, 123–128. [Google Scholar] [CrossRef]
 - de Boer, M.; Tyl, M.; Vrieling, E.; van Rijssel, M. Effects of salinity and nutrient conditions on growth and haemolytic activity of Fibrocapsa japonica (Raphidophyceae). Aquat. Microb. Ecol. 2004, 37, 171–181. [Google Scholar] [CrossRef]
 - Kuroda, A.; Nakashima, T.; Yamaguchi, K.; Oda, T. Isolation and characterization of light-dependent hemolytic cytotoxin from harmful red tide phytoplankton Chattonella marina. Comp. Biochem. Phys. C 2005, 141, 297–305. [Google Scholar] [CrossRef]
 - de Boer, M.K.; Tyl, M.R.; Fu, M.; Kulk, G.; Liebezeit, G.; Tomas, C.R.; Lenzi, A.; Naar, J.; Vrieling, E.G.; van Rijssel, M. Haemolytic activity within the species Fibrocapsa japonica (Raphidophyceae). Harmful Algae 2009, 8, 699–705. [Google Scholar] [CrossRef]
 - Errera, R.M.; Yvon-Lewis, S.; Kessler, J.D.; Campbell, L. Reponses of the dinoflagellate Karenia brevis to climate change: pCO2 and sea surface temperatures. Harmful Algae 2014, 37, 110–116. [Google Scholar] [CrossRef]
 - Fuentes-Grunewald, C.; Garces, E.; Alacid, E.; Sampedro, N.; Rossi, S.; Camp, J. Improvement of lipid production in the marine strains Alexandrium minutum and Heterosigma akashiwo by utilizing abiotic parameters. J. Ind. Microbiol. Biot. 2012, 39, 207–216. [Google Scholar] [CrossRef]
 - Hixson, S.M.; Arts, M.T. Climate warming is predicted to reduce omega-3, long-chain, polyunsaturated fatty acid production in phytoplankton. Glob. Chang. Biol. 2016, 22, 2744–2755. [Google Scholar] [CrossRef]
 - Fu, M.; Koulman, A.; van Rijssel, M.; Lutzen, A.; de Boer, M.K.; Tyl, M.R.; Liebezeit, G. Chemical characterization of three haemolytic compounds from the microalgal species Fibrocapsa japonica (Raphidophyceae). Toxicon 2004, 43, 355–363. [Google Scholar] [CrossRef]
 - Yamasaki, Y.; Shikata, T.; Nukata, A.; Ichiki, S.; Nagasoe, S.; Matsubara, T.; Shimasaki, Y.; Nakao, M.; Yamaguchi, K.; Oshima, Y.; et al. Extracellular polysaccharide- protein complexes of a harmful alga mediate the allelopathic control it exerts within the phytoplankton community. Int. Soc. Microb. Ecol. 2009, 3, 808–817. [Google Scholar] [CrossRef]
 - Engler, K.H.; Coker, R.; Evans, I.H. A novel colorimetric yeast bioassay for detecting trichothecene mycotoxins. J. Microbiol. Meth. 1999, 35, 207–218. [Google Scholar] [CrossRef]
 - Mehdizadeh Allaf, M.; Trick, C.G. Yeast cell as a bio-model for measuring the toxicity of fish-killing flagellates. Toxins 2021, 13, 821. [Google Scholar] [CrossRef]
 - Czitrom, V. One-factor-at-a-time versus designed experiments. Am. Stat. 1999, 53, 126–131. [Google Scholar] [CrossRef]
 - Frey, D.D.; Jugulum, R. The mechanisms by which adaptive One-factor-at-a-time experimentation leads to improvement. ASME J. Mech. Des. 2005, 128, 1050–1060. [Google Scholar] [CrossRef]
 - Montgomery, D.C. Design and analysis of experiments. In Design and Analysis of Experiments, 8th ed.; Montgomery, D.C., Ed.; Wiley: New York, NY, USA, 2012; pp. 1–24. [Google Scholar]
 - Niedz, R.P.; Evens, T.J. Design of experiments (DOE) history, concepts, and relevance to in vitro culture. Vitr. Cell. Dev. Biol. Plant 2013, 52, 547–562. [Google Scholar] [CrossRef]
 - Cochlan, W.P.; Trainer, V.L.; Trick, C.G.; Wells, M.L.; Bill, B.D.; Esherhart, B.L. Heterosigma akashiwo in the Salish Sea: Defining growth and toxicity leading to fish kills. In Harmful Algae 2012: Proceedings of the 15th International Conference of Harmful Algae; Kim, H.G., Reguera, B., Hallegraeff, G.M., Lee, C.K., Eds.; Maple Design Agency: Busan, Republic of Korea, 2012; pp. 203–206. [Google Scholar]
 - Mehdizadeh Allaf, M.; Trick, C.G. Multiple-stressor design-of-experiment (DOE) and one-factor-at-a-time (OFAT) observations defining Heterosigma akashiwo growth and cell permeability. J. Appl. Phycol. 2019, 3, 3515–3526. [Google Scholar] [CrossRef]
 - Van de Waal, D.B.; Smith, V.H.; Declerck, S.A.J.; Stam, E.C.M.; Elser, J.J. Stoichiometric regulation of phytoplankton toxins. Ecol. Lett. 2014, 17, 736–742. [Google Scholar] [CrossRef] [PubMed]
 - Graneli, E. Kill your enemies and eat them with the help of your toxins: An algal strategy. Afr. J. Mar. Sci. 2006, 28, 331–336. [Google Scholar] [CrossRef]
 - Poli, M.A.; Mende, T.J.; Baden, D.G. Brevetoxins, unique activators of voltagesensitive sodium channels, bind to specific sites in rat brain synaptosomes. Mol. Pharmacol. 1986, 30, 129–135. [Google Scholar] [PubMed]
 - Endo, M.; Onoue, Y.; Kuroki, A. Neurotoxin-induced cardiac disorder and its role in the death of fish exposed to Chattonella marina. Mar. Biol. 1992, 112, 371–376. [Google Scholar] [CrossRef]
 - Jeglitsch, G.; Rein, K.; Baden, D.G.; Adams, D.J. Brevetoxin-3 (PbTx-3) and its derivatives modulate single tetrodotoxin- sensitive sodium channels in rat sensory neurons. J. Pharmacol. Exp. Ther. 1998, 284, 516–525. [Google Scholar]
 - Baden, D.G.; Bourdelais, A.J.; Jacocks, H.; Michelliza, S.; Naar, J. Natural and derivative brevetoxins: Historical background, multiplicity, and effects. Environ. Health Persp. 2005, 113, 621–625. [Google Scholar] [CrossRef]
 - Twiner, M.J.; Dixon, S.J.; Trick, C.G. Extracellular organics from specific cultures of Heterosigma akashiwo (Raphidophyceae) irreversibly alter respiratory activity in mammalian cells. Harmful Algae 2004, 3, 173–182. [Google Scholar] [CrossRef]
 - Twiner, M.J.; Chidiac, P.; Dixon, S.J.; Trick, C.G. Extracellular organic compounds from the ichthyotoxic red tide alga Heterosigma akashiwo elevate cytosolic calcium and induce apoptosis in Sf9 cells. Harmful Algae 2005, 4, 789–800. [Google Scholar] [CrossRef]
 - Ishimatsu, A.; Oda, T.; Yoshida, M.; Ozaki, M. Oxygen radicals are probably involved in the mortality of yellowtail by Chattonella marina. Fish. Sci. 1996, 62, 836–837. [Google Scholar] [CrossRef]
 - Strom, S.L.; Harvey, E.L.; Fredrickson, K.A.; Menden-Deuer, S. Broad salinity tolerance as a refuge from predation in the harmful raphidophyte alga Heterosigma akashiwo (Raphidophyceae). J. Phycol. 2013, 49, 20–31. [Google Scholar] [CrossRef]
 - Harrison, P.J.; Berges, J.A. Marine culture media. In Algal Culturing Techniques; Anderson, R.A., Ed.; Elsevier Academic Press: San Diego, CA, USA, 2005; pp. 21–33. [Google Scholar]
 - Veldhuis, M.; Kraay, G.; Timmermans, K. Cell death in phytoplankton: Correlation between changes in membrane permeability, photosynthetic activity, pigmentation and growth. Eur. J. Phycol. 2001, 36, 167–177. [Google Scholar] [CrossRef]
 - Peperzak, L.; Brussaard, C.P.D. Flow cytometric applicability of fluorescent vitality probes on phytoplankton. J. Phycol. 2011, 47, 692–702. [Google Scholar] [CrossRef]
 - Sato, M.; Murata, Y.; Mizusawa, M.; Iwahashi, H.; Oka, S. A simple and rapid dual-fluorescence viability assay for microalgae. Microbiol. Cult. Coll. Dec. 2004, 20, 53–59. [Google Scholar]
 - Bradford, M.M. A rapid and sensitive method for the quantitation of microgram quantities of protein utilizing the principle of protein-dye binding. Anal. Biochem. 1976, 72, 248–254. [Google Scholar] [CrossRef] [PubMed]
 - Chen, W.; Sommerfeld, M.; Hu, Q. Microwave-assisted nile red method for in vivo quantification of neutral lipids in microalgae. Bioresour. Technol. 2011, 102, 135–141. [Google Scholar] [CrossRef] [PubMed]
 - Held, P.; Raymond, K. Determination of Algal Cell Lipids Using Nile Red; Applications Department, BioTek Instruments, Inc.: Winooski, VT, USA, 2011; Available online: www.biotek.com/assets/tech_resources/Synergy_H4_Nile_Red_App_Note.pdf (accessed on 12 July 2011).
 - Rensel, J.E.J. Fish Kills from the Harmful Alga Heterosigma akashiwo in Puget Sound: Recent Blooms and Review; Technical Report; National Oceanic and Atmospheric Administration Center for Sponsored Coastal Ocean Research (CSCOR): Silver Spring, MD, USA, 2007; p. 58.
 









| S. | T. (°C) | L. (μmol Photons m−2 s−1) | Mortality (%) | |||
|---|---|---|---|---|---|---|
| S.A | S.B | S.C | S.D | |||
| 5 | 15 | 30 | 30.0 ± 11 | 27.9 ± 15.3 | 16.4 ± 7.7 | 38.2 ± 15.8 | 
| 5 | 25 | 30 | 14. 8 ± 6.1 | 28.4 ± 7.1 | 14.7 ± 4.7 | 47.8 ± 15.5 | 
| 5 | 20 | 140 | 18.2 ± 7.3 | 8.1 ± 5.5 | 18.8 ± 8.3 | 24.1 ± 11.9 | 
| 5 | 15 | 250 | N.G. | N.G. | N.G. | N.G. | 
| 5 | 25 | 250 | 49.5 ± 2.04 | 49.02 ± 2.2 | 21.3 ± 1.9 | 89.3 ± 0.5 | 
| 17.5 | 20 | 30 | 11.1 ± 3.8 | 12.7 ± 8.4 | 9.5 ± 5.5 | 54.3 ± 15.5 | 
| 17.5 | 15 | 140 | 11.7 ± 4.5 | 20.4 ± 9.04 | 13.6 ± 7.2 | 47.9 ± 10.6 | 
| 17.5 | 20 | 140 | 41.0 ± 18.2 | 21.1 ± 5.9 | 29.0 ± 6.3 | 72.2 ± 14.7 | 
| 17.5 | 20 | 140 | 40.2 ± 20.2 | 21.5 ± 6.7 | 29.7 ± 7.5 | 73 ± 17.6 | 
| 17.5 | 20 | 140 | 39.7 ± 15.7 | 20.5 ± 4.4 | 30.0 ± 8.2 | 71.6 ± 12.5 | 
| 17.5 | 20 | 140 | 33.7 ± 17.9 | 21.6 ± 7.6 | 29.8 ± 8.4 | 66.9 ± 18.1 | 
| 17.5 | 20 | 140 | 43.2 ± 11.7 | 23.6 ± 3.8 | 26.6 ± 4.4 | 69.9 ± 3.2 | 
| 17.5 | 25 | 140 | 43.2 ± 6.8 | 27.6 ± 6.3 | 11.6 ± 1.9 | 69.9 ± 9.6 | 
| 17.5 | 20 | 250 | 34.0 ± 14.7 | 16.5 ± 8.4 | 21.8 ± 6.1 | 73.2 ± 9.2 | 
| 30 | 15 | 30 | 10.2 ± 0.8 | 8.4 ± 2.2 | 10.6 ± 1 | 58.6 ± 1.8 | 
| 30 | 25 | 30 | 22.5 ± 9 | 13.7 ± 5.8 | 15.2 ± 8.4 | 48.8 ± 12.1 | 
| 30 | 20 | 140 | 30.9 ± 10.5 | 16.0 ± 10.5 | 13.3 ± 6.9 | 72.8 ± 10.9 | 
| 30 | 15 | 250 | 5.6 ± 4.7 | 14.5 ± 6.6 | 14.6 ± 9.2 | 68.3 ± 8.5 | 
| 30 | 25 | 250 | 32.9 ± 13.5 | 20.2 ± 10.2 | 28.2 ± 11.8 | 73.4 ± 14.3 | 
| Source | M1 (%) | Model | S2 (A) | T3 (B) | L4 (C) | AB | AC | BC | A2 | B2 | C2 | 
|---|---|---|---|---|---|---|---|---|---|---|---|
| Remark | Sample A | S5. | N-S6. | S. | N-S. | N-S. | N-S. | S. | N-S. | N-S. | N-S. | 
| Sample B | S. | N-S. | S. | N-S. | N-S. | N-S. | S. | ||||
| Sample C | S. | N-S. | N-S. | N-S. | N-S. | N-S. | N-S. | N-S. | N-S. | N-S. | |
| Sample D | S. | S. | S. | N-S. | S. | N-S. | S. | S. | N-S. | N-S. | |
| F-value | Sample A | 3.48 | 0.11 | 11.19 | 1.13 | 0.03 | 1.8 × 10−3 | 7.99 | 1.43 | 0.52 | 2.34 | 
| Sample B | 3.10 | 2.63 | 7.30 | 0.14 | 2.97 | 0.79 | 4.77 | ||||
| Sample C | 3.43 | 0.34 | 3.84 | 1.14 | 7.8 × 10−3 | 2.67 | 3.84 | 1.32 | 4.58 | 1.62 | |
| Sample D | 6.40 | 12.42 | 11.16 | 2.63 | 11.07 | 0.99 | 9.25 | 5.14 | 0.52 | 1 × 10−4 | |
| p-value | Sample A | 0.0466 | 0.75 | 0.01 | 0.32 | 0.86 | 0.97 | 0.02 | 0.27 | 0.49 | 0.16 | 
| Sample B | 0.0498 | 0.13 | 0.02 | 0.72 | 0.11 | 0.39 | 0.05 | ||||
| Sample C | 0.0484 | 0.58 | 0.09 | 0.32 | 0.93 | 0.14 | 0.09 | 0.28 | 0.06 | 0.24 | |
| Sample D | 0.0078 | 0.008 | 0.01 | 0.14 | 0.01 | 0.35 | 0.02 | 0.05 | 0.49 | 0.99 | |
| R2 | Sample A | 0.80 | |||||||||
| Sample B | 0.63 | ||||||||||
| Sample C | 0.79 | ||||||||||
| Sample D | 0.88 | ||||||||||
| Adj. R2 | Sample A | 0.57 | |||||||||
| Sample B | 0.43 | ||||||||||
| Sample C | 0.56 | ||||||||||
| Sample D | 0.74 | ||||||||||
| Adeq. precision | Sample A | 5.64 | |||||||||
| Sample B | 6.89 | ||||||||||
| Sample C | 6.02 | ||||||||||
| Sample D | 9.46 | ||||||||||
| S | T | L | Mortality (%) | |||||||
|---|---|---|---|---|---|---|---|---|---|---|
| Sample A | Sample B | Sample C | Sample D | |||||||
| Pre | Exp | Pre | Exp | Pre | Exp | Pre | Exp | |||
| 17.31 | 25 | 246 | 47.7 ± 9.9 | 40.6 ± 10.2 | 32.7 ± 7.9 | 26.2 ± 6.8 | 24 ± 5.8 | 19.5 ± 8.3 | 92.5 ± 11 | 83.4 ± 2.4 | 
| 17.13 | 25 | 244 | 47.8 ± 9.9 | 40.4 ± 3.9 | 33 ± 7.9 | 26.8 ± 1.7 | 24 ± 5.8 | 14.4 ± 10.6 | 92.1 ± 11 | 82.6 ± 1.5 | 
| 17.18 | 25 | 250 | 47.5 ± 9.9 | 46.2 ± 10.8 | 33.3 ± 7.9 | 27.9 ± 10.6 | 23.8 ± 5.8 | 24.3 ± 9.1 | 93.1 ± 11 | 82.6 ± 2 | 
| Salinity | Temperature (°C) | Light (μmol Photons m−2 s−1) | Protein (μg mL−1) | Lipid (μg mL−1) | 
|---|---|---|---|---|
| 5 | 15 | 30 | 52.3 ± 9.4 | 1.9 ± 0.1 | 
| 5 | 25 | 30 | 130.6 ± 64.4 | 3.8 ± 1.2 | 
| 5 | 20 | 140 | 72.3 ± 12.5 | 3.3 ± 0.5 | 
| 5 | 15 | 250 | N.G. | |
| 5 | 25 | 250 | 149.2 ± 14.4 | 3.6 ± 0.2 | 
| 17.5 | 20 | 30 | 79.7 ± 23.3 | 2.5 ± 0.3 | 
| 17.5 | 15 | 140 | 115.1 ± 13.9 | 4.8 ± 1.3 | 
| 17.5 | 20 | 140 | 174.0 ± 29.8 | 5.2 ± 0.2 | 
| 17.5 | 20 | 140 | 176.6 ± 34.9 | 5.6 ± 1.7 | 
| 17.5 | 20 | 140 | 178.0 ± 31 | 5.1 ± 1 | 
| 17.5 | 20 | 140 | 158.1 ± 23.4 | 5.0 ± 0.9 | 
| 17.5 | 20 | 140 | 186.1 ± 39.5 | 5.6 ± 1.2 | 
| 17.5 | 25 | 140 | 271.6 ± 30.8 | 4.5 ± 1 | 
| 17.5 | 20 | 250 | 214.6 ± 51 | 4.8 ± 0.9 | 
| 30 | 15 | 30 | 179.9 ± 70.3 | 4.1 ± 1.7 | 
| 30 | 25 | 30 | 175.1 ± 67.6 | 5.6 ± 1.3 | 
| 30 | 20 | 140 | 298.0 ± 54.6 | 4.7 ± 1.4 | 
| 30 | 15 | 250 | 142.8 ± 35.4 | 6.1 ± 1.8 | 
| 30 | 25 | 250 | 180.4 ± 21.8 | 6.6 ± 1.3 | 
| Source | Model | Salinity | Temperature (°C) | Light (μmol Photons m−2 s−1) | |
|---|---|---|---|---|---|
| Remark | Lipid Protein  | Significant Significant  | Significant Significant  | Not significant Significant  | Not significant Not significant  | 
| F-value | Lipid Protein  | 7.11 5.12  | 16.45 10.16  | 4.03 5.15  | 0.84 0.046  | 
| p-value | Lipid Protein  | 0.001 0.01  | 0.001 0.01  | 0.06 0.04  | 0.38 0.83  | 
| R2 | Lipid Protein  | 0.60 0.52  | |||
| Adj-R2 | Lipid Protein  | 0.52 0.42  | |||
| Adeq-precision | Lipid Protein  | 8.6 7  | 
Disclaimer/Publisher’s Note: The statements, opinions and data contained in all publications are solely those of the individual author(s) and contributor(s) and not of MDPI and/or the editor(s). MDPI and/or the editor(s) disclaim responsibility for any injury to people or property resulting from any ideas, methods, instructions or products referred to in the content.  | 
© 2023 by the authors. Licensee MDPI, Basel, Switzerland. This article is an open access article distributed under the terms and conditions of the Creative Commons Attribution (CC BY) license (https://creativecommons.org/licenses/by/4.0/).
Share and Cite
Mehdizadeh Allaf, M.; Trick, C.G. Insights into Cellular Localization and Environmental Influences on the Toxicity of Marine Fish-Killing Flagellate, Heterosigma akashiwo. Int. J. Mol. Sci. 2023, 24, 10333. https://doi.org/10.3390/ijms241210333
Mehdizadeh Allaf M, Trick CG. Insights into Cellular Localization and Environmental Influences on the Toxicity of Marine Fish-Killing Flagellate, Heterosigma akashiwo. International Journal of Molecular Sciences. 2023; 24(12):10333. https://doi.org/10.3390/ijms241210333
Chicago/Turabian StyleMehdizadeh Allaf, Malihe, and Charles G. Trick. 2023. "Insights into Cellular Localization and Environmental Influences on the Toxicity of Marine Fish-Killing Flagellate, Heterosigma akashiwo" International Journal of Molecular Sciences 24, no. 12: 10333. https://doi.org/10.3390/ijms241210333
APA StyleMehdizadeh Allaf, M., & Trick, C. G. (2023). Insights into Cellular Localization and Environmental Influences on the Toxicity of Marine Fish-Killing Flagellate, Heterosigma akashiwo. International Journal of Molecular Sciences, 24(12), 10333. https://doi.org/10.3390/ijms241210333
        
