Aβ-Targeting Bifunctional Chelators (BFCs) for Potential Therapeutic and PET Imaging Applications
Abstract
1. Introduction
2. Bifunctional Chelators for Visualization of Aβ Plaques
2.1. BFCs Based on (2-Formyl-5-Furanyl)-3-Hydroxymethylbenzofuran
2.2. Distyrylbenzene-Vanilin BFC
2.3. Benzothiazole-Based BFCs
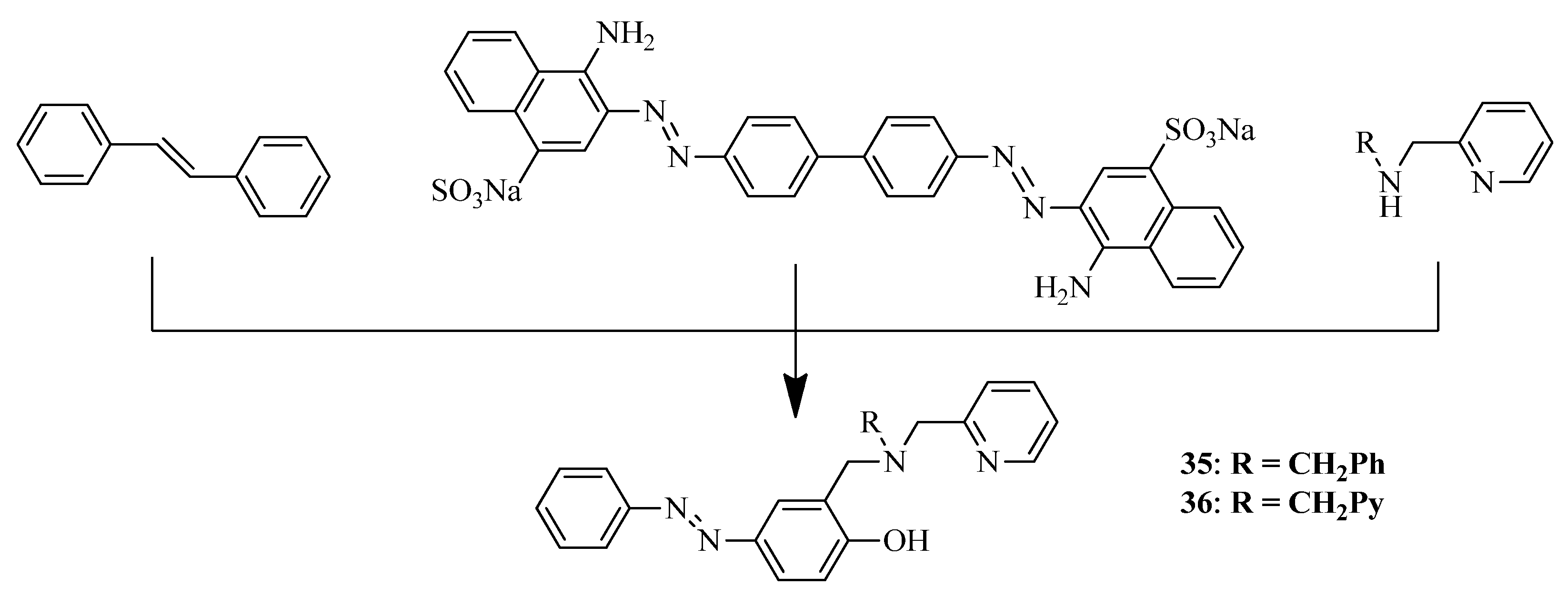
2.4. Azo-Stilbene-Based BFCs
2.5. Styrylpyridyl-Based BFCs
3. Conclusions
Funding
Conflicts of Interest
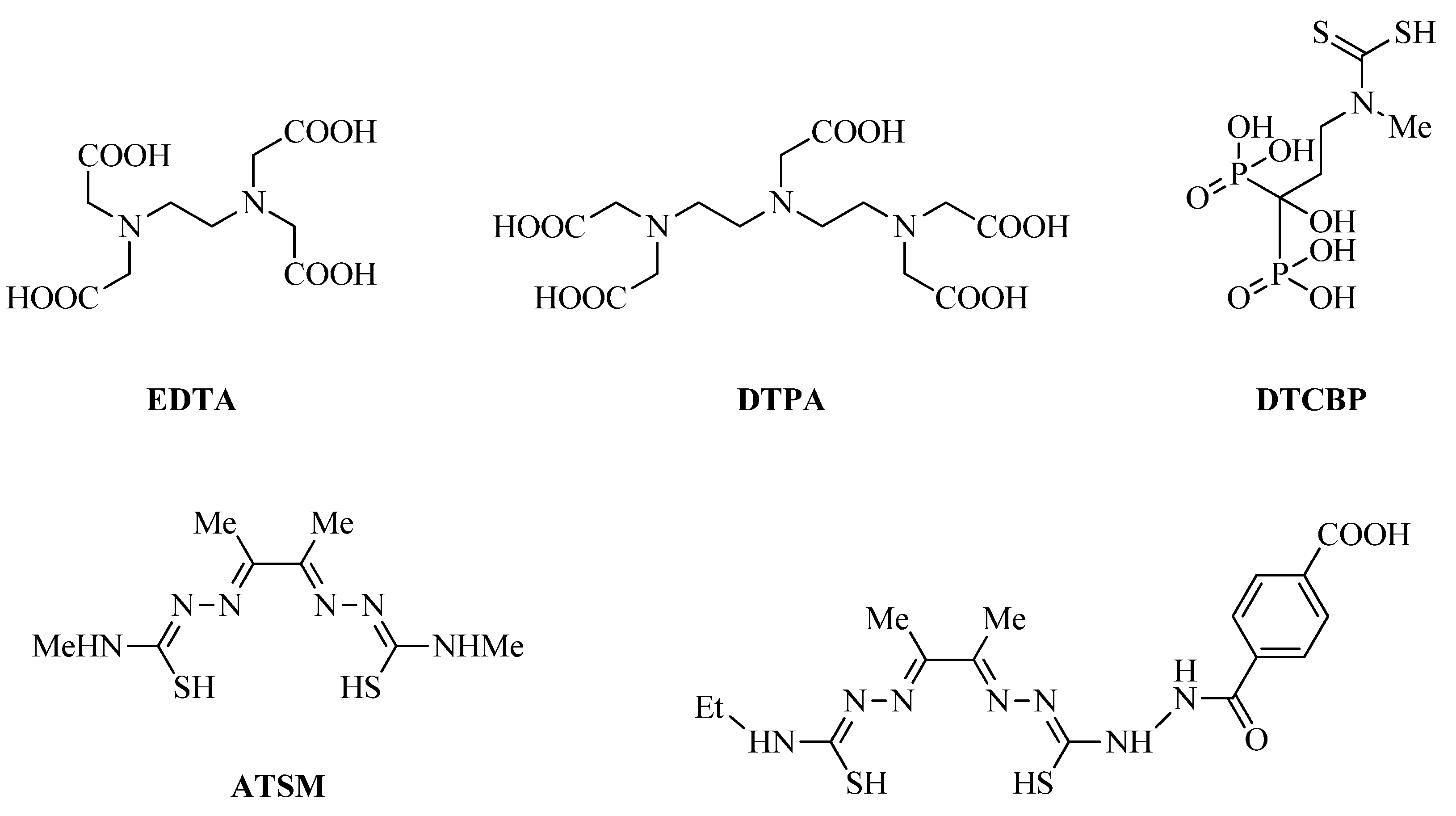
Abbreviations
References
- Kepp, K.P. Bioinorganic Chemistry of Alzheimer’s Disease. Chem. Rev. 2012, 112, 5193–5239. [Google Scholar] [CrossRef] [PubMed]
- Lee, N.; Yoo, D.; Ling, D.; Cho, M.H.; Hyeon, T.; Cheon, J. Iron Oxide Based Nanoparticles for Multimodal Imaging and Magnetoresponsive Therapy. Chem. Rev. 2015, 115, 10637–10689. [Google Scholar] [CrossRef] [PubMed]
- O’Brien, R.J.; Wong, P.C. Amyloid Precursor Protein Processing and Alzheimer’s Disease. Annu. Rev. Neurosci. 2011, 34, 185–204. [Google Scholar] [CrossRef]
- Doecke, J.D.; Pérez-Grijalba, V.; Fandos, N.; Fowler, C.; Villemagne, V.L.; Masters, C.L.; Pesini, P.; Sarasa, M. Total Aβ(42)/Aβ(40) Ratio in Plasma Predicts Amyloid-PET Status, Independent of Clinical AD Diagnosis. Neurology 2020, 94, e1580–e1591. [Google Scholar] [CrossRef] [PubMed]
- Atrián-Blasco, E.; Gonzalez, P.; Santoro, A.; Alies, B.; Faller, P.; Hureau, C. Cu and Zn Coordination to Amyloid Peptides: From Fascinating Chemistry to Debated Pathological Relevance. Coord. Chem. Rev. 2018, 375, 38–55. [Google Scholar] [CrossRef]
- Yang, T.; Li, S.; Xu, H.; Walsh, D.M.; Selkoe, D.J. Large Soluble Oligomers of Amyloid β-Protein from Alzheimer Brain Are Far Less Neuroactive Than the Smaller Oligomers to Which They Dissociate. J. Neurosci. 2017, 37, 152–163. [Google Scholar] [CrossRef]
- Mueller, S.P.; Polak, J.F.; Kijewski, M.F.; Holman, B.L. Collimator Selection for SPECT Brain Imaging: The Advantage of High Resolution. J. Nucl. Med. 1986, 27, 1729–1738. [Google Scholar]
- Holliger, P.; Hudson, P.J. Engineered Antibody Fragments and the Rise of Single Domains. Nat. Biotechnol. 2005, 23, 1126–1136. [Google Scholar] [CrossRef]
- Lu, F.-M.; Yuan, Z. PET/SPECT Molecular Imaging in Clinical Neuroscience: Recent Advances in the Investigation of CNS Diseases. Quant. Imaging Med. Surg. 2015, 5, 433–447. [Google Scholar] [CrossRef]
- Dunyan, S.; Wei, D.; Jie, L.; Lili, P.; Xiaoyang, Z.; Xiaoai, W.; Wuyu, M. Strategic Design of Amyloid-β Species Fluorescent Probes for Alzheimer’s Disease. ACS Chem. Neurosci. 2022, 13, 5–540. [Google Scholar]
- Soloperto, A.; Quaglio, D.; Baiocco, P.; Romeo, I.; Mori, M.; Ardini, M.; Presutti, C.; Sannino, I.; Ghirga, S.; Iazzetti, A.; et al. Rational design and synthesis of a novel BODIPY-based probe for selective imaging of tau tangles in human iPSC-derived cortical neurons. Sci. Rep. 2022, 12, 5257. [Google Scholar] [CrossRef] [PubMed]
- Yang, J.; Zeng, F.; Ge, Y.; Peng, K.; Li, X.; Li, Y.; Xu, Y. Development of Near-Infrared Fluorescent Probes for Use in Alzheimer’s Disease Diagnosis. Bioconj.Chem. 2020, 31, 2–15. [Google Scholar] [CrossRef] [PubMed]
- Klunk, W.E.; Engler, H.; Nordberg, A.; Wang, Y.; Blomqvist, G.; Holt, D.P.; Bergström, M.; Savitcheva, I.; Huang, G.-F.; Estrada, S.; et al. Imaging Brain Amyloid in Alzheimer’s Disease with Pittsburgh Compound-B. Ann. Neurol. 2004, 55, 306–319. [Google Scholar] [CrossRef] [PubMed]
- Barthel, H.; Gertz, H.-J.; Dresel, S.H.; Peters, O.; Bartenstein, P.; Buerger, K.; Hiemeyer, F.; Wittemer-Rump, S.; Seibyl, J.; Reininger, C.; et al. Cerebral Amyloid-β PET with Florbetaben (18F) in Patients with Alzheimer’s Disease and Healthy Controls: A Multicentre Phase 2 Diagnostic Study. Lancet Neurol. 2011, 10, 424–435. [Google Scholar] [CrossRef]
- Lister-James, J.; Pontecorvo, M.J.; Clark, C.; Joshi, A.D.; Mintun, M.A.; Zhang, W.; Lim, N.; Zhuang, Z.; Golding, G.; Choi, S.R.; et al. Florbetapir F-18: A Histopathologically Validated Beta-Amyloid Positron Emission Tomography Imaging Agent. Semin. Nucl. Med. 2011, 41, 300–304. [Google Scholar] [CrossRef]
- Curtis, C.; Gamez, J.E.; Singh, U.; Sadowsky, C.H.; Villena, T.; Sabbagh, M.N.; Beach, T.G.; Duara, R.; Fleisher, A.S.; Frey, K.A.; et al. Phase 3 Trial of Flutemetamol Labeled With Radioactive Fluorine 18 Imaging and Neuritic Plaque Density. JAMA Neurol. 2015, 72, 287–294. [Google Scholar] [CrossRef]
- Serdons, K.; Terwinghe, C.; Vermaelen, P.; Van Laere, K.; Kung, H.; Mortelmans, L.; Bormans, G.; Verbruggen, A. Synthesis and Evaluation of 18F-Labeled 2-Phenylbenzothiazoles as Positron Emission Tomography Imaging Agents for Amyloid Plaques in Alzheimer’s Disease. J. Med. Chem. 2009, 52, 1428–1437. [Google Scholar] [CrossRef]
- Choi, S.R.; Golding, G.; Zhuang, Z.; Zhang, W.; Lim, N.; Hefti, F.; Benedum, T.E.; Kilbourn, M.R.; Skovronsky, D.; Kung, H.F. Preclinical Properties of 18F-AV-45: A PET Agent for Aβ Plaques in the Brain. J. Nucl. Med. 2009, 50, 1887–1894. [Google Scholar] [CrossRef]
- Uzuegbunam, B.C.; Librizzi, D.; Hooshyar Yousefi, B. PET Radiopharmaceuticals for Alzheimer’s Disease and Parkinson’s Disease Diagnosis, the Current and Future Landscape. Molecules 2020, 25, 977. [Google Scholar] [CrossRef]
- Alauddin, M.M. Positron Emission Tomography (PET) Imaging with (18)F-Based Radiotracers. Am. J. Nucl. Med. Mol. Imaging 2012, 2, 55–76. [Google Scholar]
- Kuijpers, W.H.A.; Kaspersen, F.M.; Veeneman, G.H.; Van Boeckel, C.A.A.; Bos, E.S. Specific Recognition of Antibody-Oligonucleotide Conjugates by Radiolabeled Antisense Nucleotides: A Novel Approach for Two-Step Radioimmunotherapy of Cancer. Bioconjug. Chem. 1993, 4, 94–102. [Google Scholar] [CrossRef] [PubMed]
- Bagheri, S.; Squitti, R.; Haertlé, T.; Siotto, M.; Saboury, A.A. Role of Copper in the Onset of Alzheimer’s Disease Compared to Other Metals. Front. Aging Neurosci. 2018, 9, 446. [Google Scholar] [CrossRef] [PubMed]
- Zhou, Y.; Li, J.; Xu, X.; Zhao, M.; Zhang, B.; Deng, S.; Wu, Y. 64Cu-Based Radiopharmaceuticals in Molecular Imaging. Technol. Cancer Res. Treat. 2019, 18, 1533033819830758. [Google Scholar] [CrossRef] [PubMed]
- Anderson, C.J.; Ferdani, R. Copper-64 radiopharmaceuticals for PET imaging of cancer: Advances in preclinical and clinical research. Cancer Biother. Radiopharm. 2009, 24, 379–393. [Google Scholar] [CrossRef] [PubMed]
- Nie, X.; Laforest, R.; Elvington, A.; Randolph, G.; Zheng, J.; Voller, N.; Abendschein, D.; Lapi, S.; Woodard, K. PET/MRI of Hypoxic Atherosclerosis Using 64Cu-ATSM in a Rabbit Model. J. Nuc. Med. 2016, 57, 2006–2011. [Google Scholar] [CrossRef] [PubMed]
- De Silva, R.A.; Kumar, D.; Lisok, A.; Chatterjee, S.; Wharram, B.; Venkateswara Rao, K.; Mease, R.; Dannals, R.F.; Pomper, M.G.; Nimmagadda, S. Peptide-Based 68Ga-PET Radiotracer for Imaging PD-L1 Expression in Cancer. Mol. Pharm. 2018, 15, 3946–3952. [Google Scholar] [CrossRef]
- Krasnovskaya, O.; Spector, D.; Zlobin, A.; Pavlov, K.; Gorelkin, P.; Erofeev, A.; Beloglazkina, E.; Majouga, A. Metals in Imaging of Alzheimer’s Disease. Int. J. Mol. Sci. 2020, 21, 9190. [Google Scholar] [CrossRef]
- Ciudad, S.; Puig, E.; Botzanowski, T.; Meigooni, M.; Arango, A.S.; Do, J.; Mayzel, M.; Bayoumi, M.; Chaignepain, S.; Maglia, G.; et al. Aβ(1-42) Tetramer and Octamer Structures Reveal Edge Conductivity Pores as a Mechanism for Membrane Damage. Nat. Commun. 2020, 11, 3014. [Google Scholar] [CrossRef]
- Sharma, A.K.; Schultz, J.W.; Prior, J.T.; Rath, N.P.; Mirica, L.M. Coordination Chemistry of Bifunctional Chemical Agents Designed for Applications in 64Cu PET Imaging for Alzheimer’s Disease. Inorg. Chem. 2017, 56, 13801–13814. [Google Scholar] [CrossRef]
- Storr, T.; Merkel, M.; Song-Zhao, G.X.; Scott, L.E.; Green, D.E.; Bowen, M.L.; Thompson, K.H.; Patrick, B.O.; Schugar, H.J.; Orvig, C. Synthesis, Characterization, and Metal Coordinating Ability of Multifunctional Carbohydrate-Containing Compounds for Alzheimer’s Therapy. J. Am. Chem. Soc. 2007, 129, 7453–7463. [Google Scholar] [CrossRef]
- Sharma, A.K.; Pavlova, S.T.; Kim, J.; Finkelstein, D.; Hawco, N.J.; Rath, N.P.; Kim, J.; Mirica, L.M. Bifunctional Compounds for Controlling Metal-Mediated Aggregation of the Aβ42 Peptide. J. Am. Chem. Soc. 2012, 134, 6625–6636. [Google Scholar] [CrossRef] [PubMed]
- Ono, M.; Watanabe, H.; Kimura, H.; Saji, H. BODIPY-Based Molecular Probe for Imaging of Cerebral β-Amyloid Plaques. ACS Chem. Neurosci. 2012, 3, 319–324. [Google Scholar] [CrossRef] [PubMed]
- Wu, N.; Kang, C.S.; Sin, I.; Ren, S.; Liu, D.; Ruthengael, V.C.; Lewis, M.R.; Chong, H.-S. Promising Bifunctional Chelators for Copper 64-PET Imaging: Practical (64)Cu Radiolabeling and High in Vitro and in Vivo Complex Stability. J. Biol. Inorg. Chem. 2016, 21, 177–184. [Google Scholar] [CrossRef] [PubMed]
- Tosato, M.; Dalla Tiezza, M.; May, N.V.; Isse, A.A.; Nardella, S.; Orian, L.; Verona, M.; Vaccarin, C.; Alker, A.; Mäcke, H.; et al. Copper Coordination Chemistry of Sulfur Pendant Cyclen Derivatives: An Attempt to Hinder the Reductive-Induced Demetalation in 64/67Cu Radiopharmaceuticals. Inorg. Chem. 2021, 60, 11530–11547. [Google Scholar] [CrossRef] [PubMed]
- Lever, S.Z.; Lydon, J.D.; Cutler, C.S.; Jurisson, S.S. Radioactive Metals in Imaging and Therapy; McCleverty, J.A., Meyer, T.J.B.T.-C.C.C.I.I., Eds.; Pergamon: Oxford, UK, 2003; pp. 883–911. ISBN 978-0-08-043748-4. [Google Scholar]
- Guillou, A.; Lima, L.M.P.; Esteban-Gómez, D.; Le Poul, N.; Bartholomä, M.D.; Platas-Iglesias, C.; Delgado, R.; Patinec, V.; Tripier, R. Methylthiazolyl Tacn Ligands for Copper Complexation and Their Bifunctional Chelating Agent Derivatives for Bioconjugation and Copper-64 Radiolabeling: An Example with Bombesin. Inorg. Chem. 2019, 58, 2669–2685. [Google Scholar] [CrossRef] [PubMed]
- Hogarth, G.; Onwudiwe, D.C. Copper dithiocarbamates: Coordination chemistry and applications in materials science, biosciences and beyond. Inorganics 2021, 9, 70. [Google Scholar] [CrossRef]
- Wang, J.; Guan, H.; Liang, Q.; Ding, M. Construction of Copper (II) Affinity- DTPA Functionalized Magnetic Composite for Efficient Adsorption and Specific Separation of Bovine Hemoglobin from Bovine Serum. Compos. Part B Eng. 2020, 198, 108248. [Google Scholar] [CrossRef]
- Calvary, C.A.; Hietsoi, O.; Hofsommer, D.T.; Brun, H.C.; Costello, A.M.; Mashuta, M.S.; Spurgeon, J.M.; Buchanan, R.M.; Grapperhaus, C.A. Copper Bis(Thiosemicarbazone) Complexes with Pendent Polyamines: Effects of Proton Relays and Charged Moieties on Electrocatalytic HER. Eur. J. Inorg. Chem. 2021, 2021, 267–275. [Google Scholar] [CrossRef]
- Cho, H.-J.; Huynh, T.T.; Rogers, B.E.; Mirica, L.M. Design of a Multivalent Bifunctional Chelator for Diagnostic 64Cu PET Imaging in Alzheimer’s Disease. Proc. Natl. Acad. Sci. USA 2020, 117, 30928–30933. [Google Scholar] [CrossRef]
- Sun, L.; Cho, H.-J.; Sen, S.; Arango, A.S.; Huynh, T.T.; Huang, Y.; Bandara, N.; Rogers, B.E.; Tajkhorshid, E.; Mirica, L.M. Amphiphilic Distyrylbenzene Derivatives as Potential Therapeutic and Imaging Agents for Soluble and Insoluble Amyloid β Aggregates in Alzheimer’s Disease. J. Am. Chem. Soc. 2021, 143, 10462–10476. [Google Scholar] [CrossRef]
- Wang, Y.; Huynh, T.T.; Cho, H.-J.; Wang, Y.-C.; Rogers, B.E.; Mirica, L.M. Amyloid β-Binding Bifunctional Chelators with Favorable Lipophilicity for 64Cu Positron Emission Tomography Imaging in Alzheimer’s Disease. Inorg. Chem. 2021, 60, 12610–12620. [Google Scholar] [CrossRef] [PubMed]
- Wang, Y.; Huynh, T.T.; Bandara, N.; Cho, H.-J.; Rogers, B.E.; Mirica, L.M. 2-(4-Hydroxyphenyl)Benzothiazole Dicarboxylate Ester TACN Chelators for 64Cu PET Imaging in Alzheimer’s Disease. Dalt. Trans. 2022, 51, 1216–1224. [Google Scholar] [CrossRef] [PubMed]
- Huang, Y.; Huynh, T.T.; Sun, L.; Hu, C.-H.; Wang, Y.-C.; Rogers, B.E.; Mirica, L.M. Neutral Ligands as Potential 64Cu Chelators for Positron Emission Tomography Imaging Applications in Alzheimer’s Disease. Inorg. Chem. 2022, 61, 4778–4787. [Google Scholar] [CrossRef] [PubMed]
- Huynh, T.T.; Wang, Y.; Terpstra, K.; Cho, H.-J.; Mirica, L.M.; Rogers, B.E. 68Ga-Labeled Benzothiazole Derivatives for Imaging Aβ Plaques in Cerebral Amyloid Angiopathy. ACS Omega 2022, 7, 20339–20346. [Google Scholar] [CrossRef] [PubMed]
- Terpstra, K.; Wang, Y.; Huynh, T.; Bandara, N.; Cho, H.; Rogers, B.; Mirica, L. Divalent 2-(4-Hydroxyphenyl)benzothiazole Bifunctional Chelators for 64Cu Positron Emission Tomography Imaging in Alzheimer’s Disease. Inorg. Chem. 2022, 50, 20326–20336. [Google Scholar] [CrossRef]
- Rana, M.; Cho, H.-J.; Arya, H.; Bhatt, T.K.; Bhar, K.; Bhatt, S.; Mirica, L.M.; Sharma, A.K. Azo-Stilbene and Pyridine–Amine Hybrid Multifunctional Molecules to Target Metal-Mediated Neurotoxicity and Amyloid-β Aggregation in Alzheimer’s Disease. Inorg. Chem. 2022, 61, 10294–10309. [Google Scholar] [CrossRef]
- Spyrou, B.; Hungnes, I.N.; Mota, F.; Bordoloi, J.; Blower, P.J.; White, J.M.; Ma, M.T.; Donnelly, P.S. Oxorhenium(V) and Oxotechnetium(V) Complexes of N3S Tetradentate Ligands with a Styrylpyridyl Functional Group: Toward Imaging Agents to Assist in the Diagnosis of Alzheimer’s Disease. Inorg. Chem. 2021, 60, 13669–13680. [Google Scholar] [CrossRef]
- Flaherty, D.P.; Kiyota, T.; Dong, Y.; Ikezu, T.; Vennerstrom, J.L. Phenolic Bis-Styrylbenzenes as β-Amyloid Binding Ligands and Free Radical Scavengers. J. Med. Chem. 2010, 53, 7992–7999. [Google Scholar] [CrossRef]
- Necula, M.; Kayed, R.; Milton, S.; Glabe, C.G. Small Molecule Inhibitors of Aggregation Indicate That Amyloid Beta Oligomerization and Fibrillization Pathways Are Independent and Distinct. J. Biol. Chem. 2007, 282, 10311–10324. [Google Scholar] [CrossRef]
- Ferreira, S.; Lourenco, M.; Oliveira, M.; De Felice, F. Soluble Amyloid-b Oligomers as Synaptotoxins Leading to Cognitive Impairment in Alzheimer’s Disease. Front. Cell. Neurosci. 2015, 9, 191. [Google Scholar] [CrossRef]












| BFCs | Metal | Imaging Method | Amyloid-Binding Moiety | Chelator | Brain Uptake, ID/g **, Time Post Injection | Ref. |
|---|---|---|---|---|---|---|
| 1–8 | Cu | PET * | Benzofuran | NOTA | 2-, 60-, and 240-min p.i. *** 1 0.65 ± 0.23 0.10 ± 0.03 0.05 ± 0.00 2 0.76 ± 0.03 0.35 ± 0.10 0.08 ± 0.00 3 0.38 ± 0.04 0.13 ± 0.02 0.08 ± 0.01 4 0.83 ± 0.14 0.27 ± 0.05 0.09 ± 0.02 | [40] |
| 9 | Cu | PET | Florbetaben + Vanilin | TACN | WT: 0.75 ± 0.10% ID/g 2 min 18 ± 0.02% ID/g 1 h AD mice: 0.79 ± 0.06%ID/g 2 min 0.39 ± 0.02% ID/g (1 h) | [41] |
| 10–15 | Cu | PET | Benzothiazole | TACN with one alkyl carboxylate ester pendant arms | 2 min, 1 h, 4 h 11 0.35 ± 0.01 0.04 ± 0.01 0.03 ± 0.01 12 0.23 ± 0.06 0.02 ± 0.01 0.01 ± 0.00 13 0.32 ± 0.02 0.02 ± 0.00 0.01 ± 0.00 14 0.46 ± 0.21 0.14 ± 0.00 0.18 ± 0.02 15 0.23 ± 0.05 0.02 ± 0.02 0.02 ± 0.00 | [42] |
| 16–20 | Cu | PET | Benzothiazole | TACN with two alkyl carboxylate ester pendant arms | - | [43] |
| 21–24 | Cu | PET | Benzothiazole | 1,4,7-triazacyclononane (TACN) and 2,11-diaza [3.3]-(2,6)pyridinophane (N4) | Cu-23: 0.2% ID/g at 2 min, yet an increased brain accumulation of ∼0.4% ID/g was observed after 4 h | [44] |
| 25–28 | Ga | PET | 2-(4-hydroxyphenyl)-benzothiazole | TACN | 0.10 ± 0.03 0.05 ± 0.02 (2 h) 0.26 ± 0.12 0.07 ± 0.02 0.03 ± 0.00 0.33 ± 0.12 0.01 ±0.009 (2 h) | [45] |
| 29–34 | Cu | PET | Benzothiazole | TACN | 0.47 ± 0.12 (2 min) | [46] |
| 35, 36 | - | - | Azo-stilbene | Pyridine | - | [47] |
| 37–39 | Tc | SPECT **** | Styrylpyridyl | Diamide−thiol, Monoamide−monoamine− thiol Diamine−thiol | WT: ***** [99mTc][TcO-38] 2 min 0.15 ± 0.06% 35 min 0.17 ± 0.01% [99mTc][TcO-39] 2 min 0.36 ± 0.09% 35 min 0.15 ± 0.02% | [48] |
| AChE | 35 | 36 | Rivastigmine | Dopenezil |
|---|---|---|---|---|
| IC50 (µM) | 4.18 ± 0.15 | 3.86 ± 0.13 | 11.02 ± 1.26 | 0.06 ± 1.13 |
Disclaimer/Publisher’s Note: The statements, opinions and data contained in all publications are solely those of the individual author(s) and contributor(s) and not of MDPI and/or the editor(s). MDPI and/or the editor(s) disclaim responsibility for any injury to people or property resulting from any ideas, methods, instructions or products referred to in the content. |
© 2022 by the authors. Licensee MDPI, Basel, Switzerland. This article is an open access article distributed under the terms and conditions of the Creative Commons Attribution (CC BY) license (https://creativecommons.org/licenses/by/4.0/).
Share and Cite
Krasnovskaya, O.; Kononova, A.; Erofeev, A.; Gorelkin, P.; Majouga, A.; Beloglazkina, E. Aβ-Targeting Bifunctional Chelators (BFCs) for Potential Therapeutic and PET Imaging Applications. Int. J. Mol. Sci. 2023, 24, 236. https://doi.org/10.3390/ijms24010236
Krasnovskaya O, Kononova A, Erofeev A, Gorelkin P, Majouga A, Beloglazkina E. Aβ-Targeting Bifunctional Chelators (BFCs) for Potential Therapeutic and PET Imaging Applications. International Journal of Molecular Sciences. 2023; 24(1):236. https://doi.org/10.3390/ijms24010236
Chicago/Turabian StyleKrasnovskaya, Olga, Aina Kononova, Alexander Erofeev, Peter Gorelkin, Alexander Majouga, and Elena Beloglazkina. 2023. "Aβ-Targeting Bifunctional Chelators (BFCs) for Potential Therapeutic and PET Imaging Applications" International Journal of Molecular Sciences 24, no. 1: 236. https://doi.org/10.3390/ijms24010236
APA StyleKrasnovskaya, O., Kononova, A., Erofeev, A., Gorelkin, P., Majouga, A., & Beloglazkina, E. (2023). Aβ-Targeting Bifunctional Chelators (BFCs) for Potential Therapeutic and PET Imaging Applications. International Journal of Molecular Sciences, 24(1), 236. https://doi.org/10.3390/ijms24010236

