Next Article in Journal
Inter-Species Rescue of Mutant Phenotype—The Standard for Genetic Analysis of Human Genetic Disorders in Drosophila melanogaster Model
Next Article in Special Issue
Interplay between A-to-I Editing and Splicing of RNA: A Potential Point of Application for Cancer Therapy
Previous Article in Journal
CuxCo1-xFe2O4 (x = 0.33, 0.67, 1) Spinel Ferrite Nanoparticles Based Thermoplastic Polyurethane Nanocomposites with Reduced Graphene Oxide for Highly Efficient Electromagnetic Interference Shielding
Previous Article in Special Issue
The Effect of Meclofenoxate on the Transcriptome of Aging Brain of Nothobranchius guentheri Annual Killifish
 
 
Font Type:
Arial Georgia Verdana
Font Size:
Aa Aa Aa
Line Spacing:
Column Width:
Background:
Article

Better Agreement of Human Transcriptomic and Proteomic Cancer Expression Data at the Molecular Pathway Activation Level

1
I.M. Sechenov First Moscow State Medical University, 119991 Moscow, Russia
2
OmicsWay Corp., Walnut, CA 91789, USA
3
Shemyakin-Ovchinnikov Institute of Bioorganic Chemistry, 117997 Moscow, Russia
4
Oncobox Ltd., 121205 Moscow, Russia
5
Moscow Institute of Physics and Technology, 141701 Dolgoprudny, Russia
*
Author to whom correspondence should be addressed.
Int. J. Mol. Sci. 2022, 23(5), 2611; https://doi.org/10.3390/ijms23052611
Submission received: 14 January 2022 / Revised: 19 February 2022 / Accepted: 23 February 2022 / Published: 26 February 2022
(This article belongs to the Special Issue Multiomics Approaches in Biomedicine)

Abstract

:
Previously, we have shown that the aggregation of RNA-level gene expression profiles into quantitative molecular pathway activation metrics results in lesser batch effects and better agreement between different experimental platforms. Here, we investigate whether pathway level of data analysis provides any advantage when comparing transcriptomic and proteomic data. We compare the paired proteomic and transcriptomic gene expression and pathway activation profiles obtained for the same human cancer biosamples in The Cancer Genome Atlas (TCGA) and the NCI Clinical Proteomic Tumor Analysis Consortium (CPTAC) projects, for a total of 755 samples of glioblastoma, breast, liver, lung, ovarian, pancreatic, and uterine cancers. In a CPTAC assay, expression levels of 15,112 protein-coding genes were profiled using the Thermo QE series of mass spectrometers. In TCGA, RNA expression levels of the same genes were obtained using the Illumina HiSeq 4000 engine for the same biosamples. At the gene level, absolute gene expression values are compared, whereas pathway-grade comparisons are made between the pathway activation levels (PALs) calculated using average sample-normalized transcriptomic and proteomic profiles. We observed remarkably different average correlations between the primary RNA- and protein expression data for different cancer types: Spearman Rho between 0.017 (p = 1.7 × 10−13) and 0.27 (p < 2.2 × 10−16). However, at the pathway level we detected overall statistically significantly higher correlations: averaged Rho between 0.022 (p < 2.2 × 10−16) and 0.56 (p < 2.2 × 10−16). Thus, we conclude that data analysis at the PAL-level yields results of a greater similarity when comparing high-throughput RNA and protein expression profiles.

1. Introduction

Most known human gene products execute their molecular function at the protein level. Proteomics, therefore, should theoretically be considered the preferred approach for high-throughput screening of the expression of such genes. This is also true for quantitative assessments of the activities of molecular pathways. However, for various reasons, the current limitations of proteomic techniques do not allow routine screening of most protein-coding genes [1]. For example, in the US National Cancer Institute’s large-scale project Clinical Proteomic Tumor Analysis Consortium (CPTAC), devoted to the integrative proteogenomic characterization of human cancers, expression levels for only 15,112 genes have been resolved at the protein level by using tandem mass (MS/MS) spectrometry conducted on Thermo QE series of mass spectrometers (QE, QEplus, QE-HF, and QE-HF-X) [2]. These limitations are especially severe for the analysis of formalin-fixed paraffin-embedded (FFPE) cancer tissue samples, which is a routine format of biosample storage in clinical oncology [3]. Formalin fixation produces numerous artifact chemical modifications, including covalent cross-links between unrelated protein molecules [4].
Thus, it is important to improve current proteomic instruments or to use alternative methods that could be validated at the proteomic level. Transcriptomics offer another way of measuring expression of protein-coding genes [5]. It has been shown that RNA- and proteomic raw gene expression levels statistically significantly correlate with mean average Speaman Rho 0.16–0.52 [6,7,8]. Furthermore, RNA sequencing (RNAseq) can be used as an alternative to immunohistochemical methods for the assessment of biomarker functional status in clinical cancer samples for proteins such as HER2, ESR1, PGR, and PD-L1 [9].
The RNAseq results demonstrated high reproducibility and robustness in resolving transcripts of 23,248 protein-coding genes [10]. This allowed us to incorporate this type of analysis into the pipeline of tumor molecular analysis to estimate the expression of cancer drug target genes and the activation of targeted molecular pathways [11]. The latter, in turn, made it possible to simulate and predict the activities of cancer drugs with known molecular specificities, and to determine their patient-specific rating [12]. However, to our knowledge, the question of whether there is a correlation between the quantitative molecular pathway activation data received using RNAseq and proteomic data has never been explored before.
We have shown previously that the aggregation of RNA-level gene expression profiles into quantitative molecular pathway activation metrics results in reduced batch effects and better agreement between different experimental platforms. However, to our knowledge, the question of whether the pathway level of data analysis provides any advantage when comparing transcriptomic and proteomic data has never been explored before.
Here, we examined this question using paired proteomic and transcriptomic gene expression profiles obtained for the same human cancer tissue biosamples and available through The Cancer Genome Atlas (TCGA) and the NCI Clinical Proteomic Tumor Analysis Consortium (CPTAC) portals. We analyzed a total of 755 samples for glioblastoma and breast, liver, lung, ovarian, pancreatic, and uterine cancers. In CPTAC proteomic assay, the expression levels of 15,112 genes were profiled using the tandem mass (MS/MS) spectrometry conducted on Thermo QE series of mass spectrometers (QE, QEplus, QE-HF, and QE-HF-X) [2]. We used TCGA RNA expression levels of the same genes obtained with Illumina HiSeq 4000 platform for the same biosamples to compare proteomic and transcriptomic data at the individual gene- and pathway activation levels. At the gene level, absolute gene expression values were compared, whereas the pathway-grade comparisons were made between the pathway activation levels (PALs) calculated using average sample-normalized transcriptomic and proteomic profiles. We observed remarkably different average correlations between the primary RNA- and protein expression data for different cancer types: Spearman Rho between 0.017 (p = 1.7 × 10−13) and 0.27 (p < 2.2 × 10−16). However, at the pathway level, we detected overall statistically significantly higher correlations: averaged Rho between 0.022 (p < 2.2 × 10−16) and 0.56 (p < 2.2 × 10−16). Thus, we conclude that data analysis at the PAL level enables obtaining results of a greater similarity when comparing high-throughput RNA and protein expression profiles.

2. Results

Intracellular molecular pathways include gene products participating in common molecular processes, i.e., in all major cellular events in health and disease. Traditionally, they are primarily classified as the metabolic, DNA repair, signaling, and cytoskeleton organization pathways [1]. Quantitative assessments of pathway activation levels (PALs) have given rise to next generation biomarkers in human biology that are, in many contexts, more accurate and robust than individual gene expression levels [13]. Herein, positive, zero, and negative PAL values mean upregulation, no changes, and downregulation of a molecular pathway, respectively [14]. Furthermore, the absolute value of PAL corresponds to the extent of a pathway differential regulation [13]. Thus, a higher PAL value reflects greater pathway activation and vice versa. For several experimental techniques regarding RNA expression analysis, PALs also showed less significant platform bias and batch effects than individual gene expression profiles [15]. In this study, we compared, for the first time, RNA and protein expression levels for the same biosamples at both the pathway- and individual gene activation levels. The biospecimens were human cancer tissue samples. Primary RNA and protein expression data were extracted from the TCGA and CPTAC project databases, respectively. The platform for RNA expression profiling was Illumina HiSeq 4000, and proteomic profiles were obtained using tandem mass (MS/MS) spectrometry conducted on Thermo QE series of mass spectrometers (QE, QEplus, QE-HF, and QE-HF-X) [2]. In total, we analyzed 755 paired transcriptomic/proteomic biosamples for seven human cancer types: breast invasive carcinoma (99, 13.11%), glioblastoma (98, 12.98%), hepatocellular carcinoma (87, 11.52%), lung adenocarcinoma (111, 14.70%), ovarian serous cystadenocarcinoma (119, 15.76%), pancreatic ductal adenocarcinoma (140, 18.54%), and uterine corpus endometrial carcinoma (101, 13.38%).
Associations between protein and RNA expressions were assessed using Spearman Rho and Pearson R correlation coefficients for gene expression and pathway activation levels. The initial RNA sequencing profiles were screened and passed technical quality control metrics [16] (Figure 1).
We then assessed at the individual gene level Spearman correlations between RNA and protein expression levels in seven human cancer types. We obtained 0.17 mean Spearman correlation that varied from 0.017 for Hepatocellular Carcinoma till 0.27 for Lung Adenocarcinoma samples (Figure 2), which is in line with the previous results, i.e., ~0.16–0.35 correlation between the RNA- and proteome-based gene expression levels [6,7].
To compare RNA and protein expression data at the pathway level, we used the PAL approach for the same biosamples. We calculated Spearman correlations between PAL values for all tumor types under investigation (Figure 3). We observed 0.27 mean Spearman correlation between PAL values, which varied from 0.022 for Hepatocellular Carcinoma up to 0.56 for Lung Adenocarcinoma samples. Thus, we obtained 1.58-fold-change between the averaged gene-to-gene and PAL-to-PAL correlations.
We then measured statistical significance of the differences between gene (transcriptome)-to-gene(proteome) vs. PAL (transcriptome)-to-PAL (proteome) correlations. Using Wilcoxon statistical test, we observed (Figure 4, Figure 5, Figure 6, Figure 7, Figure 8, Figure 9 and Figure 10) that both Pearson and Spearman correlations calculated for pathway activation levels were statistically significantly higher for the PAL level compared to the gene level in five out of seven cancer types investigated. In the remaining two cancer types, the results for Pearson and Spearman correlations were inconsistent or statistically not significant, as for ovarian serous cystadenocarcinoma (Figure 8) and uterine corpus endometrial carcinoma (Figure 10).
We then performed this analysis for only 78 genes encoding molecular targets for the NCCN-recommended drugs in the seven cancer types considered in this study [17]. We compared 78-gene expression profiles and the profiles of molecular pathways including these genes at the RNA and protein levels. We observed that Pearson and Spearman correlations for pathway activation levels were statistically significantly higher compared to the single gene expression levels in the same four out of seven cancer types (Figure 4, Figure 5, Figure 9 and Figure 11). For the remaining three cancer types, i.e., hepatocellular carcinoma, ovarian serous cystadenocarcinoma, and uterine corpus endometrial carcinoma, Pearson and Spearman correlations showed poor statistical significance (Figure 6, Figure 8 and Figure 10).
Additionally, we investigated how activation patterns of individual molecular pathways correlated between the different biosamples and compared this with the gene-specific patterns. We calculated Pearson and Spearman correlations for every gene and every molecular pathway among all biosamples of a given tumor type (Figure 12 and Figure 13). We observed that these correlations were statistically significantly higher for pathway activation levels, with the lowest statistical significance (highest p = 0.013) being observed for hepatocellular carcinoma.
Separately for each cancer type, we then analyzed the “top-10” of the most and the least correlated molecular pathways between RNA and protein expression data (see Table 1, Table 2, Table 3, Table 4, Table 5, Table 6 and Table 7 and Supplementary Table S1). Notably, such highly correlated pathways with regard to tumor infiltration, immune response, and regulation of DNA polymerase alpha, delta and epsilon activity were consistent among most tumor types (Spearman correlation 0.61–0.91).
We then checked the consistencies of pathway activation schemes built using transcriptomic or proteomic data for the best and the least correlated molecular pathways. We calculated PAL levels for the “top-10” such pathways for Lung Adenocarcinoma biosamples (Figure 14) and compared activation charts for the chosen “AHR Pathway PS2 Gene expression via ESR” and “reactome Acetylcholine Neurotransmitter Release Cycle Main Pathway” pathways, which have the highest and the lowest correlations, respectively, for Lung Adenocarcinoma (Figure 15). Notably, all the pathways from both the best and the least correlated “top-10” group showed congruent activation patterns for RNAseq and proteomic data. Similarly, most of the components of the two molecular pathways that were considered more in-depth also showed congruent activation trends (Figure 15).
The number of gene products in a pathway theoretically may have an impact on the extent of the data aggregation effect [15] and, consequently, influence the gain of correlation in the gene-pathway comparisons. Therefore, we separately estimated gene-pathway correlations for the groups of bigger and smaller pathways including, respectively, at least 10, 20, and 40 gene products (Supplementary Figures S1–S7). We noticed, however, that the pathway size did not have any detectable impact on the pathway-level correlation gain.
Specifically, we obtained the following results for the individual cancer types under investigation.

2.1. Breast Invasive Carcinoma

The Pearson and Spearman gene-to-gene correlations between RNA and protein expression for an averaged biosample (Figure 2A) were 0.14 and 0.12, respectively, while on the PAL-to-PAL level (Figure 3A), they were 0.47 and 0.43, respectively. Thus, data analysis at the pathway activation levels resulted in ~3.5 times higher transcriptome-proteome correlation compared to the gene level, which was statistically significant (Wilcoxon p < 2.2 × 10−16); see Figure 4A, Figure 16A and Figure 17A. This difference also remained significant (p < 2.2 × 10−16) for drug target genes and molecular pathways (Figure 4B).
Pearson and Spearman correlations for individual genes or molecular pathways were statistically significantly higher for pathway activation levels (Wilcoxon, both p < 2.2 × 10−16, Figure 12A and Figure 13A).
The “top-10” most strongly and weakly correlated molecular pathways are shown on Table 1.

2.2. Glioblastoma Multiforme

The Pearson and Spearman gene-to-gene correlations for an average biosample (Figure 2B) were 0.29 and 0.24, respectively, and PAL-to-PAL correlations (Figure 3B) were 0.39 and 0.35, respectively. Thus, in this case, we detected ~1.5 times pathway-level gain of correlation, which was statistically significant (p < 2.2 × 10−16 and p < 10−9 for Pearson and Spearman correlations, respectively); see Figure 5A, Figure 16B and Figure 17B. This difference also remained statistically significant for the cancer drug-targeted genes and molecular pathways (Figure 5B).
Pearson and Spearman correlations for individual genes or pathways were statistically significantly higher for pathway activation levels (Wilcoxon, both p < 2.2 × 10−16, Figure 12B and Figure 13B).
The “top-10” of the most and the least correlated pathways are shown on Table 2.

2.3. Hepatocellular Carcinoma

The Pearson and Spearman gene-to-gene correlations for an average biosample (Figure 2C) were 0.02 and 0.017, respectively, and PAL-to-PAL correlations (Figure 3C) were 0.061 and 0.022, respectively. This corresponded to ~3 times pathway-level gain for the Pearson correlation (p < 2.2 × 10−16), whereas the fold-change for the Spearman correlation was only ~1.2, which was also statistically significant (p = 2.2 × 10−8); see Figure 6A, Figure 16C and Figure 17C. This difference, however, had the opposite effect on cancer drug targeted genes and molecular pathways (Figure 6B).
The Pearson and Spearman correlations for individual genes or molecular pathways were statistically significantly higher for pathway activation levels (Wilcoxon, p = 5 × 10−5 and p = 0.013, respectively); see Figure 12C and Figure 13C.
The “top-10” of the most and the least correlated molecular pathways are shown on Table 3.

2.4. Lung Adenocarcinoma

The Pearson and Spearman gene-to-gene correlations for an average biosample (Figure 2D) were 0.33 and 0.27, respectively, and PAL-to-PAL correlations (Figure 3D) were 0.58 and 0.56, respectively. Thus, the detected pathway-level gain of correlation was ~2 times (p < 2.2 × 10−16); see Figure 7A, Figure 16D and Figure 17D. The correlation gain also remained statistically significant for cancer drug-targeted genes and molecular pathways (Figure 7B).
Pearson and Spearman correlations for individual genes or molecular pathways were statistically significantly higher for pathway activation levels (Wilcoxon, both p < 2.2 × 10−16, Figure 12D and Figure 13D).
The “top-10” of the most and the least correlated molecular pathways are shown on Table 4.
We also compared PAL levels for “top-10” lists of the most and the least correlated molecular pathways in Lung Adenocarcinoma biosamples (Figure 14) for the transcriptomic and proteomic data. All of the most and the least correlated pathways showed common activation or inhibition trends for the RNA and protein expression data.
Similarly, the activation charts for “AHR Pathway PS2 Gene expression via ESR” and “reactome Acetylcholine Neurotransmitter Release Cycle Main Pathway” pathways were compared (Figure 15). Similarly, most of the components in the two considered molecular pathways were also congruently activated.

2.5. Ovarian Serous Cystadenocarcinoma

The Pearson and Spearman gene-to-gene correlations for an average biosample (Figure 2E) were 0.24 and 0.23, respectively, and PAL-to-PAL correlations (Figure 3E) were 0.25 and 0.17, respectively. In this case, no pathway-level correlation gain was detected (Pearson ~1; Spearman ~0.74 times) either for drug target genes or molecular pathways (Figure 8B).
The Pearson and Spearman correlations for individual genes or molecular pathways were statistically significantly higher for pathway activation levels (Wilcoxon, both p < 2.2 × 10−16); see Figure 12E and Figure 13E.
The “top-10” of the most and the least correlated molecular pathways between RNA and protein expression levels are shown on Table 5.

2.6. Pancreatic Ductal Adenocarcinoma

Pearson and Spearman gene-to-gene correlations for an average biosample (Figure 2F) were 0.16 and 0.11, respectively, and PAL-to-PAL correlations (Figure 3F) were 0.19 and 0.15, respectively. This suggests ~1.4 times pathway-level gain of correlation which was statistically significant only for Spearman (p = 3.6 × 10−9) correlation; see Figure 5F, Figure 15A and Figure 16F. Differences between Spearman correlations were also statistically significant for drug target genes and molecular pathways (Figure 9B).
The Pearson and Spearman correlations for individual genes or molecular pathways were statistically significantly higher for pathway activation levels (Wilcoxon, both p < 2.2 × 10−16); see Figure 12F and Figure 13F.
The “top-10” of the most and the least correlated molecular pathways are shown in Table 6.

2.7. Uterine Corpus Endometrial Carcinoma

The Pearson and Spearman gene-to-gene correlations for an average biosample (Figure 2G) were 0.29 and 0.22, respectively, and PAL-to-PAL correlations (Figure 3G) were 0.29 and 0.23, respectively. In this case, correlations remained essentially the same for both gene- and pathway levels; see Figure 10A, Figure 16G and Figure 17G. The same trend was also seen for drug target genes and pathways (Figure 10B).
Pearson and Spearman correlations for individual genes or molecular pathways were statistically significantly higher for pathway activation levels (Wilcoxon, both p < 2.2 × 10−16, Figure 12G and Figure 13G).
The “top-10” of the most and the least correlated molecular pathways between RNA and protein expression levels are shown on Table 7.

3. Discussion

Quantitative gene expression profiles at the mRNA and protein levels are fundamentally different because of differential mRNA and protein stability patterns, epigenetic and protein translation regulatory mechanisms [18] and technical differences in the screening methods [19]. However, there is an overall correlation between the quantitative gene expression profiles that was detected for various organisms and cell types [18].
In this study we aimed to compare correlations of RNA- and protein-level gene expression data at the single gene and molecular pathway levels.
At the gene level, the correlations observed were congruent with the literature data (e.g., we observed ~0.23–0.24 correlations for ovarian cancer at the gene level, compared to ~0.3 in the previous report [7], or ~0.24–0.29 for glioblastoma in this study compared to previously observed ~0.15 [6]).
On the other hand, we detected remarkably different correlations between RNA expression and proteomic data on both gene- and pathway levels between the different tumor types investigated simultaneously in TCGA and CPTAC projects. For example, the lowest correlation could be observed for hepatocellular carcinoma (0.017–0.06), whereas the biggest was detected for lung adenocarcinoma (0.33–0.58).
Such dramatic difference from the first view could be explained by vulnerabilities of the experimental expression platforms to the nature of the tested biospecimens. However, some biological mechanisms could also be involved, e.g., tumor type-specific pH alteration, which can lead to dramatic differences in the repertoire of translated proteins while not strongly affecting RNA transcription [20].
In any case, we noticed that in five out of seven cancer types tested (glioblastoma, breast, liver, lung, pancreatic cancers), the expression data analysis at the pathway level was beneficial in terms of improving the correlation between the quantitative mRNA and protein data for the same biospecimens. In the two remaining tumor types (endometrial and ovarian cancers), we observed no pathway-level gain of correlation between mRNA and proteomic data. These results did not depend on the pathway size, as they were reproduced here with pathways of any size, and with pathways with 10-, 20-, and 40-participant size limits.
Similarly, we observed a gain of correlation between mRNA and protein expression in four out of seven cancer types in a correlation analysis of cancer drug-targeted genes and molecular pathways.

4. Materials and Methods

4.1. Processing of RNA Sequencing Data

Ensembl gene IDs were converted to HGNC gene symbols according to the Complete HGNC dataset (https://www.genenames.org, accessed on 14 November 2021. Overall, expression levels were established for 36,596 annotated genes with HGNC identifiers. Additionally, ‘1’ was added to all raw gene counts prior to cluster analyses to avoid zero expression values, following the recommendation by Dillies et al. [21]. The gene expression data were merged into a single dataset and preprocessed using DESeq2 [22] as a normalization method. Hierarchical clustering was performed using R “ward.D2” method. We used a threshold of 2.5 M uniquely mapped reads for QC of RNA sequencing data (Figure 1), as this was found to be effective for marking samples with low-quality values of other QC metrics, e.g., the proportion of genomic counts, high rate of mismatches, number of reads spanning splice junction, a high percentage of ribosomal counts [16].

4.2. Publicly Available Transcriptomic and Proteomic Paired Data

We used paired transcriptomic and proteomic profiles obtained from The Cancer Genome Atlas (TCGA) Data Portal [23] and Clinical Proteomic Tumor Analysis Consortium (CPTAC) Repository [24]. In total, 755 paired transcriptomic and proteomic biosamples were analyzed for seven cancer types: Breast Invasive Carcinoma (99, 13.11%), Glioblastoma Multiforme (98, 12.98%), Hepatocellular Carcinoma (87, 11.52%), Lung Adenocarcinoma (111, 14.70%), Ovarian Serous Cystadenocarcinoma (119, 15.76%), Pancreatic Ductal Adenocarcinoma (140, 18.54%), and Uterine Corpus Endometrial Carcinoma (101, 13.38%).

4.3. Molecular Pathway Annotation and Activation Scoring

In this study we used a publicly available collection of molecular pathways extracted from Biocarta version 1.2 [25], Qiagen Pathway Central [26], Kyoto Encyclopedia of Genes and Genomes (KEGG) [1], NCI database version 1.2 [27], and Reactome version 1.3 [13] databases, and algorithmically annotated for molecular functions of pathway components and nodes [28]. Using the Oncobox bioinformatics platform [15,16] we calculated pathway activation levels (PALs) for a total of 1611 molecular pathways containing 10 or more gene products. For PAL calculations, each sample expression profile was normalized on mean geometrical levels of RNA or protein expression for all samples in the dataset under analysis.
The PAL approach considers the impact of each gene product on overall molecular pathway activation [29,30], the PAL value for a pathway p a given sample is calculated as follows:
P A L p = n A R R n p B T I F n l n C N R n
where C N R n (case-to-normal ratio) is the ratio of gene n expression level in the sample under investigation to the mean geometrical gene n expression level in the group of control samples. The Boolean flag B T I F n  (beyond tolerance interval flag) is zero when the C N R n value has not passed the significance criterion: when the difference with the control group of samples is not significant, where p > 0.05   A R R n , p  (activator/repressor role of gene n in pathway p) is the discrete value that equals to 1 when gene product n is a repressor of pathway p; 1 , when gene product n is an activator of pathway p; 0 , when gene product n has both activities of an activator and of a repressor of pathway p; 0.5 and 0.5 , respectively, when gene product n is rather an activator or repressor of pathway p .

5. Conclusions

In this study, we aimed to compare correlations among RNA- and protein-level gene expression data at the single gene and molecular pathway levels. We detected remarkably different correlations between RNA expression and proteomic data on both gene- and pathway levels among the different tumor types investigated simultaneously in TCGA and CPTAC projects. For example, the lowest correlation was observed for hepatocellular carcinoma (0.017–0.06), whereas the biggest was detected for lung adenocarcinoma (0.33–0.58). This dramatic difference could be due to the vulnerabilities of the experimental expression platforms to the nature of the tested biospecimens. However, some biological mechanisms may also be involved, e.g., tumor type-specific pH alteration, which can lead to dramatic differences in the repertoire of translated proteins while not strongly affecting RNA transcription [20]. We also demonstrated that the assessment of pathway activation levels based on transcriptomic data produces largely congruent profiles with those for the proteomic profiles. Our results evidence that the pathway level of transcriptomic data analysis can be advantageous compared to the single-gene level because it can statistically significantly improve correlations among RNA- and proteomic data in most of the tested cases.

Supplementary Materials

The following are available online at https://www.mdpi.com/article/10.3390/ijms23052611/s1.

Author Contributions

Software, M.R.; Visualization, M.R.; Validation, M.R.; Writing—Original Draft, M.R., M.S. and A.B.; Writing—Review & Editing, M.R., M.S. and A.B.; Investigation, M.R.; Data Curation, M.R., G.Z., K.K., A.G., D.K. (Denis Kuzmin) and D.K. (Dmitry Kamashev); Conceptualization, M.S. and A.B.; Methodology, M.S.; Supervision, M.S.; Formal Analysis, N.B. and V.T.; Resources, N.B. and V.T.; Project administration, A.B. All authors have read and agreed to the published version of the manuscript.

Funding

This study was financially supported by the Russian Foundation for basic research grant 19-29-01108. Cloud-based computational facilities were sponsored in part by Amazon and Microsoft Azure.

Acknowledgments

We thank Oncobox/OmicsWay research program in machine learning and digital oncology for software and pathway databases for this study. This study was made possible through the technical support of the Applied Genetics Resource Facility of MIPT, support 075-15-2021-684.

Conflicts of Interest

Authors M.R., M.S., G.Z., A.G., D.K. and A.B. were employed by the company OmicsWay Corp., and V.T. was employed by the company Oncobox Ltd. The remaining authors had only academic affiliations. All the authors declare that the research was conducted in the absence of any commercial or financial relationships that could be construed as a potential conflict of interest. The funders had no role in the design of the study; in the collection, analyses, or interpretation of data; in the writing of the manuscript, or in the decision to publish the results.

References

  1. Kanehisa, M.; Goto, S. KEGG: Kyoto Encyclopedia of Genes and Genomes. Nucleic Acids Res. 2000, 28, 27–30. [Google Scholar] [CrossRef] [PubMed]
  2. Mertins, P.; Tang, L.C.; Krug, K.; Clark, D.J.; Gritsenko, M.A.; Chen, L.; Clauser, K.R.; Clauss, T.R.; Shah, P.; Gillette, M.A.; et al. Reproducible workflow for multiplexed deep-scale proteome and phosphoproteome analysis of tumor tissues by liquid chromatography–mass spectrometry. Nat. Protoc. 2018, 13, 1632–1661. [Google Scholar] [CrossRef]
  3. Berg, D.; Malinowsky, K.; Reischauer, B.; Wolff, C.; Becker, K.-F. Use of Formalin-Fixed and Paraffin-Embedded Tissues for Diagnosis and Therapy in Routine Clinical Settings. In Methods in Molecular Biology; Clifton, N.J., Ed.; Humana Press: Totowa, NJ, USA, 2011; Volume 785, pp. 109–122. [Google Scholar] [CrossRef]
  4. Masuda, N.; Ohnishi, T.; Kawamoto, S.; Monden, M.; Okubo, K. Analysis of chemical modification of RNA from formalin-fixed samples and optimization of molecular biology applications for such samples. Nucleic Acids Res. 1999, 27, 4436–4443. [Google Scholar] [CrossRef] [PubMed]
  5. Kuchta, K.; Towpik, J.; Biernacka, A.; Kutner, J.; Kudlicki, A.; Ginalski, K.; Rowicka, M. Predicting proteome dynamics using gene expression data. Sci. Rep. 2018, 8, 13866. [Google Scholar] [CrossRef] [PubMed]
  6. Yanovich-Arad, G.; Ofek, P.; Yeini, E.; Mardamshina, M.; Danilevsky, A.; Shomron, N.; Grossman, R.; Satchi-Fainaro, R.; Geiger, T. Proteogenomics of glioblastoma associates molecular patterns with survival. Cell Rep. 2021, 34, 108787. [Google Scholar] [CrossRef] [PubMed]
  7. McDermott, J.E.; Arshad, O.A.; Petyuk, V.A.; Fu, Y.; Gritsenko, M.A.; Clauss, T.R.; Moore, R.J.; Schepmoes, A.A.; Zhao, R.; Monroe, M.E.; et al. Proteogenomic Characterization of Ovarian HGSC Implicates Mitotic Kinases, Replication Stress in Observed Chromosomal Instability. Cell Rep. Med. 2020, 1, 100004. [Google Scholar] [CrossRef] [PubMed]
  8. Gry, M.; Rimini, R.; Strömberg, S.; Asplund, A.; Pontén, F.; Uhlén, M.; Nilsson, P. Correlations between RNA and protein expression profiles in 23 human cell lines. BMC Genom. 2009, 10, 365. [Google Scholar] [CrossRef] [Green Version]
  9. Brueffer, C.; Vallon-Christersson, J.; Grabau, D.; Ehinger, A.; Häkkinen, J.; Hegardt, C.; Malina, J.; Chen, Y.; Bendahl, P.-O.; Manjer, J.; et al. Clinical Value of RNA Sequencing–Based Classifiers for Prediction of the Five Conventional Breast Cancer Biomarkers: A Report From the Population-Based Multicenter Sweden Cancerome Analysis Network—Breast Initiative. JCO Precis. Oncol. 2018, 2, 1–18. [Google Scholar] [CrossRef]
  10. Li, Z.; Zhang, Z.; Yan, P.; Huang, S.; Fei, Z.; Lin, K. RNA-Seq improves annotation of protein-coding genes in the cucumber genome. BMC Genom. 2011, 12, 540. [Google Scholar] [CrossRef] [Green Version]
  11. Buzdin, A.A.; Zhavoronkov, A.A.; Korzinkin, M.B.; Venkova, L.S.; Zenin, A.A.; Smirnov, P.Y.; Borisov, N.M. Oncofinder, a new method for the analysis of intracellular signaling pathway activation using transcriptomic data. Front. Genet. 2014, 5, 55. [Google Scholar] [CrossRef] [Green Version]
  12. Sorokin, M.; Kholodenko, R.; Suntsova, M.; Malakhova, G.; Garazha, A.; Kholodenko, I.; Poddubskaya, E.; Lantsov, D.; Stilidi, I.; Arhiri, P.; et al. Oncobox Bioinformatical Platform for Selecting Potentially Effective Combinations of Target Cancer Drugs Using High-Throughput Gene Expression Data. Cancers 2018, 10, 365. [Google Scholar] [CrossRef] [Green Version]
  13. Buzdin, A.; Sorokin, M.; Garazha, A.; Sekacheva, M.; Kim, E.; Zhukov, N.; Wang, Y.; Li, X.; Kar, S.; Hartmann, C.; et al. Molecular pathway activation—New type of biomarkers for tumor morphology and personalized selection of target drugs. Semin. Cancer Biol. 2018, 53, 110–124. [Google Scholar] [CrossRef]
  14. Blighe, K.; Rana, S.L.M. EnhancedVolcano: Publication-Ready Volcano Plots with Enhanced Colouring and Labeling. Available online: https://bioconductor.org/packages/release/bioc/vignettes/EnhancedVolcano/inst/doc/EnhancedVolcano.html#references (accessed on 19 March 2021).
  15. Borisov, N.; Suntsova, M.; Sorokin, M.; Garazha, A.; Kovalchuk, O.; Aliper, A.; Ilnitskaya, E.; Lezhnina, K.; Korzinkin, M.; Tkachev, V.; et al. Data aggregation at the level of molecular pathways improves stability of experimental transcriptomic and proteomic data. Cell Cycle 2017, 16, 1810–1823. [Google Scholar] [CrossRef] [Green Version]
  16. Suntsova, M.; Gaifullin, N.; Allina, D.; Reshetun, A.; Li, X.; Mendeleeva, L.; Surin, V.; Sergeeva, A.; Spirin, P.; Prassolov, V.; et al. Atlas of RNA sequencing profiles for normal human tissues. Sci. Data 2019, 6, 36. [Google Scholar] [CrossRef]
  17. Zolotovskaia, M.A.; Sorokin, M.I.; Petrov, I.V.; Poddubskaya, E.V.; Moiseev, A.A.; Sekacheva, M.I.; Borisov, N.M.; Tkachev, V.S.; Garazha, A.V.; Kaprin, A.D.; et al. Disparity between Inter-Patient Molecular Heterogeneity and Repertoires of Target Drugs Used for Different Types of Cancer in Clinical Oncology. Int. J. Mol. Sci. 2020, 21, 1580. [Google Scholar] [CrossRef] [Green Version]
  18. Perl, K.; Ushakov, K.; Pozniak, Y.; Yizhar-Barnea, O.; Bhonker, Y.; Shivatzki, S.; Geiger, T.; Avraham, K.B.; Shamir, R. Reduced changes in protein compared to mRNA levels across non-proliferating tissues. BMC Genom. 2017, 18, 305. [Google Scholar] [CrossRef]
  19. Kosti, I.; Jain, N.; Aran, D.; Butte, A.J.; Sirota, M. Cross-tissue Analysis of Gene and Protein Expression in Normal and Cancer Tissues. Sci. Rep. 2016, 6, 24799. [Google Scholar] [CrossRef] [Green Version]
  20. Bastola, S.; Pavlyukov, M.S.; Yamashita, D.; Ghosh, S.; Cho, H.; Kagaya, N.; Zhang, Z.; Minata, M.; Lee, Y.; Sadahiro, H.; et al. Glioma-initiating cells at tumor edge gain signals from tumor core cells to promote their malignancy. Nat. Commun. 2020, 11, 4660. [Google Scholar] [CrossRef]
  21. Dillies, M.-A.; Rau, A.; Aubert, J.; Hennequet-Antier, C.; Jeanmougin, M.; Servant, N.; Keime, C.; Marot, G.; Castel, D.; Estelle, J.; et al. A comprehensive evaluation of normalization methods for Illumina high-throughput RNA sequencing data analysis. Brief. Bioinform. 2012, 14, 671–683. [Google Scholar] [CrossRef] [Green Version]
  22. Love, M.I.; Huber, W.; Anders, S. Moderated estimation of fold change and dispersion for RNA-seq data with DESeq2. Genome Biol. 2014, 15, 550. [Google Scholar] [CrossRef] [Green Version]
  23. Huang, X.; Stern, D.F.; Zhao, H. Transcriptional Profiles from Paired Normal Samples Offer Complementary Information on Cancer Patient Survival—Evidence from TCGA Pan-Cancer Data. Sci. Rep. 2016, 6, 20567. [Google Scholar] [CrossRef] [PubMed] [Green Version]
  24. Edwards, N.J.; Oberti, M.; Thangudu, R.R.; Cai, S.; McGarvey, P.B.; Jacob, S.; Madhavan, S.; Ketchum, K.A. The CPTAC Data Portal: A Resource for Cancer Proteomics Research. J. Proteome Res. 2015, 14, 2707–2713. [Google Scholar] [CrossRef] [PubMed]
  25. BioCarta—Online Maps of Metabolic and Signaling Pathways | HSLS. Available online: https://www.hsls.pitt.edu/obrc/index.php?page=URL1151008585 (accessed on 25 March 2021).
  26. Egf Signaling—GeneGlobe. Available online: https://geneglobe.qiagen.com/us/explore/pathway-details/egf-signaling (accessed on 25 March 2021).
  27. Krupa, S.; Anthony, K.; Buchoff, J.R.; Day, M.; Hannay, T.; Schaefer, C.F. The NCI-Nature Pathway Interaction Database: A cell signaling resource. Nat. Précéd. 2007, 71. [Google Scholar] [CrossRef]
  28. Fabregat, A.; Jupe, S.; Matthews, L.; Sidiropoulos, K.; Gillespie, M.; Garapati, P.; Haw, R.; Jassal, B.; Korninger, F.; May, B.; et al. The Reactome Pathway Knowledgebase. Nucleic Acids Res. 2018, 46, D649–D655. [Google Scholar] [CrossRef] [PubMed]
  29. Sorokin, M.; Borisov, N.; Kuzmin, D.; Gudkov, A.; Zolotovskaia, M.; Garazha, A.; Buzdin, A. Algorithmic Annotation of Functional Roles for Components of 3044 Human Molecular Pathways. Front. Genet. 2021, 12, 139. [Google Scholar] [CrossRef]
  30. Borisov, N.; Sorokin, M.; Garazha, A.; Buzdin, A. Quantitation of Molecular Pathway Activation Using RNA Sequencing Data. In Methods in Molecular Biology; Humana: New York, NY, USA, 2019; Volume 2063, pp. 189–206. [Google Scholar] [CrossRef]
Figure 1. The dendrogram of hierarchical clustering for QC-passed RNA sequencing profiles of human tissues from TCGA. Gene expression data were used to calculate Euclidian distances between the samples. The color markers indicate the tissue types. The lower scale indicates the number of uniquely mapped reads. ‘QC’ marker denotes the quality control threshold of 2.5 million uniquely mapped reads.
Figure 1. The dendrogram of hierarchical clustering for QC-passed RNA sequencing profiles of human tissues from TCGA. Gene expression data were used to calculate Euclidian distances between the samples. The color markers indicate the tissue types. The lower scale indicates the number of uniquely mapped reads. ‘QC’ marker denotes the quality control threshold of 2.5 million uniquely mapped reads.
Ijms 23 02611 g001
Figure 2. Gene-to-gene Spearman correlation between RNA and protein expression levels for an average biosample estimated across (A) Breast Invasive Carcinoma, (B) Glioblastoma Multiforme, (C) Hepatocellular Carcinoma, (D) Lung Adenocarcinoma, (E) Ovarian Serous Cystadenocarcinoma, (F) Pancreatic Ductal Adenocarcinoma and (G) Uterine Corpus Endometrial Carcinoma. Each dot represents a unique gene-sample pair.
Figure 2. Gene-to-gene Spearman correlation between RNA and protein expression levels for an average biosample estimated across (A) Breast Invasive Carcinoma, (B) Glioblastoma Multiforme, (C) Hepatocellular Carcinoma, (D) Lung Adenocarcinoma, (E) Ovarian Serous Cystadenocarcinoma, (F) Pancreatic Ductal Adenocarcinoma and (G) Uterine Corpus Endometrial Carcinoma. Each dot represents a unique gene-sample pair.
Ijms 23 02611 g002
Figure 3. PAL-to-PAL Spearman correlation between RNA and protein expression levels for an average biosample estimated across (A) Breast Invasive Carcinoma, (B) Glioblastoma Multiforme, (C) Hepatocellular Carcinoma, (D) Lung Adenocarcinoma, (E) Ovarian Serous Cystadenocarcinoma, (F) Pancreatic Ductal Adenocarcinoma and (G) Uterine Corpus Endometrial Carcinoma. Each dot represents a unique gene-sample pair.
Figure 3. PAL-to-PAL Spearman correlation between RNA and protein expression levels for an average biosample estimated across (A) Breast Invasive Carcinoma, (B) Glioblastoma Multiforme, (C) Hepatocellular Carcinoma, (D) Lung Adenocarcinoma, (E) Ovarian Serous Cystadenocarcinoma, (F) Pancreatic Ductal Adenocarcinoma and (G) Uterine Corpus Endometrial Carcinoma. Each dot represents a unique gene-sample pair.
Ijms 23 02611 g003
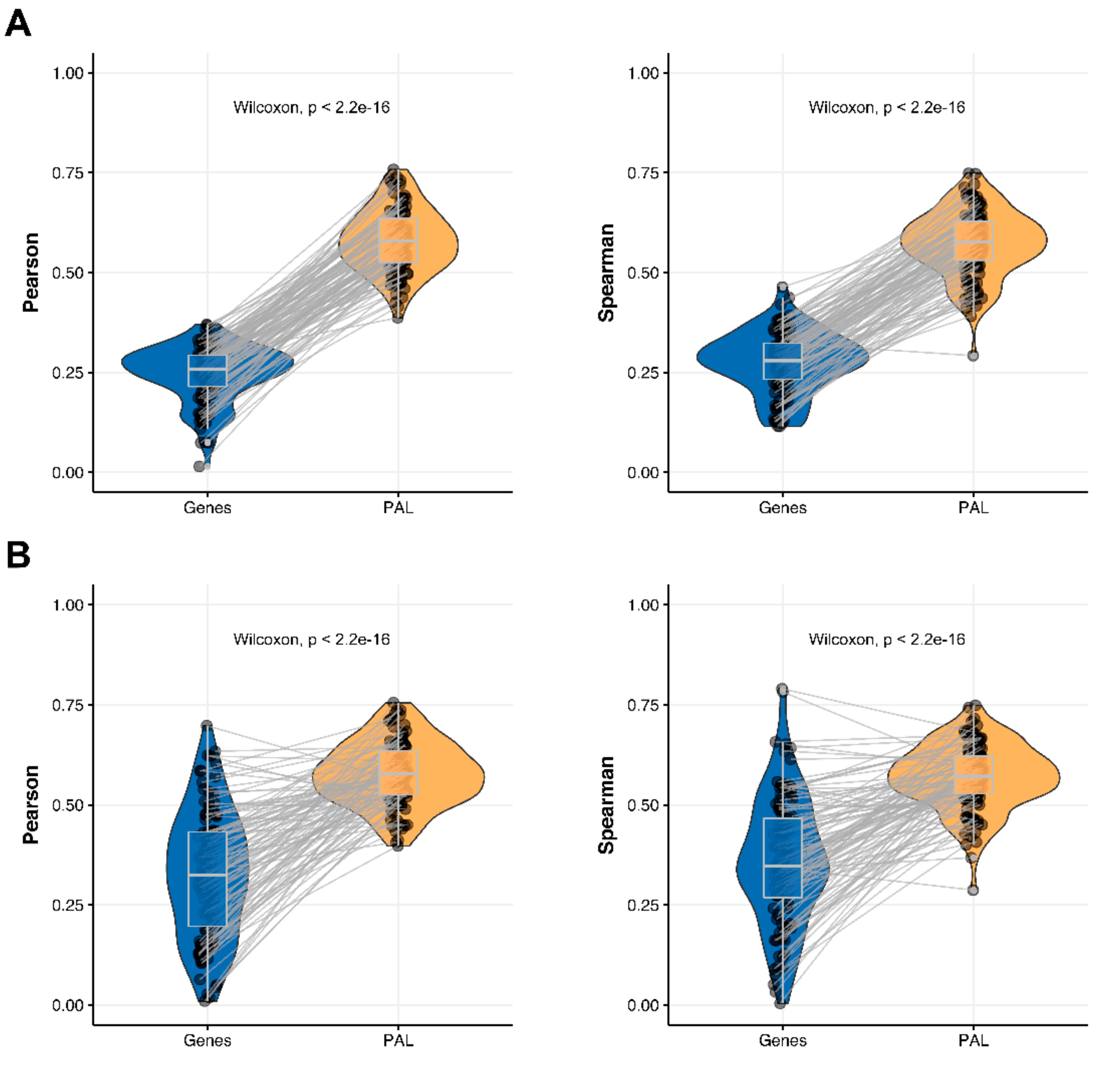
Figure 4. Paired gene-to-gene and PAL-to-PAL correlation between RNA and protein expression levels estimated within Breast Invasive Carcinoma biosamples using Pearson (left) and Spearman (right) correlation coefficients for (A) the total set of genes and molecular pathways; (B) the set of drug target genes and molecular pathways [17].
Figure 4. Paired gene-to-gene and PAL-to-PAL correlation between RNA and protein expression levels estimated within Breast Invasive Carcinoma biosamples using Pearson (left) and Spearman (right) correlation coefficients for (A) the total set of genes and molecular pathways; (B) the set of drug target genes and molecular pathways [17].
Ijms 23 02611 g004
Figure 5. Paired gene-to-gene and PAL-to-PAL correlation between RNA and protein expression levels estimated within Glioblastoma Multiforme biosamples using Pearson (left) and Spearman (right) correlation coefficients for (A) the total set of genes and molecular pathways; (B) the set of drug target genes and molecular pathways [17].
Figure 5. Paired gene-to-gene and PAL-to-PAL correlation between RNA and protein expression levels estimated within Glioblastoma Multiforme biosamples using Pearson (left) and Spearman (right) correlation coefficients for (A) the total set of genes and molecular pathways; (B) the set of drug target genes and molecular pathways [17].
Ijms 23 02611 g005
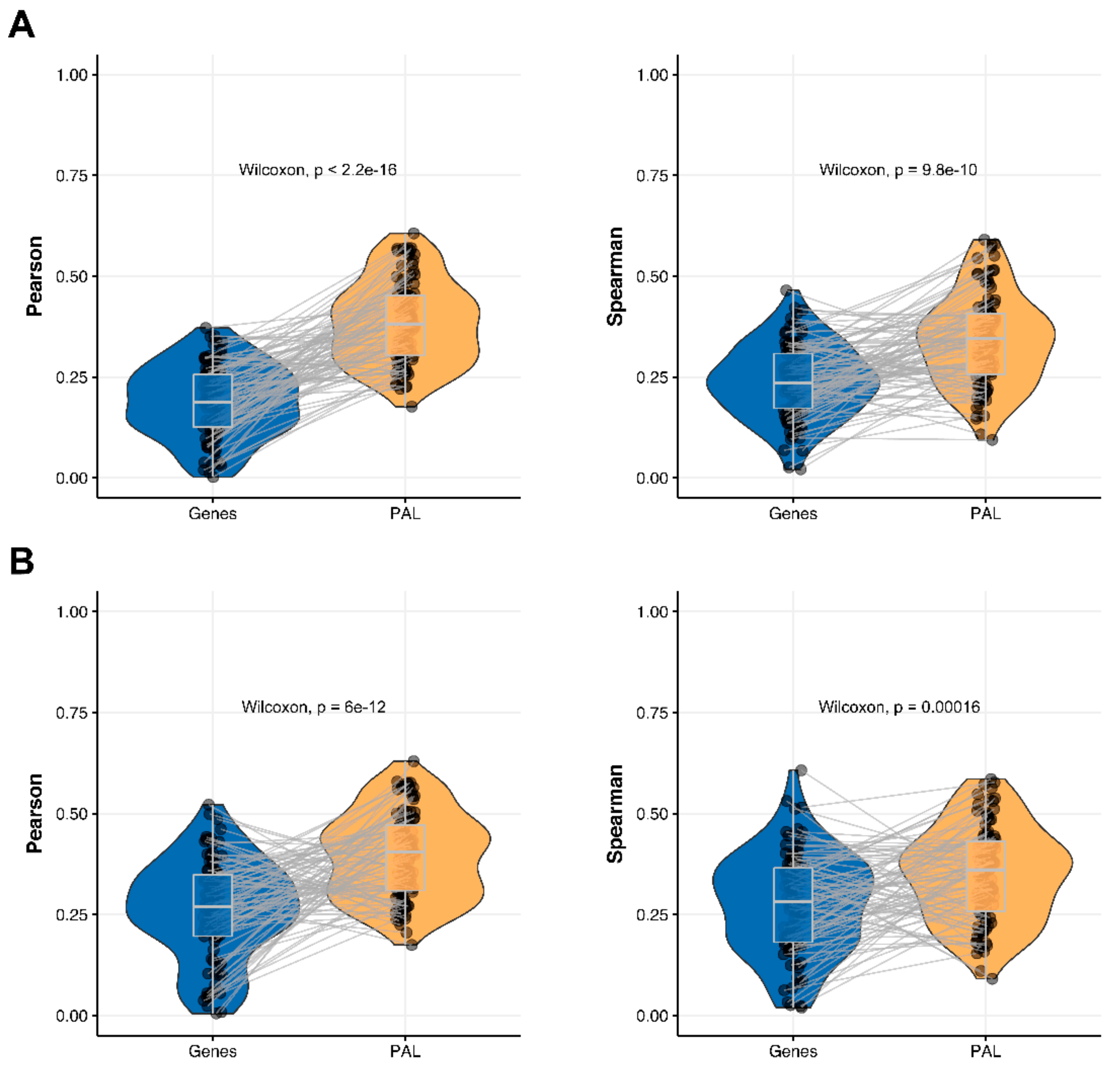
Figure 6. Paired gene-to-gene and PAL-to-PAL correlation between RNA and protein expression levels estimated within Hepatocellular Carcinoma biosamples using Pearson (left) and Spearman (right) correlation coefficients for (A) the total set of genes and molecular pathways; (B) the set of drug target genes and molecular pathways [17].
Figure 6. Paired gene-to-gene and PAL-to-PAL correlation between RNA and protein expression levels estimated within Hepatocellular Carcinoma biosamples using Pearson (left) and Spearman (right) correlation coefficients for (A) the total set of genes and molecular pathways; (B) the set of drug target genes and molecular pathways [17].
Ijms 23 02611 g006
Figure 7. Paired gene-to-gene and PAL-to-PAL correlation between RNA and protein expression levels estimated within Lung Adenocarcinoma biosamples using Pearson (left) and Spearman (right) correlation coefficients for (A) the total set of genes and molecular pathways; (B) the set of drug target genes and molecular pathways [17].
Figure 7. Paired gene-to-gene and PAL-to-PAL correlation between RNA and protein expression levels estimated within Lung Adenocarcinoma biosamples using Pearson (left) and Spearman (right) correlation coefficients for (A) the total set of genes and molecular pathways; (B) the set of drug target genes and molecular pathways [17].
Ijms 23 02611 g007
Figure 8. Paired gene-to-gene and PAL-to-PAL correlation between RNA and protein expression levels estimated within Ovarian Serous Cystadenocarcinoma biosamples using Pearson (left) and Spearman (right) correlation coefficients for (A) the total set of genes and molecular pathways; (B) the set of drug target genes and molecular pathways [17].
Figure 8. Paired gene-to-gene and PAL-to-PAL correlation between RNA and protein expression levels estimated within Ovarian Serous Cystadenocarcinoma biosamples using Pearson (left) and Spearman (right) correlation coefficients for (A) the total set of genes and molecular pathways; (B) the set of drug target genes and molecular pathways [17].
Ijms 23 02611 g008
Figure 9. Paired gene-to-gene and PAL-to-PAL correlation between RNA and protein expression levels estimated within Pancreatic Ductal Adenocarcinoma biosamples using Pearson (left) and Spearman (right) correlation coefficients for (A) the total set of genes and molecular pathways; (B) the set of drug target genes and molecular pathways [17].
Figure 9. Paired gene-to-gene and PAL-to-PAL correlation between RNA and protein expression levels estimated within Pancreatic Ductal Adenocarcinoma biosamples using Pearson (left) and Spearman (right) correlation coefficients for (A) the total set of genes and molecular pathways; (B) the set of drug target genes and molecular pathways [17].
Ijms 23 02611 g009
Figure 10. Paired gene-to-gene and PAL-to-PAL correlation between RNA and protein expression levels estimated within Uterine Corpus Endometrial Carcinoma biosamples using Pearson (left) and Spearman (right) correlation coefficients for (A) the total set of genes and molecular pathways; (B) the set of drug target genes and molecular pathways [17].
Figure 10. Paired gene-to-gene and PAL-to-PAL correlation between RNA and protein expression levels estimated within Uterine Corpus Endometrial Carcinoma biosamples using Pearson (left) and Spearman (right) correlation coefficients for (A) the total set of genes and molecular pathways; (B) the set of drug target genes and molecular pathways [17].
Ijms 23 02611 g010
Figure 11. Paired gene-to-gene and PAL-to-PAL correlation between RNA and protein expression levels estimated within Lung Adenocarcinoma biosamples using Pearson (left) and Spearman (right) correlation coefficients for (A) the total set of genes and molecular pathways; (B) the set of drug target genes and molecular pathways [17].
Figure 11. Paired gene-to-gene and PAL-to-PAL correlation between RNA and protein expression levels estimated within Lung Adenocarcinoma biosamples using Pearson (left) and Spearman (right) correlation coefficients for (A) the total set of genes and molecular pathways; (B) the set of drug target genes and molecular pathways [17].
Ijms 23 02611 g011
Figure 12. Gene-to-gene and PAL-to-PAL Spearman correlation between RNA and protein expression levels estimated by given gene or molecular pathway across (A) Breast Invasive Carcinoma, (B) Glioblastoma Multiforme, (C) Hepatocellular Carcinoma, (D) Lung Adenocarcinoma, (E) Ovarian Serous Cystadenocarcinoma, (F) Pancreatic Ductal Adenocarcinoma and (G) Uterine Corpus Endometrial Carcinoma.
Figure 12. Gene-to-gene and PAL-to-PAL Spearman correlation between RNA and protein expression levels estimated by given gene or molecular pathway across (A) Breast Invasive Carcinoma, (B) Glioblastoma Multiforme, (C) Hepatocellular Carcinoma, (D) Lung Adenocarcinoma, (E) Ovarian Serous Cystadenocarcinoma, (F) Pancreatic Ductal Adenocarcinoma and (G) Uterine Corpus Endometrial Carcinoma.
Ijms 23 02611 g012
Figure 13. Gene-to-gene and PAL-to-PAL Pearson correlation between RNA and protein expression levels estimated given gene or molecular pathway across (A) Breast Invasive Carcinoma, (B) Glioblastoma Multiforme, (C) Hepatocellular Carcinoma, (D) Lung Adenocarcinoma, (E) Ovarian Serous Cystadenocarcinoma, (F) Pancreatic Ductal Adenocarcinoma and (G) Uterine Corpus Endometrial Carcinoma.
Figure 13. Gene-to-gene and PAL-to-PAL Pearson correlation between RNA and protein expression levels estimated given gene or molecular pathway across (A) Breast Invasive Carcinoma, (B) Glioblastoma Multiforme, (C) Hepatocellular Carcinoma, (D) Lung Adenocarcinoma, (E) Ovarian Serous Cystadenocarcinoma, (F) Pancreatic Ductal Adenocarcinoma and (G) Uterine Corpus Endometrial Carcinoma.
Ijms 23 02611 g013
Figure 14. Diagram of activation (green) and inhibition (red) of top 10 of the most (top) and the least (bottom) correlated molecular pathways between RNA and protein expression for Lung Adenocarcinoma biosamples. Pathway activation level (PAL) independently estimated based on (A) protein levels and (B) RNA expression.
Figure 14. Diagram of activation (green) and inhibition (red) of top 10 of the most (top) and the least (bottom) correlated molecular pathways between RNA and protein expression for Lung Adenocarcinoma biosamples. Pathway activation level (PAL) independently estimated based on (A) protein levels and (B) RNA expression.
Ijms 23 02611 g014
Figure 15. Molecular pathway activation maps estimated for protein expression (top) and RNA expression (bottom) of an averaged Lung Adenocarcinoma sample. Activation maps of (A) “AHR Pathway PS2 Gene expression via ESR” and (B) “reactome Acetylcholine Neurotransmitter Release Cycle Main Pathway” pathways. Genes and nodes that preserved a concordance of activation/inhibition between RNA and protein expression are bold-circled.
Figure 15. Molecular pathway activation maps estimated for protein expression (top) and RNA expression (bottom) of an averaged Lung Adenocarcinoma sample. Activation maps of (A) “AHR Pathway PS2 Gene expression via ESR” and (B) “reactome Acetylcholine Neurotransmitter Release Cycle Main Pathway” pathways. Genes and nodes that preserved a concordance of activation/inhibition between RNA and protein expression are bold-circled.
Ijms 23 02611 g015
Figure 16. Gene-to-gene and PAL-to-PAL Spearman correlation between RNA and protein expression levels estimated by individual samples across (A) Breast Invasive Carcinoma, (B) Glioblastoma Multiforme, (C) Hepatocellular Carcinoma, (D) Lung Adenocarcinoma, (E) Ovarian Serous Cystadenocarcinoma, (F) Pancreatic Ductal Adenocarcinoma and (G) Uterine Corpus Endometrial Carcinoma.
Figure 16. Gene-to-gene and PAL-to-PAL Spearman correlation between RNA and protein expression levels estimated by individual samples across (A) Breast Invasive Carcinoma, (B) Glioblastoma Multiforme, (C) Hepatocellular Carcinoma, (D) Lung Adenocarcinoma, (E) Ovarian Serous Cystadenocarcinoma, (F) Pancreatic Ductal Adenocarcinoma and (G) Uterine Corpus Endometrial Carcinoma.
Ijms 23 02611 g016
Figure 17. Gene-to-gene and PAL-to-PAL Pearson correlation between RNA and protein expression levels estimated by individual samples across (A) Breast Invasive Carcinoma, (B) Glioblastoma Multiforme, (C) Hepatocellular Carcinoma, (D) Lung Adenocarcinoma, (E) Ovarian Serous Cystadenocarcinoma, (F) Pancreatic Ductal Adenocarcinoma and (G) Uterine Corpus Endometrial Carcinoma.
Figure 17. Gene-to-gene and PAL-to-PAL Pearson correlation between RNA and protein expression levels estimated by individual samples across (A) Breast Invasive Carcinoma, (B) Glioblastoma Multiforme, (C) Hepatocellular Carcinoma, (D) Lung Adenocarcinoma, (E) Ovarian Serous Cystadenocarcinoma, (F) Pancreatic Ductal Adenocarcinoma and (G) Uterine Corpus Endometrial Carcinoma.
Ijms 23 02611 g017
Table 1. “Top-10” of the most and the least correlated molecular pathways between RNA and protein expression data calculated for Breast Invasive Carcinoma biosamples.
Table 1. “Top-10” of the most and the least correlated molecular pathways between RNA and protein expression data calculated for Breast Invasive Carcinoma biosamples.
PathwayPearsonSpearman
Ephrin-mediated Signaling Events During Cell Adhesion0.730.77
Guanosine nucleotides ide novoi biosynthesis0.740.76
Reactome Polymerase switching Main Pathway0.750.74
Reactome Polymerase switching on the C strand of the telomere Main Pathway0.750.74
NCI Aurora B signaling Main Pathway0.710.73
KEGG Bacterial invasion of epithelial cells Main Pathway0.710.72
NAD ide novoi biosynthesis0.740.72
Development of Immune_Synapse0.700.71
KEGG Osteoclast differentiation Main Pathway0.720.71
Tumor Infiltration Pathway0.720.71
KEGG PPAR signaling Main Pathway0.130.10
KEGG Complement and coagulation cascades Main Pathway0.140.07
Reactome regulation of FZD by ubiquitination Main Pathway0.020.07
Biocarta induction of apoptosis through dr3 and dr4 5 death receptors Main Pathway0.130.05
reactome ABCA transporters in lipid homeostasis Main Pathway0.140.05
biocarta induction of apoptosis through dr3 and dr4 5 death receptors Pathway (apoptosis)0.120.05
reactome Intrinsic Pathway Main Pathway−0.020.03
reactome Sphingolipid de novo biosynthesis Main Pathway−0.040.00
NCI N cadherin signaling events Pathway (myoblast differentiation)−0.020.00
biocarta multi step regulation of transcription by pitx2 Main Pathway0.04−0.03
Table 2. “Top-10” of the most and the least correlated molecular pathways between RNA and protein expression data calculated for Glioblastoma Multiforme biosamples.
Table 2. “Top-10” of the most and the least correlated molecular pathways between RNA and protein expression data calculated for Glioblastoma Multiforme biosamples.
PathwayPearsonSpearman
Tumor Infiltration Pathway0.890.91
reactome temp Immunoregulatory interactions between a Lymphoid and a Nonlymphoid cell0.850.89
KEGG Legionellosis Main Pathway0.830.89
NCI BCR signaling Main Pathway0.840.88
KEGG Osteoclast differentiation Main Pathway0.830.88
FCGR3A-mediated phagocytosis0.850.88
Development of Immune Synapse0.840.87
reactome Dissolution of Fibrin Clot Main Pathway0.810.86
reactome Activation of the pre replicative complex Main Pathway0.850.85
KEGG Lysosome Main Pathway0.840.85
reactome Synthesis secretion and inactivation of Glucose dependent Insulinotropic Polypeptide GIP Main Pathway0.180.19
reactome Pre NOTCH Processing in Golgi Main Pathway0.190.18
reactome EPH ephrin mediated repulsion of cells Main Pathway0.170.17
reactome Degradation of beta catenin by the destruction complex Main Pathway0.180.16
TCA cycle0.210.16
NCI Signaling events mediated by PRL Main Pathway0.060.11
reactome Activation of the phototransduction cascade Main Pathway0.060.08
NCI N cadherin signaling events Pathway (myoblast differentiation)0.050.06
KEGG GABAergic synapse Main Pathway0.060.02
reactome regulation of FZD by ubiquitination Main Pathway−0.04−0.05
Table 3. “Top-10” of the most and the least correlated molecular pathways between RNA and protein expression data calculated for Hepatocellular Carcinoma biosamples.
Table 3. “Top-10” of the most and the least correlated molecular pathways between RNA and protein expression data calculated for Hepatocellular Carcinoma biosamples.
PathwayPearsonSpearman
Tumor Infiltration Pathway0.890.91
biocarta the co stimulatory signal during t cell activation Pathway (T cell activation)0.180.20
reactome Integrin cell surface interactions Main Pathway0.150.19
Ras Pathway Apoptosis0.160.19
IL-2 Pathway0.150.18
VEGF Pathway0.160.17
NCI Beta3 integrin cell surface interactions Main Pathway0.110.16
NCI Beta1 integrin cell surface interactions Main Pathway0.130.16
reactome Downstream TCR signaling Main Pathway0.130.16
biocarta lck and fyn tyrosine kinases in initiation of tcr activation Main Pathway0.160.15
NCI EPHA forward signaling Pathway (cell adhesion)0.180.15
reactome Inhibition of voltage gated Ca2 channels via Gbeta gamma subunits Main Pathway−0.07−0.12
reactome Hyaluronan uptake and degradation Main Pathway−0.09−0.13
NCI N cadherin signaling events Pathway (myoblast differentiation)−0.12−0.13
NCI AP 1 transcription factor network Main Pathway−0.11−0.13
Akt Pathway Regulation by GH−0.13−0.14
chondroitin sulfate biosynthesis−0.15−0.14
IGF1R Signaling Pathway Apoptosis−0.13−0.15
HGF Pathway Cell Cycle Progression−0.12−0.15
reactome Detoxification of Reactive Oxygen Species Main Pathway−0.15−0.15
biocarta mapkinase signaling Main Pathway−0.14−0.16
Table 4. “Top-10” of the most and the least correlated molecular pathways between RNA and protein expression data calculated for Lung Adenocarcinoma biosamples.
Table 4. “Top-10” of the most and the least correlated molecular pathways between RNA and protein expression data calculated for Lung Adenocarcinoma biosamples.
PathwayPearsonSpearman
reactome Acetylcholine Neurotransmitter Release Cycle Main Pathway0.880.90
Tumor Infiltration Pathway0.830.89
reactome Dopamine Neurotransmitter Release Cycle Main Pathway0.830.89
KEGG Thyroid hormone synthesis Main Pathway0.640.87
reactome Activation of the pre replicative complex Main Pathway0.860.86
reactome Activation of ATR in response to replication stress Main Pathway0.860.86
KEGG Osteoclast differentiation Main Pathway0.870.85
reactome Polymerase switching Main Pathway0.840.85
reactome Polymerase switching on the C strand of the telomere Main Pathway0.840.85
reactome Activation of gene expression by SREBF SREBP Main Pathway0.800.84
reactome RNA Polymerase II HIV Promoter Escape Main Pathway0.180.21
reactome RNA Polymerase II Promoter Escape Main Pathway0.180.21
KEGG Complement and coagulation cascades Main Pathway0.200.18
reactome Activation of the phototransduction cascade Main Pathway0.120.17
AHR Pathway Cath D expression via SP10.320.16
reactome Abortive elongation of HIV 1 transcript in the absence of Tat Main Pathway0.170.16
reactome Dual incision reaction in TC NER Main Pathway0.090.13
AHR Pathway C-myc expression via RELA0.310.12
reactome ERKs are inactivated Main Pathway0.150.10
AHR Pathway PS2 Gene expression via ESR10.260.09
Table 5. “Top-10” of the most and the least correlated molecular pathways for RNA and protein expression levels calculated for Ovarian Serous Cystadenocarcinoma biosamples.
Table 5. “Top-10” of the most and the least correlated molecular pathways for RNA and protein expression levels calculated for Ovarian Serous Cystadenocarcinoma biosamples.
PathwayPearsonSpearman
KEGG Aldosterone regulated sodium reabsorption Main Pathway0.690.90
Tumor Infiltration Pathway0.830.87
biocarta lck and fyn tyrosine kinases in initiation of tcr activation Main Pathway0.730.84
biocarta the co stimulatory signal during t cell activation Pathway (T cell activation)0.720.83
HGF Pathway Cell Cycle Progression0.800.83
TRAF Pathway Direct Antimicrobial Response and Cell-Mediated Immunity and Apoptosis of Host Cell0.770.82
reactome Interleukin 2 signaling Main Pathway0.760.82
NAD ide novoi biosynthesis0.720.81
KEGG Glycosaminoglycan biosynthesis keratan sulfate Main Pathway0.730.81
biocarta keratinocyte differentiation Main Pathway0.750.80
reactome ADP signaling through P2Y purinoceptor 12 Main Pathway0.210.16
KEGG Alcoholism Main Pathway0.130.08
reactome APC Cdc20 mediated degradation of Nek2A Main Pathway0.060.05
reactome Activation of G protein gated Potassium channels Main Pathway0.100.00
reactome Inhibition of voltage gated Ca2 channels via Gbeta gamma subunits Main Pathway0.100.00
reactome Presynaptic function of Kainate receptors Main Pathway0.100.00
reactome Prostacyclin signaling through prostacyclin receptor Main Pathway0.12−0.01
reactome ABCA transporters in lipid homeostasis Main Pathway−0.03−0.02
reactome IRAK2 mediated activation of TAK1 complex Main Pathway0.02−0.04
reactome IRAK2 mediated activation of TAK1 complex upon TLR7 8 or 9 stimulation Main Pathway0.02−0.04
Table 6. “Top-10” of the most and the least correlated molecular pathways between RNA and protein expression levels calculated for Pancreatic Ductal Adenocarcinoma biosamples.
Table 6. “Top-10” of the most and the least correlated molecular pathways between RNA and protein expression levels calculated for Pancreatic Ductal Adenocarcinoma biosamples.
PathwayPearsonSpearman
KEGG Histidine metabolism Main Pathway0.630.62
L-kynurenine degradation0.610.61
NCI Beta5 beta6 beta7 and beta8 integrin cell surface interactions Main Pathway0.590.58
Extracellular Matrix Remodeling during Adhesion0.600.57
NCI Signaling events mediated by Hepatocyte Growth Factor Receptor c Met Pathway (positive regulation of tyrosine phosphorylation of STAT protein)0.580.57
biocarta t cell receptor signaling Main Pathway0.570.56
KEGG Synthesis and degradation of ketone bodies Main Pathway0.560.56
biocarta repression of pain sensation by the transcriptional regulator dream Main Pathway0.510.55
KEGG Glycosphingolipid biosynthesis ganglio series Main Pathway0.520.54
Tumor Infiltration Pathway0.630.54
Akt Signaling Pathway NFAT degradation0.040.05
biocarta how does salmonella hijack a cell Pathway (lamellipodium assembly)0.070.05
biocarta role of pi3k subunit p85 in regulation of actin organization and cell migration Main Pathway0.080.05
KEGG Bladder cancer Main Pathway0.110.05
adenosine deoxyribonucleotides ide novoi biosynthesis0.040.03
KEGG Pancreatic cancer Main Pathway0.060.02
biocarta lissencephaly gene lis1 in neuronal migration and development Main Pathway0.080.02
HGF Pathway Regulation of Cytoskeleton Cell Polarity and Cell Motility0.040.02
KEGG Hedgehog signaling Main Pathway0.01−0.01
KEGG Circadian rhythm Main Pathway−0.11−0.06
Table 7. “Top-10” of the most and the least correlated molecular pathways between RNA and protein expression levels calculated for Uterine Corpus Endometrial Carcinoma biosamples.
Table 7. “Top-10” of the most and the least correlated molecular pathways between RNA and protein expression levels calculated for Uterine Corpus Endometrial Carcinoma biosamples.
PathwayPearsonSpearman
Tumor Infiltration Pathway0.820.77
NCI Signaling events mediated by PTP1B Main Pathway0.720.74
L-kynurenine degradation0.680.74
reactome Interleukin receptor SHC signaling Main Pathway0.720.73
NCI N cadherin signaling events Pathway (regulation of cell adhesion)0.670.73
reactome Pyrimidine catabolism Main Pathway0.700.73
reactome ISG15 antiviral mechanism Main Pathway0.790.73
NCI Aurora A signaling Pathway (protein catabolic process)0.670.72
FCGR3A-mediated phagocytosis0.650.71
ATM Pathway G2-Mitosis progression0.590.71
reactome RNA Polymerase II Promoter Escape Main Pathway0.170.11
reactome Abortive elongation of HIV 1 transcript in the absence of Tat Main Pathway0.140.11
biocarta role of erbb2 in signal transduction and oncology Main Pathway0.120.10
reactome IRAK2 mediated activation of TAK1 complex Main Pathway0.210.09
reactome IRAK2 mediated activation of TAK1 complex upon TLR7 8 or 9 stimulation Main Pathway0.210.09
reactome RNA Pol II CTD phosphorylation and interaction with CE Main Pathway0.180.09
reactome Synthesis secretion and inactivation of Glucagon like Peptide 1 GLP 1 Main Pathway0.100.08
reactome Synthesis secretion and inactivation of Glucose dependent Insulinotropic Polypeptide GIP Main Pathway0.100.08
reactome Dual incision reaction in TC NER Main Pathway0.140.07
reactome Synthesis secretion and deacylation of Ghrelin Main Pathway−0.06−0.06
Publisher’s Note: MDPI stays neutral with regard to jurisdictional claims in published maps and institutional affiliations.

Share and Cite

MDPI and ACS Style

Raevskiy, M.; Sorokin, M.; Zakharova, G.; Tkachev, V.; Borisov, N.; Kuzmin, D.; Kremenchutckaya, K.; Gudkov, A.; Kamashev, D.; Buzdin, A. Better Agreement of Human Transcriptomic and Proteomic Cancer Expression Data at the Molecular Pathway Activation Level. Int. J. Mol. Sci. 2022, 23, 2611. https://doi.org/10.3390/ijms23052611

AMA Style

Raevskiy M, Sorokin M, Zakharova G, Tkachev V, Borisov N, Kuzmin D, Kremenchutckaya K, Gudkov A, Kamashev D, Buzdin A. Better Agreement of Human Transcriptomic and Proteomic Cancer Expression Data at the Molecular Pathway Activation Level. International Journal of Molecular Sciences. 2022; 23(5):2611. https://doi.org/10.3390/ijms23052611

Chicago/Turabian Style

Raevskiy, Mikhail, Maxim Sorokin, Galina Zakharova, Victor Tkachev, Nicolas Borisov, Denis Kuzmin, Kristina Kremenchutckaya, Alexander Gudkov, Dmitry Kamashev, and Anton Buzdin. 2022. "Better Agreement of Human Transcriptomic and Proteomic Cancer Expression Data at the Molecular Pathway Activation Level" International Journal of Molecular Sciences 23, no. 5: 2611. https://doi.org/10.3390/ijms23052611

APA Style

Raevskiy, M., Sorokin, M., Zakharova, G., Tkachev, V., Borisov, N., Kuzmin, D., Kremenchutckaya, K., Gudkov, A., Kamashev, D., & Buzdin, A. (2022). Better Agreement of Human Transcriptomic and Proteomic Cancer Expression Data at the Molecular Pathway Activation Level. International Journal of Molecular Sciences, 23(5), 2611. https://doi.org/10.3390/ijms23052611

Note that from the first issue of 2016, this journal uses article numbers instead of page numbers. See further details here.

Article Metrics

Back to TopTop