Density Scaling of Translational and Rotational Molecular Dynamics in a Simple Ellipsoidal Model near the Glass Transition
Abstract
1. Introduction
2. Results and Discussion
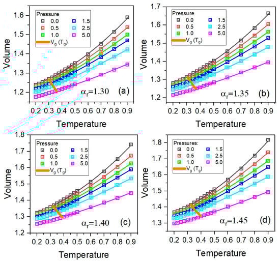
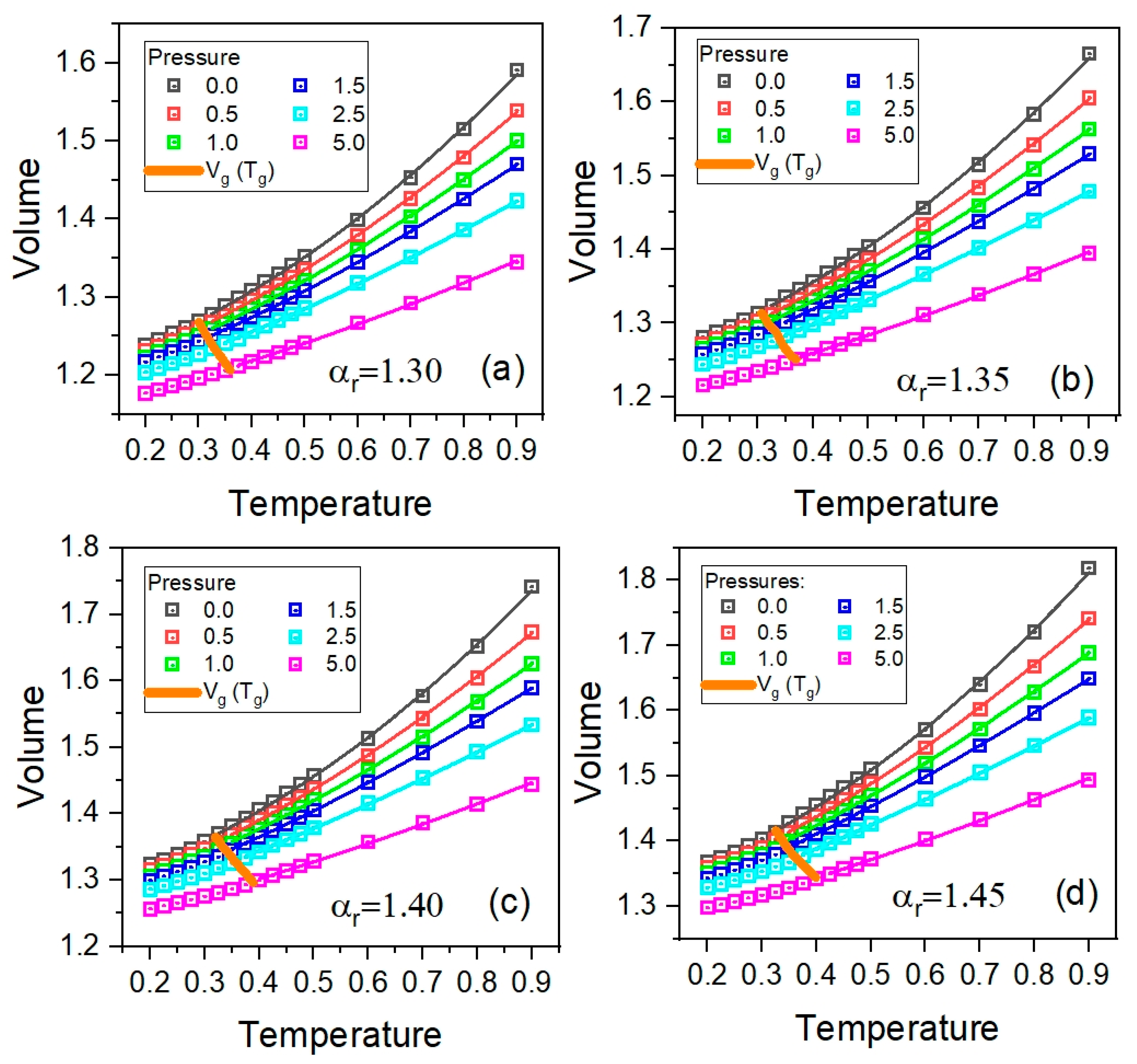
2.1. Volumetric Data Analysis
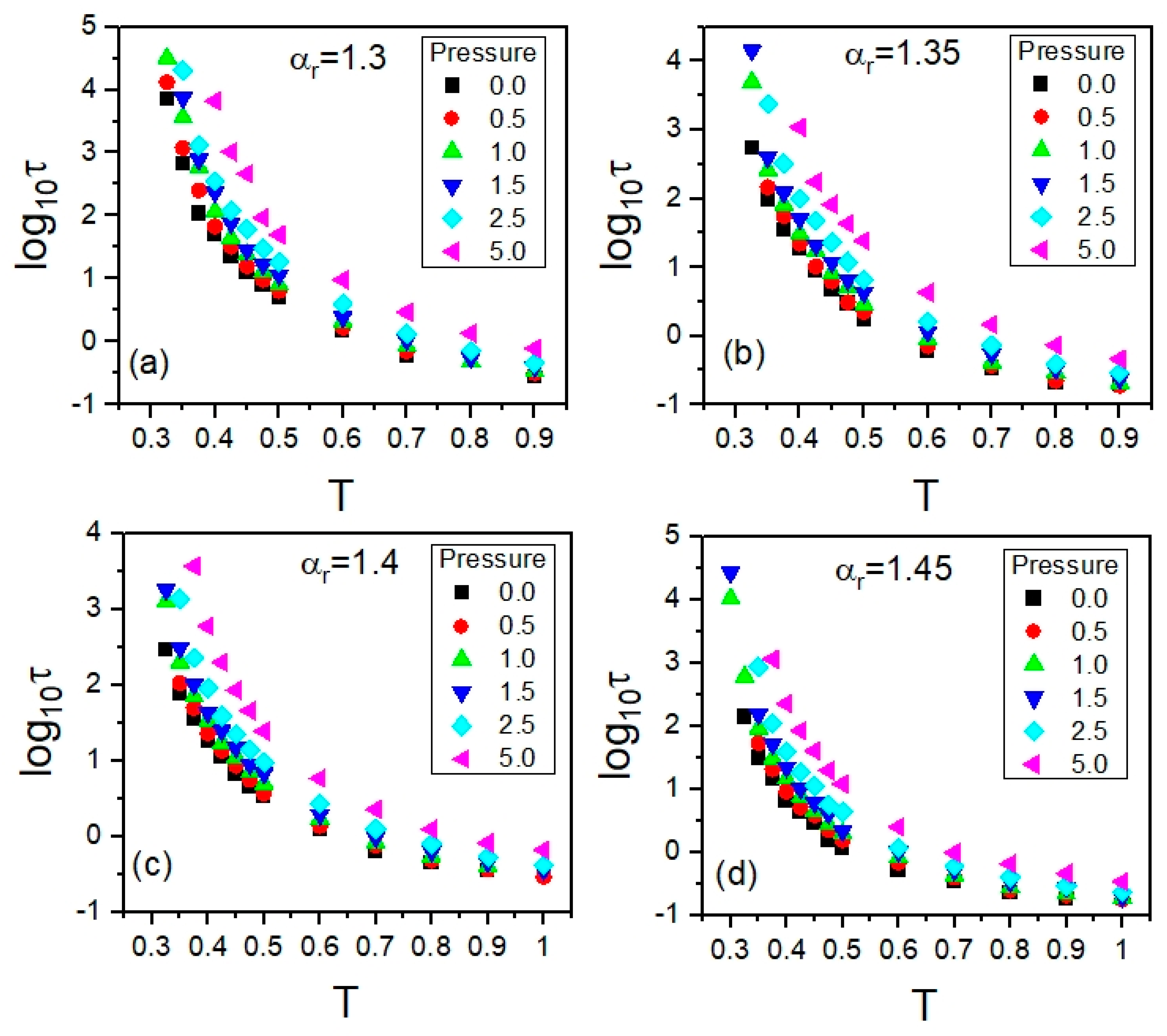
2.2. Translational Dynamics
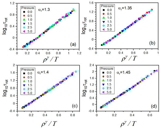
2.3. Rotational Dynamics
3. Materials and Methods
3.1. Simulations
3.2. Calculations
4. Summary and Conclusions
Author Contributions
Funding
Institutional Review Board Statement
Informed Consent Statement
Data Availability Statement
Acknowledgments
Conflicts of Interest
Appendix A


Appendix B
| αr | γEoS | A0conf | A1conf | A2conf | b0conf | b1conf |
|---|---|---|---|---|---|---|
| 1.30 | 8.92 ± 0.07 | 1.2693 ± 0.0002 | 0.349 ± 0.003 | 0.077 ± 0.012 | 62.1 ± 0.3 | 2.02 ±0.01 |
| 1.35 | 8.94 ± 0.06 | 1.3155 ± 0.0002 | 0.393 ± 0.002 | 0.070 ± 0.012 | 57.7 ± 0.2 | 2.07 ± 0.01 |
| 1.40 | 8.96 ± 0.04 | 1.3553 ± 0.002 | 0.399 ± 0.005 | 0.061 ± 0.010 | 57.2 ± 0.6 | 1.86 ± 0.05 |
| 1.45 | 9.02 ± 0.06 | 1.4158 ± 0.0002 | 0.486 ± 0.004 | 0.036 ± 0.017 | 50.9 ± 0.3 | 2.27 ± 0.01 |

References
- Adam, G.; Gibbs, J.H. On the Temperature Dependence of Cooperative Relaxation Properties in Glass-Forming Liquids. J. Chem. Phys. 1965, 43, 139–146. [Google Scholar] [CrossRef]
- Floudas, G.; Paluch, M.; Grzybowski, A.; Ngai, K.L. Molecular Dynamics of Glass-Forming Systems: Effects of Pressure; Kremer, F., Ed.; Advances in Dielectrics; Springer: Berlin/Heidelberg, Germany, 2011. [Google Scholar]
- Roland, C.M.; Hensel-Bielowka, S.; Paluch, M.; Casalini, R. Supercooled dynamics of glass-forming liquids and polymers under hydrostatic pressure. Rep. Prog. Phys. 2005, 68, 1405–1478. [Google Scholar] [CrossRef]
- Casalini, R.; Capaccioli, S.; Lucchesi, M.; Rolla, P.A.; Corezzi, S. Pressure dependence of structural relaxation time in terms of the Adam-Gibbs model. Phys. Rev. E 2001, 63, 031207. [Google Scholar] [CrossRef]
- Schwartz, G.A.; Tellechea, E.; Colmenero, J.; Alegria, A. Correlation between temperature–pressure dependence of the α-relaxation and configurational entropy for a glass-forming polymer. J. Non-Cryst. Solids 2005, 351, 2616–2621. [Google Scholar] [CrossRef]
- Avramov, I. Pressure dependence of viscosity of glassforming melts. J. Non-Cryst. Solids 2000, 262, 258–263. [Google Scholar] [CrossRef]
- Avramov, I.; Grzybowski, A.; Paluch, M. A new approach to description of the pressure dependence of viscosity. J. Non-Cryst. Solids 2009, 355, 733–736. [Google Scholar] [CrossRef]
- Tölle, A. Neutron scattering studies of the model glass former ortho-terphenyl. Rep. Prog. Phys. 2001, 64, 1473–1532. [Google Scholar] [CrossRef]
- Angell, C.A.; Klein, I.S. Prigogine and Defay say relax. Nat. Phys. 2011, 7, 750–751. [Google Scholar] [CrossRef]
- Grzybowski, A.; Paluch, M. Universality of Density Scaling. In The Scaling of Relaxation Processes; Kremer, F., Loidl, A., Eds.; Springer International Publishing AG: Berlin/Heidelberg, Germany, 2018; pp. 77–120. [Google Scholar]
- Paredes, X.; Fandiño, O.; Pensado, A.S.; Comuñas, M.J.; Fernández, J. Experimental density and viscosity measurements of di (2ethylhexyl) sebacate at high pressure. J. Chem. Thermodyn. 2012, 44, 38–43. [Google Scholar] [CrossRef]
- Grzybowski, A.; Lowe, A.R.; Jasiok, B.; Chorążewski, M. Volumetric and viscosity data of selected oils analyzed in the density scaling regime. J. Mol. Liq. 2022, 353, 118728. [Google Scholar] [CrossRef]
- Urban, S. High Pressure Investigations of Liquid Crystals. In Handbook of Liquid Crystals; Goodby, J.W., Collings, P.J., Kato, T., Tschierske, C., Gleeson, H., Raynes, P., Eds.; Wiley-VCH: Weinheim, Germany, 2014; Volume 2, pp. 443–486. [Google Scholar]
- Grzybowski, A.; Urban, S.; Mroz, S.; Paluch, M. Activation volume of selected liquid crystals in the density scaling regime. Sci. Rep. 2017, 7, 42174. [Google Scholar] [CrossRef] [PubMed]
- Roland, C.M.; Bair, S.; Casalini, R. Thermodynamic scaling of the viscosity of van der Waals, H-bonded, and ionic liquids. J. Chem. Phys. 2006, 125, 124508. [Google Scholar] [CrossRef] [PubMed]
- Alba-Simionesco, C.; Tarjus, G. Temperature versus density effects in glassforming liquids and polymers: A scaling hypothesis and its consequences. J. Non-Cryst. Solids 2006, 352, 4888–4894. [Google Scholar] [CrossRef][Green Version]
- Pedersen, U.R.; Bailey, N.P.; Schrøder, T.B.; Dyre, J.C. Strong Pressure-Energy Correlations in van der Waals Liquids. Phys. Rev. Lett. 2008, 100, 015701. [Google Scholar] [CrossRef]
- Bailey, N.P.; Pedersen, U.R.; Gnan, N.; Schrøder, T.B.; Dyre, J.C. Pressure-energy correlations in liquids. I. Results from computer simulations. J. Chem. Phys. 2008, 129, 184507. [Google Scholar] [CrossRef]
- Bailey, N.P.; Pedersen, U.R.; Gnan, N.; Schrøder, T.B.; Dyre, J.C. Pressure-energy correlations in liquids. II. Analysis and consequences. J. Chem. Phys. 2008, 129, 184508. [Google Scholar] [CrossRef]
- Coslovich, D.; Roland, C.M. Thermodynamic Scaling of Diffusion in Supercooled Lennard-Jones Liquids. J. Phys. Chem. B 2008, 112, 1329–1332. [Google Scholar] [CrossRef]
- Coslovich, D.; Roland, C.M. Pressure-energy correlations and thermodynamic scaling in viscous Lennard-Jones liquids. J. Chem. Phys. 2009, 130, 014508. [Google Scholar] [CrossRef]
- Schrøder, T.B.; Pedersen, U.R.; Bailey, N.P.; Toxvaerd, S.; Dyre, J.C. Hidden scale invariance in molecular van der Waals liquids: A simulation study. Phys. Rev. E 2009, 80, 041502. [Google Scholar] [CrossRef]
- Paluch, M.; Grzybowska, K.; Grzybowski, A. Effect of high pressure on the relaxation dynamics of glass-forming liquids. J. Phys. Condens. Matter 2007, 19, 205117. [Google Scholar] [CrossRef]
- Kob, W.; Andersen, H.C. Scaling Behavior in the β-Relaxation Regime of a Supercooled Lennard-Jones Mixture. Phys. Rev. Lett. 1994, 73, 1376–1379. [Google Scholar] [CrossRef] [PubMed]
- Wahnström, G. Molecular-dynamics study of a supercooled two-component Lennard-Jones system. Phys. Rev. A 1991, 44, 3752–3764. [Google Scholar] [CrossRef] [PubMed]
- Gnan, N.; Schrøder, T.B.; Pedersen, U.R.; Bailey, N.P.; Dyre, J.C. Pressure-energy correlations in liquids. IV. “Isomorphs” in liquid phase diagrams. J. Chem. Phys. 2009, 131, 234504. [Google Scholar] [CrossRef] [PubMed]
- Bøhling, L.; Ingebrigtsen, T.S.; Grzybowski, A.; Paluch, M.; Dyre, J.C.; Schrøder, T.B. Scaling of viscous dynamics in simple liquids: Theory, simulation and experiment. New J. Phys. 2012, 14, 113035. [Google Scholar] [CrossRef]
- Ingebrigtsen, T.S.; Bøhling, L.; Schrøder, T.B.; Dyre, J.C. Communication: Thermodynamics of condensed matter with strong pressure-energy correlations. J. Chem. Phys. 2012, 136, 061102. [Google Scholar] [CrossRef]
- Schrøder, T.B.; Bailey, N.P.; Pedersen, U.R.; Gnan, N.; Dyre, J.C. Pressure-energy correlations in liquids. III. Statistical mechanics and thermodynamics of liquids with hidden scale invariance. J. Chem. Phys. 2009, 131, 234503. [Google Scholar] [CrossRef]
- Grzybowski, A.; Paluch, M.; Grzybowska, K. Consequences of an Equation of State in the Thermodynamic Scaling Regime. J. Phys. Chem. B 2009, 113, 7419–7422. [Google Scholar] [CrossRef]
- Grzybowski, A.; Haracz, S.; Paluch, M.; Grzybowska, K. Density Scaling of Supercooled Simple Liquids near the Glass Transition. J. Phys. Chem. B 2010, 114, 11544–11551. [Google Scholar] [CrossRef]
- Grzybowski, A.; Grzybowska, K.; Paluch, M.; Swiety, A.; Koperwas, K. Density scaling in viscous systems near the glass transition. Phys. Rev. E 2011, 83, 041505. [Google Scholar] [CrossRef]
- Grzybowski, A.; Koperwas, K.; Paluch, M. Scaling of volumetric data in model systems based on the Lennard-Jones potential. Phys. Rev. E 2012, 86, 031501. [Google Scholar] [CrossRef]
- Grzybowski, A.; Koperwas, K.; Swiety-Pospiech, A.; Grzybowska, K.; Paluch, M. Activation volume in the density scaling regime: Equation of state and its test by using experimental and simulation data. Phys. Rev. B 2013, 87, 054105. [Google Scholar] [CrossRef]
- Gay, J.G.; Berne, B.J. Modification of the overlap potential to mimic a linear site-site potential. J. Chem. Phys. 1981, 74, 3316–3319. [Google Scholar] [CrossRef]
- Kapko, V.; Zhao, Z.; Matyushov, D.V.; Angell, C.A. “Ideal glassformers” vs “ideal glasses”: Studies of crystal-free routes to the glassy state by “potential tuning” molecular dynamics, and laboratory calorimetry. J. Chem. Phys. 2013, 138, 12A549. [Google Scholar] [CrossRef] [PubMed]
- Andersson, S.P.; Andersson, O. Relaxation Studies of Poly(propylene glycol) under High Pressure. Macromolecules 1998, 31, 2999–3006. [Google Scholar] [CrossRef]
- Angell, C.A. Formation of Glasses from Liquids and Biopolymers. Science 1995, 267, 1924–1935. [Google Scholar] [CrossRef]
- Nieuwenhuizen, T.M. Ehrenfest relations at the glass transition: Solution to an old paradox. Phys. Rev. Lett. 1997, 79, 1317–1320. [Google Scholar] [CrossRef]
- Koperwas, K.; Grzybowski, A.; Tripathy, S.N.; Masiewicz, E.; Paluch, M. Thermodynamic consequences of the kinetic nature of the glass transition. Sci. Rep. 2015, 5, 17782. [Google Scholar] [CrossRef]
- Grzybowski, A.; Paluch, M.; Grzybowska, K. Comment on “Density scaling of the diffusion coefficient at various pressures in viscous liquids”. Phys. Rev. E 2010, 82, 013501. [Google Scholar] [CrossRef]
- Grzybowski, A.; Paluch, M.; Grzybowska, K.; Haracz, S. Communication: Relationships between Intermolecular potential, thermodynamics, and dynamic scaling in viscous systems. J. Chem. Phys. 2010, 133, 161101. [Google Scholar] [CrossRef]
- Paluch, M.; Haracz, S.; Grzybowski, A.; Mierzwa, M.; Pionteck, J.; Rivera-Calzada, A.; Leon, C. A Relationship between Intermolecular Potential, Thermodynamics, and Dynamic Scaling for a Supercooled Ionic Liquid. J. Phys. Chem. Lett. 2010, 1, 987–992. [Google Scholar] [CrossRef]
- Koperwas, K.; Grzybowski, A.; Paluch, M. The effect of molecular architecture on the physical properties of supercooled liquids studied by md simulations: Density scaling and its relation to the equation of state. J. Chem. Phys. 2019, 150, 014501. [Google Scholar] [CrossRef] [PubMed]
- Koperwas, K.; Grzybowski, A.; Paluch, M. Exploring the connection between the density-scaling exponent and the intermolecular potential for liquids on the basis of computer simulations of quasireal model systems. Phys. Rev. E 2020, 101, 012613. [Google Scholar] [CrossRef] [PubMed]
- Sanz, A.; Hecksher, T.; Hansen, H.W.; Dyre, J.C.; Niss, K.; Pedersen, U.R. Experimental Evidence for a State-Point-Dependent Density-Scaling Exponent of Liquid Dynamics. Phys. Rev. Lett. 2019, 122, 055501. [Google Scholar] [CrossRef] [PubMed]
- Ransom, T.C.; Casalini, R.; Fragiadakis, D.; Holt, A.P.; Roland, C.M. Comment on “Experimental Evidence for a State-Point-Dependent Density-Scaling Exponent of Liquid Dynamics”. Phys. Rev. Lett. 2019, 123, 189601. [Google Scholar] [CrossRef]
- Sanz, A.; Hecksher, T.; Hansen, H.W.; Dyre, J.C.; Niss, K.; Pedersen, U.R. Reply: “Experimental Evidence for a State-Point-Dependent Density-Scaling Exponent of Liquid Dynamics”. Phys. Rev. Lett. 2019, 123, 189602. [Google Scholar] [CrossRef]
- Ransom, T.C.; Casalini, R.; Fragiadakis, D.; Roland, C.M. The complex behavior of the “simplest” liquid: Breakdown of density scaling in tetramethyl tetraphenyl trisiloxane. J. Chem. Phys. 2019, 151, 174501. [Google Scholar] [CrossRef]
- Casalini, R.; Ransom, T.C. On the pressure dependence of the thermodynamical scaling exponent γ. Soft Matter 2020, 16, 4625–4631. [Google Scholar] [CrossRef]
- Pedersen, U.R.; Schrøder, T.B.; Dyre, J.C. Repulsive Reference Potential Reproducing the Dynamics of a Liquid with Attractions. Phys. Rev. Lett. 2010, 105, 157801. [Google Scholar] [CrossRef]
- Koperwas, K.; Grzybowski, A.; Paluch, M. Virial–potential-energy correlation and its relation to density scaling for quasireal model systems. Phys. Rev. E 2020, 102, 062140. [Google Scholar] [CrossRef]
- Puosi, F.; Chulkin, O.; Bernini, S.; Capaccioli, S.; Leporini, D. Thermodynamic scaling of vibrational dynamics and relaxation. J. Chem. Phys. 2016, 145, 234904. [Google Scholar] [CrossRef]
- Bernini, S.; Puosi, F.; Leporini, D. Thermodynamic scaling of relaxation: Insights from anharmonic elasticity. J. Phys. Condens. Matter 2017, 29, 135101. [Google Scholar] [CrossRef] [PubMed]
- Thompson, A.P.; Aktulga, H.M.; Berger, R.; Bolintineanu, D.S.; Brown, W.M.; Crozier, P.S.; in’t Veld, P.J.; Kohlmeyer, A.; Moore, S.G.; Nguyen, T.D.; et al. LAMMPS—A flexible simulation tool for particle-based materials modeling at the atomic, meso, and continuum scale. Comp. Phys. Commun. 2022, 271, 108171. [Google Scholar] [CrossRef]
- Brown, W.M.; Petersen, M.K.; Plimpton, S.J.; Grest, G.S. Liquid crystal nanodroplets in solution. J. Chem. Phys. 2009, 130, 044901. [Google Scholar] [CrossRef] [PubMed]
- Everaers, R.; Ejtehadi, M.R. Interaction potentials for soft and hard ellipsoids. Phys. Rev. E 2003, 67, 041710. [Google Scholar] [CrossRef]
- Berardi, R.; Fava, C.; Zannoni, C. A Gay–Berne potential for dissimilar biaxial particles. Chem. Phys. Lett. 1998, 297, 8–14. [Google Scholar] [CrossRef]
- Allen, M.P.; Tildesley, D.J. Computer Simulation of Liquids, 2nd ed.; Oxford University Press: New York, NY, USA, 2017. [Google Scholar]
- Lyulin, A.V.; Al-Barwani, M.S.; Allen, M.P.; Wilson, M.R.; Neelov, I.; Allsopp, N.K. Molecular Dynamics Simulation of Main Chain Liquid Crystalline Polymers. Macromolecules 1998, 31, 4626–4634. [Google Scholar] [CrossRef]
- Kuon, N.; Milischuk, A.A.; Ladanyi, B.M.; Flenner, E. Self-intermediate scattering function analysis of supercooled water confined in hydrophilic silica nanopores. J. Chem. Phys. 2017, 146, 214501. [Google Scholar] [CrossRef]
- Grzybowski, A.; Koperwas, K.; Kolodziejczyk, K.; Grzybowska, K.; Paluch, M. Spatially Heterogeneous Dynamics in the Density Scaling Regime: Time and Length Scales of Molecular Dynamics near the Glass Transition. J. Phys. Chem. Lett. 2013, 4, 4273–4278. [Google Scholar] [CrossRef][Green Version]











| αr | γEoS | A0 | A1 | A2 | b0 | b1 |
|---|---|---|---|---|---|---|
| 1.30 | 8.62 ± 0.18 | 1.2693 ± 0.0005 | 0.347 ± 0.004 | 0.297 ± 0.007 | 67.3 ± 0.9 | 2.61 ± 0.04 |
| 1.35 | 8.62 ± 0.17 | 1.3166 ± 0.0006 | 0.390 ± 0.005 | 0.317 ± 0.008 | 62.4 ± 0.8 | 2.70 ± 0.04 |
| 1.40 | 8.66 ± 0.17 | 1.3679 ± 0.0006 | 0.426 ± 0.005 | 0.358 ± 0.009 | 58.7 ± 0.8 | 2.84 ± 0.04 |
| 1.45 | 8.69 ± 0.17 | 1.4157 ± 0.0007 | 0.466 ± 0.006 | 0.388 ± 0.011 | 56.6 ± 0.9 | 2.98 ± 0.05 |
| αr | γ |
|---|---|
| 1.30 | 4.52 ± 0.08 |
| 1.35 | 4.86 ± 0.04 |
| 1.40 | 4.95 ± 0.08 |
| 1.45 | 5.09 ± 0.08 |
| αr | |
|---|---|
| 1.30 | 6.13 ± 0.01 |
| 1.35 | 6.17 ± 0.01 |
| 1.40 | 6.19 ± 0.01 |
| 1.45 | 6.19 ± 0.01 |
Publisher’s Note: MDPI stays neutral with regard to jurisdictional claims in published maps and institutional affiliations. |
© 2022 by the authors. Licensee MDPI, Basel, Switzerland. This article is an open access article distributed under the terms and conditions of the Creative Commons Attribution (CC BY) license (https://creativecommons.org/licenses/by/4.0/).
Share and Cite
Liszka, K.; Grzybowski, A.; Koperwas, K.; Paluch, M. Density Scaling of Translational and Rotational Molecular Dynamics in a Simple Ellipsoidal Model near the Glass Transition. Int. J. Mol. Sci. 2022, 23, 4546. https://doi.org/10.3390/ijms23094546
Liszka K, Grzybowski A, Koperwas K, Paluch M. Density Scaling of Translational and Rotational Molecular Dynamics in a Simple Ellipsoidal Model near the Glass Transition. International Journal of Molecular Sciences. 2022; 23(9):4546. https://doi.org/10.3390/ijms23094546
Chicago/Turabian StyleLiszka, Karol, Andrzej Grzybowski, Kajetan Koperwas, and Marian Paluch. 2022. "Density Scaling of Translational and Rotational Molecular Dynamics in a Simple Ellipsoidal Model near the Glass Transition" International Journal of Molecular Sciences 23, no. 9: 4546. https://doi.org/10.3390/ijms23094546
APA StyleLiszka, K., Grzybowski, A., Koperwas, K., & Paluch, M. (2022). Density Scaling of Translational and Rotational Molecular Dynamics in a Simple Ellipsoidal Model near the Glass Transition. International Journal of Molecular Sciences, 23(9), 4546. https://doi.org/10.3390/ijms23094546

