Transcriptome Analysis of the Cf-13-Mediated Hypersensitive Response of Tomato to Cladosporium fulvum Infection
Abstract
1. Introduction
2. Results
2.1. Artificial Inoculation and Microscopy Analysis of C. fulvum Invasion in Ont7813 and Moneymaker (MM)
2.2. Illumina Sequencing, Mapping Reads, and Transcript Identification
2.3. Identification of Differentially Expressed Genes (DEGs)
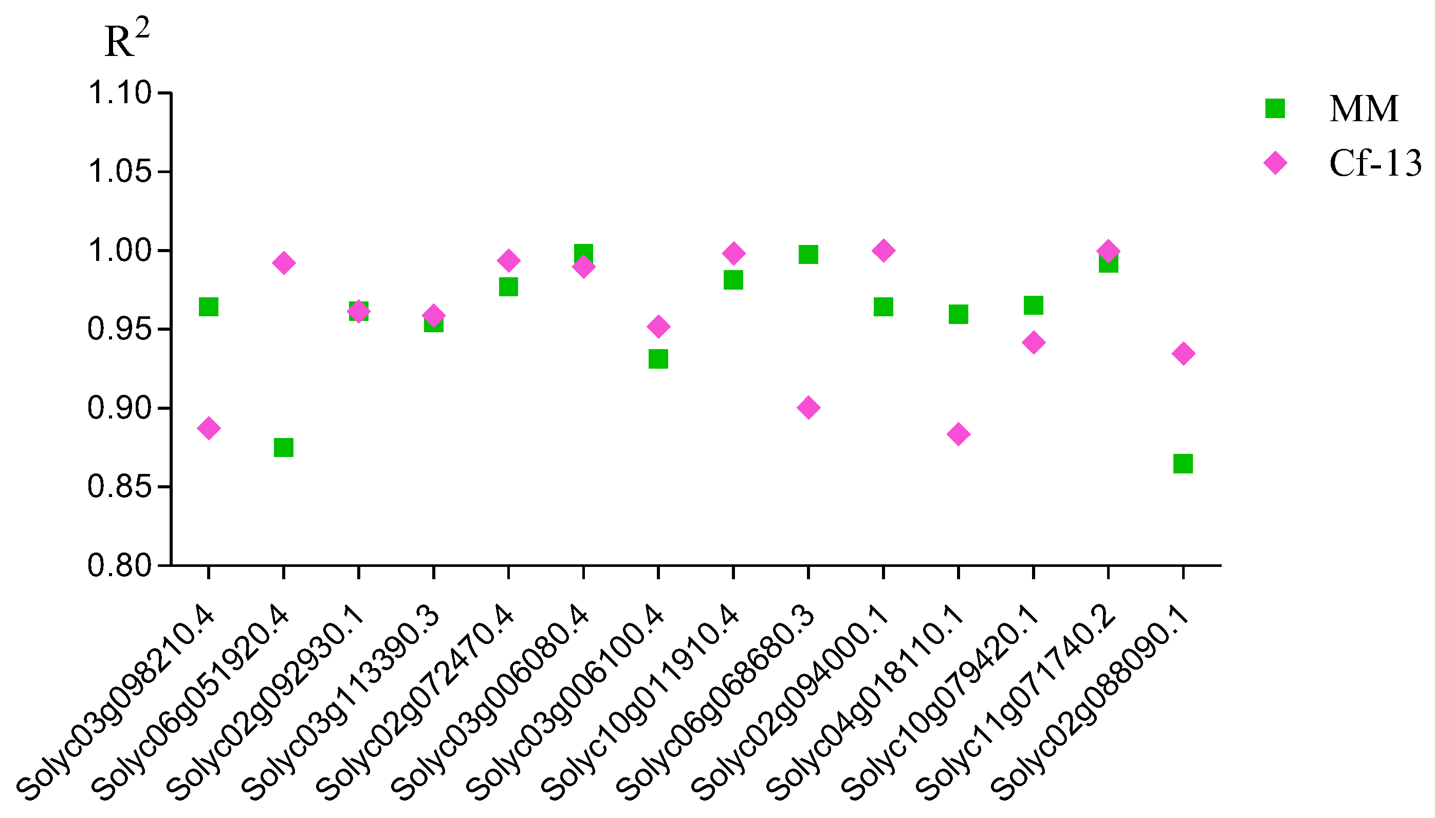
2.4. Validation of DEG Expression Patterns
2.5. Gene Ontology (GO) Enrichment and KEGG Pathway Analysis of DEGs
2.6. Identification of Key Regulatory Genes Involved in Important Pathways
2.7. Measurements of Jasmonic Acid (JA) and Salicylic Acid (SA)
3. Discussion
4. Materials and Methods
4.1. Plant Materials and C. fulvum Infection
4.2. Microscopy Observations of C. fulvum in Ont7813 and MM
4.3. RNA Extraction and Illumina Sequencing
4.4. Mapping Reads and DEGs
4.5. GO Enrichment and KEGG Pathway Analysis of DEGs
4.6. qRT–PCR Analysis
4.7. Measurements of JA and SA Hormone Contents
5. Conclusions
Supplementary Materials
Author Contributions
Funding
Institutional Review Board Statement
Informed Consent Statement
Data Availability Statement
Conflicts of Interest
References
- Van Eck, J.; Kirk, D.D.; Walmsley, A.M. Tomato (Lycopersicum esculentum). Methods Mol. Biol. 2006, 343, 459–473. [Google Scholar] [PubMed]
- Koeck, M.; Hardham, A.R.; Dodds, P.N. The role of effectors of biotrophic and hemibiotrophic fungi in infection. Cell. Microbiol. 2011, 13, 1849–1857. [Google Scholar] [CrossRef] [PubMed]
- Thomma, B.P.; Van Esse, H.P.; Crous, P.W.; De Wit, P.J. Cladosporium fulvum, (syn. Passalora fulva), a highly specialized plant pathogen as a model for functional studies on plant pathogenic Mycosphaerellaceae. Mol. Plant Pathol. 2005, 6, 379–393. [Google Scholar] [CrossRef] [PubMed]
- Joosten, M.; De Wit, P. The tomato-Cladosporium fulvum interaction: A versatile experimental system to study plant-pathogen interactions. Annu. Rev. Phytopathol. 1999, 37, 335–367. [Google Scholar] [CrossRef]
- Rivas, S.; Thomas, C.M. Molecular interactions between tomato and the leaf mold pathogen Cladosporium fulvum. Annu. Rev. Phytopathol. 2005, 43, 395–436. [Google Scholar] [CrossRef]
- Jones, J.D.G.; Dangl, J.L. The plant immune system. Nature 2006, 444, 323–329. [Google Scholar] [CrossRef]
- Yu, X.; Feng, B.; He, P.; Shan, L. From Chaos to Harmony: Responses and Signaling upon Microbial Pattern Recognition. Annu. Rev. Phytopathol. 2017, 55, 109–137. [Google Scholar] [CrossRef]
- Couto, D.; Zipfel, C. Regulation of pattern recognition receptor signalling in plants. Nat. Rev. Immunol. 2016, 16, 537–552. [Google Scholar] [CrossRef]
- Spoel, S.H.; Dong, X. How do plants achieve immunity? Defence without specialized immune cells. Nat. Rev. Immunol. 2012, 12, 89–100. [Google Scholar] [CrossRef]
- Cui, H.; Tsuda, K.; Parker, J.E. Effector-Triggered Immunity: From Pathogen Perception to Robust Defense. Annu. Rev. Plant Biol. 2015, 66, 487–511. [Google Scholar] [CrossRef]
- Bentham, A.R.; De la Concepcion, J.C.; Mukhi, N.; Zdrzałek, R.; Draeger, M.; Gorenkin, D.; Hughes, R.K.; Banfield, M.J. A molecular roadmap to the plant immune system. J. Biol. Chem. 2020, 295, 14916–14935. [Google Scholar] [CrossRef] [PubMed]
- Chisholm, S.T.; Coaker, G.; Day, B.; Staskawicz, B.J. Host-Microbe Interactions: Shaping the Evolution of the Plant Immune Response. Cell 2006, 124, 803–814. [Google Scholar] [CrossRef]
- Wang, C.; Cai, X.; Zheng, Z. High humidity represses Cf-4/Avr4-and Cf-9/Avr9-dependent hypersensitive cell death and defense gene expression. Planta 2005, 222, 947–956. [Google Scholar] [CrossRef]
- Nekrasov, V.; Ludwig, A.A.; Jones, J.D. CITRX thioredoxin is a putative adaptor protein connecting Cf-9 and the ACIK1 protein kinase during the Cf-9/Avr9-induced defence response. FEBS Lett. 2006, 580, 4236–4241. [Google Scholar] [CrossRef] [PubMed]
- Hammond-Kosack, K.E.; Jones, J.D. Resistance gene-dependent plant defense responses. Plant Cell 1996, 8, 1773–1791. [Google Scholar] [PubMed]
- Soylu, E.M.; Soylu, S.; Mansfield, J.W. Ultrastructural characterisation of pathogen development and host responses during compatible and incompatible interactions between Arabidopsis thaliana and Peronospora parasitica. Physiol. Mol. Plant Pathol. 2004, 65, 67–78. [Google Scholar] [CrossRef]
- Soylu, S.; Brown, I.; Mansfield, J.W. Cellular reactions in Arabidopsis following challenge by strains of Pseudomonas syringae: From basal resistance to compatibility. Physiol. Mol. Plant Pathol. 2005, 66, 232–243. [Google Scholar] [CrossRef]
- Pei, C.; Wang, H.; Zhang, J.; Wang, Y.; Francis, D.M.; Yang, W. Fine mapping and analysis of a candidate gene in tomato accession PI128216 conferring hypersensitive resistance to bacterial spot race T3. Theor. Appl. Genet. 2012, 124, 533–542. [Google Scholar] [CrossRef]
- Mesarich, C.; Griffiths, S.A.; Van der Burgt, A.; Ökmen, B.; Beenen, H.G.; Etalo, D.; Joosten, M.H.A.J.; De Wit, P.J.G.M. Transcriptome Sequencing Uncovers the Avr5 Avirulence Gene of the Tomato Leaf Mold Pathogen Cladosporium fulvum. Mol. Plant-Microbe Interact. 2014, 27, 846–857. [Google Scholar] [CrossRef]
- Mesarich, C.H.; Ökmen, B.; Rovenich, H.; Griffiths, S.A.; Wang, C.; Jashni, M.K.; Mihajlovski, A.; Collemare, J.; Hunziker, L.; Deng, C.H.; et al. Specific Hypersensitive Response–Associated Recognition of New Apoplastic Effectors from Cladosporium fulvum in Wild Tomato. Mol. Plant-Microbe Interact. 2018, 31, 145–162. [Google Scholar] [CrossRef]
- Thomas, C.M.; Jones, D.A.; Parniske, M.; Harrison, K.; Balint-Kurti, P.J.; Hatzixanthis, K.; Jones, J.D. Characterization of the tomato Cf-4 gene for resistance to Cladosporium fulvum identifies sequences that determine recognitional specificity in Cf-4 and Cf-9. Plant Cell 1997, 9, 22092–22224. [Google Scholar]
- Laugé, R.; Joosten, M.H.A.J.; Haanstra, J.P.W.; Goodwin, P.H.; Lindhout, P.; De Wit, P.J.G.M. Successful search for a resistance gene in tomato targeted against a virulence factor of a fungal pathogen. Proc. Natl. Acad. Sci. USA 1998, 95, 9014–9018. [Google Scholar] [CrossRef] [PubMed]
- Li, S.; Zhao, T.; Li, H.; Xu, X.; Li, J. First report of races 2.5 and 2.4.5 of Cladosporium fulvum (syn. Passalora fulva), causal fungus of tomato leaf mold disease in China. J. Gen. Plant Pathol. 2015, 81, 162–165. [Google Scholar] [CrossRef]
- Thomas, C.M.; Dixon, M.S.; Parniske, M.; Golstein, C.; Jones, J.D.G. Genetic and molecular analysis of tomato Cf genes for resistance to Cladosporium fulvum. Philos. Trans. R. Soc. Lond. Ser. B Biol. Sci. 1998, 353, 1413–1424. [Google Scholar] [CrossRef]
- Kanwar, J.S.; Kerr, E.A.; Harney, P.M. Linkage of Cf-1 to Cf-11 genes for resistance to leaf mold Cladosporium fulvum. Tomato Genet. Coop. 1980, 30, 20–21. [Google Scholar]
- Kerr, E.A.; Bailey, D.L. Resistance to cladosporium fulvum cke. obtained from wild species of tomato. Can. J. Bot. 1964, 42, 1541–1554. [Google Scholar] [CrossRef]
- Kanwar, J.S.; Kerr, E.A.; Harney, P.M. Linkage of the Cf-12 to Cf-24 genes for resistance to tomato leaf mold Cladosporium fulvum Cke. Rep. Tomato Genet. Coop. 1980, 30, 22–23. [Google Scholar]
- Balint-Kurti, P.J.; Dixon, M.S.; Jones, D.A.; Norcott, K.A.; Jones, J.D.G. RFLP linkage analysis of the Cf-4 and Cf-9 genes for resistance to Cladosporium fulvum in tomato. Theor. Appl. Genet. 1994, 88, 691–700. [Google Scholar] [CrossRef]
- Dickinson, M.J.; Jones, D.A.; Jones, J.D. Close linkage between the Cf-2/Cf-5 and Mi resistance loci in tomato. Mol. Plant-Microbe Interact. 1993, 6, 341–347. [Google Scholar] [CrossRef]
- Dixon, M.S.; Jones, D.; Keddie, J.S.; Thomas, C.M.; Harrison, K.; Jones, J. The Tomato Cf-2 Disease Resistance Locus Comprises two Functional Genes Encoding Leucine-Rich Repeat Proteins. Cell 1996, 84, 451–459. [Google Scholar] [CrossRef]
- De Wit, P.J.; Joosten, M.H. Avirulence and resistance genes in the Cladosporium fulvum-tomato interaction. Curr. Opin. Microbiol. 1999, 2, 368–373. [Google Scholar] [CrossRef]
- Haanstra, J.P.W.; Thomas, C.M.; Jones, J.; Lindhout, P. Dispersion of the Cf-4 disease resistance gene in Lycopersicon germplasm. Heredity 2000, 85, 266–270. [Google Scholar] [CrossRef] [PubMed][Green Version]
- Zhao, T.; Jiang, J.; Liu, G.; He, S.; Zhang, H.; Chen, X.; Li, J.; Xu, X. Mapping and candidate gene screening of tomato Cladosporium fulvum-resistant gene Cf-19, based on high-throughput sequencing technology. BMC Plant Biol. 2016, 16, 51. [Google Scholar] [CrossRef] [PubMed]
- Liu, G.; Zhao, T.; You, X.; Jiang, J.; Li, J.; Xu, X. Molecular mapping of the Cf-10 gene by combining SNP/InDel-index and linkage analysis in tomato (Solanum lycopersicum). BMC Plant Biol. 2019, 19, 15. [Google Scholar] [CrossRef] [PubMed]
- Huang, X.; Li, Y.; Pan, J.; Li, M.; Lai, Y.; Gao, J.; Li, X. RNA-Seq identifies redox balance related gene expression alterations under acute cadmium exposure in yeast. Environ. Microbiol. Rep. 2016, 8, 1038–1047. [Google Scholar] [CrossRef]
- Yu, C.; Xu, S.; Yin, Y. Transcriptome analysis of the Taxodium ‘Zhongshanshan 405′ roots in response to salinity stress. Plant Physiol. Biochem. 2016, 100, 156–165. [Google Scholar] [CrossRef]
- Zhang, C.S.; Zhang, H.W.; Zhan, Z.X.; Liu, B.J.; Chen, Z.T.; Liang, Y. Transcriptome Analysis of Sucrose Metabolism during Bulb Swelling and Development in Onion (Allium cepa L.). Front. Plant Sci. 2016, 7, 1425. [Google Scholar] [CrossRef]
- Zhang, Y.; Han, X.; Sang, J.; He, X.; Liu, M.; Qiao, G.; Zhuo, R.; He, G.; Hu, J. Transcriptome analysis of immature xylem in the Chinese fir at different developmental phases. PeerJ 2016, 4, e2097. [Google Scholar] [CrossRef]
- Zhang, Y.; Zhao, J.; Li, Y.; Yuan, Z.; He, H.; Yang, H.; Qu, H.; Ma, C.; Qu, S. Transcriptome Analysis Highlights Defense and Signaling Pathways Mediated by Rice pi21 Gene with Partial Resistance to Magnaporthe oryzae. Front. Plant Sci. 2016, 7, 1834. [Google Scholar] [CrossRef]
- Liu, J.; Macarisin, D.; Wisniewski, M.; Sui, Y.; Droby, S.; Norelli, J.; Hershkovitz, V. Production of hydrogen peroxide and expression of ROS-generating genes in peach flower petals in response to host and non-host fungal pathogens. Plant Pathol. 2013, 62, 820–828. [Google Scholar] [CrossRef]
- Phule, A.S.; Barbadikar, K.M.; Maganti, S.M.; Seguttuvel, P.; Subrahmanyam, D.; Babu, M.B.B.P.; Kumar, P.A. RNA-seq reveals the involvement of key genes for aerobic adaptation in rice. Sci. Rep. 2019, 9, 5235. [Google Scholar] [CrossRef] [PubMed]
- Zenda, T.; Liu, S.; Wang, X.; Liu, G.; Jin, H.; Dong, A.; Yang, Y.; Duan, H. Key Maize Drought-Responsive Genes and Pathways Revealed by Comparative Transcriptome and Physiological Analyses of Contrasting Inbred Lines. Int. J. Mol. Sci. 2019, 20, 1268. [Google Scholar] [CrossRef] [PubMed]
- Sui, X.; Nie, J.; Li, X.; Scanlon, M.J.; Zhang, C.; Zheng, Y.; Ma, S.; Shan, N.; Fei, Z.; Turgeon, R.; et al. Transcriptomic and functional analysis of cucumber (Cucumis sativus L.) fruit phloem during early development. Plant J. 2018, 96, 982–996. [Google Scholar] [CrossRef]
- Liu, G.; Liu, J.; Zhang, C.; You, X.; Zhao, T.; Jiang, J.; Chen, X.; Zhang, H.; Yang, H.; Zhang, D.; et al. Physiological and RNA-seq analyses provide insights into the response mechanism of the Cf-10-mediated resistance to Cladosporium fulvum infection in tomato. Plant Mol. Biol. 2018, 96, 403–416. [Google Scholar] [CrossRef] [PubMed]
- Xue, D.-Q.; Chen, X.-L.; Zhang, H.; Chai, X.-F.; Jiang, J.-B.; Xu, X.-Y.; Li, J.-F. Transcriptome Analysis of the Cf-12-Mediated Resistance Response to Cladosporium fulvum in Tomato. Front. Plant Sci. 2017, 7, 2012. [Google Scholar] [CrossRef]
- Zhang, D.; Bao, Y.; Sun, Y.; Yang, H.; Zhao, T.; Li, H.; Du, C.; Jiang, J.; Li, J.; Xie, L.; et al. Comparative transcriptome analysis reveals the response mechanism of Cf-16-mediated resistance to Cladosporium fulvum infection in tomato. BMC Plant Biol. 2020, 20, 33. [Google Scholar] [CrossRef]
- Zhao, T.; Liu, W.; Zhao, Z.; Yang, H.; Bao, Y.; Zhang, D.; Wang, Z.; Jiang, J.; Xu, Y.; Zhang, H.; et al. Transcriptome profiling reveals the response process of tomato carrying Cf-19 and Cladosporium fulvum interaction. BMC Plant Biol. 2019, 19, 572. [Google Scholar] [CrossRef]
- Love, M.I.; Huber, W.; Anders, S. Moderated estimation of fold change and dispersion for RNA-seq data with DESeq2. Genome Biol. 2014, 15, 550. [Google Scholar] [CrossRef]
- Ashburner, M.; Ball, C.A.; Blake, J.A.; Botstein, D.; Butler, H.; Cherry, J.M.; Davis, A.P.; Dolinski, K.; Dwight, S.S.; Eppig, J.T.; et al. Gene ontology: Tool for the unification of biology. Nat. Genet. 2000, 25, 25–29. [Google Scholar] [CrossRef]
- Young, M.D.; Wakefield, M.J.; Smyth, G.K.; Oshlack, A. Gene ontology analysis for RNA-seq: Accounting for selection bias. Genome Biol. 2010, 11, R14. [Google Scholar] [CrossRef]
- Faoro, F.; Maffi, D.; Cantu, D.; Iriti, M. Chemical-induced resistance against powdery mildew in barley: The effects of chitosan and benzothiadiazole. BioControl 2008, 53, 387–401. [Google Scholar] [CrossRef]
- Spoel, S.H.; Koornneef, A.; Claessens, S.M.C.; Korzelius, J.P.; Van Pelt, J.A.; Mueller, M.J.; Buchala, A.J.; Métraux, J.-P.; Brown, R.; Kazan, K.; et al. NPR1 Modulates Cross-Talk between Salicylate- and Jasmonate-Dependent Defense Pathways through a Novel Function in the Cytosol. Plant Cell 2003, 15, 760–770. [Google Scholar] [CrossRef] [PubMed]
- Bestwick, C.S.; Brown, I.R.; Bennett, M.; Mansfield, J.W. Localization of hydrogen peroxide accumulation during the hypersensitive reaction of lettuce cells to Pseudomonas syringae pv phaseolicola. Plant Cell 1997, 9, 209–221. [Google Scholar] [PubMed]
- Cheval, C.; Aldon, D.; Galaud, J.-P.; Ranty, B. Calcium/calmodulin-mediated regulation of plant immunity. Biochim. Biophys. Acta 2013, 1833, 1766–1771. [Google Scholar] [CrossRef] [PubMed]
- Nguyen, Q.-M.; Iswanto, A.; Son, G.; Kim, S. Recent Advances in Effector-Triggered Immunity in Plants: New Pieces in the Puzzle Create a Different Paradigm. Int. J. Mol. Sci. 2021, 22, 4709. [Google Scholar] [CrossRef]
- Wang, A.; Meng, F.; Xu, X.; Wang, Y.; Li, J. Development of Molecular Markers Linked to Cladosporium fulvum Resistant Gene Cf-6 in Tomato by RAPD and SSR Methods. HortScience 2007, 42, 11–15. [Google Scholar] [CrossRef]
- Langmead, B.; Salzberg, S.L. Fast gapped-read alignment with Bowtie 2. Nat. Methods 2012, 9, 357–359. [Google Scholar] [CrossRef]
- Kim, D.; Langmead, B.; Salzberg, S.L. HISAT: A fast spliced aligner with low memory requirements. Nat. Methods 2015, 12, 357–360. [Google Scholar] [CrossRef]
- Pertea, M.; Pertea, G.M.; Antonescu, C.M.; Chang, T.-C.; Mendell, J.T.; Salzberg, S.L. StringTie enables improved reconstruction of a transcriptome from RNA-seq reads. Nat. Biotechnol. 2015, 33, 290–295. [Google Scholar] [CrossRef]
- Kanehisa, M.; Goto, S. KEGG: Kyoto Encyclopedia of Genes and Genomes. Nucleic Acids Res. 2000, 28, 27–30. [Google Scholar] [CrossRef]
- Robinson, M.D.; McCarthy, D.J.; Smyth, G.K. EdgeR: A Bioconductor package for differential expression analysis of digital gene expression data. Bioinformatics 2010, 26, 139–140. [Google Scholar] [CrossRef] [PubMed]
- Livak, K.J.; Schmittgen, T.D. Analysis of relative gene expression data using real-time quantitative PCR and the 2− ΔΔCT method. Methods 2001, 25, 402–408. [Google Scholar] [CrossRef] [PubMed]
- Rotenberg, D.; Thompson, T.S.; German, T.L.; Willis, D.K. Methods for effective real-time RT-PCR analysis of virus-induced gene silencing. J. Virol. Methods 2006, 138, 49–59. [Google Scholar] [CrossRef] [PubMed]
- Llugany, M.; Martin, S.R.; Barceló, J.; Poschenrieder, C. Endogenous jasmonic and salicylic acids levels in the Cd-hyperaccumulator Noccaea (Thlaspi) praecox exposed to fungal infection and/or mechanical stress. Plant Cell Rep. 2013, 32, 1243–1249. [Google Scholar] [CrossRef] [PubMed]










| Sample | Raw Data (Mb) | Clean Data (Mb) (%) | Clean Bases (Gb) | AF_Q20 (%) | AF_Q30 (%) | AF_GC (%) |
|---|---|---|---|---|---|---|
| MM-0-1 | 22.75 | 22.73 (99.91%) | 3.39 | 97.48% | 92.75 | 44.24 |
| MM-0-2 | 25.00 | 24.97 (99.91%) | 3.73 | 98.41% | 94.95 | 44.57 |
| MM-0-3 | 28.50 | 28.47 (99.91%) | 4.24 | 98.24% | 94.61 | 44.59 |
| MM-9-1 | 22.91 | 22.89 (99.89%) | 3.41 | 97.97% | 93.87 | 44.36 |
| MM-9-2 | 30.66 | 30.63 (99.91%) | 4.58 | 98.17% | 94.24 | 44.73 |
| MM-9-3 | 23.64 | 23.61 (99.88%) | 3.52 | 97.86% | 93.62 | 45.00 |
| MM-15-1 | 25.19 | 25.17 (99.89%) | 3.76 | 97.98% | 93.95 | 44.76 |
| MM-15-2 | 25.05 | 25.02 (99.88%) | 3.72 | 98.07% | 94.20 | 45.00 |
| MM-15-3 | 26.87 | 26.84 (99.89%) | 4.01 | 98.23% | 94.50 | 44.92 |
| Cf13-0-1 | 29.72 | 29.69 (99.91%) | 4.43 | 98.28% | 94.72 | 44.15 |
| Cf13-0-2 | 24.60 | 24.58 (99.90%) | 3.66 | 97.95% | 93.80 | 44.62 |
| Cf13-0-3 | 25.37 | 25.35 (99.90%) | 3.79 | 97.93% | 93.86 | 44.46 |
| Cf13-9-1 | 22.99 | 22.96 (99.87%) | 3.42 | 97.91% | 93.77 | 44.33 |
| Cf13-9-2 | 29.90 | 29.86 (99.88%) | 4.46 | 97.93% | 93.82 | 44.15 |
| Cf13-9-3 | 23.09 | 23.06 (99.89%) | 3.44 | 98.08% | 94.18 | 44.24 |
| Cf13-15-1 | 27.03 | 27.00 (99.90%) | 4.02 | 98.12% | 94.33 | 44.31 |
| Cf13-15-2 | 31.16 | 31.13 (99.91%) | 4.64 | 98.21% | 94.50 | 44.19 |
| Cf13-15-3 | 23.12 | 23.10 (99.92%) | 3.44 | 98.28% | 94.71 | 45.26 |
Publisher’s Note: MDPI stays neutral with regard to jurisdictional claims in published maps and institutional affiliations. |
© 2022 by the authors. Licensee MDPI, Basel, Switzerland. This article is an open access article distributed under the terms and conditions of the Creative Commons Attribution (CC BY) license (https://creativecommons.org/licenses/by/4.0/).
Share and Cite
Jiang, X.; Li, Y.; Li, R.; Gao, Y.; Liu, Z.; Yang, H.; Li, J.; Jiang, J.; Zhao, T.; Xu, X. Transcriptome Analysis of the Cf-13-Mediated Hypersensitive Response of Tomato to Cladosporium fulvum Infection. Int. J. Mol. Sci. 2022, 23, 4844. https://doi.org/10.3390/ijms23094844
Jiang X, Li Y, Li R, Gao Y, Liu Z, Yang H, Li J, Jiang J, Zhao T, Xu X. Transcriptome Analysis of the Cf-13-Mediated Hypersensitive Response of Tomato to Cladosporium fulvum Infection. International Journal of Molecular Sciences. 2022; 23(9):4844. https://doi.org/10.3390/ijms23094844
Chicago/Turabian StyleJiang, Xiuming, Yang Li, Ran Li, Yijie Gao, Zengbing Liu, Huanhuan Yang, Jingfu Li, Jingbin Jiang, Tingting Zhao, and Xiangyang Xu. 2022. "Transcriptome Analysis of the Cf-13-Mediated Hypersensitive Response of Tomato to Cladosporium fulvum Infection" International Journal of Molecular Sciences 23, no. 9: 4844. https://doi.org/10.3390/ijms23094844
APA StyleJiang, X., Li, Y., Li, R., Gao, Y., Liu, Z., Yang, H., Li, J., Jiang, J., Zhao, T., & Xu, X. (2022). Transcriptome Analysis of the Cf-13-Mediated Hypersensitive Response of Tomato to Cladosporium fulvum Infection. International Journal of Molecular Sciences, 23(9), 4844. https://doi.org/10.3390/ijms23094844

