Identification of New Potential Prognostic and Predictive Markers in High-Grade Osteosarcoma Using Whole Exome Sequencing
Abstract
1. Introduction
2. Results
2.1. Patient Characteristics
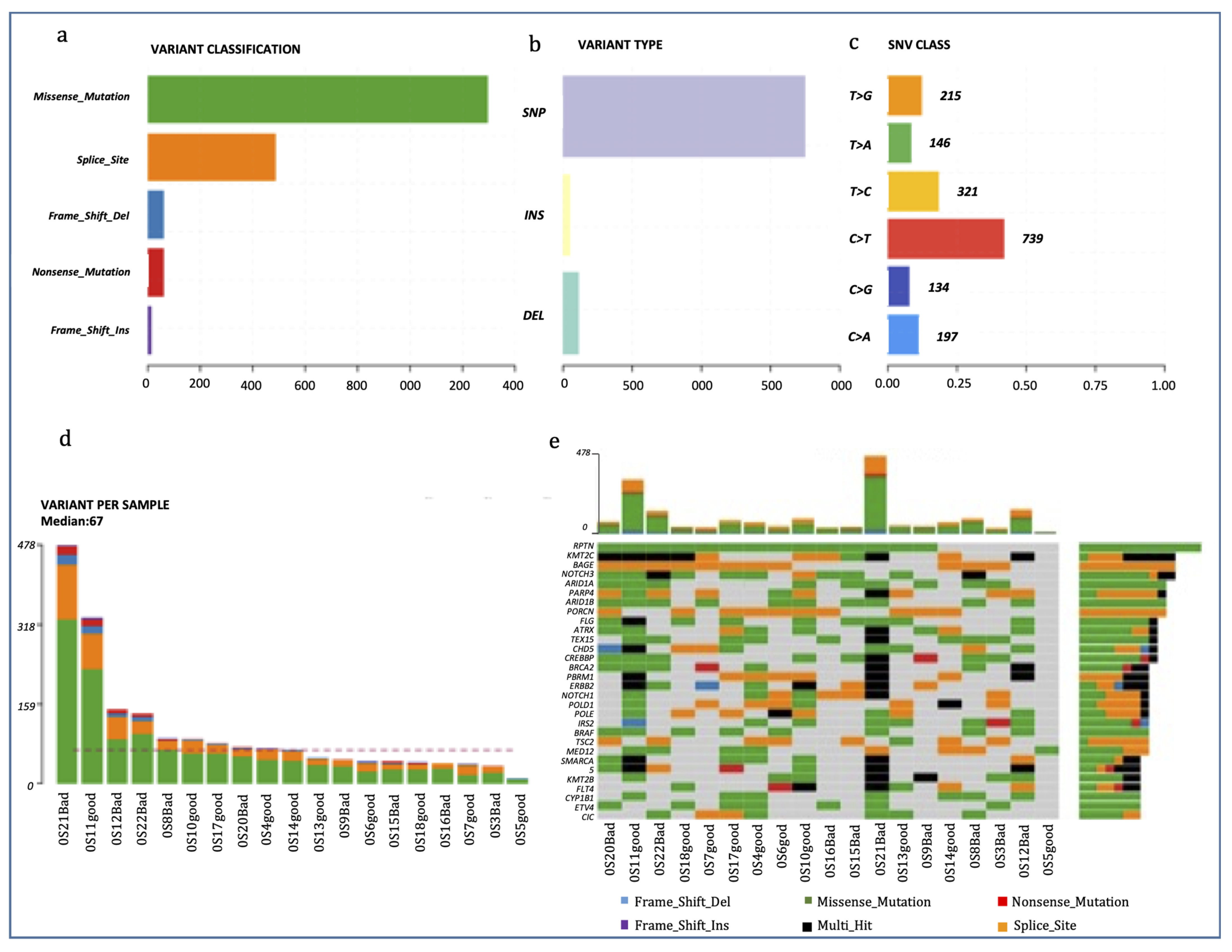
2.2. Landscape of Genomic Alterations
2.3. Genomic Characteristics in OS with Different Treatment Responses
2.4. Genomic Characteristics of OS according to Disease Status
3. Discussion
4. Materials and Methods
4.1. Case Selection
4.2. DNA Extraction and Quantification
4.3. Whole Exome Sequencing
4.4. Bioinformatic NGS Analysis
4.5. Statistical Analysis
5. Conclusions
Supplementary Materials
Author Contributions
Funding
Institutional Review Board Statement
Informed Consent Statement
Data Availability Statement
Conflicts of Interest
References
- Picci, P. Osteosarcoma (Osteogenic Sarcoma). Orphanet J. Rare Dis. 2007, 2, 4–7. [Google Scholar] [CrossRef] [PubMed]
- Rosen, G.; Caparros, B.; Huvos, A.G.; Kosloff, C.; Nirenberg, A.; Cacavio, A.; Marcove, R.C.; Lane, J.M.; Mehta, B.; Urban, C. Preoperative Chemotherapy for Osteogenic Sarcoma: Selection of Postoperative Adjuvant Chemotherapy Based on the Response of the Primary Tumor to Preoperative Chemotherapy. Cancer 1982, 49, 1221–1230. [Google Scholar] [CrossRef] [PubMed]
- Picci, P.; Bacci, G.; Campanacci, M.; Gasparini, M.; Pilotti, S.; Cerasoli, S.; Bertoni, F.; Guerra, A.; Capanna, R.; Albisinni, U.; et al. Histologic Evaluation of Necrosis in Osteosarcoma Induced by Chemotherapy. Regional Mapping of Viable and Nonviable Tumor. Cancer 1985, 56, 1515–1521. [Google Scholar] [CrossRef] [PubMed]
- Tsuda, Y.; Tsoi, K.; Parry, M.C.; Stevenson, J.D.; Fujiwara, T.; Sumathi, V.; Jeys, L.M. Impact of Chemotherapy-Induced Necrosis on Event-Free and Overall Survival after Preoperative MAP Chemotherapy in Patients with Primary High-Grade Localized Osteosarcoma. Bone Joint J. 2020, 102-B, 795–803. [Google Scholar] [CrossRef]
- Li, X.; Ashana, A.O.; Moretti, V.M.; Lackman, R.D. The Relation of Tumour Necrosis and Survival in Patients with Osteosarcoma. Int. Orthop. 2011, 35, 1847. [Google Scholar] [CrossRef]
- Prabowo, Y.; Setiawan, I.; Kamal, A.F.; Kodrat, E.; Labib Zufar, M.L. Correlation between Prognostic Factors and the Histopathological Response to Neoadjuvant Chemotherapy in Osteosarcoma: A Retrospective Study. Int. J. Surg. Oncol. 2021, 2021, 8843325. [Google Scholar] [CrossRef]
- Erdoğan, F.; Çinka, H.; Akman, B.Ç.; Coşkun, H.S.; Dabak, N. Analysis of Prognostic Factors and Histopathological Response to Neoadjuvant Chemotherapy in Osteosarcoma. Jt. Dis. Relat. Surg. 2023, 34, 196. [Google Scholar] [CrossRef]
- Franceschini, N.; Lam, S.W.; Cleton-Jansen, A.M.; Bovée, J.V.M.G. What’s New in Bone Forming Tumours of the Skeleton? Virchows Arch. 2020, 476, 147–157. [Google Scholar] [CrossRef]
- Rickel, K.; Fang, F.; Tao, J. Molecular Genetics of Osteosarcoma. Bone 2017, 102, 69–79. [Google Scholar] [CrossRef]
- Czarnecka, A.M.; Synoradzki, K.; Firlej, W.; Bartnik, E.; Sobczuk, P.; Fiedorowicz, M.; Grieb, P.; Rutkowski, P. Molecular Biology of Osteosarcoma. Cancers 2020, 12, 2130. [Google Scholar] [CrossRef]
- Ruijs, M.W.G.; Broeks, A.; Menko, F.H.; Ausems, M.G.E.M.; Wagner, A.; Oldenburg, R.; Meijers-Heijboer, H.; van’t Veer, L.J.; Verhoef, S. The Contribution of CHEK2 to the TP53-Negative Li-Fraumeni Phenotype. Hered. Cancer Clin. Pract. 2009, 7, 4. [Google Scholar] [CrossRef]
- Marees, T.; Moll, A.C.; Imhof, S.M.; De Boer, M.R.; Ringens, P.J.; Van Leeuwen, F.E. Risk of Second Malignancies in Survivors of Retinoblastoma: More than 40 Years of Follow-Up. J. Natl. Cancer Inst. 2008, 100, 1771–1779. [Google Scholar] [CrossRef]
- Hameed, M.; Mandelker, D. Tumor Syndromes Predisposing to Osteosarcoma. Adv. Anat. Pathol. 2018, 25, 217. [Google Scholar] [CrossRef]
- Franceschini, N.; Gaeta, R.; Krimpenfort, P.; Briaire-de Bruijn, I.; Kruisselbrink, A.B.; Szuhai, K.; Palubeckaitė, I.; Cleton-Jansen, A.M.; Bovée, J.V.M.G. A Murine Mesenchymal Stem Cell Model for Initiating Events in Osteosarcomagenesis Points to CDK4/CDK6 Inhibition as a Therapeutic Target. Lab. Investig. 2022, 102, 391–400. [Google Scholar] [CrossRef]
- Kovac, M.; Blattmann, C.; Ribi, S.; Smida, J.; Mueller, N.S.; Engert, F.; Castro-Giner, F.; Weischenfeldt, J.; Kovacova, M.; Krieg, A.; et al. Exome Sequencing of Osteosarcoma Reveals Mutation Signatures Reminiscent of BRCA Deficiency. Nat. Commun. 2015, 6, 8940. [Google Scholar] [CrossRef] [PubMed]
- Martin, J.W.; Squire, J.A.; Zielenska, M. The Genetics of Osteosarcoma. Sarcoma 2012, 2012, 627254. [Google Scholar] [CrossRef]
- Negri, G.; Milani, D.; Colapietro, P.; Forzano, F.; Della Monica, M.; Rusconi, D.; Consonni, L.; Caffi, L.G.; Finelli, P.; Scarano, G.; et al. Clinical and Molecular Characterization of Rubinstein-Taybi Syndrome Patients Carrying Distinct Novel Mutations of the EP300 Gene. Clin. Genet. 2015, 87, 148–154. [Google Scholar] [CrossRef] [PubMed]
- Sima, A.; Smădeanu, R.E.; Simionescu, A.A.; Nedelea, F.; Vlad, A.M.; Becheanu, C. Menke–Hennekam Syndrome: A Literature Review and a New Case Report. Children 2022, 9, 759. [Google Scholar] [CrossRef]
- Reimann, E.; Kõks, S.; Ho, X.D.; Maasalu, K.; Märtson, A. Whole Exome Sequencing of a Single Osteosarcoma Case—Integrative Analysis with Whole Transcriptome RNA-Seq Data. Hum. Genom. 2014, 8, 20. [Google Scholar] [CrossRef]
- Rahmanto, Y.S.; Jung, J.G.; Wu, R.C.; Kobayashi, Y.; Heaphy, C.M.; Meeker, A.K.; Wang, T.L.; Shih, I.M. Inactivating ARID1A Tumor Suppressor Enhances TERT Transcription and Maintains Telomere Length in Cancer Cells. J. Biol. Chem. 2016, 291, 9690–9699. [Google Scholar] [CrossRef] [PubMed]
- Liu, J.F.; Matulonis, U.A. What Is the Place of PARP Inhibitors in Ovarian Cancer Treatment? Curr. Oncol. Rep. 2016, 18, 29. [Google Scholar] [CrossRef]
- Fatema, K.; Plyler, S.; Pavek, A.; Nartker, C.; Wang, Y.; Jones, K.; Barrott, J. Abstract 1082: Arid1a Deletion Results in Enhanced Osteosarcomagenesis and Altered Chromosome Structure. Cancer Res. 2020, 80, 1082. [Google Scholar] [CrossRef]
- Zoumpoulidou, G.; Alvarez-Mendoza, C.; Mancusi, C.; Ahmed, R.M.; Denman, M.; Steele, C.D.; Tarabichi, M.; Roy, E.; Davies, L.R.; Manji, J.; et al. Therapeutic Vulnerability to PARP1,2 Inhibition in RB1-Mutant Osteosarcoma. Nat. Commun. 2021, 12, 7064. [Google Scholar] [CrossRef] [PubMed]
- Syed, A.; Tainer, J.A. The MRE11-RAD50-NBS1 Complex Conducts the Orchestration of Damage Signaling and Outcomes to Stress in DNA Replication and Repair. Annu. Rev. Biochem. 2018, 87, 263–294. [Google Scholar] [CrossRef] [PubMed]
- Oplustilova, L.; Wolanin, K.; Mistrik, M.; Korinkova, G.; Simkova, D.; Bouchal, J.; Lenobel, R.; Bartkova, J.; Lau, A.; O’Connor, M.J.; et al. Evaluation of Candidate Biomarkers to Predict Cancer Cell Sensitivity or Resistance to PARP-1 Inhibitor Treatment. Cell Cycle 2012, 11, 3837–3850. [Google Scholar] [CrossRef]
- Owada-Ozaki, Y.; Muto, S.; Takagi, H.; Inoue, T.; Watanabe, Y.; Fukuhara, M.; Yamaura, T.; Okabe, N.; Matsumura, Y.; Hasegawa, T.; et al. Prognostic Impact of Tumor Mutation Burden in Patients with Completely Resected Non–Small Cell Lung Cancer: Brief Report. J. Thorac. Oncol. 2018, 13, 1217–1221. [Google Scholar] [CrossRef]
- Cao, D.; Xu, H.; Xu, X.; Guo, T.; Ge, W. High Tumor Mutation Burden Predicts Better Efficacy of Immunotherapy: A Pooled Analysis of 103078 Cancer Patients. Oncoimmunology 2019, 8, e1629258. [Google Scholar] [CrossRef]
- Xie, L.; Yang, Y.; Guo, W.; Che, D.; Xu, J.; Sun, X.; Liu, K.; Ren, T.; Liu, X.; Yang, Y.; et al. The Clinical Implications of Tumor Mutational Burden in Osteosarcoma. Front. Oncol. 2021, 10, 595527. [Google Scholar] [CrossRef]
- Bacci, G.; Mercuri, M.; Longhi, A.; Ferrari, S.; Bertoni, F.; Versari, M.; Picci, P. Grade of Chemotherapy-Induced Necrosis as a Predictor of Local and Systemic Control in 881 Patients with Non-Metastatic Osteosarcoma of the Extremities Treated with Neoadjuvant Chemotherapy in a Single Institution. Eur. J. Cancer 2005, 41, 2079–2085. [Google Scholar] [CrossRef]
- Guo, Y.; Ding, X.; Shen, Y.; Lyon, G.J.; Wang, K. SeqMule: Automated Pipeline for Analysis of Human Exome/Genome Sequencing Data. Sci. Rep. 2015, 5, 14283. [Google Scholar] [CrossRef]
- Dunn, T.; Berry, G.; Emig-Agius, D.; Jiang, Y.; Lei, S.; Iyer, A.; Udar, N.; Chuang, H.Y.; Hegarty, J.; Dickover, M.; et al. Pisces: An Accurate and Versatile Variant Caller for Somatic and Germline next-Generation Sequencing Data. Bioinformatics 2019, 35, 1579–1581. [Google Scholar] [CrossRef] [PubMed]
- Karczewski, K.J.; Francioli, L.C.; Tiao, G.; Cummings, B.B.; Alföldi, J.; Wang, Q.; Collins, R.L.; Laricchia, K.M.; Ganna, A.; Birnbaum, D.P.; et al. The Mutational Constraint Spectrum Quantified from Variation in 141,456 Humans. Nature 2020, 581, 434–443. [Google Scholar] [CrossRef] [PubMed]
- Mayakonda, A.; Lin, D.C.; Assenov, Y.; Plass, C.; Koeffler, H.P. Maftools: Efficient and Comprehensive Analysis of Somatic Variants in Cancer. Genome Res. 2018, 28, 1747–1756. [Google Scholar] [CrossRef]
- Talevich, E.; Shain, A.H.; Botton, T.; Bastian, B.C. CNVkit: Genome-Wide Copy Number Detection and Visualization from Targeted DNA Sequencing. PLoS Comput. Biol. 2016, 12, e1004873. [Google Scholar] [CrossRef]
- Franch-Expósito, S.; Bassaganyas, L.; Vila-Casadesús, M.; Hernández-Illán, E.; Esteban-Fabró, R.; Díaz-Gay, M.; Lozano, J.J.; Castells, A.; Llovet, J.M.; Castellví-Bel, S.; et al. CNApp, a Tool for the Quantification of Copy Number Alterations and Integrative Analysis Revealing Clinical Implications. eLife 2020, 9, e50267. [Google Scholar] [CrossRef] [PubMed]
- Ferreira, J.A. The Benjamini-Hochberg Method in the Case of Discrete Test Statistics. Int. J. Biostat. 2007, 3, 11. [Google Scholar] [CrossRef] [PubMed]




| Patient nr. | Age at Diagnosis | Sex | Histotype | Site | Drug Treatment | Surgical Treatment | Necrosis | Metastases at Diagnosis | Follow Up |
|---|---|---|---|---|---|---|---|---|---|
| (Huvos Grade) | (Months after First Diagnosis) | ||||||||
| OS3 | 10 | M | High-grade osteoblastic | Distal femur (left) | MAPI + Mepact | Wide excision | 80% | No | Pulmonary metastases; |
| (Grade II) | AWD (29) | ||||||||
| OS4 | 10 | F | High-grade, NOS | Distal femur (right) | MAP + Mepact | Wide excision | 95% | Pulmonary and bilateral bone lesions | Pulmonary metastases; |
| (Grade III) | AWD, in therapy (9) | ||||||||
| OS5 | 12 | M | High-grade osteoblastic | Distal femur (left) | MAP | Wide excision | 95% | No | NED (45) |
| (Grade III) | |||||||||
| OS6 | 13 | M | High-grade, NOS | Distal femur (left) | MAP | Wide excision | 98% | No | NED (43) |
| (Grade III) | |||||||||
| OS7 | 13 | F | High-grade fibroblastic/chondroblastic | Distal femur (right) | MAP + Mepact | Wide excision | 95% | No | NED (36) |
| (Grade III) | |||||||||
| OS8 | 14 | M | High-grade osteoblastic | Distal femur (right) | MAP | Wide excision | 70% | No | Several local recurrences; |
| (Grade II) | AWD, in therapy (54) | ||||||||
| OS9 | 14 | M | High-grade osteoblastic | Proximal humerus (right) | MAP | Amputation | 45% | No | DOD (16) |
| (Grade I) | |||||||||
| OS10 | 14 | M | High-grade osteoblastic | Proximal humerus (right) | MAP | Wide excision | 99% | No | NED (52) |
| (Grade III) | |||||||||
| OS11 | 15 | F | High-grade fibroblastic | Distal femur (left) | MAP | Wide excision | 95% | No | DOD (40) |
| (Grade III) | |||||||||
| OS12 | 15 | M | High-grade osteoblastic | Proximal tibia (right) | MAP | Wide excision | 80% | No | DOD (23) |
| (Grade II) | |||||||||
| OS13 | 16 | F | High-grade osteoblastic | Distal femur (left) | MAPI + Mepact | Wide excision; subsequent amputation | 98% | Lung (bilateral) and controlateral thigh lesion | NED (50) |
| (Grade III) | |||||||||
| OS14 | 16 | M | High-grade fibroblastic | Proximal fibula (left) | MAP + Mepact | Wide excision | 98% | No | In therapy (9) |
| (Grade III) | |||||||||
| OS15 | 18 | M | High-grade osteoblastic | Distal femur (right) | MAP | Wide excision | 80% | No | Pulmonary metastases; |
| (Grade II) | NED after chemotherapy (35) | ||||||||
| OS16 | 19 | M | High-grade, NOS | Distal femur (right) | MAPI + Mepact | Wide excision | 75% | No | NED (41) |
| (Grade II) | |||||||||
| OS17 | 19 | M | High-grade, NOS | Distal femur (right) | MAP + Mepact | Wide excision | 95% | No | In therapy (6) |
| (Grade III) | |||||||||
| OS18 | 20 | M | High-grade, NOS | Proximal tibia (left) | MAP | Wide excision | 98% | No | NED (25) |
| (Grade III) | |||||||||
| OS20 | 22 | M | High-grade osteoblastic | Distal femur (right) | MAPI + Mepact | Wide excision | 80% | No | Pulmonary metastases; |
| (Grade II) | NED after chemotherapy (30) | ||||||||
| OS21 | 27 | M | High-grade chondroblastic | Distal femur (right) | MAP | Wide excision | 20% | No | DOD after pulmonary tumor thromboses (32) |
| (Grade I) | |||||||||
| OS22 | 34 | F | High-grade osteoblastic | Distal femur (right) | MAP | Wide excision | 60% | No | Pulmonary metastases; |
| (Grade II) | AWD (45) |
Disclaimer/Publisher’s Note: The statements, opinions and data contained in all publications are solely those of the individual author(s) and contributor(s) and not of MDPI and/or the editor(s). MDPI and/or the editor(s) disclaim responsibility for any injury to people or property resulting from any ideas, methods, instructions or products referred to in the content. |
© 2023 by the authors. Licensee MDPI, Basel, Switzerland. This article is an open access article distributed under the terms and conditions of the Creative Commons Attribution (CC BY) license (https://creativecommons.org/licenses/by/4.0/).
Share and Cite
Gaeta, R.; Morelli, M.; Lessi, F.; Mazzanti, C.M.; Menicagli, M.; Capanna, R.; Andreani, L.; Coccoli, L.; Aretini, P.; Franchi, A. Identification of New Potential Prognostic and Predictive Markers in High-Grade Osteosarcoma Using Whole Exome Sequencing. Int. J. Mol. Sci. 2023, 24, 10086. https://doi.org/10.3390/ijms241210086
Gaeta R, Morelli M, Lessi F, Mazzanti CM, Menicagli M, Capanna R, Andreani L, Coccoli L, Aretini P, Franchi A. Identification of New Potential Prognostic and Predictive Markers in High-Grade Osteosarcoma Using Whole Exome Sequencing. International Journal of Molecular Sciences. 2023; 24(12):10086. https://doi.org/10.3390/ijms241210086
Chicago/Turabian StyleGaeta, Raffaele, Mariangela Morelli, Francesca Lessi, Chiara Maria Mazzanti, Michele Menicagli, Rodolfo Capanna, Lorenzo Andreani, Luca Coccoli, Paolo Aretini, and Alessandro Franchi. 2023. "Identification of New Potential Prognostic and Predictive Markers in High-Grade Osteosarcoma Using Whole Exome Sequencing" International Journal of Molecular Sciences 24, no. 12: 10086. https://doi.org/10.3390/ijms241210086
APA StyleGaeta, R., Morelli, M., Lessi, F., Mazzanti, C. M., Menicagli, M., Capanna, R., Andreani, L., Coccoli, L., Aretini, P., & Franchi, A. (2023). Identification of New Potential Prognostic and Predictive Markers in High-Grade Osteosarcoma Using Whole Exome Sequencing. International Journal of Molecular Sciences, 24(12), 10086. https://doi.org/10.3390/ijms241210086

