Structural Plasticity Is a Feature of Rheostat Positions in the Human Na+/Taurocholate Cotransporting Polypeptide (NTCP)
Abstract
:1. Introduction
2. Results
2.1. Structural Modeling and Computed Energetics for NTCP Variants
2.2. Protein Expression of N271 Variants on the Cell Surface
2.3. Substrate Transport by N271 Variants
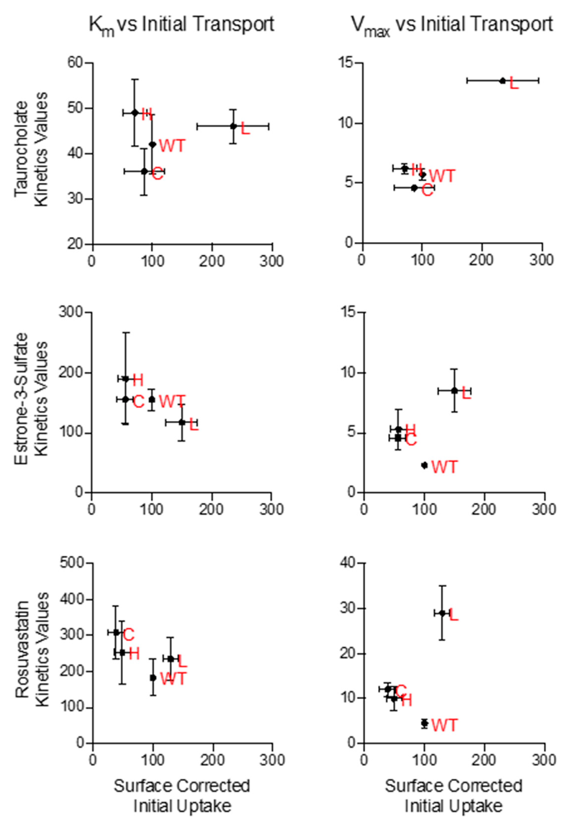
2.4. Kinetic Characterization of Select N271 Variants
3. Discussion
3.1. Local Plasticity May Be a Key Feature of Rheostat Positions
3.2. Implications for Understanding Evolution and Advancing Engineering
3.3. Other Emerging Trends Related to Rheostat Positions
3.4. Estimating the Biological Impact of NTCP Variants
4. Materials and Methods
4.1. Computational Models of NTCP Variants
4.2. Experimental Materials
4.3. Site-Directed Mutagenesis and Uptake Experiments
4.4. Surface Biotinylation and Western Blotting
4.5. Statistical Analyses
Supplementary Materials
Author Contributions
Funding
Institutional Review Board Statement
Informed Consent Statement
Data Availability Statement
Conflicts of Interest
References
- Miller, M.; Bromberg, Y.; Swint-Kruse, L. Computational predictors fail to identify amino acid substitution effects at rheostat positions. Sci. Rep. 2017, 7, 41329. [Google Scholar] [CrossRef] [PubMed] [Green Version]
- Ho, R.H.; Leake, B.F.; Roberts, R.L.; Lee, W.; Kim, R.B. Ethnicity-dependent polymorphism in Na+-taurocholate cotransporting polypeptide (SLC10A1) reveals a domain critical for bile acid substrate recognition. J. Biol. Chem. 2004, 279, 7213–7222. [Google Scholar] [CrossRef] [PubMed] [Green Version]
- Ho, R.H.; Tirona, R.G.; Leake, B.F.; Glaeser, H.; Lee, W.; Lemke, C.J.; Wang, Y.; Kim, R.B. Drug and bile acid transporters in rosuvastatin hepatic uptake: Function, expression, and pharmacogenetics. Gastroenterology 2006, 130, 1793–1806. [Google Scholar] [CrossRef]
- Pan, W.; Song, I.S.; Shin, H.J.; Kim, M.H.; Choi, Y.L.; Lim, S.J.; Kim, W.Y.; Lee, S.S.; Shin, J.G. Genetic polymorphisms in Na+-taurocholate co-transporting polypeptide (NTCP) and ileal apical sodium-dependent bile acid transporter (ASBT) and ethnic comparisons of functional variants of NTCP among Asian populations. Xenobiotica 2011, 41, 501–510. [Google Scholar] [CrossRef] [PubMed]
- Claro da Silva, T.; Polli, J.E.; Swaan, P.W. The solute carrier family 10 (SLC10): Beyond bile acid transport. Mol. Aspects Med. 2013, 34, 252–269. [Google Scholar] [CrossRef] [PubMed] [Green Version]
- Karczewski, K.J.; Francioli, L.C.; Tiao, G.; Cummings, B.B.; Alfoldi, J.; Wang, Q.; Collins, R.L.; Laricchia, K.M.; Ganna, A.; Birnbaum, D.P.; et al. The mutational constraint spectrum quantified from variation in 141,456 humans. Nature 2020, 581, 434–443. [Google Scholar] [CrossRef]
- Russell, L.E.; Zhou, Y.; Lauschke, V.M.; Kim, R.B. In Vitro Functional Characterization and in Silico Prediction of Rare Genetic Variation in the Bile Acid and Drug Transporter, Na+-Taurocholate Cotransporting Polypeptide (NTCP, SLC10A1). Mol. Pharm. 2020, 17, 1170–1181. [Google Scholar] [CrossRef] [PubMed]
- Ruggiero, M.J.; Malhotra, S.; Fenton, A.W.; Swint-Kruse, L.; Karanicolas, J.; Hagenbuch, B. A clinically-relevant polymorphism in the Na+/taurocholate cotransporting polypeptide (NTCP) occurs at a rheostat position. J. Biol. Chem. 2020, 296, 100047. [Google Scholar] [CrossRef] [PubMed]
- Meinhardt, S.; Manley, M.W., Jr.; Parente, D.J.; Swint-Kruse, L. Rheostats and toggle switches for modulating protein function. PLoS ONE 2013, 8, e83502. [Google Scholar] [CrossRef] [PubMed] [Green Version]
- Fenton, A.W.; Page, B.M.; Spellman-Kruse, A.; Hagenbuch, B.; Swint-Kruse, L. Rheostat positions: A new classification of protein positions relevant to pharmacogenomics. Med. Chem. Res. 2020, 29, 1133–1146. [Google Scholar] [CrossRef]
- Swint-Kruse, L.; Martin, T.A.; Page, B.M.; Wu, T.; Gerhart, P.M.; Dougherty, L.L.; Tang, Q.; Parente, D.J.; Mosier, B.R.; Bantis, L.E.; et al. Rheostat functional outcomes occur when substitutions are introduced at nonconserved positions that diverge with speciation. Protein Sci. 2021, 30, 1833–1853. [Google Scholar] [CrossRef]
- Ohnishi, S.; Hays, A.; Hagenbuch, B. Cysteine scanning mutagenesis of transmembrane domain 10 in organic anion transporting polypeptide 1B1. Biochemistry 2014, 53, 2261–2270. [Google Scholar] [CrossRef]
- Adamski, C.J.; Palzkill, T. Systematic substitutions at BLIP position 50 result in changes in binding specificity for class A beta-lactamases. BMC Biochem. 2017, 18, 2. [Google Scholar] [CrossRef] [PubMed] [Green Version]
- Hodges, A.M.; Fenton, A.W.; Dougherty, L.L.; Overholt, A.C.; Swint-Kruse, L. RheoScale: A tool to aggregate and quantify experimentally determined substitution outcomes for multiple variants at individual protein positions. Hum. Mutat. 2018, 39, 1814–1826. [Google Scholar] [CrossRef] [PubMed]
- Wu, T.; Swint-Kruse, L.; Fenton, A.W. Functional tunability from a distance: Rheostat positions influence allosteric coupling between two distant binding sites. Sci. Rep. 2019, 9, 16957. [Google Scholar] [CrossRef] [Green Version]
- Procko, E. The sequence of human ACE2 is suboptimal for binding the S spike protein of SARS coronavirus 2. BioRxiv 2020. [Google Scholar] [CrossRef] [Green Version]
- Hu, N.J.; Iwata, S.; Cameron, A.D.; Drew, D. Crystal structure of a bacterial homologue of the bile acid sodium symporter ASBT. Nature 2011, 478, 408–411. [Google Scholar] [CrossRef] [PubMed]
- Zhou, X.; Levin, E.J.; Pan, Y.; McCoy, J.G.; Sharma, R.; Kloss, B.; Bruni, R.; Quick, M.; Zhou, M. Structural basis of the alternating-access mechanism in a bile acid transporter. Nature 2014, 505, 569–573. [Google Scholar] [CrossRef] [Green Version]
- Wang, Z.; Moult, J. SNPs, protein structure, and disease. Hum. Mutat. 2001, 17, 263–270. [Google Scholar] [CrossRef]
- Gao, M.; Zhou, H.; Skolnick, J. Insights into Disease-Associated Mutations in the Human Proteome through Protein Structural Analysis. Structure 2015, 23, 1362–1369. [Google Scholar] [CrossRef] [Green Version]
- Martin, T.A.; Wu, T.; Tang, Q.; Dougherty, L.L.; Parente, D.J.; Swint-Kruse, L.; Fenton, A.W. Identification of biochemically neutral positions in liver pyruvate kinase. Proteins 2020, 88, 1340–1350. [Google Scholar] [CrossRef]
- Ashkenazy, H.; Abadi, S.; Martz, E.; Chay, O.; Mayrose, I.; Pupko, T.; Ben-Tal, N. ConSurf 2016: An improved methodology to estimate and visualize evolutionary conservation in macromolecules. Nucleic Acids Res. 2016, 44, W344–W350. [Google Scholar] [CrossRef] [PubMed] [Green Version]
- Appelman, M.D.; Chakraborty, A.; Protzer, U.; McKeating, J.A.; van de Graaf, S.F. N-Glycosylation of the Na+-Taurocholate Cotransporting Polypeptide (NTCP) Determines Its Trafficking and Stability and Is Required for Hepatitis B Virus Infection. PLoS ONE 2017, 12, e0170419. [Google Scholar] [CrossRef]
- Meinhardt, S.; Manley, M.W., Jr.; Becker, N.A.; Hessman, J.A.; Maher, L.J., 3rd; Swint-Kruse, L. Novel insights from hybrid LacI/GalR proteins: Family-wide functional attributes and biologically significant variation in transcription repression. Nucleic Acids Res. 2012, 40, 11139–11154. [Google Scholar] [CrossRef] [Green Version]
- Swint-Kruse, L.; Larson, C.; Pettitt, B.M.; Matthews, K.S. Fine-tuning function: Correlation of hinge domain interactions with functional distinctions between LacI and PurR. Protein Sci. 2002, 11, 778–794. [Google Scholar] [CrossRef] [PubMed] [Green Version]
- Fenton, K.D.; Meneely, K.M.; Wu, T.; Martin, T.A.; Swint-Kruse, L.; Fenton, A.W.; Lamb, A.L. Substitutions at a rheostat position in human aldolase A cause a shift in the conformational population. Protein Sci. 2021, 31, 357–370. [Google Scholar] [CrossRef] [PubMed]
- Campitelli, P.; Swint-Kruse, L.; Ozkan, S.B. Substitutions at Nonconserved Rheostat Positions Modulate Function by Rewiring Long-Range, Dynamic Interactions. Mol. Biol. Evol. 2021, 38, 201–214. [Google Scholar] [CrossRef]
- Kirschner, M.; Gerhart, J. Evolvability. Proc. Natl. Acad. Sci. USA 1998, 95, 8420–8427. [Google Scholar] [CrossRef] [PubMed] [Green Version]
- Parente, D.J.; Ray, J.C.; Swint-Kruse, L. Amino acid positions subject to multiple coevolutionary constraints can be robustly identified by their eigenvector network centrality scores. Proteins 2015, 83, 2293–2306. [Google Scholar] [CrossRef] [PubMed] [Green Version]
- Miller, M.; Vitale, D.; Kahn, P.C.; Rost, B.; Bromberg, Y. funtrp: Identifying protein positions for variation driven functional tuning. Nucleic Acids Res. 2019, 47, e142. [Google Scholar] [CrossRef]
- Geyer, J.; Wilke, T.; Petzinger, E. The solute carrier family SLC10: More than a family of bile acid transporters regarding function and phylogenetic relationships. Naunyn Schmiedebergs Arch. Pharmacol. 2006, 372, 413–431. [Google Scholar] [CrossRef] [PubMed] [Green Version]
- Doring, B.; Lutteke, T.; Geyer, J.; Petzinger, E. The SLC10 carrier family: Transport functions and molecular structure. Curr. Top. Membr. 2012, 70, 105–168. [Google Scholar] [CrossRef] [PubMed]
- Hagenbuch, B.; Stieger, B. The SLCO (former SLC21) superfamily of transporters. Mol. Asp. Med. 2013, 34, 396–412. [Google Scholar] [CrossRef] [PubMed] [Green Version]
- Koepsell, H. The SLC22 family with transporters of organic cations, anions and zwitterions. Mol. Asp. Med. 2013, 34, 413–435. [Google Scholar] [CrossRef]
- Khananshvili, D. The SLC8 gene family of sodium-calcium exchangers (NCX)—Structure, function, and regulation in health and disease. Mol. Asp. Med. 2013, 34, 220–235. [Google Scholar] [CrossRef] [PubMed]






| Substrate | NTCP | N271C | N271H | N271L |
|---|---|---|---|---|
| Taurocholate | ||||
| Km (µM) | 42 ± 6.6 | 37 ± 5.1 | 49 ± 7.3 | 46 ± 3.7 |
| Vmax (nmol/mg/min) | 5.7 ± 0.5 | 4.6 ± 0.2 # | 6.2 ± 0.4 * | 14 ± 0.2 # |
| Vmax/Km (µL/mg/min) | 135 ± 11 | 129 ± 16 | 129 ± 13 | 297 ± 22 # |
| Estrone-3-sulfate | ||||
| Km (µM) | 155 ± 18 | 155 ± 39 | 190 ± 76 | 117 ± 30 |
| Vmax (nmol/mg/min) | 2.3 ± 0.2 | 4.7 ± 0.6 | 5.3 ± 1.7 * | 8.5 ± 1.8 # |
| Vmax/Km (µL/mg/min) | 15 ± 1.0 | 31 ± 4.8 * | 29 ± 2.4 * | 72 ± 7.1 # |
| Rosuvastatin | ||||
| Km (µM) | 183 ± 51 | 309 ± 74 * | 253 ± 87 | 236 ± 60 |
| Vmax (nmol/mg/min) | 4.5 ± 1.0 | 12 ± 1.6 | 10 ± 2.7 | 29 ± 5.9 # |
| Vmax/Km (µL/mg/min) | 27 ± 11 | 41 ± 6.1 | 42 ± 5.6 | 126 ± 10 # |
Publisher’s Note: MDPI stays neutral with regard to jurisdictional claims in published maps and institutional affiliations. |
© 2022 by the authors. Licensee MDPI, Basel, Switzerland. This article is an open access article distributed under the terms and conditions of the Creative Commons Attribution (CC BY) license (https://creativecommons.org/licenses/by/4.0/).
Share and Cite
Ruggiero, M.J.; Malhotra, S.; Fenton, A.W.; Swint-Kruse, L.; Karanicolas, J.; Hagenbuch, B. Structural Plasticity Is a Feature of Rheostat Positions in the Human Na+/Taurocholate Cotransporting Polypeptide (NTCP). Int. J. Mol. Sci. 2022, 23, 3211. https://doi.org/10.3390/ijms23063211
Ruggiero MJ, Malhotra S, Fenton AW, Swint-Kruse L, Karanicolas J, Hagenbuch B. Structural Plasticity Is a Feature of Rheostat Positions in the Human Na+/Taurocholate Cotransporting Polypeptide (NTCP). International Journal of Molecular Sciences. 2022; 23(6):3211. https://doi.org/10.3390/ijms23063211
Chicago/Turabian StyleRuggiero, Melissa J., Shipra Malhotra, Aron W. Fenton, Liskin Swint-Kruse, John Karanicolas, and Bruno Hagenbuch. 2022. "Structural Plasticity Is a Feature of Rheostat Positions in the Human Na+/Taurocholate Cotransporting Polypeptide (NTCP)" International Journal of Molecular Sciences 23, no. 6: 3211. https://doi.org/10.3390/ijms23063211
APA StyleRuggiero, M. J., Malhotra, S., Fenton, A. W., Swint-Kruse, L., Karanicolas, J., & Hagenbuch, B. (2022). Structural Plasticity Is a Feature of Rheostat Positions in the Human Na+/Taurocholate Cotransporting Polypeptide (NTCP). International Journal of Molecular Sciences, 23(6), 3211. https://doi.org/10.3390/ijms23063211

