A Review of the Recent Developments of Molecular Hybrids Targeting Tubulin Polymerization
Abstract
:1. Introduction
2. Tubulin Polymerization Hybrids
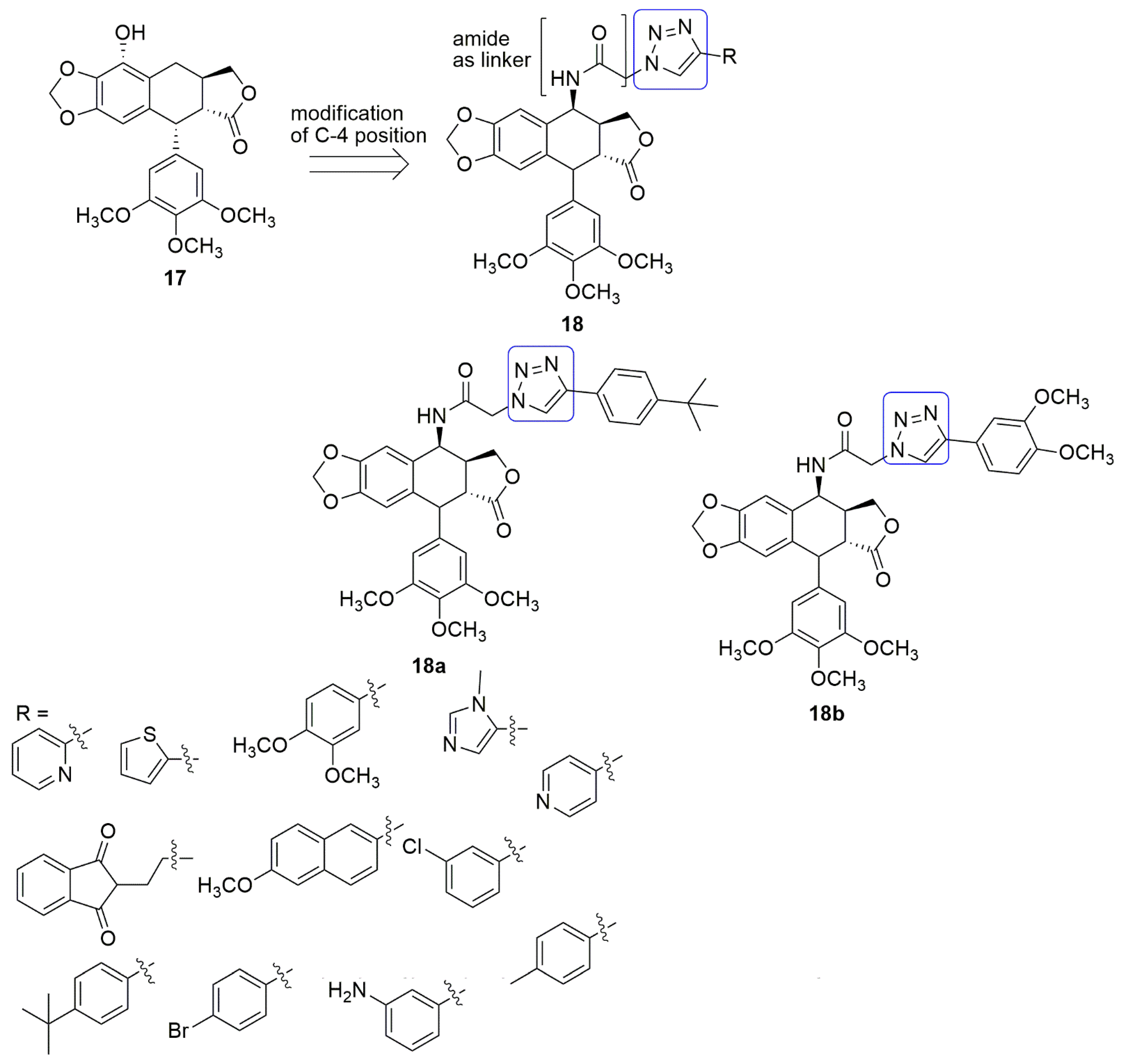
Triazole and Tetrazole Hybrids
3. Benzimidazole Hybrids
4. Pyrazole Hybrids
5. Quinoline Hybrids
6. Quinazolinone Hybrids
7. Quinolinone Hybrids
8. Chalcone Hybrids
9. Coumarin Hybrids
10. Indole Hybrids
11. Oxindole Hybrids
12. Conclusions
Author Contributions
Funding
Institutional Review Board Statement
Informed Consent Statement
Data Availability Statement
Acknowledgments
Conflicts of Interest
References
- Sung, H.; Ferlay, J.; Siegel, R.L.; Laversanne, M.; Soerjomataram, I.; Jemal, A.; Bray, F. Global Cancer Statistics 2020: GLOBOCAN Estimates of Incidence and Mortality Worldwide for 36 Cancers in 185 Countries. CA Cancer J. Clin. 2021, 71, 209–249. [Google Scholar] [CrossRef] [PubMed]
- Fedorov, V.A.; Orekhov, P.S.; Kholina, E.G.; Zhmurov, A.A.; Ataullakhanov, F.I.; Kovalenko, I.B.; Gudimchuk, N.B. Mechanical properties of tubulin intra- and inter-dimer interfaces and their implications for microtubule dynamic instability. PLoS Comput. Biol. 2019, 15, e1007327. [Google Scholar] [CrossRef] [PubMed] [Green Version]
- Majcher, U.; Klejborowska, G.; Moshari, M.; Maj, E.; Wietrzyk, J.; Bartl, F.; Tuszynski, J.A.; Huczyński, A. Antiproliferative Activity and Molecular Docking of Novel Double-Modified Colchicine Derivatives. Cells 2018, 7, 192. [Google Scholar] [CrossRef] [Green Version]
- Jordan, M.A. Mechanism of action of antitumor drugs that interact with microtubules and tubulin. Curr. Med. Chem. Anticancer Agents 2002, 2, 1–17. [Google Scholar] [CrossRef] [PubMed]
- Drukman, S.; Kavallaris, M. Microtubule alterations and resistance to tubulin-binding agents (review). Int. J. Oncol. 2002, 21, 621–628. [Google Scholar] [CrossRef] [PubMed]
- Ye, Q.; Liu, K.; Shen, Q.; Li, Q.; Hao, J.; Han, F.; Jiang, R.W. Reversal of Multidrug Resistance in Cancer by Multi-Functional Flavonoids. Front. Oncol. 2019, 9, 487. [Google Scholar] [CrossRef] [PubMed] [Green Version]
- Bukowski, K.; Kciuk, M.; Kontek, R. Mechanisms of Multidrug Resistance in Cancer Chemotherapy. Int. J. Mol. Sci. 2020, 21, 3233. [Google Scholar] [CrossRef]
- Cavaletti, G.; Alberti, P.; Argyriou, A.A.; Lustberg, M.; Staff, N.P.; Tamburin, S. Chemotherapy-induced peripheral neurotoxicity: A multifaceted, still unsolved issue. J. Peripher. Nerv. Syst. 2019, 24 (Suppl. S2), S6–S12. [Google Scholar] [CrossRef]
- Staff, N.P.; Grisold, A.; Grisold, W.; Windebank, A.J. Chemotherapy-induced peripheral neuropathy: A current review. Ann. Neurol. 2017, 81, 772–781. [Google Scholar] [CrossRef]
- Perrinjaquet, C.; Desbaillets, N.; Hottinger, A.F. Neurotoxicity associated with cancer immunotherapy: Immune checkpoint inhibitors and chimeric antigen receptor T-cell therapy. Curr. Opin. Neurol. 2019, 32, 500–510. [Google Scholar] [CrossRef]
- Lazar, J.D.; Wilner, K.D. Drug interactions with fluconazole. Rev. Infect. Dis. 1990, 12 (Suppl. S3), S327–S333. [Google Scholar] [CrossRef] [PubMed]
- Gulick, R.M.; Lalezari, J.; Goodrich, J.; Clumeck, N.; DeJesus, E.; Horban, A.; Nadler, J.; Clotet, B.; Karlsson, A.; Wohlfeiler, M.; et al. Maraviroc for previously treated patients with R5 HIV-1 infection. N. Engl. J. Med. 2008, 359, 1429–1441. [Google Scholar] [CrossRef] [PubMed] [Green Version]
- Finn, R.S.; Martin, M.; Rugo, H.S.; Jones, S.; Im, S.A.; Gelmon, K.; Harbeck, N.; Lipatov, O.N.; Walshe, J.M.; Moulder, S.; et al. Palbociclib and Letrozole in Advanced Breast Cancer. N. Engl. J. Med. 2016, 375, 1925–1936. [Google Scholar] [CrossRef] [PubMed]
- Eiermann, W.; Paepke, S.; Appfelstaedt, J.; Llombart-Cussac, A.; Eremin, J.; Vinholes, J.; Mauriac, L.; Ellis, M.; Lassus, M.; Chaudri-Ross, H.A.; et al. Preoperative treatment of postmenopausal breast cancer patients with letrozole: A randomized double-blind multicenter study. Ann. Oncol. 2001, 12, 1527–1532. [Google Scholar] [CrossRef]
- Bonneterre, J.; Thürlimann, B.; Robertson, J.F.; Krzakowski, M.; Mauriac, L.; Koralewski, P.; Vergote, I.; Webster, A.; Steinberg, M.; von Euler, M. Anastrozole versus tamoxifen as first-line therapy for advanced breast cancer in 668 postmenopausal women: Results of the Tamoxifen or Arimidex Randomized Group Efficacy and Tolerability study. J. Clin. Oncol. 2000, 18, 3748–3757. [Google Scholar] [CrossRef] [PubMed]
- Subba Rao, A.V.; Swapna, K.; Shaik, S.P.; Lakshma Nayak, V.; Srinivasa Reddy, T.; Sunkari, S.; Shaik, T.B.; Bagul, C.; Kamal, A. Synthesis and biological evaluation of cis-restricted triazole/tetrazole mimics of combretastatin-benzothiazole hybrids as tubulin polymerization inhibitors and apoptosis inducers. Bioorg. Med. Chem. 2017, 25, 977–999. [Google Scholar] [CrossRef] [PubMed]
- Xu, Q.; Bao, K.; Sun, M.; Xu, J.; Wang, Y.; Tian, H.; Zuo, D.; Guan, Q.; Wu, Y.; Zhang, W. Design, synthesis and structure-activity relationship of 3,6-diaryl-7H-[1,2,4]triazolo[3,4-b][1,3,4]thiadiazines as novel tubulin inhibitors. Sci. Rep. 2017, 7, 11997. [Google Scholar] [CrossRef] [PubMed] [Green Version]
- O’Boyle, N.M.; Ana, G.; Kelly, P.M.; Nathwani, S.M.; Noorani, S.; Fayne, D.; Bright, S.A.; Twamley, B.; Zisterer, D.M.; Meegan, M.J. Synthesis and evaluation of antiproliferative microtubule-destabilising combretastatin A-4 piperazine conjugates. Org. Biomol. Chem. 2019, 17, 6184–6200. [Google Scholar] [CrossRef]
- Chopra, A.; Anderson, A.; Giardina, C. Novel piperazine-based compounds inhibit microtubule dynamics and sensitize colon cancer cells to tumor necrosis factor-induced apoptosis. J. Biol. Chem. 2014, 289, 2978–2991. [Google Scholar] [CrossRef] [Green Version]
- Manasa, K.L.; Thatikonda, S.; Sigalapalli, D.K.; Vuppaladadium, S.; Devi, G.P.; Godugu, C.; Alvala, M.; Nagesh, N.; Babu, B.N. Design and synthesis of substituted (1-(benzyl)-1H-1,2,3-triazol-4-yl)(piperazin-1-yl)methanone conjugates: Study on their apoptosis inducing ability and tubulin polymerization inhibition. RSC Med. Chem. 2020, 11, 1295–1302. [Google Scholar] [CrossRef]
- Wu, Y.; Feng, D.J.; Gao, M.Q.; Wang, Z.W.; Yan, P.; Gu, Z.Z.; Guan, Q.; Zuo, D.Y.; Bao, K.; Sun, J.; et al. Design and synthesis of 5-aryl-4-(4-arylpiperazine-1-carbonyl)-2H-1,2,3-triazole derivatives as colchicine binding site inhibitors. Sci. Rep. 2017, 7, 17120. [Google Scholar] [CrossRef] [PubMed] [Green Version]
- Semenchenko, K.; Wasylyk, C.; Cheung, H.; Tourrette, Y.; Maas, P.; Schalken, J.A.; van der Pluijm, G.; Wasylyk, B. XRP44X, an Inhibitor of Ras/Erk Activation of the Transcription Factor Elk3, Inhibits Tumour Growth and Metastasis in Mice. PLoS ONE 2016, 11, e0159531. [Google Scholar] [CrossRef] [PubMed] [Green Version]
- Wasylyk, C.; Zheng, H.; Castell, C.; Debussche, L.; Multon, M.C.; Wasylyk, B. Inhibition of the Ras-Net (Elk-3) pathway by a novel pyrazole that affects microtubules. Cancer Res. 2008, 68, 1275–1283. [Google Scholar] [CrossRef] [PubMed] [Green Version]
- Wang, C.; Li, Y.; Liu, T.; Wang, Z.; Zhang, Y.; Bao, K.; Wu, Y.; Guan, Q.; Zuo, D.; Zhang, W. Design, synthesis and evaluation of antiproliferative and antitubulin activities of 5-methyl-4-aryl-3-(4-arylpiperazine-1-carbonyl)-4H-1,2,4-triazoles. Bioorg. Chem. 2020, 104, 103909. [Google Scholar] [CrossRef]
- Pacchiano, F.; Carta, F.; McDonald, P.C.; Lou, Y.; Vullo, D.; Scozzafava, A.; Dedhar, S.; Supuran, C.T. Ureido-substituted benzenesulfonamides potently inhibit carbonic anhydrase IX and show antimetastatic activity in a model of breast cancer metastasis. J. Med. Chem. 2011, 54, 1896–1902. [Google Scholar] [CrossRef] [Green Version]
- Coxon, C.R.; Anscombe, E.; Harnor, S.J.; Martin, M.P.; Carbain, B.; Golding, B.T.; Hardcastle, I.R.; Harlow, L.K.; Korolchuk, S.; Matheson, C.J.; et al. Cyclin-Dependent Kinase (CDK) Inhibitors: Structure-Activity Relationships and Insights into the CDK-2 Selectivity of 6-Substituted 2-Arylaminopurines. J. Med. Chem. 2017, 60, 1746–1767. [Google Scholar] [CrossRef]
- Guo, S.; Zhen, Y.; Guo, M.; Zhang, L.; Zhou, G. Design, synthesis and antiproliferative evaluation of novel sulfanilamide-1,2,3-triazole derivatives as tubulin polymerization inhibitors. Investig. New Drugs 2018, 36, 1147–1157. [Google Scholar] [CrossRef]
- Vishnuvardhan, M.V.P.S.; Chandrasekhar, K.; Lakshma Nayak, V.; Sayeed, I.B.; Alarifi, A.; Kamal, A. Click chemistry-assisted synthesis of triazolo linked podophyllotoxin conjugates as tubulin polymerization inhibitors. Medchemcomm 2017, 8, 1817–1823. [Google Scholar] [CrossRef]
- Qi, Z.Y.; Hao, S.Y.; Tian, H.Z.; Bian, H.L.; Hui, L.; Chen, S.W. Synthesis and biological evaluation of 1-(benzofuran-3-yl)-4-(3,4,5-trimethoxyphenyl)-1H-1,2,3-triazole derivatives as tubulin polymerization inhibitors. Bioorg. Chem. 2020, 94, 103392. [Google Scholar] [CrossRef]
- Wu, M.K.; Man, R.J.; Liao, Y.J.; Zhu, H.L.; Zhou, Z.G. Discovery of novel indole-1,2,4-triazole derivatives as tubulin polymerization inhibitors. Drug Dev. Res. 2021, 82, 1008–1020. [Google Scholar] [CrossRef]
- Prasad, B.; Lakshma Nayak, V.; Srikanth, P.S.; Baig, M.F.; Subba Reddy, N.V.; Babu, K.S.; Kamal, A. Synthesis and biological evaluation of 1-benzyl-N-(2-(phenylamino)pyridin-3-yl)-1H-1,2,3-triazole-4-carboxamides as antimitotic agents. Bioorg. Chem. 2019, 83, 535–548. [Google Scholar] [CrossRef] [PubMed]
- Yoshino, H.; Ueda, N.; Niijima, J.; Sugumi, H.; Kotake, Y.; Koyanagi, N.; Yoshimatsu, K.; Asada, M.; Watanabe, T.; Nagasu, T.; et al. Novel sulfonamides as potential, systemically active antitumor agents. J. Med. Chem. 1992, 35, 2496–2497. [Google Scholar] [CrossRef] [PubMed]
- Koyanagi, N.; Nagasu, T.; Fujita, F.; Watanabe, T.; Tsukahara, K.; Funahashi, Y.; Fujita, M.; Taguchi, T.; Yoshino, H.; Kitoh, K. In vivo tumor growth inhibition produced by a novel sulfonamide, E7010, against rodent and human tumors. Cancer Res. 1994, 54, 1702–1706. [Google Scholar] [PubMed]
- Martínez-Urbina, M.A.; Zentella, A.; Vilchis-Reyes, M.A.; Guzmán, A.; Vargas, O.; Ramírez Apan, M.T.; Ventura Gallegos, J.L.; Díaz, E. 6-Substituted 2-(N-trifluoroacetylamino)imidazopyridines induce cell cycle arrest and apoptosis in SK-LU-1 human cancer cell line. Eur. J. Med. Chem. 2010, 45, 1211–1219. [Google Scholar] [CrossRef]
- Iqbal, M.A.; Husain, A.; Alam, O.; Khan, S.A.; Ahmad, A.; Haider, M.R.; Alam, M.A. Design, synthesis, and biological evaluation of imidazopyridine-linked thiazolidinone as potential anticancer agents. Arch. Pharm. 2020, 353, e2000071. [Google Scholar] [CrossRef]
- Sayeed, I.B.; Vishnuvardhan, M.; Nagarajan, A.; Kantevari, S.; Kamal, A. Imidazopyridine linked triazoles as tubulin inhibitors, effectively triggering apoptosis in lung cancer cell line. Bioorg. Chem. 2018, 80, 714–720. [Google Scholar] [CrossRef]
- Wang, C.; Li, Y.; Liu, Z.; Wang, Z.; Liu, Z.; Man, S.; Zhang, Y.; Bao, K.; Wu, Y.; Guan, Q.; et al. Design, synthesis and biological evaluation of 1-Aryl-5-(4-arylpiperazine-1-carbonyl)-1H-tetrazols as novel microtubule destabilizers. J. Enzym. Inhib. Med. Chem. 2021, 36, 549–560. [Google Scholar] [CrossRef]
- Klimesová, V.; Kocí, J.; Pour, M.; Stachel, J.; Waisser, K.; Kaustová, J. Synthesis and preliminary evaluation of benzimidazole derivatives as antimicrobial agents. Eur. J. Med. Chem. 2002, 37, 409–418. [Google Scholar] [CrossRef]
- Ansari, K.F.; Lal, C. Synthesis, physicochemical properties and antimicrobial activity of some new benzimidazole derivatives. Eur. J. Med. Chem. 2009, 44, 4028–4033. [Google Scholar] [CrossRef]
- Achar, K.C.; Hosamani, K.M.; Seetharamareddy, H.R. In-vivo analgesic and anti-inflammatory activities of newly synthesized benzimidazole derivatives. Eur. J. Med. Chem. 2010, 45, 2048–2054. [Google Scholar] [CrossRef]
- Friedman, P.A.; Platzer, E.G. Interaction of anthelmintic benzimidazoles and benzimidazole derivatives with bovine brain tubulin. Biochim. Biophys. Acta 1978, 544, 605–614. [Google Scholar] [CrossRef]
- Dilks, C.M.; Hahnel, S.R.; Sheng, Q.; Long, L.; McGrath, P.T.; Andersen, E.C. Quantitative benzimidazole resistance and fitness effects of parasitic nematode beta-tubulin alleles. Int. J. Parasitol. Drugs Drug Resist. 2020, 14, 28–36. [Google Scholar] [CrossRef] [PubMed]
- Ayhan-Kilcigil, G.; Kus, C.; Coban, T.; Can-Eke, B.; Iscan, M. Synthesis and antioxidant properties of novel benzimidazole derivatives. J. Enzym. Inhib. Med. Chem. 2004, 19, 129–135. [Google Scholar] [CrossRef] [PubMed] [Green Version]
- Camacho, J.; Barazarte, A.; Gamboa, N.; Rodrigues, J.; Rojas, R.; Vaisberg, A.; Gilman, R.; Charris, J. Synthesis and biological evaluation of benzimidazole-5-carbohydrazide derivatives as antimalarial, cytotoxic and antitubercular agents. Bioorg. Med. Chem. 2011, 19, 2023–2029. [Google Scholar] [CrossRef]
- Tomei, L.; Altamura, S.; Bartholomew, L.; Biroccio, A.; Ceccacci, A.; Pacini, L.; Narjes, F.; Gennari, N.; Bisbocci, M.; Incitti, I.; et al. Mechanism of action and antiviral activity of benzimidazole-based allosteric inhibitors of the hepatitis C virus RNA-dependent RNA polymerase. J. Virol. 2003, 77, 13225–13231. [Google Scholar] [CrossRef] [Green Version]
- Wang, Z.; Deng, X.P.; Xiong, R.D.; Xiong, S.J.; Liu, J.; Cao, X.; Lei, X.Y.; Chen, Y.M.; Zheng, X.; Tang, G.T. Design, synthesis and biological evaluation of 3′,4′,5′-trimethoxy flavonoid benzimidazole derivatives as potential anti-tumor agents. Medchemcomm 2018, 9, 305–315. [Google Scholar] [CrossRef]
- Miao, T.T.; Tao, X.B.; Li, D.D.; Chen, H.; Jin, X.Y.; Geng, Y.; Wang, S.F.; Gu, W. Synthesis and biological evaluation of 2-aryl-benzimidazole derivatives of dehydroabietic acid as novel tubulin polymerization inhibitors. RSC Adv. 2018, 8, 17511–17526. [Google Scholar] [CrossRef] [Green Version]
- Tanaka, H.; Ohshima, N.; Ikenoya, M.; Komori, K.; Katoh, F.; Hidaka, H. HMN-176, an active metabolite of the synthetic antitumor agent HMN-214, restores chemosensitivity to multidrug-resistant cells by targeting the transcription factor NF-Y. Cancer Res. 2003, 63, 6942–6947. [Google Scholar]
- Wang, Y.T.; Cai, X.C.; Shi, T.Q.; Zhang, Y.L.; Wang, Z.C.; Liu, C.H.; Zhu, H.L. Synthesis, molecular docking and biological evaluation of 1-phenylsulphonyl-2-(1-methylindol-3-yl)-benzimidazole derivatives as novel potential tubulin assembling inhibitors. Chem. Biol. Drug Des. 2017, 90, 112–118. [Google Scholar] [CrossRef]
- Wang, Y.T.; Shi, T.Q.; Zhu, H.L.; Liu, C.H. Synthesis, biological evaluation and molecular docking of benzimidazole grafted benzsulfamide-containing pyrazole ring derivatives as novel tubulin polymerization inhibitors. Bioorg. Med. Chem. 2019, 27, 502–515. [Google Scholar] [CrossRef]
- Donthiboina, K.; Anchi, P.; Gurram, S.; Sai Mani, G.; Lakshmi Uppu, J.; Godugu, C.; Shankaraiah, N.; Kamal, A. Synthesis and biological evaluation of substituted N-(2-(1H-benzo[d]imidazol-2-yl)phenyl)cinnamides as tubulin polymerization inhibitors. Bioorg. Chem. 2020, 103, 104191. [Google Scholar] [CrossRef] [PubMed]
- Sana, S.; Reddy, V.G.; Reddy, T.S.; Tokala, R.; Kumar, R.; Bhargava, S.K.; Shankaraiah, N. Cinnamide derived pyrimidine-benzimidazole hybrids as tubulin inhibitors: Synthesis, in silico and cell growth inhibition studies. Bioorg. Chem. 2021, 110, 104765. [Google Scholar] [CrossRef] [PubMed]
- Hranjec, M.; Pavlović, G.; Marjanović, M.; Kralj, M.; Karminski-Zamola, G. Benzimidazole derivatives related to 2,3-acrylonitriles, benzimidazo[1,2-a]quinolines and fluorenes: Synthesis, antitumor evaluation in vitro and crystal structure determination. Eur. J. Med. Chem. 2010, 45, 2405–2417. [Google Scholar] [CrossRef] [PubMed]
- Spurr, S.S.; Bayle, E.D.; Yu, W.; Li, F.; Tempel, W.; Vedadi, M.; Schapira, M.; Fish, P.V. New small molecule inhibitors of histone methyl transferase DOT1L with a nitrile as a non-traditional replacement for heavy halogen atoms. Bioorg. Med. Chem. Lett. 2016, 26, 4518–4522. [Google Scholar] [CrossRef] [Green Version]
- Perin, N.; Hok, L.; Beč, A.; Persoons, L.; Vanstreels, E.; Daelemans, D.; Vianello, R.; Hranjec, M. N-substituted benzimidazole acrylonitriles as in vitro tubulin polymerization inhibitors: Synthesis, biological activity and computational analysis. Eur. J. Med. Chem. 2021, 211, 113003. [Google Scholar] [CrossRef]
- Bouabdallah, I.; M’Barek, L.A.; Zyad, A.; Ramdani, A.; Zidane, I.; Melhaoui, A. Anticancer effect of three pyrazole derivatives. Nat. Prod. Res. 2006, 20, 1024–1030. [Google Scholar] [CrossRef]
- Ebenezer, O.; Awolade, P.; Koorbanally, N.; Singh, P. New library of pyrazole-imidazo[1,2-α]pyridine molecular conjugates: Synthesis, antibacterial activity and molecular docking studies. Chem. Biol. Drug Des. 2020, 95, 162–173. [Google Scholar] [CrossRef]
- Ebenezer, O.; Singh-Pillay, A.; Koorbanally, N.A.; Singh, P. Antibacterial evaluation and molecular docking studies of pyrazole-thiosemicarbazones and their pyrazole-thiazolidinone conjugates. Mol. Divers. 2021, 25, 191–204. [Google Scholar] [CrossRef]
- Wang, G.; Liu, W.; Peng, Z.; Huang, Y.; Gong, Z.; Li, Y. Design, synthesis, molecular modeling, and biological evaluation of pyrazole-naphthalene derivatives as potential anticancer agents on MCF-7 breast cancer cells by inhibiting tubulin polymerization. Bioorg. Chem. 2020, 103, 104141. [Google Scholar] [CrossRef]
- Jian, X.E.; Yang, F.; Jiang, C.S.; You, W.W.; Zhao, P.L. Synthesis and biological evaluation of novel pyrazolo[3,4-b]pyridines as cis-restricted combretastatin A-4 analogues. Bioorg. Med. Chem. Lett. 2020, 30, 127025. [Google Scholar] [CrossRef]
- Diacon, A.H.; Pym, A.; Grobusch, M.P.; de los Rios, J.M.; Gotuzzo, E.; Vasilyeva, I.; Leimane, V.; Andries, K.; Bakare, N.; De Marez, T.; et al. Multidrug-resistant tuberculosis and culture conversion with bedaquiline. N. Engl. J. Med. 2014, 371, 723–732. [Google Scholar] [CrossRef] [PubMed] [Green Version]
- Fuchs, C.; Mitchell, E.P.; Hoff, P.M. Irinotecan in the treatment of colorectal cancer. Cancer Treat. Rev. 2006, 32, 491–503. [Google Scholar] [CrossRef] [PubMed]
- Matada, B.S.; Pattanashettar, R.; Yernale, N.G. A comprehensive review on the biological interest of quinoline and its derivatives. Bioorg. Med. Chem. 2021, 32, 115973. [Google Scholar] [CrossRef] [PubMed]
- Abdelbaset, M.S.; Abuo-Rahma, G.E.A.; Abdelrahman, M.H.; Ramadan, M.; Youssif, B.G.M.; Bukhari, S.N.A.; Mohamed, M.F.A.; Abdel-Aziz, M. Novel pyrrol-2(3H)-ones and pyridazin-3(2H)-ones carrying quinoline scaffold as anti-proliferative tubulin polymerization inhibitors. Bioorg. Chem. 2018, 80, 151–163. [Google Scholar] [CrossRef] [PubMed]
- Li, W.; Shuai, W.; Sun, H.; Xu, F.; Bi, Y.; Xu, J.; Ma, C.; Yao, H.; Zhu, Z.; Xu, S. Design, synthesis and biological evaluation of quinoline-indole derivatives as anti-tubulin agents targeting the colchicine binding site. Eur. J. Med. Chem. 2019, 163, 428–442. [Google Scholar] [CrossRef]
- Mirzaei, S.; Eisvand, F.; Hadizadeh, F.; Mosaffa, F.; Ghasemi, A.; Ghodsi, R. Design, synthesis and biological evaluation of novel 5,6,7-trimethoxy-N-aryl-2-styrylquinolin-4-amines as potential anticancer agents and tubulin polymerization inhibitors. Bioorg. Chem. 2020, 98, 103711. [Google Scholar] [CrossRef]
- Ibrahim, T.S.; Hawwas, M.M.; Malebari, A.M.; Taher, E.S.; Omar, A.M.; O’Boyle, N.M.; McLoughlin, E.; Abdel-Samii, Z.K.; Elshaier, Y. Potent Quinoline-Containing Combretastatin A-4 Analogues: Design, Synthesis, Antiproliferative, and Anti-Tubulin Activity. Pharmaceuticals 2020, 13, 393. [Google Scholar] [CrossRef]
- Hassanzadeh, F.; Jafari, E.; Hakimelahi, G.H.; Khajouei, M.R.; Jalali, M.; Khodarahmi, G.A. Antibacterial, antifungal and cytotoxic evaluation of some new quinazolinone derivatives. Res. Pharm. Sci. 2012, 7, 87–94. [Google Scholar]
- Rakesh, K.P.; Kumara, H.K.; Manukumar, H.M.; Channe Gowda, D. Anticancer and DNA binding studies of potential amino acids based quinazolinone analogs: Synthesis, SAR and molecular docking. Bioorg. Chem. 2019, 87, 252–264. [Google Scholar] [CrossRef]
- Gali, R.; Banothu, J.; Porika, M.; Velpula, R.; Hnamte, S.; Bavantula, R.; Abbagani, S.; Busi, S. Indolylmethylene benzo [h] thiazolo [2,3-b] quinazolinones: Synthesis, characterization and evaluation of anticancer and antimicrobial activities. Bioorg. Med. Chem. Lett. 2014, 24, 4239–4242. [Google Scholar] [CrossRef]
- Al-Rashood, S.T.; Aboldahab, I.A.; Nagi, M.N.; Abouzeid, L.A.; Abdel-Aziz, A.A.; Abdel-Hamide, S.G.; Youssef, K.M.; Al-Obaid, A.M.; El-Subbagh, H.I. Synthesis, dihydrofolate reductase inhibition, antitumor testing, and molecular modeling study of some new 4(3H)-quinazolinone analogs. Bioorg. Med. Chem. 2006, 14, 8608–8621. [Google Scholar] [CrossRef] [PubMed]
- Hamel, E.; Lin, C.M.; Plowman, J.; Wang, H.K.; Lee, K.H.; Paull, K.D. Antitumor 2,3-dihydro-2-(aryl)-4(1H)-quinazolinone derivatives. Interactions with tubulin. Biochem. Pharm. 1996, 51, 53–59. [Google Scholar] [CrossRef]
- Zayed, M.F.; Rateb, H.S.; Ahmed, S.; Khaled, O.A.; Ibrahim, S.R.M. Quinazolinone-Amino Acid Hybrids as Dual Inhibitors of EGFR Kinase and Tubulin Polymerization. Molecules 2018, 23, 1699. [Google Scholar] [CrossRef] [PubMed] [Green Version]
- Al-Amiery, A.A.; Al-Bayati, R.I.; Saour, K.Y.; Radi, M.F. Cytotoxicity, antioxidant, and antimicrobial activities of novel 2-quinolone derivatives derived from coumarin. Res. Chem. Intermed. 2012, 38, 559–569. [Google Scholar] [CrossRef]
- Kumar, V.; Rai, V.M.; Udupi, V.; Shivalingegowda, N.; Pai, V.R.; Krishnappagowda, L.N.; Poojary, B. Synthesis, crystal structure, anticancer and molecular docking studies of quinolinone-thiazolidinone hybrid molecules. J. Iran. Chem. Soc. 2022, 19, 793–808. [Google Scholar] [CrossRef]
- El-Aziz, R.M.A.; Zaki, I.; El-Deen, I.M.; Abd-Rahman, M.S.; Mohammed, F.Z. In Vitro Anticancer Evaluation of Some Synthesized 2H-Quinolinone and Halogenated 2H-Quinolinone Derivatives as Therapeutic Agents. Anticancer Agents Med. Chem. 2020, 20, 2304–2315. [Google Scholar] [CrossRef]
- Fu, J.; Bao, F.; Gu, M.; Liu, J.; Zhang, Z.; Ding, J.; Xie, S.S.; Ding, J. Design, synthesis and evaluation of quinolinone derivatives containing dithiocarbamate moiety as multifunctional AChE inhibitors for the treatment of Alzheimer’s disease. J. Enzym. Inhib. Med. Chem. 2020, 35, 118–128. [Google Scholar] [CrossRef]
- Castro, H.; Cruz, T.; de Aguiar Amaral, P.; da Silva Cardoso, P.; Alsaffar, A.; Farrell, P.; Tomás, A.M.; Barlow, J.W. Synthesis and evaluation of novel chromanone and quinolinone analogues of uniflorol as anti-leishmanial agents. Heliyon 2020, 6, e03614. [Google Scholar] [CrossRef]
- Lin, J.; Lu, W.; Caravella, J.A.; Campbell, A.M.; Diebold, R.B.; Ericsson, A.; Fritzen, E.; Gustafson, G.R.; Lancia, D.R., Jr.; Shelekhin, T.; et al. Discovery and Optimization of Quinolinone Derivatives as Potent, Selective, and Orally Bioavailable Mutant Isocitrate Dehydrogenase 1 (mIDH1) Inhibitors. J. Med. Chem. 2019, 62, 6575–6596. [Google Scholar] [CrossRef]
- Bortolozzi, R.; Mattiuzzo, E.; Dal Pra, M.; Sturlese, M.; Moro, S.; Hamel, E.; Carta, D.; Viola, G.; Ferlin, M.G. Targeting tubulin polymerization by novel 7-aryl-pyrroloquinolinones: Synthesis, biological activity and SARs. Eur. J. Med. Chem. 2018, 143, 244–258. [Google Scholar] [CrossRef]
- Gao, F.; Huang, G.; Xiao, J. Chalcone hybrids as potential anticancer agents: Current development, mechanism of action, and structure-activity relationship. Med. Res. Rev. 2020, 40, 2049–2084. [Google Scholar] [CrossRef] [PubMed]
- Xia, L.Y.; Zhang, Y.L.; Yang, R.; Wang, Z.C.; Lu, Y.D.; Wang, B.Z.; Zhu, H.L. Tubulin Inhibitors Binding to Colchicine-Site: A Review from 2015 to 2019. Curr. Med. Chem. 2020, 27, 6787–6814. [Google Scholar] [CrossRef] [PubMed]
- Zhuang, C.; Zhang, W.; Sheng, C.; Zhang, W.; Xing, C.; Miao, Z. Chalcone: A Privileged Structure in Medicinal Chemistry. Chem. Rev. 2017, 117, 7762–7810. [Google Scholar] [CrossRef] [PubMed]
- Mahapatra, D.K.; Bharti, S.K.; Asati, V. Chalcone Derivatives: Anti-inflammatory Potential and Molecular Targets Perspectives. Curr. Top. Med. Chem. 2017, 17, 3146–3169. [Google Scholar] [CrossRef]
- Mathew, B.; Haridas, A.; Uçar, G.; Baysal, I.; Adeniyi, A.A.; Soliman, M.E.; Joy, M.; Mathew, G.E.; Lakshmanan, B.; Jayaprakash, V. Exploration of chlorinated thienyl chalcones: A new class of monoamine oxidase-B inhibitors. Int. J. Biol. Macromol. 2016, 91, 680–695. [Google Scholar] [CrossRef] [PubMed]
- Kumar, V.; Dhawan, S.; Girase, P.S.; Awolade, P.; Shinde, S.R.; Karpoormath, R.; Singh, P. Recent Advances in Chalcone-Based Anticancer Heterocycles: A Structural and Molecular Target Perspective. Curr. Med. Chem. 2021, 28, 6805–6845. [Google Scholar] [CrossRef]
- Sultana, F.; Reddy Bonam, S.; Reddy, V.G.; Nayak, V.L.; Akunuri, R.; Rani Routhu, S.; Alarifi, A.; Halmuthur, M.S.K.; Kamal, A. Synthesis of benzo[d]imidazo[2,1-b]thiazole-chalcone conjugates as microtubule targeting and apoptosis inducing agents. Bioorg. Chem. 2018, 76, 1–12. [Google Scholar] [CrossRef]
- Amino, N.; Ideyama, Y.; Yamano, M.; Kuromitsu, S.; Tajinda, K.; Samizu, K.; Matsuhisa, A.; Kudoh, M.; Shibasaki, M. YM-201627: An orally active antitumor agent with selective inhibition of vascular endothelial cell proliferation. Cancer Lett. 2006, 238, 119–127. [Google Scholar] [CrossRef]
- Wang, G.; Qiu, J.; Xiao, X.; Cao, A.; Zhou, F. Synthesis, biological evaluation and molecular docking studies of a new series of chalcones containing naphthalene moiety as anticancer agents. Bioorg. Chem. 2018, 76, 249–257. [Google Scholar] [CrossRef]
- Wang, G.; Peng, Z.; Zhang, J.; Qiu, J.; Xie, Z.; Gong, Z. Synthesis, biological evaluation and molecular docking studies of aminochalcone derivatives as potential anticancer agents by targeting tubulin colchicine binding site. Bioorg. Chem. 2018, 78, 332–340. [Google Scholar] [CrossRef]
- Wang, G.; Liu, W.; Gong, Z.; Huang, Y.; Li, Y.; Peng, Z. Synthesis, biological evaluation, and molecular modelling of new naphthalene-chalcone derivatives as potential anticancer agents on MCF-7 breast cancer cells by targeting tubulin colchicine binding site. J. Enzym. Inhib. Med. Chem. 2020, 35, 139–144. [Google Scholar] [CrossRef]
- Ducki, S.; Rennison, D.; Woo, M.; Kendall, A.; Chabert, J.F.; McGown, A.T.; Lawrence, N.J. Combretastatin-like chalcones as inhibitors of microtubule polymerization. Part 1: Synthesis and biological evaluation of antivascular activity. Bioorg. Med. Chem. 2009, 17, 7698–7710. [Google Scholar] [CrossRef] [PubMed]
- Tron, G.C.; Pagliai, F.; Del Grosso, E.; Genazzani, A.A.; Sorba, G. Synthesis and cytotoxic evaluation of combretafurazans. J. Med. Chem. 2005, 48, 3260–3268. [Google Scholar] [CrossRef] [PubMed]
- Zhao, T.T.; Lu, X.; Yang, X.H.; Wang, L.M.; Li, X.; Wang, Z.C.; Gong, H.B.; Zhu, H.L. Synthesis, biological evaluation, and molecular docking studies of 2,6-dinitro-4-(trifluoromethyl)phenoxysalicylaldoxime derivatives as novel antitubulin agents. Bioorg. Med. Chem. 2012, 20, 3233–3241. [Google Scholar] [CrossRef]
- Wang, G.; Liu, W.; Gong, Z.; Huang, Y.; Li, Y.; Peng, Z. Design, synthesis, biological evaluation and molecular docking studies of new chalcone derivatives containing diaryl ether moiety as potential anticancer agents and tubulin polymerization inhibitors. Bioorg. Chem. 2020, 95, 103565. [Google Scholar] [CrossRef] [PubMed]
- Wang, G.; Peng, Z.; Li, Y. Synthesis, Anticancer Activity and Molecular Modeling Studies of Novel Chalcone Derivatives Containing Indole and Naphthalene Moieties as Tubulin Polymerization Inhibitors. Chem. Pharm. Bull. 2019, 67, 725–728. [Google Scholar] [CrossRef] [Green Version]
- Yin, Y.; Lian, B.P.; Xia, Y.Z.; Shao, Y.Y.; Kong, L.Y. Design, synthesis and biological evaluation of resveratrol-cinnamoyl derivates as tubulin polymerization inhibitors targeting the colchicine binding site. Bioorg. Chem. 2019, 93, 103319. [Google Scholar] [CrossRef]
- Qiu, H.Y.; Wang, F.; Wang, X.; Sun, W.X.; Qi, J.L.; Pang, Y.J.; Yang, R.W.; Lu, G.H.; Wang, X.M.; Yang, Y.H. Design, Synthesis, and Biological Evaluation of Chalcone-Containing Shikonin Derivatives as Inhibitors of Tubulin Polymerization. Chemmedchem 2017, 12, 399–406. [Google Scholar] [CrossRef]
- Ravelli, R.B.; Gigant, B.; Curmi, P.A.; Jourdain, I.; Lachkar, S.; Sobel, A.; Knossow, M. Insight into tubulin regulation from a complex with colchicine and a stathmin-like domain. Nature 2004, 428, 198–202. [Google Scholar] [CrossRef]
- Xu, F.; Li, W.; Shuai, W.; Yang, L.; Bi, Y.; Ma, C.; Yao, H.; Xu, S.; Zhu, Z.; Xu, J. Design, synthesis and biological evaluation of pyridine-chalcone derivatives as novel microtubule-destabilizing agents. Eur. J. Med. Chem. 2019, 173, 1–14. [Google Scholar] [CrossRef]
- Rahimzadeh Oskuei, S.; Mirzaei, S.; Reza Jafari-Nik, M.; Hadizadeh, F.; Eisvand, F.; Mosaffa, F.; Ghodsi, R. Design, synthesis and biological evaluation of novel imidazole-chalcone derivatives as potential anticancer agents and tubulin polymerization inhibitors. Bioorg. Chem. 2021, 112, 104904. [Google Scholar] [CrossRef] [PubMed]
- Fan, H.; Gao, Z.; Ji, K.; Li, X.; Wu, J.; Liu, Y.; Wang, X.; Liang, H.; Liu, Y.; Li, X.; et al. The in vitro and in vivo anti-inflammatory effect of osthole, the major natural coumarin from Cnidium monnieri (L.) Cuss, via the blocking of the activation of the NF-κB and MAPK/p38 pathways. Phytomedicine 2019, 58, 152864. [Google Scholar] [CrossRef]
- Aruoma, O.I.; Spencer, J.P.; Rossi, R.; Aeschbach, R.; Khan, A.; Mahmood, N.; Munoz, A.; Murcia, A.; Butler, J.; Halliwell, B. An evaluation of the antioxidant and antiviral action of extracts of rosemary and Provençal herbs. Food Chem. Toxicol. 1996, 34, 449–456. [Google Scholar] [CrossRef]
- Wang, C.; Li, Y.; Zhang, T.; Wei, D.; Hou, Y.; He, H. 5-Phenylcoumarin Derivatives: Design, Synthesis, and Vasodilatory Activity. Chem. Biodivers. 2018, 15, e1800255. [Google Scholar] [CrossRef]
- Hu, Y.; Shen, Y.; Wu, X.; Tu, X.; Wang, G.X. Synthesis and biological evaluation of coumarin derivatives containing imidazole skeleton as potential antibacterial agents. Eur. J. Med. Chem. 2018, 143, 958–969. [Google Scholar] [CrossRef]
- Mamidala, S.; Peddi, S.R.; Aravilli, R.K.; Jilloju, P.C.; Manga, V.; Vedula, R.R. Microwave irradiated one pot, three component synthesis of a new series of hybrid coumarin based thiazoles: Antibacterial evaluation and molecular docking studies. J. Mol. Struct. 2021, 1225, 129114. [Google Scholar] [CrossRef]
- Emam, S.H.; Sonousi, A.; Osman, E.O.; Hwang, D.; Kim, G.D.; Hassan, R.A. Design and synthesis of methoxyphenyl- and coumarin-based chalcone derivatives as anti-inflammatory agents by inhibition of NO production and down-regulation of NF-κB in LPS-induced RAW264.7 macrophage cells. Bioorg. Chem. 2021, 107, 104630. [Google Scholar] [CrossRef] [PubMed]
- Lončarić, M.; Strelec, I.; Pavić, V.; Šubarić, D.; Rastija, V.; Molnar, M. Lipoxygenase Inhibition Activity of Coumarin Derivatives-QSAR and Molecular Docking Study. Pharmaceuticals 2020, 13, 154. [Google Scholar] [CrossRef]
- Feriani, A.; Khdhiri, E.; Tir, M.; Elmufti, A.; Tlili, N.; Hajji, R.; Ammar, H.; Allouche, N.; Abid, S.; Ghazouani, L.; et al. (E)-N′-(1-(7-Hydroxy-2-Oxo-2H-Chromen-3-Yl) Ethylidene) Benzohydrazide, a Novel Synthesized Coumarin, Ameliorates Isoproterenol-Induced Myocardial Infarction in Rats through Attenuating Oxidative Stress, Inflammation, and Apoptosis. Oxid. Med. Cell. Longev. 2020, 2020, 2432918. [Google Scholar] [CrossRef] [Green Version]
- Patel, M.; Pandey, N.; Timaniya, J.; Parikh, P.; Chauhan, A.; Jain, N.; Patel, K. Coumarin–carbazole based functionalized pyrazolines: Synthesis, characterization, anticancer investigation and molecular docking. RSC Adv. 2021, 11, 27627–27644. [Google Scholar] [CrossRef]
- Govindaiah, P.; Dumala, N.; Grover, P.; Jaya Prakash, M. Synthesis and biological evaluation of novel 4,7-dihydroxycoumarin derivatives as anticancer agents. Bioorg. Med. Chem. Lett. 2019, 29, 1819–1824. [Google Scholar] [CrossRef] [PubMed]
- Singh, H.; Singh, J.V.; Gupta, M.K.; Saxena, A.K.; Sharma, S.; Nepali, K.; Bedi, P.M.S. Triazole tethered isatin-coumarin based molecular hybrids as novel antitubulin agents: Design, synthesis, biological investigation and docking studies. Bioorg. Med. Chem. Lett. 2017, 27, 3974–3979. [Google Scholar] [CrossRef] [PubMed]
- Zhang, M.Z.; Chen, Q.; Yang, G.F. A review on recent developments of indole-containing antiviral agents. Eur. J. Med. Chem. 2015, 89, 421–441. [Google Scholar] [CrossRef] [PubMed]
- Boman, N.L.; Bally, M.B.; Cullis, P.R.; Mayer, L.D.; Webb, M.S. Encapsulation of vincristine in liposomes reduces its toxicity and improves its anti-tumor efficacy. J. Liposome Res. 1995, 5, 523–541. [Google Scholar] [CrossRef]
- Hayot, C.; Farinelle, S.; De Decker, R.; Decaestecker, C.; Darro, F.; Kiss, R.; Van Damme, M. In vitro pharmacological characterizations of the anti-angiogenic and anti-tumor cell migration properties mediated by microtubule-affecting drugs, with special emphasis on the organization of the actin cytoskeleton. Int. J. Oncol. 2002, 21, 417–425. [Google Scholar] [CrossRef]
- Skarin, A.T.; Rosenthal, D.S.; Moloney, W.C.; Frei, E., 3rd. Combination chemotherapy of advanced non-Hodgkin lymphoma with bleomycin, adriamycin, cyclophosphamide, vincristine, and prednisone (BACOP). Blood 1977, 49, 759–770. [Google Scholar]
- Cunningham, D.; Hawkes, E.A.; Jack, A.; Qian, W.; Smith, P.; Mouncey, P.; Pocock, C.; Ardeshna, K.M.; Radford, J.A.; McMillan, A.; et al. Rituximab plus cyclophosphamide, doxorubicin, vincristine, and prednisolone in patients with newly diagnosed diffuse large B-cell non-Hodgkin lymphoma: A phase 3 comparison of dose intensification with 14-day versus 21-day cycles. Lancet 2013, 381, 1817–1826. [Google Scholar] [CrossRef] [Green Version]
- Young, S.D.; Whissell, M.; Noble, J.C.; Cano, P.O.; Lopez, P.G.; Germond, C.J. Phase II clinical trial results involving treatment with low-dose daily oral cyclophosphamide, weekly vinblastine, and rofecoxib in patients with advanced solid tumors. Clin. Cancer Res. 2006, 12, 3092–3098. [Google Scholar] [CrossRef] [Green Version]
- Bonadonna, G.; Zucali, R.; Monfardini, S.; De Lena, M.; Uslenghi, C. Combination chemotherapy of Hodgkin’s disease with adriamycin, bleomycin, vinblastine, and imidazole carboxamide versus MOPP. Cancer 1975, 36, 252–259. [Google Scholar] [CrossRef]
- Brambilla, L.; Miedico, A.; Ferrucci, S.; Romanelli, A.; Brambati, M.; Vinci, M.; Tedeschi, L.; Boneschi, V. Combination of vinblastine and bleomycin as first line therapy in advanced classic Kaposi’s sarcoma. J. Eur. Acad. Dermatol. Venereol. 2006, 20, 1090–1094. [Google Scholar] [CrossRef]
- Pyrhönen, S.; Salminen, E.; Ruutu, M.; Lehtonen, T.; Nurmi, M.; Tammela, T.; Juusela, H.; Rintala, E.; Hietanen, P.; Kellokumpu-Lehtinen, P.L. Prospective randomized trial of interferon alfa-2a plus vinblastine versus vinblastine alone in patients with advanced renal cell cancer. J. Clin. Oncol. 1999, 17, 2859–2867. [Google Scholar] [CrossRef] [PubMed]
- Einhorn, L.H.; Donohue, J. Cis-diamminedichloroplatinum, vinblastine, and bleomycin combination chemotherapy in disseminated testicular cancer. Ann. Intern. Med. 1977, 87, 293–298. [Google Scholar] [CrossRef] [PubMed]
- Martel-Frachet, V.; Areguian, J.; Blanc, M.; Touquet, B.; Lamarca, A.; Ronot, X.; Boumendjel, A. Investigation of a new 1,3-diarylpropenone as a potential antimitotic agent targeting bladder carcinoma. Anticancer Drugs 2009, 20, 469–476. [Google Scholar] [CrossRef] [PubMed]
- Boumendjel, A.; McLeer-Florin, A.; Champelovier, P.; Allegro, D.; Muhammad, D.; Souard, F.; Derouazi, M.; Peyrot, V.; Toussaint, B.; Boutonnat, J. A novel chalcone derivative which acts as a microtubule depolymerising agent and an inhibitor of P-gp and BCRP in in-vitro and in-vivo glioblastoma models. BMC Cancer 2009, 9, 242. [Google Scholar] [CrossRef] [Green Version]
- Gourdeau, H.; Leblond, L.; Hamelin, B.; Desputeau, C.; Dong, K.; Kianicka, I.; Custeau, D.; Boudreau, C.; Geerts, L.; Cai, S.X.; et al. Antivascular and antitumor evaluation of 2-amino-4-(3-bromo-4,5-dimethoxy-phenyl)-3-cyano-4H-chromenes, a novel series of anticancer agents. Mol. Cancer 2004, 3, 1375–1384. [Google Scholar]
- Cai, S.X. Small molecule vascular disrupting agents: Potential new drugs for cancer treatment. Recent Pat. Anticancer Drug Discov. 2007, 2, 79–101. [Google Scholar] [CrossRef]
- Mirzaei, H.; Shokrzadeh, M.; Modanloo, M.; Ziar, A.; Riazi, G.H.; Emami, S. New indole-based chalconoids as tubulin-targeting antiproliferative agents. Bioorg. Chem. 2017, 75, 86–98. [Google Scholar] [CrossRef]
- Kamal, A.; Kumar, G.B.; Vishnuvardhan, M.V.; Shaik, A.B.; Reddy, V.S.; Mahesh, R.; Sayeeda, I.B.; Kapure, J.S. Synthesis of phenstatin/isocombretastatin-chalcone conjugates as potent tubulin polymerization inhibitors and mitochondrial apoptotic inducers. Org. Biomol. Chem. 2015, 13, 3963–3981. [Google Scholar] [CrossRef]
- Pettit, G.R.; Toki, B.; Herald, D.L.; Verdier-Pinard, P.; Boyd, M.R.; Hamel, E.; Pettit, R.K. Antineoplastic agents. 379. Synthesis of phenstatin phosphate. J. Med. Chem. 1998, 41, 1688–1695. [Google Scholar] [CrossRef]
- Woods, J.A.; Hadfield, J.A.; Pettit, G.R.; Fox, B.W.; McGown, A.T. The interaction with tubulin of a series of stilbenes based on combretastatin A-4. Br. J. Cancer 1995, 71, 705–711. [Google Scholar] [CrossRef]
- Álvarez, R.; Puebla, P.; Díaz, J.F.; Bento, A.C.; García-Navas, R.; de la Iglesia-Vicente, J.; Mollinedo, F.; Andreu, J.M.; Medarde, M.; Peláez, R. Endowing indole-based tubulin inhibitors with an anchor for derivatization: Highly potent 3-substituted indolephenstatins and indoleisocombretastatins. J. Med. Chem. 2013, 56, 2813–2827. [Google Scholar] [CrossRef] [PubMed] [Green Version]
- Kode, J.; Kovvuri, J.; Nagaraju, B.; Jadhav, S.; Barkume, M.; Sen, S.; Kasinathan, N.K.; Chaudhari, P.; Mohanty, B.S.; Gour, J.; et al. Synthesis, biological evaluation, and molecular docking analysis of phenstatin based indole linked chalcones as anticancer agents and tubulin polymerization inhibitors. Bioorg. Chem. 2020, 105, 104447. [Google Scholar] [CrossRef] [PubMed]
- Sri Ramya, P.V.; Angapelly, S.; Guntuku, L.; Singh Digwal, C.; Nagendra Babu, B.; Naidu, V.G.M.; Kamal, A. Synthesis and biological evaluation of curcumin inspired indole analogues as tubulin polymerization inhibitors. Eur. J. Med. Chem. 2017, 127, 100–114. [Google Scholar] [CrossRef] [PubMed]
- Romagnoli, R.; Baraldi, P.G.; Sarkar, T.; Carrion, M.D.; Cara, C.L.; Cruz-Lopez, O.; Preti, D.; Tabrizi, M.A.; Tolomeo, M.; Grimaudo, S.; et al. Synthesis and biological evaluation of 1-methyl-2-(3′,4′,5′-trimethoxybenzoyl)-3-aminoindoles as a new class of antimitotic agents and tubulin inhibitors. J. Med. Chem. 2008, 51, 1464–1468. [Google Scholar] [CrossRef] [PubMed]
- Zhang, Y.L.; Qin, Y.J.; Tang, D.J.; Yang, M.R.; Li, B.Y.; Wang, Y.T.; Cai, H.Y.; Wang, B.Z.; Zhu, H.L. Synthesis and Biological Evaluation of 1-Methyl-1H-indole-Pyrazoline Hybrids as Potential Tubulin Polymerization Inhibitors. ChemMedChem 2016, 11, 1446–1458. [Google Scholar] [CrossRef] [PubMed]
- Chen, K.; Zhang, Y.L.; Fan, J.; Ma, X.; Qin, Y.J.; Zhu, H.L. Novel nicotinoyl pyrazoline derivates bearing N-methyl indole moiety as antitumor agents: Design, synthesis and evaluation. Eur. J. Med. Chem. 2018, 156, 722–737. [Google Scholar] [CrossRef]
- Diao, P.C.; Jian, X.E.; Chen, P.; Huang, C.; Yin, J.; Huang, J.C.; Li, J.S.; Zhao, P.L. Design, synthesis and biological evaluation of novel indole-based oxalamide and aminoacetamide derivatives as tubulin polymerization inhibitors. Bioorg. Med. Chem. Lett. 2020, 30, 126816. [Google Scholar] [CrossRef]
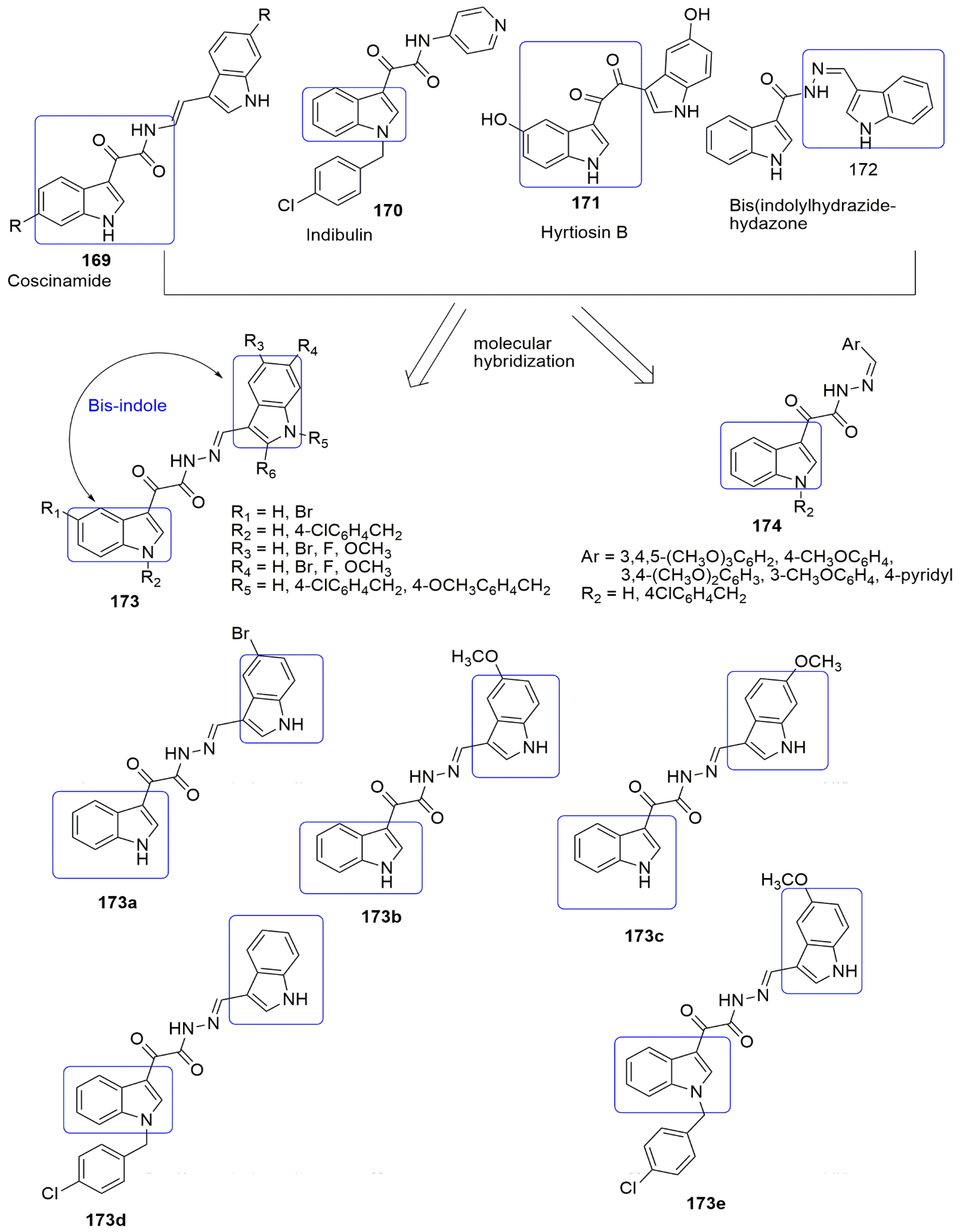
- Ma, Y.; Yakushijin, K.; Miyake, F.; Horne, D. A concise synthesis of indolic enamides: Coscinamide A, coscinamide B, and igzamide. Tetrahedron Lett. 2009, 50, 4343–4345. [Google Scholar] [CrossRef]
- Dumdei, E.; Andersen, R.J. Igzamide, a metabolite of the marine sponge Plocamissma igzo. J. Nat. Prod. 1993, 56, 792–794. [Google Scholar] [CrossRef]
- Kobayashi, J.i.; Murayama, T.; Ishibashi, M.; Kosuge, S.; Takamatsu, M.; Ohizumi, Y.; Kobayashi, H.; Ohta, T.; Nozoe, S.; Takuma, S. Hyrtiosins A and B, new indole alkaloids from the Okinawan marine sponge Hyrtios erecta. Tetrahedron 1990, 46, 7699–7702. [Google Scholar] [CrossRef]
- Bacher, G.; Nickel, B.; Emig, P.; Vanhoefer, U.; Seeber, S.; Shandra, A.; Klenner, T.; Beckers, T. D-24851, a novel synthetic microtubule inhibitor, exerts curative antitumoral activity in vivo, shows efficacy toward multidrug-resistant tumor cells, and lacks neurotoxicity. Cancer Res. 2001, 61, 392–399. [Google Scholar] [PubMed]
- Kumar, D.; Maruthi Kumar, N.; Ghosh, S.; Shah, K. Novel bis(indolyl)hydrazide-hydrazones as potent cytotoxic agents. Bioorg. Med. Chem. Lett. 2012, 22, 212–215. [Google Scholar] [CrossRef] [PubMed]
- Das Mukherjee, D.; Kumar, N.M.; Tantak, M.P.; Das, A.; Ganguli, A.; Datta, S.; Kumar, D.; Chakrabarti, G. Development of Novel Bis(indolyl)-hydrazide-Hydrazone Derivatives as Potent Microtubule-Targeting Cytotoxic Agents against A549 Lung Cancer Cells. Biochemistry 2016, 55, 3020–3035. [Google Scholar] [CrossRef] [PubMed]
- Goodman, V.L.; Rock, E.P.; Dagher, R.; Ramchandani, R.P.; Abraham, S.; Gobburu, J.V.; Booth, B.P.; Verbois, S.L.; Morse, D.E.; Liang, C.Y.; et al. Approval summary: Sunitinib for the treatment of imatinib refractory or intolerant gastrointestinal stromal tumors and advanced renal cell carcinoma. Clin. Cancer Res. 2007, 13, 1367–1373. [Google Scholar] [CrossRef] [PubMed] [Green Version]
- Tantak, M.P.; Klingler, L.; Arun, V.; Kumar, A.; Sadana, R.; Kumar, D. Design and synthesis of bis(indolyl)ketohydrazide-hydrazones: Identification of potent and selective novel tubulin inhibitors. Eur. J. Med. Chem. 2017, 136, 184–194. [Google Scholar] [CrossRef]
- von der Leyen, H.; Mende, U.; Meyer, W.; Neumann, J.; Nose, M.; Schmitz, W.; Scholz, H.; Starbatty, J.; Stein, B.; Wenzlaff, H.; et al. Mechanism underlying the reduced positive inotropic effects of the phosphodiesterase III inhibitors pimobendan, adibendan and saterinone in failing as compared to nonfailing human cardiac muscle preparations. Naunyn Schmiedebergs Arch. Pharmacol. 1991, 344, 90–100. [Google Scholar] [CrossRef]
- Quesada, A.R.; Muñoz-Chápuli, R.; Medina, M.A. Anti-angiogenic drugs: From bench to clinical trials. Med. Res. Rev. 2006, 26, 483–530. [Google Scholar] [CrossRef]
- Romagnoli, R.; Baraldi, P.G.; Prencipe, F.; Oliva, P.; Baraldi, S.; Salvador, M.K.; Lopez-Cara, L.C.; Bortolozzi, R.; Mattiuzzo, E.; Basso, G.; et al. Design, synthesis and biological evaluation of 3-substituted-2-oxindole hybrid derivatives as novel anticancer agents. Eur. J. Med. Chem. 2017, 134, 258–270. [Google Scholar] [CrossRef]
- Khan, I.; Garikapati, K.R.; Shaik, A.B.; Makani, V.K.K.; Rahim, A.; Shareef, M.A.; Reddy, V.G.; Pal-Bhadra, M.; Kamal, A.; Kumar, C.G. Design, synthesis and biological evaluation of 1,4-dihydro indeno[1,2-c] pyrazole linked oxindole analogues as potential anticancer agents targeting tubulin and inducing p53 dependent apoptosis. Eur. J. Med. Chem. 2018, 144, 104–115. [Google Scholar] [CrossRef]
- Sultana, F.; Shaik, S.P.; Nayak, V.L.; Hussaini, S.M.A.; Marumudi, K.; Sridevi, B.; Shaik, T.B.; Bhattacharjee, D.; Alarifi, A.; Kamal, A. Design, Synthesis and Biological Evaluation of 2-Anilinopyridyl-Linked Oxindole Conjugates as Potent Tubulin Polymerisation Inhibitors. Chemistryselect 2017, 2, 9901–9910. [Google Scholar] [CrossRef]
- Viegas-Junior, C.; Danuello, A.; da Silva Bolzani, V.; Barreiro, E.J.; Fraga, C.A. Molecular hybridization: A useful tool in the design of new drug prototypes. Curr. Med. Chem. 2007, 14, 1829–1852. [Google Scholar] [CrossRef] [PubMed]















































| Compounds | GI50 ± SD (µM) | Tubulin Assembly | |||
|---|---|---|---|---|---|
| A549 | HeLa | HepG2 | MCF-7 | IC50 ± SD (µM) | |
| 46a | 2.3 ± 0.27 | 4.5 ± 0.22 | 6.6 ± 0.26 | 11.7 ± 2.24 | 1.92 ± 0.24 |
| 46b | 2.1 ± 0.61 | 3.4 ± 0.64 | 4.6 ± 0.33 | 7.9 ± 0.41 | 1.73 ± 0.52 |
| 46c | 1.6 ± 1.17 | 2.7 ± 0.75 | 2.9 ± 1.08 | 4.3 ± 2.16 | 1.41 ± 3.67 |
| 46d | 3.5 ± 0.28 | 6.6 ± 0.37 | 7.2 ± 0.22 | 13.5 ± 0.71 | 2.31 ± 2.23 |
| 46e | 1.8 ± 0.61 | 2.9 ± 0.42 | 3.4 ± 0.11 | 5.2 ± 0.55 | 1.64 ± 4.76 |
| IC50 ± SD (µM) | |||||
|---|---|---|---|---|---|
| Compounds | A549 | HeLa | HepaG2 | MCF-7 | Tubulin Assembly |
| 48a | 0.20 ± 0.14 | 0.32 ± 0.08 | 0.41 ± 0.45 | 0.43 ± 0.73 | 1.82 ± 1.32 |
| 48b | 0.17 ± 0.51 | 0.25 ± 1.22 | 0.37 ± 0.72 | 0.42 ± 0.06 | 1.63 ± 0.06 |
| 48c | 0.15 ± 0.05 | 0.21 ± 0.67 | 0.33 ± 0.06 | 0.17 ± 0.23 | 1.52 ± 1.07 |
| 48d | 0.27 ± 0.36 | 0.37 ± 0.05 | 0.46 ± 1.03 | 0.51 ± 0.74 | 1.97 ± 0.33 |
| Colchicine | 0.22 ± 0.12 | 0.36 ± 0.07 | 0.42 ± 0.12 | 0.44 ± 0.18 | 2.26 ± 0.25 |
| CA-4 | 0.16 ± 0.04 | 0.24 ± 0.08 | 0.33 ± 0.12 | 0.18 ± 0.17 | 1.61 ± 0.31 |
| IC50 ± SD (µM) | |||||
|---|---|---|---|---|---|
| Compounds | A549 | PC-3 | HeLa | MDA-MB-231 | L132 |
| 58a | 5.42 ± 0.21 | 9.49 ± 1.21 | 10.14 ± 0.91 | >25 | ND |
| 58b | 6.11 ± 2.18 | 8.13 ± 2.71 | >25 | 13.53 ± 2.72 | ND |
| 58c | 22.41 ± 3.84 | 1.46 ± 1.89 | 8.57 ± 1.54 | >25 | ND |
| 59a | 12.44 ± 1.56 | 11.19 ± 0.67 | 21.34 ± 1.57 | >25 | ND |
| 59b | 2.21 ± 0.12 | 3.15 ± 0.41 | 7.29 ± 0.67 | 5.71 ± 1.14 | 69.25 ± 5.95 |
| Nocodazole | 2.39 ± 0.14 | 1.96 ± 0.24 | 3.48 ± 0.52 | 2.13 ± 0.25 | ND |
| Compound | hPERT RPE-1 | Capan-1 | HCT-116 | NCI-H460 | DND-41 | HL-60 | K-562 | MM.1 S | Z-138 |
|---|---|---|---|---|---|---|---|---|---|
| 62a | 4.3 | 0.3 | 0.6 | 0.4 | 0.2 | 0.3 | 2.1 | 1.5 | 0.4 |
| 62b | 1.7 | 0.2 | 0.4 | 0.6 | 0.3 | 0.2 | 1.4 | 1.3 | 0.4 |
| Docetaxel | 0.0553 | 0.0088 | 0.0017 | 0.0024 | 0.0125 | 0.0072 | 0.0152 | 0.0118 | 0.0142 |
| Compounds | A-2780 | A-2780/RCIS | MCF-7 | MCF/MX | HUVEC |
|---|---|---|---|---|---|
| 81a | 0.50 ± 0.07 | 1.21 ± 0.22 | 1.11 ± 0.26 | 1.66 ± 0.27 | 9.94 ± 2.68 |
| 81b | 1.44 ± 0.16 | 1.13 ± 0.22 | 1.79 ± 0.26 | 1.67 ± 0.17 | 7.82 ± 2.44 |
| 81c | 0.38 ± 0.08 | 0.85 ± 0.11 | 2.45 ± 0.65 | 2.45 ± 0.53 | 5.02 ± 1.34 |
| Compounds | HeLa | A549 | HT-29 | MDA-MB-231 | RS4;4 | Jurkat | Kasumi-1 | Tubulin Assembly |
|---|---|---|---|---|---|---|---|---|
| 88a | 0.5 ± 0.03 | 4.2 ± 0.7 | 1.9 ± 0.7 | 17.1 ± 9.4 | 0.5 ± 0.05 | 0.7 ± 0.002 | 0.4 ± 0.1 | 0.99 ± 0.07 |
| 88b | 34 ± 0.35 | 45 ± 0.94 | 4.7 ± 0.5 | 591 ± 35 | 7 ± 0.8 | 3 ± 0.02 | 15 ± 2 | 1.1 ± 0.1 |
| 88c | 4.2 ± 0.3 | 1.1 ± 0.3 | 0.6 ± 0.04 | 123 ± 8.8 | 0.2 ± 0.05 | 0.1 ± 0.002 | 0.3 ± 0.09 | 0.84 ± 0.05 |
| CA-4 | 4.0 ± 1.0 | 180 ± 50 | 3100 ± 100 | n.d | 0.8 ± 0.2 | 5.0 ± 0.6 | ND | 0.64 ± 0.01 |
| Compouds | A-549 | MCF-7 | HEPG 2 | MCF-7 MX |
|---|---|---|---|---|
| 130a | 11.7 ± 1.62 | 14.85 ± 2.73 | 63.43 ± 5.33 | 14.94 ± 1.91 |
| 130b | 66.47 ± 4.85 | >100 | >100 | 54.86 ± 2.94 |
| 130c | 7.05 ± 1.12 | 9.88 ± 1.56 | 21.97 ± 2.23 | 20.2 ± 2.76 |
| 131 | ND | 18.33 ± 3.15 | >100 | >100 |
| CA-4 | 0.86 ± 0.23 | 0.43 ± 0.14 | 0.63 ± 0.17 1 | 49 ± 0.47 |
| Compounds | THP-1 (Leukemia) | COLO-205 (Colon) | HCT-116 (Colon) | Tubulin Polymerization |
|---|---|---|---|---|
| 140a | 0.73 | 3.45 | 3.04 | 1.06 |
| 140b | 1.99 | 6.67 | 5.41 | 3.55 |
| 140c | 5.47 | 8.87 | 5.77 | - |
| 140d | 5.03 | 5.71 | 5.18 | 6.32 |
| 140e | 6.99 | 10.66 | 9.66 | - |
| Compound | GI50 ± SD (µM) | CC50 ± SD (µM) | IC50 ± SD (µM) | |||
|---|---|---|---|---|---|---|
| MCF-7 | A549 | HepG2 | HeLa | 293 T | Tubulin Assembly | |
| 161a | 0.18 ± 0.01 | 0.23 ± 0.02 | 0.31 ± 0.02 | 0.21 ± 0.02 | >300 | 2.3 ± 0.2 |
| 161b | 0.99 ± 0.01 | 1.11 ± 0.04 | 1.33 ± 0.05 | 1.1 ± 0.05 | >300 | 2.9 ± 0.1 |
| 161c | 0.48 ± 0.01 | 0.71 ± 0.03 | 0.22 ± 0.02 | 0.41 ± 0.02 | >300 | 2.6 ± 0.2 |
| 161d | 0.56 ± 0.03 | 0.45 ± 0.01 | 0.23 ± 0.02 | 0.18 ± 0.01 | >300 | 2.3 ± 0.1 |
| 161e | 0.81 ± 0.04 | 1.02 ± 0.05 | 0.91 ± 0.01 | 1.27 ± 0.05 | 125.40 ± 1.82 | 2.1 ± 0.2 |
| 161f | 0.09 ± 0.01 | 0.59 ± 0.02 | 0.029 ± 0.01 | 0.034 ± 0.01 | >300 | 1.6 ± 0.1 |
| 161g | 0.13 ± 0.01 | 0.47 ± 0.03 | 0.19 ± 0.01 | 0.34 ± 0.02 | >300 | 1.9 ± 0.1 |
| CA-4 | 0.14 ± 0.02 | 0.31 ± 0.02 | 0.17 ± 0.02 | 0.092 ± 0.01 | >300 | 2.1 ± 0.2 |
Publisher’s Note: MDPI stays neutral with regard to jurisdictional claims in published maps and institutional affiliations. |
© 2022 by the authors. Licensee MDPI, Basel, Switzerland. This article is an open access article distributed under the terms and conditions of the Creative Commons Attribution (CC BY) license (https://creativecommons.org/licenses/by/4.0/).
Share and Cite
Ebenezer, O.; Shapi, M.; Tuszynski, J.A. A Review of the Recent Developments of Molecular Hybrids Targeting Tubulin Polymerization. Int. J. Mol. Sci. 2022, 23, 4001. https://doi.org/10.3390/ijms23074001
Ebenezer O, Shapi M, Tuszynski JA. A Review of the Recent Developments of Molecular Hybrids Targeting Tubulin Polymerization. International Journal of Molecular Sciences. 2022; 23(7):4001. https://doi.org/10.3390/ijms23074001
Chicago/Turabian StyleEbenezer, Oluwakemi, Michael Shapi, and Jack A. Tuszynski. 2022. "A Review of the Recent Developments of Molecular Hybrids Targeting Tubulin Polymerization" International Journal of Molecular Sciences 23, no. 7: 4001. https://doi.org/10.3390/ijms23074001
APA StyleEbenezer, O., Shapi, M., & Tuszynski, J. A. (2022). A Review of the Recent Developments of Molecular Hybrids Targeting Tubulin Polymerization. International Journal of Molecular Sciences, 23(7), 4001. https://doi.org/10.3390/ijms23074001

