First 24-Membered Macrocyclic 1,10-Phenanthroline-2,9-Diamides—An Efficient Switch from Acidic to Alkaline Extraction of f-Elements
Abstract
1. Introduction
2. Results and Discussion
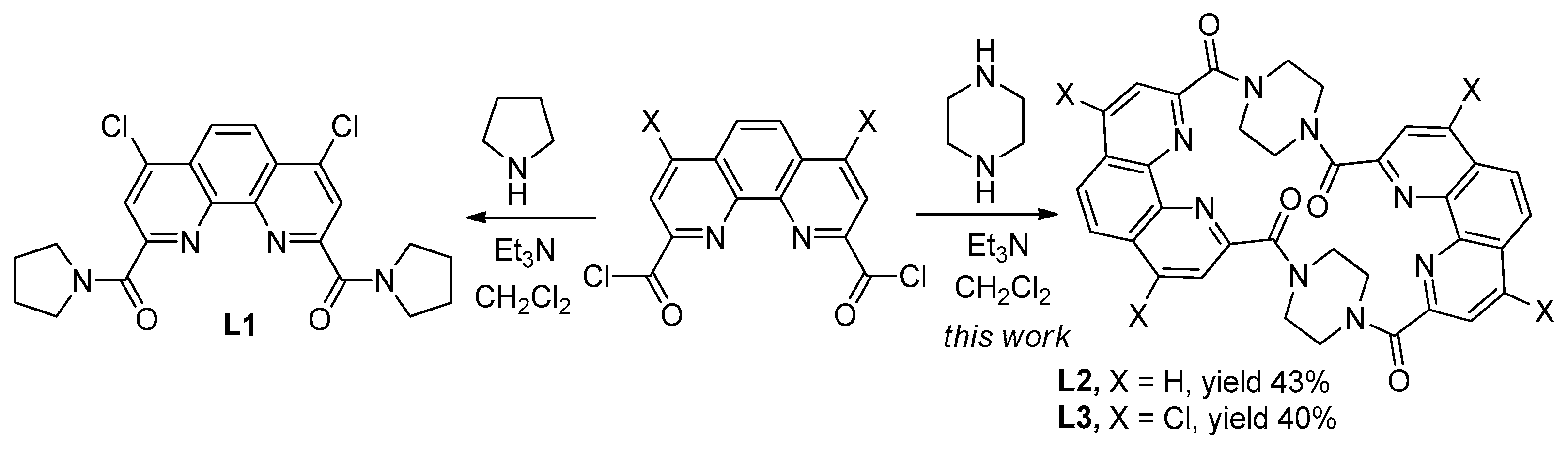
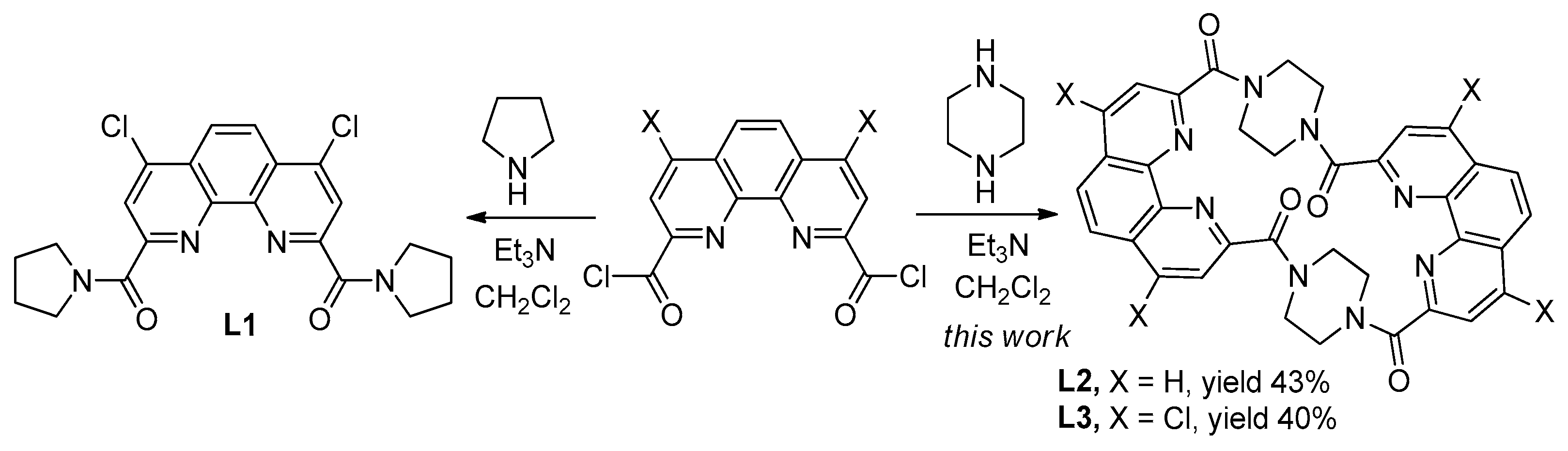
2.1. Synthesis and Structure of Macrocyclic Ligands
2.1.1. Spectral Analysis
2.1.2. Crystal Structures of L2 and L3 Solvates
2.1.3. Dynamic Light Scattering (DLS)
2.2. Complexation of L3 with Eu(III) Trinitrate in Acetonitrile Solutions
2.3. Solvent Extraction of Am(III) and Eu(III)
3. Materials and Methods
3.1. General Information
3.2. Synthesis of the Macrocycles


3.3. Solvent Extraction Experiments
3.4. DFT Calculations
4. Conclusions
Supplementary Materials
Author Contributions
Funding
Institutional Review Board Statement
Informed Consent Statement
Data Availability Statement
Acknowledgments
Conflicts of Interest
References
- Driggers, E.M.; Hale, S.P.; Lee, J.; Terrett, N.K. The exploration of macrocycles for drug discovery—An underexploited structural class. Nat. Rev. Drug Discov. 2008, 7, 608–624. [Google Scholar] [CrossRef] [PubMed]
- Wessjohann, L.A.; Ruijter, E.; Garcia-Rivera, D.; Brandt, W. What can a chemist learn from nature’s macrocycles? A Brief, Conceptual View. Mol. Divers. 2005, 9, 171–186. [Google Scholar] [CrossRef] [PubMed]
- Jyothi, R.K.; Lee, J.-Y. The role of macrocyclic compounds in the extraction and possible separation of platinum and rhodium from chloride solutions. Sci. Rep. 2016, 6, 27668. [Google Scholar] [CrossRef] [PubMed]
- Yudin, A.K. Macrocycles: Lessons from the distant past, recent developments, and future directions. Chem. Sci. 2015, 6, 30–49. [Google Scholar] [CrossRef]
- Mewis, R.E.; Archibald, S.J. Biomedical applications of macrocyclic ligand complexes. Coord. Chem. Rev. 2010, 254, 1686–1712. [Google Scholar] [CrossRef]
- Tsionou, M.I.; Knapp, C.E.; Foley, C.A.; Munteanu, C.R.; Cakebread, A.; Imberti, C.; Eykyn, T.R.; Young, J.D.; Paterson, B.M.; Blower, P.J.; et al. Comparison of macrocyclic and acyclic chelators for gallium-68 radiolabelling. RSC Adv. 2017, 7, 49586–49599. [Google Scholar] [CrossRef]
- Mcalister, D.R.; Rush, E.; Silvestri, D.; Horwitz, E.P. Extraction of Selected Metal Ions with Mixtures of N,N,N’,N’-tetra-n-octyldiglycolamide and 4,4′(5′)-di-t-butylcyclohexano 18-crown-6. Solvent Extr. Ion Exch. 2021, 39, 184–203. [Google Scholar] [CrossRef]
- Vasiliev, A.N.; Ostapenko, V.S.; Lapshina, E.V.; Ermolaev, S.V.; Danilov, S.S.; Zhuikov, B.L.; Kalmykov, S.N. Recovery of Ra-223 from natural thorium irradiated by protons. Radiochim. Acta 2016, 104, 539–547. [Google Scholar] [CrossRef]
- Kuzovkina, E.V.; Lavrinovich, E.A.; Novikov, A.P.; Stepanova, E.S.; Karavan, M.D.; Smirnov, I.V. Kinetics of americium and europium extraction by tert-butylthiacalix[4]arene from alkaline media. J. Radioanal. Nucl. Chem. 2017, 311, 1983–1989. [Google Scholar] [CrossRef]
- Smirnov, I.V.; Shirokova, V.S.; Yumaguen, A.Z.; Logunov, M.V. Extraction of Strontium and Yttrium from Alkaline Carbonate Media with Functionalized Calix[8]arenes. Radiochemistry 2018, 60, 248–254. [Google Scholar] [CrossRef]
- Smirnov, I.V.; Karavan, M.D.; Istomina, N.M.; Kozlov, P.V.; Voroshilov, Y.A. Hydroxycalix[6]arenes with p-isononyl substituents for alkaline HLW processing. J. Radioanal. Nucl. Chem. 2020, 326, 675–681. [Google Scholar] [CrossRef]
- Mohapatra, P.K.; Verma, P.K.; Prabhu, D.R.; Raut, D.R. Extraction of 137Cs from Acidic Feed by Centrifugal Contactors Using a Solution of Calix[4]arene-bis-1,2-benzo-crown-6 in Phenyltrifluoromethyl Sulphone. Nucl. Technol. 2019, 205, 1119–1125. [Google Scholar] [CrossRef]
- Wu, L.; Fang, Y.; Jia, Y.; Yang, Y.; Liao, J.; Liu, N. Pillar[5]arene-based diglycolamides for highly efficient separation of americium(iii) and europium(iii). Dalton Trans. 2014, 43, 3835–3838. [Google Scholar] [CrossRef]
- Cai, Y.; Ansari, S.A.; Fu, K.; Zhu, B.; Ma, H.; Chen, L.; Conradson, S.D.; Qin, S.; Fu, H.; Mohapatra, P.K.; et al. Highly efficient actinide(III)/lanthanide(III) separation by novel pillar[5]arene-based picolinamide ligands: A study on synthesis, solvent extraction and complexation. J. Hazard. Mater. 2021, 405, 124214. [Google Scholar] [CrossRef]
- Nath, P.; Bhattacharyya, A.; Sharma, J.N.; Manohar, S. The recovery of strontium from acidic medium using novel strontium selective extractant: An experimental and DFT study. J. Hazard. Mater. 2020, 397, 122476. [Google Scholar] [CrossRef]
- Sengupta, S.; Mehta, G. Macrocyclization via C–H functionalization: A new paradigm in macrocycle synthesis. Org. Biomol. Chem. 2020, 18, 1851–1876. [Google Scholar] [CrossRef]
- Mortensen, K.T.; Osberger, T.J.; King, T.A.; Sore, H.F.; Spring, D.R. Strategies for the Diversity-Oriented Synthesis of Macrocycles. Chem. Rev. 2019, 119, 10288–10317. [Google Scholar] [CrossRef]
- Bencini, A.; Lippolis, V. 1,10-Phenanthroline: A versatile building block for the construction of ligands for various purposes. Coord. Chem. Rev. 2010, 254, 2096–2180. [Google Scholar] [CrossRef]
- Alreja, P.; Kaur, N. Recent advances in 1,10-phenanthroline ligands for chemosensing of cations and anions. RSC Adv. 2016, 6, 23169–23217. [Google Scholar] [CrossRef]
- Aragoni, M.C.; Arca, M.; Bencini, A.; Biagini, S.; Blake, A.J.; Caltagirone, C.; Demartin, F.; Filippo, G.; Devillanova, F.A.; Garau, A.; et al. Interaction of mixed-donor macrocycles containing the 1,10-phenanthroline subunit with selected transition and post-transition metal ions: Metal ion recognition in competitive liquid-liquid solvent extraction of Cu(II), Zn(II), Pb(II), Cd(II), Ag(I), and Hg(II). Inorg. Chem. 2008, 47, 8391–8404. [Google Scholar] [CrossRef]
- Bazzicalupi, C.; Bencini, A.; Biagini, S.; Bianchi, A.; Faggi, E.; Giorgi, C.; Marchetta, M.; Totti, F.; Valtancoli, B. Polyamine Receptors Containing Dipyridine or Phenanthroline Units: Clues for the Design of Fluorescent Chemosensors for Metal Ions. Chem. Eur. J. 2009, 15, 8049–8063. [Google Scholar] [CrossRef] [PubMed]
- Casula, A.; Nairi, V.; Fernández-Moreira, V.; Laguna, A.; Lippolis, V.; Garau, A.; Gimeno, M.C. Re(i) derivatives functionalised with thioether crowns containing the 1,10-phenanthroline subunit as a new class of chemosensors. Dalton Trans. 2015, 44, 18506–18517. [Google Scholar] [CrossRef] [PubMed]
- Ishida, M.; Naruta, Y.; Tani, F. A Porphyrin-Related Macrocycle with an Embedded 1,10-Phenanthroline Moiety: Fluorescent Magnesium(II) Ion Sensor. Angew. Chem. Int. Ed. 2010, 49, 91–94. [Google Scholar] [CrossRef] [PubMed]
- Brandl, T.; Kerzig, C.; Pleux, L.; Prescimone, A.; Wenger, O.S.; Mayor, M. Improved Photostability of a CuI Complex by Macrocyclization of the Phenanthroline Ligands. Chem. Eur. J. 2020, 26, 3119–3128. [Google Scholar] [CrossRef] [PubMed]
- Wang, X.-Y.; Ao, Y.-F.; Wang, Q.-Q.; Wang, D.-X. Synthesis, Structure, Property, and Dinuclear Cu(II) Complexation of Tetraoxacalix[2]arene[2]phenanthrolines. Inorg. Chem. 2018, 57, 13461–13469. [Google Scholar] [CrossRef]
- Bencini, A.; Bianchi, A.; Giorgi, C.; Valtancoli, B. Fluorescent Chemosensors Based upon Macrocyclic Polyamines Containing Aromatic Sectors. J. Incl. Phenom. Macrocycl. Chem. 2001, 41, 87–93. [Google Scholar] [CrossRef]
- Bencini, A.; Bianchi, A.; Fornasari, P.; Giorgi, C.; Paoletti, P.; Valtancoli, B. Cd(II) complexation in aqueous solution with dipyridine- and phenanthroline-containing polyamine macrocycles. Polyhedron 2002, 21, 1329–1335. [Google Scholar] [CrossRef]
- Cruz, C.; Delgado, R.; Drew, M.G.B.; Felix, V. Evaluation of the Binding Ability of a Novel Dioxatetraazamacrocyclic Receptor that Contains Two Phenanthroline Units: Selective Uptake of Carboxylate Anions. J. Org. Chem. 2007, 72, 4023–4034. [Google Scholar] [CrossRef]
- Nadeem, S.; Shah, M.R.; Ali, Q.; Hussain, Z. One Pot Synthesis of 1,10-Phenanthroline-based Shape-Persistent Flourescent Macrocycle Using Sonogashira Coupling. Lett. Org. Chem. 2015, 12, 504–510. [Google Scholar] [CrossRef]
- Wang, K.; Yee, C.-C.; Au-Yeung, H.Y. Facile syntheses of [3]-, [4]- and [6]catenanes templated by orthogonal supramolecular interactions. Chem. Sci. 2016, 7, 2787–2792. [Google Scholar] [CrossRef]
- Berrocal, J.A.; Biagini, C.; Mandolini, L.; Stefano, S.D. Coupling of the Decarboxylation of 2-Cyano-2-phenylpropanoic Acid to Large-Amplitude Motions: A Convenient Fuel for an Acid–Base-Operated Molecular Switch. Angew. Chem. Int. Ed. 2016, 55, 6997–7001. [Google Scholar] [CrossRef]
- Mohankumar, M.; Holler, M.; Meichsner, E.; Nierengarten, J.-F.; Niess, F.; Sauvage, J.-P.; Delavaux-Nicot, B.; Leoni, E.; Monti, F.; Malicka, J.M.; et al. Heteroleptic Copper(I) Pseudorotaxanes Incorporating Macrocyclic Phenanthroline Ligands of Different Sizes. J. Am. Chem. Soc. 2018, 140, 2336–2347. [Google Scholar] [CrossRef]
- Krapcho, A.P.; Sparapani, S.; Leenstra, A.; Seitz, J.D. Displacement reactions of 2-chloro- and 2,9-dichloro-1,10-phenanthroline: Synthesis of a sulfur-bridged bis-1,10-phenanthroline macrocycle and a 2,2′-amino-substituted-bis-1,10-phenanthroline. Tetrahedron Lett. 2009, 50, 3195–3197. [Google Scholar] [CrossRef]
- Matveev, P.; Mohapatra, P.K.; Kalmykov, S.N.; Petrov, V. Solvent extraction systems for mutual separation of Am(III) and Cm(III) from nitric acid solutions. A review of recent state-of-the-art. Solvent Extr. Ion Exch. 2021, 39, 679–713. [Google Scholar] [CrossRef]
- Evsiunina, M.V.; Matveev, P.I.; Kalmykov, S.N.; Petrov, V.G. Solvent Extraction Systems for Separation of An(III) and Ln(III): Overview of Static and Dynamic Tests. Moscow Univ. Chem. Bull. 2021, 76, 287–315. [Google Scholar] [CrossRef]
- Zsabka, P.; Wilden, A.; Van Hecke, K.; Modolo, G.; Verwerft, M.; Cardinaels, T. Beyond U/Pu separation: Separation of americium from the highly active PUREX raffinate. J. Nucl. Mater. 2023, 581, 154445. [Google Scholar] [CrossRef]
- Yang, X.; Xu, L.; Zhang, A.; Xiao, C. Organophosphorus Extractants: A Critical Choice for Actinides/Lanthanides Separation in Nuclear Fuel Cycle. Chem. Eur. J. 2023, 29, e202300456. [Google Scholar] [CrossRef]
- Leoncini, A.; Huskens, J.; Verboom, W. Ligands for f-element extraction used in the nuclear fuel cycle. Chem. Soc. Rev. 2017, 46, 7229–7273. [Google Scholar] [CrossRef]
- Colombo, F.; Annunziata, R.; Raimondi, L.; Benaglia, M. Synthesis of new enantiomerically pure macrocycles containing phenanthroline subunits. Chirality 2006, 18, 446–456. [Google Scholar] [CrossRef]
- Lemport, P.S.; Evsiunina, M.V.; Matveev, P.I.; Petrov, V.S.; Pozdeev, A.S.; Khult, E.K.; Nelyubina, Y.V.; Isakovskaya, K.L.; Roznyatovsky, V.A.; Gloriozov, I.P.; et al. 2-Methylpyrrolidine derived 1,10-phenanthroline-2,9-diamides: Promising extractants for Am(iii)/Ln(iii) separation. Inorg. Chem. Front. 2022, 9, 4402–4412. [Google Scholar] [CrossRef]
- Lemport, P.S.; Matveev, P.I.; Yatsenko, A.V.; Evsiunina, M.V.; Petrov, V.S.; Tarasevich, B.N.; Roznyatovsky, V.A.; Dorovatovskii, P.V.; Khrustalev, V.N.; Zhokhov, S.S.; et al. The impact of alicyclic substituents on the extraction ability of new family of 1,10-phenanthroline-2,9-diamides. RSC Adv. 2020, 10, 26022–26033. [Google Scholar] [CrossRef] [PubMed]
- Gutorova, S.V.; Matveev, P.I.; Lemport, P.S.; Trigub, A.L.; Pozdeev, A.S.; Yatsenko, A.V.; Tarasevich, B.N.; Konopkina, E.A.; Khult, E.K.; Roznyatovsky, V.A.; et al. Structural Insight into Complexation Ability and Coordination of Uranyl Nitrate by 1,10-Phenanthroline-2,9-diamides. Inorg. Chem. 2022, 61, 384–398. [Google Scholar] [CrossRef] [PubMed]
- Gutorova, S.V.; Matveev, P.I.; Lemport, P.S.; Novichkov, D.A.; Gloriozov, I.P.; Avagyan, N.A.; Gudovannyy, A.O.; Nelyubina, Y.V.; Roznyatovsky, V.A.; Petrov, V.G.; et al. Solvation-Anionic Exchange Mechanism of Solvent Extraction: Enhanced U(VI) Uptake by Tetradentate Phenanthroline Ligands. Inorg. Chem. 2023, 62, 487–496. [Google Scholar] [CrossRef] [PubMed]
- Ustynyuk, Y.A.; Zhokhova, N.I.; Gloriozov, I.P.; Matveev, P.I.; Evsiunina, M.V.; Lemport, P.S.; Pozdeev, A.S.; Petrov, V.G.; Yatsenko, A.V.; Tafeenko, V.A.; et al. Competing Routes in the Extraction of Lanthanide Nitrates by 1,10-Phenanthroline-2,9-diamides: An Impact of Structure of Complexes on the Extraction. Int. J. Mol. Sci. 2022, 23, 15538. [Google Scholar] [CrossRef]
- Avagyan, N.A.; Lemport, P.S.; Evsiunina, M.V.; Matveev, P.I.; Aksenova, S.A.; Nelyubina, Y.V.; Yatsenko, A.V.; Tafeenko, V.A.; Petrov, V.G.; Ustynyuk, Y.A.; et al. Pyrrolidine-Derived Phenanthroline Diamides: An Influence of Fluorine Atoms on the Coordination of Lu(III) and Some Other f-Elements and Their Solvent Extraction. Int. J. Mol. Sci. 2023, 24, 5569. [Google Scholar] [CrossRef]
- Petrov, V.S.; Avagyan, N.A.; Lemport, P.S.; Matveev, P.I.; Evsiunina, M.V.; Roznyatovsky, V.A.; Tarasevich, B.N.; Isakovskaya, K.L.; Ustynyuk, Y.A.; Nenajdenko, V.G. 1,10-Phenanthroline-2,9-dicarboxylic acid diamides: Synthesis, structure, and solubility. Russ. Chem. Bull. 2023, 72, 697–705. [Google Scholar] [CrossRef]
- Ustynyuk, Y.A.; Lemport, P.S.; Roznyatovsky, V.A.; Lyssenko, K.A.; Gudovannyy, A.O.; Matveev, P.I.; Khult, E.K.; Evsiunina, M.V.; Petrov, V.G.; Gloriozov, I.P.; et al. First Trifluoromethylated Phenanthrolinediamides: Synthesis, Structure, Stereodynamics and Complexation with Ln(III). Molecules 2022, 27, 3114. [Google Scholar] [CrossRef]
- Avagyan, N.A.; Lemport, P.S.; Lysenko, K.A.; Gudovannyy, A.O.; Roznyatovsky, V.A.; Petrov, V.S.; Vokuev, M.F.; Ustynyuk, Y.A.; Nenajdenko, V.G. First Example of Fluorinated Phenanthroline Diamides: Synthesis, Structural Study, and Complexation with Lanthanoids. Molecules 2022, 27, 4705. [Google Scholar] [CrossRef]
- La, D.D.; Dang, T.D.; Le, P.C.; Bui, X.T.; Chang, S.W.; Chung, W.J.; Kim, S.C.; Nguyen, D.D. Self-assembly of monomeric porphyrin molecules into nanostructures: Self-assembly pathways and applications for sensing and environmental treatment. Environ. Technol. Innov. 2023, 29, 103019. [Google Scholar] [CrossRef]
- Zeng, F.; Liao, J.; Ding, M.-H.; Ou, G.-C. Self-assembled macrocycle that binds polycyclic aromatic hydrocarbons. Dye. Pigment. 2021, 192, 109430. [Google Scholar] [CrossRef]
- Ghorai, A.; Achari, B.; Chattopadhyay, P. Self-assembly of cyclic peptides and peptidomimetic macrocycles: Linking structure with function. Tetrahedron 2016, 72, 3379–3387. [Google Scholar] [CrossRef]
- Allen, F.H.; Kennard, O.; Watson, D.G.; Brammer, L.; Orpen, A.G.; Taylor, R. Tables of bond lengths determined by X-ray and neutron diffraction. Part 1. Bond lengths in organic compounds. J. Chem. Soc. Perkin Trans. 2 1987, 12, S1–S19. [Google Scholar] [CrossRef]
- Service, R.F. How Far Can We Push Chemical Self-Assembly? Science 2005, 309, 95. [Google Scholar] [CrossRef]
- Wu, X.; Wang, P.; Turner, P.; Lewis, W.; Catal, O.; Thomas, D.S.; Gale, P.A. Tetraurea Macrocycles: Aggregation-Driven Binding of Chloride in Aqueous Solutions. Chem 2019, 5, 1210–1222. [Google Scholar] [CrossRef]
- Fan, W.; Yan, W.; Xu, Z.; Ni, H. Formation mechanism of monodisperse, low molecular weight chitosan nanoparticles by ionic gelation technique. Colloids Surf. B Biointerfaces 2012, 90, 21–27. [Google Scholar] [CrossRef]
- Johnson, C.S.; Gabriel, A. Laser Light Scattering; Dover Publications Inc.: New York, NY, USA, 1994. [Google Scholar]
- Gracheva, N.N.; Romanchuk, A.Y.; Smirnov, E.A.; Meledina, M.A.; Garshev, A.V.; Shirshin, E.A.; Fadeev, V.V.; Kalmykov, S.N. Am(III) sorption onto TiO2 samples with different crystallinity and varying pore size distributions. Appl. Geochem. 2014, 42, 69–76. [Google Scholar] [CrossRef]
- Lochhead, M.J.; Wamsley, P.R.; Bray, K.L. Luminescence Spectroscopy of Europium(III) Nitrate, Chloride, and Perchlorate in Mixed Ethanol-Water Solutions. Inorg. Chem. 1994, 33, 2000–2003. [Google Scholar] [CrossRef]
- Kharcheva, A.V.; Charyshnikova, Z.A.; Borisova, N.E.; Sumyanova, T.B.; Farat, O.K.; Kharitonov, D.A.; Patsaeva, S.V. New luminescent pH-responsive europium complex for multimodal sensing in extremely wide pH range. J. Lumin. 2022, 243, 118678. [Google Scholar] [CrossRef]
- Prakash, G.K.S.; Hu, J. “Pentafluorobenzoic Acid” in e-EROS Encyclopedia of Reagents for Organic Synthesis; John Wiley & Sons: Hoboken, NJ, USA, 2005. [Google Scholar] [CrossRef]
- Herbst, R.S.; Law, J.D.; Todd, T.A.; Romanovskii, V.N.; Babain, V.A.; Esimantovski, V.M.; Zaitsev, B.N.; Smirnov, I.V. Development and testing of a cobalt dicarbollide based solvent extraction process for the separation of cesium and strontium from acidic tank waste. Sep. Sci. Technol. 2002, 37, 1807–1831. [Google Scholar] [CrossRef]
- Li, C.; Wu, L.; Chen, L.; Yuan, X. Highly efficient extraction of actinides with pillar[5]arene-derived diglycolamides in ionic liquid via a unique mechanism involving competitive host-guest interactions. Dalton Trans. 2016, 45, 19299–19310. [Google Scholar] [CrossRef]
- Smirnov, I.V.; Stepanova, E.S. Extraction of Americium with Substituted Calix[4]Arenes from Alkaline Solutions. Procedia Chem. 2016, 21, 203–210. [Google Scholar] [CrossRef]
- Sheldrick, G.M. SHELXT—Integrated space-group and crystal-structure determination. Acta Crystallogr. A 2015, 71, 3–8. [Google Scholar] [CrossRef] [PubMed]
- Sheldrick, G.M. Crystal structure refinement with SHELXL. Acta Crystallogr. C 2015, 71, 3–8. [Google Scholar] [CrossRef] [PubMed]
- Blessing, R.H. An empirical correction for absorption anisotropy. Acta Crystallogr. Sect. A Found. Crystallogr. 1995, 51, 33–38. [Google Scholar] [CrossRef] [PubMed]
- Battye, T.G.G.; Kontogiannis, L.; Johnson, O.; Powell, H.R.; Leslie, A.G.W. iMOSFLM: A new graphical interface for diffraction-image processing with MOSFLM. Acta Cryst. D 2011, 67, 271–281. [Google Scholar] [CrossRef]
- Evans, P.R. Scaling and assessment of data quality. Acta Cryst. D 2006, 62, 72–82. [Google Scholar] [CrossRef]
- Spek, A.L. CheckCIF validation ALERTS: What they mean and how to respond. Acta Crystallogr. E 2020, 76, 1–11. [Google Scholar] [CrossRef]
- Lawson, C.L.; Hanson, R.J. Solving Least Squares Problems; Prentice-Hall: Englewood Cliffs, NJ, USA, 1995. [Google Scholar]
- Dyall, K.G. An exact separation of the spin-free and spin-dependent terms of the Dirac–Coulomb–Breit Hamiltonian. J. Chem. Phys. 1994, 100, 2118–2127. [Google Scholar] [CrossRef]
- Laikov, D.N. Atomic basis functions for molecular electronic structure calculations. Theor. Chem. Acc. 2019, 138, 40. [Google Scholar] [CrossRef]
- Hirshfeld, F.L. Bonded-atom fragments for describing molecular charge densities. Theor. Chim. Acta 1977, 44, 129–138. [Google Scholar] [CrossRef]
- Laikov, D.N.; Ustynyuk, Y.A. PRIRODA-04: A quantum-chemical program suite. New possibilities in the study of molecular systems with the application of parallel computing. Russ. Chem. Bull. 2005, 54, 820–826. [Google Scholar] [CrossRef]















| Code | X | Solubility, mol·L−1 | LogP ** | ||
|---|---|---|---|---|---|
| CH3CN | CHCl3 | F-3 * | |||
| L2 | H | <1 × 10−5 | ~1 × 10−4 | ~7 × 10−4 | −3.78 ± 1.65 |
| L3 | Cl | ~1 × 10−4 | ~2 × 10−3 | ~3 × 10−3 | −1.00 ± 1.66 |
Disclaimer/Publisher’s Note: The statements, opinions and data contained in all publications are solely those of the individual author(s) and contributor(s) and not of MDPI and/or the editor(s). MDPI and/or the editor(s) disclaim responsibility for any injury to people or property resulting from any ideas, methods, instructions or products referred to in the content. |
© 2023 by the authors. Licensee MDPI, Basel, Switzerland. This article is an open access article distributed under the terms and conditions of the Creative Commons Attribution (CC BY) license (https://creativecommons.org/licenses/by/4.0/).
Share and Cite
Lemport, P.S.; Petrov, V.S.; Matveev, P.I.; Leksina, U.M.; Roznyatovsky, V.A.; Gloriozov, I.P.; Yatsenko, A.V.; Tafeenko, V.A.; Dorovatovskii, P.V.; Khrustalev, V.N.; et al. First 24-Membered Macrocyclic 1,10-Phenanthroline-2,9-Diamides—An Efficient Switch from Acidic to Alkaline Extraction of f-Elements. Int. J. Mol. Sci. 2023, 24, 10261. https://doi.org/10.3390/ijms241210261
Lemport PS, Petrov VS, Matveev PI, Leksina UM, Roznyatovsky VA, Gloriozov IP, Yatsenko AV, Tafeenko VA, Dorovatovskii PV, Khrustalev VN, et al. First 24-Membered Macrocyclic 1,10-Phenanthroline-2,9-Diamides—An Efficient Switch from Acidic to Alkaline Extraction of f-Elements. International Journal of Molecular Sciences. 2023; 24(12):10261. https://doi.org/10.3390/ijms241210261
Chicago/Turabian StyleLemport, Pavel S., Valentine S. Petrov, Petr I. Matveev, Uliana M. Leksina, Vitaly A. Roznyatovsky, Igor P. Gloriozov, Alexandr V. Yatsenko, Viktor A. Tafeenko, Pavel V. Dorovatovskii, Viktor N. Khrustalev, and et al. 2023. "First 24-Membered Macrocyclic 1,10-Phenanthroline-2,9-Diamides—An Efficient Switch from Acidic to Alkaline Extraction of f-Elements" International Journal of Molecular Sciences 24, no. 12: 10261. https://doi.org/10.3390/ijms241210261
APA StyleLemport, P. S., Petrov, V. S., Matveev, P. I., Leksina, U. M., Roznyatovsky, V. A., Gloriozov, I. P., Yatsenko, A. V., Tafeenko, V. A., Dorovatovskii, P. V., Khrustalev, V. N., Budylin, G. S., Shirshin, E. A., Markov, V. Y., Goryunkov, A. A., Petrov, V. G., Ustynyuk, Y. A., & Nenajdenko, V. G. (2023). First 24-Membered Macrocyclic 1,10-Phenanthroline-2,9-Diamides—An Efficient Switch from Acidic to Alkaline Extraction of f-Elements. International Journal of Molecular Sciences, 24(12), 10261. https://doi.org/10.3390/ijms241210261

