Soluble ST2 in Patients with Carotid Artery Stenosis—Association with Plaque Morphology and Long-Term Outcome
Abstract
1. Introduction
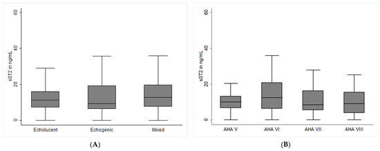
2. Results
3. Discussion
Limitations
4. Materials and Methods
4.1. Patient Population
4.2. Carotid Plaque Morphology
4.3. Soluble ST2 Measurement
4.4. Statistical Analysis
5. Conclusions
Author Contributions
Funding
Institutional Review Board Statement
Informed Consent Statement
Conflicts of Interest
References
- Herrington, W.; Lacey, B.; Sherliker, P.; Armitage, J.; Lewington, S. Epidemiology of Atherosclerosis and the Potential to Reduce the Global Burden of Atherothrombotic Disease. Circ. Res. 2016, 118, 535–546. [Google Scholar] [CrossRef] [PubMed]
- Carballo-Perich, L.; Puigoriol-Illamola, D.; Bashir, S.; Terceno, M.; Silva, Y.; Gubern-Merida, C.; Serena, J. Clinical Parameters and Epigenetic Biomarkers of Plaque Vulnerability in Patients with Carotid Stenosis. Int. J. Mol. Sci. 2022, 23, 5149. [Google Scholar] [CrossRef] [PubMed]
- Demyanets, S.; Stojkovic, S.; Huber, K.; Wojta, J. The Paradigm Change of IL-33 in Vascular Biology. Int. J. Mol. Sci. 2021, 22, 13288. [Google Scholar] [CrossRef] [PubMed]
- Altara, R.; Ghali, R.; Mallat, Z.; Cataliotti, A.; Booz, G.W.; Zouein, F.A. Conflicting vascular and metabolic impact of the IL-33/sST2 axis. Cardiovasc. Res. 2018, 114, 1578–1594. [Google Scholar] [CrossRef]
- Demyanets, S.; Konya, V.; Kastl, S.P.; Kaun, C.; Rauscher, S.; Niessner, A.; Pentz, R.; Pfaffenberger, S.; Rychli, K.; Lemberger, C.E.; et al. Interleukin-33 induces expression of adhesion molecules and inflammatory activation in human endothelial cells and in human atherosclerotic plaques. Arterioscler. Thromb. Vasc. Biol. 2011, 31, 2080–2089. [Google Scholar] [CrossRef]
- Sanada, S.; Hakuno, D.; Higgins, L.J.; Schreiter, E.R.; McKenzie, A.N.; Lee, R.T. IL-33 and ST2 comprise a critical biomechanically induced and cardioprotective signaling system. J. Clin. Investig. 2007, 117, 1538–1549. [Google Scholar] [CrossRef]
- Shimpo, M.; Morrow, D.A.; Weinberg, E.O.; Sabatine, M.S.; Murphy, S.A.; Antman, E.M.; Lee, R.T. Serum levels of the interleukin-1 receptor family member ST2 predict mortality and clinical outcome in acute myocardial infarction. Circulation 2004, 109, 2186–2190. [Google Scholar] [CrossRef]
- Demyanets, S.; Speidl, W.S.; Tentzeris, I.; Jarai, R.; Katsaros, K.M.; Farhan, S.; Krychtiuk, K.A.; Wonnerth, A.; Weiss, T.W.; Huber, K.; et al. Soluble ST2 and interleukin-33 levels in coronary artery disease: Relation to disease activity and adverse outcome. PLoS ONE 2014, 9, e95055. [Google Scholar] [CrossRef]
- Urban, M.H.; Stojkovic, S.; Demyanets, S.; Hengstenberg, C.; Valipour, A.; Wojta, J.; Burghuber, O.C. Soluble ST2 and All-Cause Mortality in Patients with Chronic Obstructive Pulmonary Disease—A 10-Year Cohort Study. J. Clin. Med. 2021, 11, 56. [Google Scholar] [CrossRef]
- Meijers, W.C.; Bayes-Genis, A.; Mebazaa, A.; Bauersachs, J.; Cleland, J.G.F.; Coats, A.J.S.; Januzzi, J.L.; Maisel, A.S.; McDonald, K.; Mueller, T.; et al. Circulating heart failure biomarkers beyond natriuretic peptides: Review from the Biomarker Study Group of the Heart Failure Association (HFA), European Society of Cardiology (ESC). Eur. J. Heart Fail. 2021, 23, 1610–1632. [Google Scholar] [CrossRef]
- Willems, S.; Quax, P.H.; de Borst, G.J.; de Vries, J.P.; Moll, F.L.; de Kleijn, D.P.; Hoefer, I.E.; Pasterkamp, G. Soluble ST2 levels are not associated with secondary cardiovascular events and vulnerable plaque phenotype in patients with carotid artery stenosis. Atherosclerosis 2013, 231, 48–53. [Google Scholar] [CrossRef]
- Scicchitano, P.; Marzullo, A.; Santoro, A.; Zito, A.; Cortese, F.; Galeandro, C.; Ciccone, A.S.; Angiletta, D.; Manca, F.; Pulli, R.; et al. The Prognostic Role of ST2L and sST2 in Patients Who Underwent Carotid Plaque Endarterectomy: A Five-Year Follow-Up Study. J. Clin. Med. 2022, 11, 3142. [Google Scholar] [CrossRef]
- Miller, A.M.; Xu, D.; Asquith, D.L.; Denby, L.; Li, Y.; Sattar, N.; Baker, A.H.; McInnes, I.B.; Liew, F.Y. IL-33 reduces the development of atherosclerosis. J. Exp. Med. 2008, 205, 339–346. [Google Scholar] [CrossRef]
- Stojkovic, S.; Kaun, C.; Heinz, M.; Krychtiuk, K.A.; Rauscher, S.; Lemberger, C.E.; de Martin, R.; Groger, M.; Petzelbauer, P.; Huk, I.; et al. Interleukin-33 induces urokinase in human endothelial cells—Possible impact on angiogenesis. J. Thromb. Haemost. 2014, 12, 948–957. [Google Scholar] [CrossRef]
- Stojkovic, S.; Kaun, C.; Basilio, J.; Rauscher, S.; Hell, L.; Krychtiuk, K.A.; Bonstingl, C.; de Martin, R.; Groger, M.; Ay, C.; et al. Tissue factor is induced by interleukin-33 in human endothelial cells: A new link between coagulation and inflammation. Sci. Rep. 2016, 6, 25171. [Google Scholar] [CrossRef]
- Stojkovic, S.; Thulin, A.; Hell, L.; Thaler, B.; Rauscher, S.; Baumgartner, J.; Groger, M.; Ay, C.; Demyanets, S.; Neumayer, C.; et al. IL-33 stimulates the release of procoagulant microvesicles from human monocytes and differentially increases tissue factor in human monocyte subsets. Thromb. Haemost. 2017, 117, 1379–1390. [Google Scholar] [CrossRef]
- Libby, P. The changing Nature of atherosclerosis: What we thought we knew, what we think we know, and what we have to learn. Eur. Heart J. 2021, 42, 4781–4782. [Google Scholar] [CrossRef]
- Dieplinger, B.; Egger, M.; Haltmayer, M.; Kleber, M.E.; Scharnagl, H.; Silbernagel, G.; de Boer, R.A.; Maerz, W.; Mueller, T. Increased soluble ST2 predicts long-term mortality in patients with stable coronary artery disease: Results from the Ludwigshafen risk and cardiovascular health study. Clin. Chem. 2014, 60, 530–540. [Google Scholar] [CrossRef]
- Van den Berg, V.J.; Vroegindewey, M.M.; Umans, V.A.; van der Harst, P.; Asselbergs, F.W.; Akkerhuis, K.M.; Kardys, I.; Boersma, E.; BIOMArCS Investigators. Persistently elevated levels of sST2 after acute coronary syndrome are associated with recurrent cardiac events. Biomarkers 2022, 27, 264–269. [Google Scholar] [CrossRef]
- Dieplinger, B.; Bocksrucker, C.; Egger, M.; Eggers, C.; Haltmayer, M.; Mueller, T. Prognostic Value of Inflammatory and Cardiovascular Biomarkers for Prediction of 90-Day All-Cause Mortality after Acute Ischemic Stroke-Results from the Linz Stroke Unit Study. Clin. Chem. 2017, 63, 1101–1109. [Google Scholar] [CrossRef]
- Stojkovic, S.; Demyanets, S.; Kopp, C.W.; Hengstenberg, C.; Wojta, J.; Eichelberger, B.; Panzer, S.; Gremmel, T. Association of Soluble Suppression of Tumorigenesis 2 (sST2) with Platelet Activation, Monocyte Tissue Factor and Ischemic Outcomes Following Angioplasty and Stenting. Front. Cardiovasc. Med. 2020, 7, 605669. [Google Scholar] [CrossRef] [PubMed]
- Wang, Y.; Tan, X.; Gao, H.; Yuan, H.; Hu, R.; Jia, L.; Zhu, J.; Sun, L.; Zhang, H.; Huang, L.; et al. Magnitude of Soluble ST2 as a Novel Biomarker for Acute Aortic Dissection. Circulation 2018, 137, 259–269. [Google Scholar] [CrossRef] [PubMed]
- Klopf, J.; Demyanets, S.; Brekalo, M.; Eilenberg, W.; Wojta, J.; Neumayer, C.; Brostjan, C.; Stojkovic, S. Soluble ST2 as a Potential Biomarker for Abdominal Aortic Aneurysms—A Single-Center Retrospective Cohort Study. Int. J. Mol. Sci. 2022, 23, 9598. [Google Scholar] [CrossRef] [PubMed]
- Zhang, T.; Xu, C.; Zhao, R.; Cao, Z. Diagnostic Value of sST2 in Cardiovascular Diseases: A Systematic Review and Meta-Analysis. Front. Cardiovasc. Med. 2021, 8, 697837. [Google Scholar] [CrossRef]
- Achim, A.; Lacko, D.; Huttl, A.; Csobay-Novak, C.; Csavajda, A.; Sotonyi, P.; Merkely, B.; Nemes, B.; Ruzsa, Z. Impact of Diabetes Mellitus on Early Clinical Outcome and Stent Restenosis after Carotid Artery Stenting. J. Diabetes Res. 2022, 2022, 4196195. [Google Scholar] [CrossRef]
- Stankovic, M.; Ljujic, B.; Babic, S.; Maravic-Stojkovic, V.; Mitrovic, S.; Arsenijevic, N.; Radak, D.; Pejnovic, N.; Lukic, M.L. IL-33/IL-33R in various types of carotid artery atherosclerotic lesions. Cytokine 2019, 120, 242–250. [Google Scholar] [CrossRef]
- Coglianese, E.E.; Larson, M.G.; Vasan, R.S.; Ho, J.E.; Ghorbani, A.; McCabe, E.L.; Cheng, S.; Fradley, M.G.; Kretschman, D.; Gao, W.; et al. Distribution and clinical correlates of the interleukin receptor family member soluble ST2 in the Framingham Heart Study. Clin. Chem. 2012, 58, 1673–1681. [Google Scholar] [CrossRef]
- Van Dam-Nolen, D.H.K.; van Egmond, N.C.M.; Koudstaal, P.J.; van der Lugt, A.; Bos, D. Sex Differences in Carotid Atherosclerosis: A Systematic Review and Meta-Analysis. Stroke 2023, 54, 315–326. [Google Scholar] [CrossRef]
- Demyanets, S.; Kaun, C.; Pentz, R.; Krychtiuk, K.A.; Rauscher, S.; Pfaffenberger, S.; Zuckermann, A.; Aliabadi, A.; Groger, M.; Maurer, G.; et al. Components of the interleukin-33/ST2 system are differentially expressed and regulated in human cardiac cells and in cells of the cardiac vasculature. J. Mol. Cell. Cardiol. 2013, 60, 16–26. [Google Scholar] [CrossRef]
- Marzullo, A.; Ambrosi, F.; Inchingolo, M.; Manca, F.; Devito, F.; Angiletta, D.; Zito, A.; Scicchitano, P.; Ciccone, M.M. ST2L Transmembrane Receptor Expression: An Immunochemical Study on Endarterectomy Samples. PLoS ONE 2016, 11, e0156315. [Google Scholar] [CrossRef]
- Mueller, T.; Jaffe, A.S. Soluble ST2—Analytical considerations. Am. J. Cardiol. 2015, 115, 8B–21B. [Google Scholar] [CrossRef]
- North American Symptomatic Carotid Endarterectomy Trial. Methods, patient characteristics, and progress. Stroke 1991, 22, 711–720. [Google Scholar] [CrossRef]
- Mathiesen, E.B.; Bonaa, K.H.; Joakimsen, O. Echolucent plaques are associated with high risk of ischemic cerebrovascular events in carotid stenosis: The tromso study. Circulation 2001, 103, 2171–2175. [Google Scholar] [CrossRef]
- Sprynger, M.; Rigo, F.; Moonen, M.; Aboyans, V.; Edvardsen, T.; de Alcantara, M.L.; Brodmann, M.; Naka, K.K.; Kownator, S.; Simova, I.; et al. Focus on echovascular imaging assessment of arterial disease: Complement to the ESC guidelines (PARTIM 1) in collaboration with the Working Group on Aorta and Peripheral Vascular Diseases. Eur. Heart J. Cardiovasc. Imaging 2018, 19, 1195–1221. [Google Scholar] [CrossRef]
- Virmani, R.; Kolodgie, F.D.; Burke, A.P.; Farb, A.; Schwartz, S.M. Lessons from sudden coronary death: A comprehensive morphological classification scheme for atherosclerotic lesions. Arterioscler. Thromb. Vasc. Biol. 2000, 20, 1262–1275. [Google Scholar] [CrossRef]
- Stary, H.C.; Chandler, A.B.; Dinsmore, R.E.; Fuster, V.; Glagov, S.; Insull, W., Jr.; Rosenfeld, M.E.; Schwartz, C.J.; Wagner, W.D.; Wissler, R.W. A definition of advanced types of atherosclerotic lesions and a histological classification of atherosclerosis. A report from the Committee on Vascular Lesions of the Council on Arteriosclerosis, American Heart Association. Circulation 1995, 92, 1355–1374. [Google Scholar] [CrossRef]
- Stary, H.C. Natural history and histological classification of atherosclerotic lesions: An update. Arterioscler. Thromb. Vasc. Biol. 2000, 20, 1177–1178. [Google Scholar] [CrossRef]



| Overall (n = 170) | Asymptomatic (n = 111) | Symptomatic (n = 59) | p-Value | |
|---|---|---|---|---|
| Demographics | ||||
| Age | 69 (64–74) | 69 (64–73) | 69 (62–74) | 0.888 |
| Sex (male) | 116 (68) | 70 (63) | 46 (78) | 0.057 |
| Characteristics of carotid artery stenosis | ||||
| Grade of stenosis | 90 (85–95) | 90 (85–95) | 85 (80–90) | 0.003 |
| Stenosis grade ≥ 90% | 104 (61) | 79 (71) | 25 (42) | <0.001 |
| Contralateral stenosis | 51 (30) | 31 (28) | 20 (34) | 0.378 |
| Plaque morphology | ||||
| Echogenic | 57 (33) | 45 (40) | 12 (20) | 0.005 |
| Mixed | 35 (21) | 16 (14) | 19 (32) | |
| Echolucent | 63 (37) | 39 (35) | 24 (41) | |
| Histological AHA classification | ||||
| Type V fibroatheroma | 32 (19) | 21 (19) | 11 (19) | 0.770 |
| Type VI complex lesion | 72 (42) | 47 (42) | 25 (42) | |
| Type VII calcified lesion | 27 (16) | 16 (14) | 11 (19) | |
| Type VIII fibrotic lesion | 26 (15) | 19 (17) | 7 (12) | |
| Comorbidities and risk factors | ||||
| Transient ischemic attack | 30 (18) | 0 (0) | 30 (51) | <0.001 |
| Stroke | 29 (17) | 0 (0) | 29 (49) | <0.001 |
| History of stroke/TIA | 32 (19) | 17 (15.3) | 15 (25.9) | 0.074 |
| Acute myocardial infarction | 39 (23) | 26 (23) | 13 (22) | 0.882 |
| Coronary artery disease | 59 (35) | 36 (32) | 23 (39) | 0.350 |
| Peripheral artery disease | 69 (40) | 50 (45) | 19 (32) | 0.123 |
| Arterial hypertension | 151 (89) | 98 (88) | 53 (90) | 0.536 |
| Hypercholesterolemia | 88 (52) | 56 (50) | 32 (54) | 0.560 |
| Diabetes mellitus type 2 | 57 (33) | 41 (37) | 16 (27) | 0.222 |
| Adipositas (BMI > 30) | 44 (26) | 27 (24) | 17 (29) | 0.483 |
| Smoking active | 48 (28) | 31 (28) | 17 (29) | 0.824 |
| Past smoker | 48 (28) | 33 (30) | 15 (25) | 0.640 |
| Pack-years | 0 (0–40) | 0 (0–38) | 0 (0–40) | 0.991 |
| COPD | 36 (21) | 24 (22) | 12 (20) | 0.929 |
| Concomitant medication | ||||
| Statin | 154 (91) | 101 (91) | 53 (90) | 0.939 |
| Antiplatelet | 162 (95) | 106 (95) | 56 (95) | 0.691 |
| ACE-inhibitor/ARB | 98 (58) | 68 (61) | 30 (50) | 0.347 |
| Laboratory parameters | ||||
| Total cholesterol, mg/dL | 163 (138–194) | 163 (137–191) | 156 (142–205) | 0.877 |
| LDL, mg/dL | 84 (67–110) | 77 (65–108) | 98 (82–115) | 0.018 |
| HDL, mg/dL | 50 (39–62) | 54 (41–66) | 40 (36–51) | 0.001 |
| Triglycerides, mg/dL | 131 (93–199) | 121 (91–189) | 154 (94–209) | 0.144 |
| High-sensitivity CRP, mg/dL | 0.5 (0.2–1.2) | 0.5 (0.2–1.1) | 0.5 (0.2–1.5) | 0.655 |
| Soluble ST2, ng/mL | 10.9 (6.1–17.7) | 10. 9 (6.4–17.8) | 11.0 (5.7–17.7) | 0.965 |
| HR Per 1-SD | 95% CI | p-Value | |
|---|---|---|---|
| Univariable | |||
| Primary endpoint * | 2.4 | 1.3–4.4 | 0.006 |
| All-cause mortality | 2.4 | 1.3–4.5 | 0.008 |
| Multivariable model | |||
| Primary endpoint * | 1.8 | 1.05–3.3 | 0.034 |
| All-cause mortality | 1.8 | 0.9–3.5 | 0.081 |
Disclaimer/Publisher’s Note: The statements, opinions and data contained in all publications are solely those of the individual author(s) and contributor(s) and not of MDPI and/or the editor(s). MDPI and/or the editor(s) disclaim responsibility for any injury to people or property resulting from any ideas, methods, instructions or products referred to in the content. |
© 2023 by the authors. Licensee MDPI, Basel, Switzerland. This article is an open access article distributed under the terms and conditions of the Creative Commons Attribution (CC BY) license (https://creativecommons.org/licenses/by/4.0/).
Share and Cite
Stojkovic, S.; Kampf, S.; Harkot, O.; Nackenhorst, M.; Brekalo, M.; Huber, K.; Hengstenberg, C.; Neumayer, C.; Wojta, J.; Demyanets, S. Soluble ST2 in Patients with Carotid Artery Stenosis—Association with Plaque Morphology and Long-Term Outcome. Int. J. Mol. Sci. 2023, 24, 9007. https://doi.org/10.3390/ijms24109007
Stojkovic S, Kampf S, Harkot O, Nackenhorst M, Brekalo M, Huber K, Hengstenberg C, Neumayer C, Wojta J, Demyanets S. Soluble ST2 in Patients with Carotid Artery Stenosis—Association with Plaque Morphology and Long-Term Outcome. International Journal of Molecular Sciences. 2023; 24(10):9007. https://doi.org/10.3390/ijms24109007
Chicago/Turabian StyleStojkovic, Stefan, Stephanie Kampf, Olesya Harkot, Maja Nackenhorst, Mira Brekalo, Kurt Huber, Christian Hengstenberg, Christoph Neumayer, Johann Wojta, and Svitlana Demyanets. 2023. "Soluble ST2 in Patients with Carotid Artery Stenosis—Association with Plaque Morphology and Long-Term Outcome" International Journal of Molecular Sciences 24, no. 10: 9007. https://doi.org/10.3390/ijms24109007
APA StyleStojkovic, S., Kampf, S., Harkot, O., Nackenhorst, M., Brekalo, M., Huber, K., Hengstenberg, C., Neumayer, C., Wojta, J., & Demyanets, S. (2023). Soluble ST2 in Patients with Carotid Artery Stenosis—Association with Plaque Morphology and Long-Term Outcome. International Journal of Molecular Sciences, 24(10), 9007. https://doi.org/10.3390/ijms24109007

