Effects of Nitrogen Fertilizer on Quality Characteristics of Wheat with the Absence of Different Individual High-Molecular-Weight Glutenin Subunits (HMW-GSs)
Abstract
:1. Introduction
2. Results
2.1. Analysis of Grain Yield of Wheat Lines under Different N Treatments
2.2. Grain Quality Traits of Wheat Lines under Different N Treatments
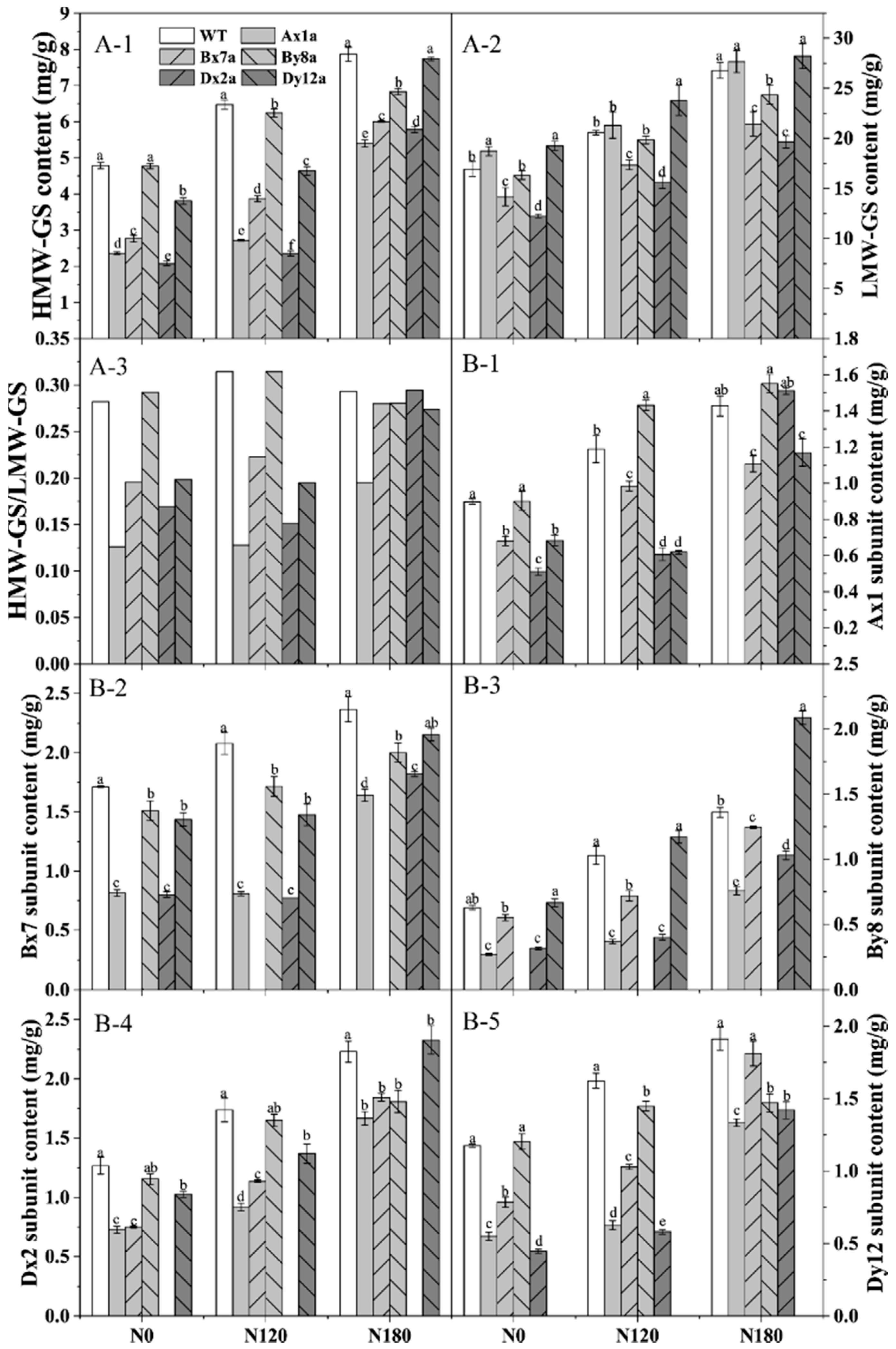
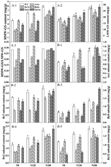
2.3. HMW-GS and LMW-GS Contents of Wheat Lines under Different N Treatments
2.4. Free Sulfhydryl (SH), Glutenin Macropolymer (GMP) Content and Dynamic Rheological Properties of GMP Gels of Wheat Lines under Different N Treatments
2.5. Dynamic Changes in Total Grain Protein of Wheat Lines during Grain Development under Different N Treatments
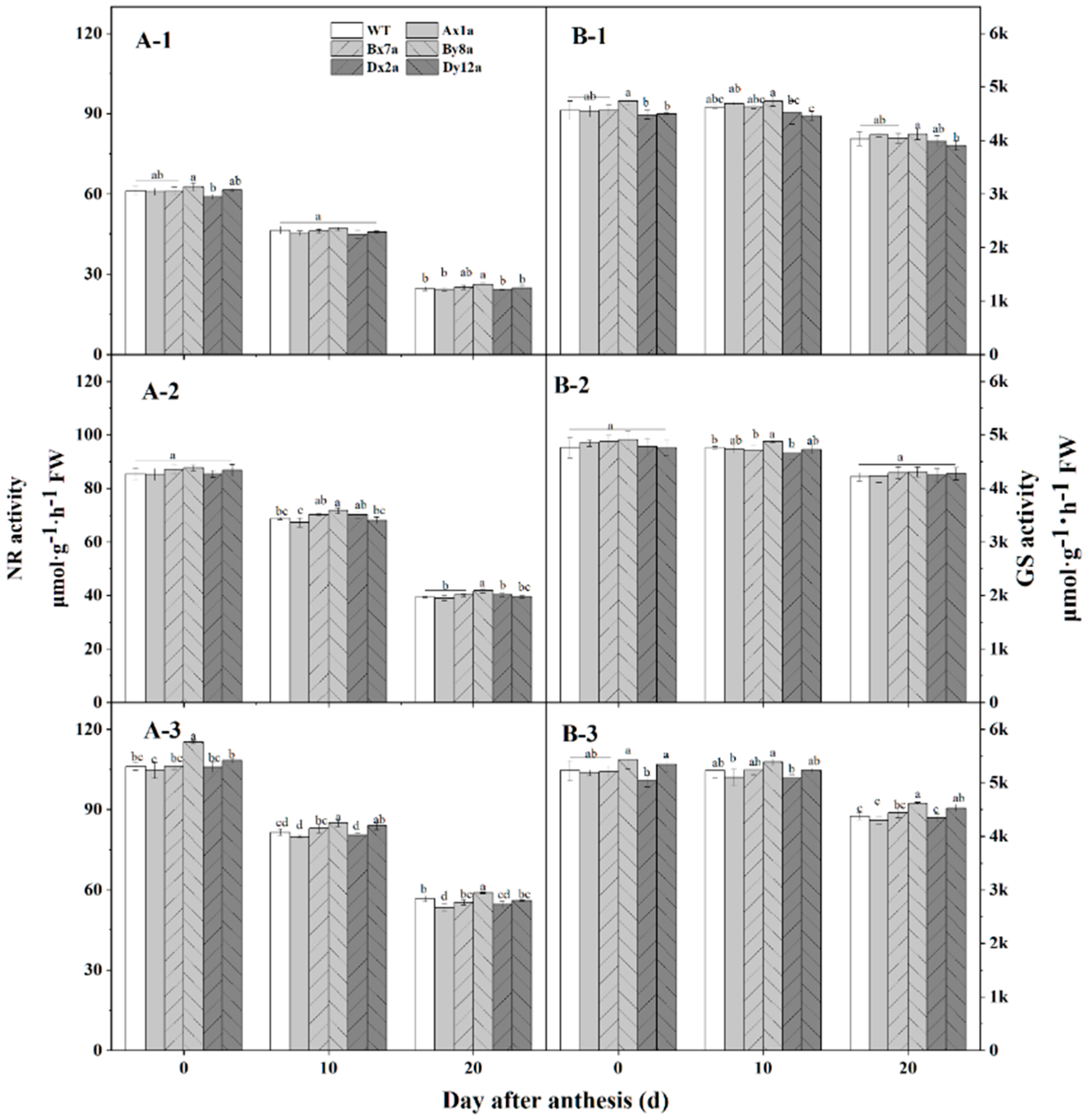
2.6. Changes in Nitrate Reductase (NR) and Glutamine Synthetase (GS) Activities in Flag Leaves of Wheat Lines during Grain Development under Different N Treatments
2.7. Relative Expression of Genes Related to HMW-GS of Wheat Lines under Different N Treatments
3. Discussion
4. Materials and Methods
4.1. Experimental Design
4.2. Determination of Yield and Yield Components
4.3. Determination of Grain Quality Traits
4.4. Determination of Activities of Enzymes in Flag Leaves
4.5. Determination of Gene Expression
4.6. Statistical Analysis
5. Conclusions
Supplementary Materials
Author Contributions
Funding
Institutional Review Board Statement
Informed Consent Statement
Data Availability Statement
Acknowledgments
Conflicts of Interest
References
- Shewry, P.R. Wheat. J. Exp. Bot. 2009, 60, 1537–1553. [Google Scholar] [CrossRef] [PubMed]
- Delcour, J.; Hoseney, R.C. Proteins of cereals. In Principles of Cereal Science and Technology; AACC International: St. Paul, MN, USA, 2010; Chapter 3. [Google Scholar]
- Branlard, G.; Dardevet, M. Diversity of grain protein and bread wheat quality. II. Correlation between high molecular weight subunits of glutenin and flour quality characteristics. J. Cereal Sci. 1985, 3, 345–354. [Google Scholar] [CrossRef]
- Payne, P.I.; Nightingale, M.A.; Krattiger, A.F.; Holt, L.M. The relationship between HMW glutenin subunit composition and the bread-making quality of British-grown wheat varieties. J. Sci. Food Agric. 1987, 40, 51–65. [Google Scholar] [CrossRef]
- Song, L.; Li, L.; Zhao, L.; Liu, Z.; Xie, T.; Li, X. Absence of Dx2 at Glu-D1 Locus Weakens Gluten Quality Potentially Regulated by Expression of Nitrogen Metabolism Enzymes and Glutenin-Related Genes in Wheat. Int. J. Mol. Sci. 2020, 21, 1383. [Google Scholar] [CrossRef] [PubMed] [Green Version]
- Liu, T.; Gao, X.; Li, L.; Du, D.; Cheng, X.; Zhao, Y.; Liu, Y.; Li, X. Effects of HMW-GS at Glu-B1 locus on the polymerization of glutenin during grain development and on the secondary and micro-structures of gluten in wheat (Triticum aestivum L.). J. Cereal Sci. 2016, 72, 101–107. [Google Scholar] [CrossRef]
- Zhang, X.; Zhang, B.-Q.; Wu, H.-Y.; Lu, C.-B.; Lü, G.-F.; Liu, D.-T.; Li, M.; Jiang, W.; Song, G.-H.; Gao, D.-R. Effect of high-molecular-weight glutenin subunit deletion on soft wheat quality properties and sugar-snap cookie quality estimated through near-isogenic lines. J. Integr. Agric. 2018, 17, 1066–1073. [Google Scholar] [CrossRef]
- Caputo, C.; Criado, M.V.; Roberts, I.N.; Gelso, M.A.; Barneix, A.J. Regulation of glutamine synthetase 1 and amino acids transport in the phloem of young wheat plants. Plant Physiol. Biochem. 2009, 47, 335–342. [Google Scholar] [CrossRef]
- Plessis, A.; Ravel, C.; Bordes, J.; Balfourier, F.; Martre, P. Association study of wheat grain protein composition reveals that gliadin and glutenin composition are trans-regulated by different chromosome regions. J. Exp. Bot. 2013, 64, 3627–3644. [Google Scholar] [CrossRef] [Green Version]
- Otteson, B.N.; Mergoum, M.; Ransom, J.K. Seeding Rate and Nitrogen Management on Milling and Baking Quality of Hard Red Spring Wheat Genotypes. Crop Sci. 2008, 48, 749–755. [Google Scholar] [CrossRef]
- Zheng, B.; Zhang, X.; Wang, Q.; Li, W.; Huang, M.; Zhou, Q.; Cai, J.; Wang, X.; Cao, W.; Dai, T.; et al. Increasing plant density improves grain yield, protein quality and nitrogen agronomic efficiency of soft wheat cultivars with reduced nitrogen rate. Field Crops Res. 2021, 267, 108145. [Google Scholar] [CrossRef]
- García-Molina, M.D.; Barro, F. Characterization of Changes in Gluten Proteins in Low-Gliadin Transgenic Wheat Lines in Response to Application of Different Nitrogen Regimes. Front. Plant Sci. 2017, 8, 257. [Google Scholar] [CrossRef] [PubMed] [Green Version]
- Ma, Q.; Wang, M.; Zheng, G.; Yao, Y.; Tao, R.; Zhu, M.; Ding, J.; Li, C.; Guo, W.; Zhu, X. Twice-split application of controlled-release nitrogen fertilizer met the nitrogen demand of winter wheat. Field Crops Res. 2021, 267, 108163. [Google Scholar] [CrossRef]
- Zhong, Y.; Wang, W.; Huang, X.; Liu, M.; Hebelstrup, K.H.; Yang, D.; Cai, J.; Wang, X.; Zhou, Q.; Cao, W.; et al. Nitrogen topdressing timing modifies the gluten quality and grain hardness related protein levels as revealed by iTRAQ. Food Chem. 2019, 277, 135–144. [Google Scholar] [CrossRef] [PubMed]
- Bouacha, O.D.; Rhazi, L.; Aussenac, T.; Rezgui, S.; Nouaigui, S. Molecular characterization of storage proteins for selected durum wheat varieties grown in different environments. J. Cereal Sci. 2015, 61, 97–104. [Google Scholar] [CrossRef]
- Shewry, P.R.; Halford, N.G.; Lafiandra, D. Genetics of Wheat Gluten Proteins. Adv. Genet. 2003, 49, 111–184. [Google Scholar] [CrossRef]
- Li, X.; Liu, T.; Song, L.; Zhang, H.; Li, L.; Gao, X. Influence of high-molecular-weight glutenin subunit composition at Glu-A1 and Glu-D1 loci on secondary and micro structures of gluten in wheat (Triticum aestivum L.). Food Chem. 2016, 213, 728–734. [Google Scholar] [CrossRef] [PubMed]
- Zhu, J.; Li, L.; Zhao, L.; Song, L.; Li, X. Effects of freeze–thaw cycles on the structural and thermal properties of wheat gluten with variations in the high molecular weight glutenin subunit at the Glu-B1 locus. J. Cereal Sci. 2019, 87, 266–272. [Google Scholar] [CrossRef]
- Gao, X.; Liu, T.; Ding, M.; Wang, J.; Li, C.; Wang, Z.; Li, X. Effects of HMW-GS Ax1 or Dx2 absence on the glutenin polymerization and gluten micro structure of wheat (Triticum aestivum L.). Food Chem. 2018, 240, 626–633. [Google Scholar] [CrossRef]
- Wieser, H.; Zimmermann, G. Importance of amounts and proportions of high molecular weight subunits of glutenin for wheat quality. Eur. Food Res. Technol. 2000, 210, 324–330. [Google Scholar] [CrossRef]
- Lamacchia, C.; Baiano, A.; Lamparelli, S.; Terracone, C.; Trani, A.; Di Luccia, A. Polymeric protein formation during pasta-making with barley and semolina mixtures, and prediction of its effect on cooking behaviour and acceptability. Food Chem. 2011, 129, 319–328. [Google Scholar] [CrossRef]
- Luo, C.; Branlard, G.; Griffin, W.; McNeil, D. The Effect of Nitrogen and Sulphur Fertilisation and their Interaction with Genotype on Wheat Glutenins and Quality Parameters. J. Cereal Sci. 2000, 31, 185–194. [Google Scholar] [CrossRef]
- Yang, N.; Luan, J.; Ashton, J.; Gorczyca, E.; Kasapis, S. Effect of calcium chloride on the structure and invitro hydrolysis of heat induced whey protein and wheat starch composite gels. Food Hydrocolloids 2014, 42, 260–268. [Google Scholar] [CrossRef]
- Delcour, J.A.; Joye, I.J.; Pareyt, B.; Wilderjans, E.; Brijs, K.; Lagrain, B. Wheat Gluten Functionality as a Quality Determinant in Cereal-Based Food Products. Annu. Rev. Food Sci. Technol. 2012, 3, 469–492. [Google Scholar] [CrossRef] [PubMed]
- Gianibelli, M.C.; Larroque, O.R.; MacRitchie, F.; Wrigley, C.W. Biochemical, Genetic, and Molecular Characterization of Wheat Glutenin and Its Component Subunits. Cereal Chem. 2001, 78, 635–646. [Google Scholar] [CrossRef]
- Xue, C.; Erley, G.S.A.; Rücker, S.; Koehler, P.; Obenauf, U.; Mühling, K.H. Late nitrogen application increased protein concentration but not baking quality of wheat. J. Plant Nutr. Soil Sci. 2016, 179, 591–601. [Google Scholar] [CrossRef]
- Barneix, A.J. Physiology and biochemistry of source-regulated protein accumulation in the wheat grain. J. Plant Physiol. 2007, 164, 581–590. [Google Scholar] [CrossRef]
- Habash, D.Z.; Bernard, S.; Schondelmaier, J.; Weyen, J.; Quarrie, S.A. The genetics of nitrogen use in hexaploid wheat: N utilisation, development and yield. Theor. Appl. Genet. 2006, 114, 403–419. [Google Scholar] [CrossRef] [PubMed]
- Li, X.-G.; Liu, H.-Y.; Jin, Z.-X.; Liu, H.-L.; Huang, X.; Xu, M.-L.; Zhang, F.-Z. Changes in Activities of Key Enzymes for Starch Synthesis and Glutamine Synthetase in Grains of Progenies from a Rice Cross during Grain Filling. Rice Sci. 2010, 17, 243–246. [Google Scholar] [CrossRef]
- AACC. Approved Methods of the American Association of Cereal Chemists; AACCI: St. Paul, MN, USA, 2000. [Google Scholar]
- Yue, H.; Jiang, D.; Dai, T.; Qin, X.; Jing, Q.; Cao, W. Effect of nitrogen application rate on content of glutenin macropolymer and high molecular weight glutenin subunits in grains of two winter wheat cultivars. J. Cereal Sci. 2007, 45, 248–256. [Google Scholar] [CrossRef]
- Zhong, Y.; Yang, M.; Cai, J.; Wang, X.; Zhou, Q.; Cao, W.; Dai, T.; Jiang, D. Nitrogen topdressing timing influences the spatial distribution patterns of protein components and quality traits of flours from different pearling fractions of wheat (Triticum aestivum L.) grains. Field Crops Res. 2018, 216, 120–128. [Google Scholar] [CrossRef]
- Lambrecht, M.A.; Rombouts, I.; De Ketelaere, B.; Delcour, J.A. Prediction of heat-induced polymerization of different globular food proteins in mixtures with wheat gluten. Food Chem. 2017, 221, 1158–1167. [Google Scholar] [CrossRef] [PubMed]
- Weegels, P.; Verhoek, J.; De Groot, A.; Hamer, R. Effects on Gluten of Heating at Different Moisture Contents. I. Changes in Functional Properties. J. Cereal Sci. 1994, 19, 31–38. [Google Scholar] [CrossRef]
- Wang, X.-Y.; Guo, X.-N.; Zhu, K.-X. Polymerization of wheat gluten and the changes of glutenin macropolymer (GMP) during the production of Chinese steamed bread. Food Chem. 2016, 201, 275–283. [Google Scholar] [CrossRef] [PubMed]
- Don, C.; Mann, G.; Bekes, F.; Hamer, R. HMW-GS affect the properties of glutenin particles in GMP and thus flour quality. J. Cereal Sci. 2006, 44, 127–136. [Google Scholar] [CrossRef]
- Plett, D.; Holtham, L.; Baumann, U.; Kalashyan, E.; Francis, K.; Enju, A.; Toubia, J.; Roessner, U.; Bacic, A.; Rafalski, A.; et al. Nitrogen assimilation system in maize is regulated by developmental and tissue-specific mechanisms. Plant Mol. Biol. 2016, 92, 293–312. [Google Scholar] [CrossRef] [PubMed]
- Lillo, C. Diurnal variations of nitrite reductase, glutamine synthetase, glutamate synthase, alanine aminotransferase and aspartate aminotransferase in barley leaves. Physiol. Plant. 1984, 61, 214–218. [Google Scholar] [CrossRef]
- Paolacci, A.R.; Tanzarella, O.A.; Porceddu, E.; Ciaffi, M. Identification and validation of reference genes for quantitative RT-PCR normalization in wheat. BMC Mol. Biol. 2009, 10, 11. [Google Scholar] [CrossRef] [Green Version]
- Livak, K.J.; Schmittgen, T.D. Analysis of Relative Gene Expression Data using Real-Time Quantitative PCR. Methods 2001, 25, 402–408. [Google Scholar] [CrossRef]






| Treatment | Wheat Lines | Spikes per Pot | Kernels per Spike | 1000-Kernel Weight (g) | Grain Yield per Pot (g) |
|---|---|---|---|---|---|
| N0 | WT | 11.67 ± 0.57 a | 49.67 ± 0.92 a | 37.19 ± 0.42 b | 16.64 ± 1.41 a |
| Ax1a | 11.67 ± 0.57 a | 41.50 ± 0.41 c | 35.58 ± 0.91 c | 13.62 ± 0.39 c | |
| Bx7a | 8.33 ± 0.57 c | 47.77 ± 1.34 b | 34.37 ± 0.54 d | 13.62 ± 0.98 c | |
| By8a | 8.67 ± 0.57 c | 41.50 ± 1.14 c | 40.62 ± 0.4 2 a | 12.00 ± 0.69 d | |
| Dx2a | 10.67 ± 0.57 b | 46.30 ± 0.32 b | 36.48 ± 0.38 bc | 15.89 ± 0.41 ab | |
| Dy12a | 12.00 ± 1.00 a | 40.93 ± 0.04 c | 36.92 ± 0.16 b | 15.28 ± 0.19 b | |
| N120 | WT | 17.67 ± 0.57 a | 54.43 ± 0.73 a | 39.36 ± 1.23 a | 24.80 ± 0.06 a |
| Ax1a | 17.00 ± 0.00 ab | 47.20 ± 0.16 c | 38.56 ± 0.98 ab | 20.28 ± 0.33 c | |
| Bx7a | 13.67 ± 0.57 c | 50.20 ± 0.16 b | 35.31 ± 0.52 c | 20.39 ± 1.46 c | |
| By8a | 12.33 ± 0.57 d | 49.00 ± 0.48 b | 39.71 ± 1.31 a | 16.94 ± 0.11 d | |
| Dx2a | 16.33 ± 0.57 b | 47.13 ± 1.45 c | 37.60 ± 0.35 b | 23.13 ± 0.71 b | |
| Dy12a | 16.67 ± 0.57 ab | 47.00 ± 0.29 c | 38.5 ± 0.79 ab | 24.19 ± 0.12 ab | |
| N180 | WT | 18.33 ± 1.15 a | 54.07 ± 0.53 a | 39.26 ± 0.21 ab | 31.85 ± 0.77 a |
| Ax1a | 18.33 ± 0.57 a | 48.40 ± 0.81 c | 34.04 ± 0.83 c | 21.35 ± 0.67 d | |
| Bx7a | 17.00 ± 1.00 a | 47.10 ± 0.81 cd | 37.87 ± 1.06 b | 23.58 ± 0.87 c | |
| By8a | 13.33 ± 0.57 b | 45.80 ± 0.41 d | 39.53 ± 1.24 a | 19.92 ± 0.32 d | |
| Dx2a | 17.00 ± 0.00 a | 49.80 ± 0.16 b | 32.28 ± 0.83 d | 25.59 ± 1.58 b | |
| Dy12a | 17.67 ± 0.57 a | 46.03 ± 0.74 d | 39.16 ± 0.03 ab | 26.64 ± 0.34 b | |
| F-Value | N | 495.378 ** | 132.842 ** | 14.454 ** | 907.557 ** |
| C | 67.058 ** | 95.348 ** | 46.778 ** | 138.196 ** | |
| N×C | 4.14 ** | 10.88 ** | 15.561 ** | 12.274 ** |
| Treatment | Wheat Lines | Free SH Content (μmol/g) | GMP Properties | ||||
|---|---|---|---|---|---|---|---|
| GMP Content (%) | Wet GMP-Gel Content (g/g) | G′ (Pa) | G″ (Pa) | δ (°) | |||
| N0 | WT | 0.88 ± 0.01 a | 2.31 ± 0.18 a | 0.98 ± 0.03 ab | 2.23 ± 0.31 bc | 0.97 ± 0.06 c | 23.85 ± 3.39 b |
| Ax1a | 0.83 ± 0.02 b | 1.96 ± 0.16 b | 0.9 ± 0.02 b | 2.01 ± 0.56 c | 1.24 ± 0.13 b | 32.69 ± 5.68 a | |
| Bx7a | 0.82 ± 0.02 b | 1.98 ± 0.13 b | 0.94 ± 0.02 ab | 2.09 ± 0.04 bc | 1.01 ± 0.08 c | 25.53 ± 1.54 b | |
| By8a | 0.85 ± 0.01 ab | 2.23 ± 0.11 a | 1.08 ± 0.08 a | 2.61 ± 0.44 b | 1.23 ± 0.14 b | 25.59 ± 4.53 b | |
| Dx2a | 0.78 ± 0.01 c | 2.09 ± 0.20 ab | 0.95 ± 0.18 ab | 1.73 ± 0.11 c | 0.78 ± 0.01 d | 24.33 ± 1.55 b | |
| Dy12a | 0.82 ± 0.01 b | 2.29 ± 0.08 a | 0.95 ± 0.03 ab | 3.68 ± 0.07 a | 1.57 ± 0.08 a | 23.21 ± 0.89 b | |
| N120 | WT | 1.20 ± 0.01 a | 3.01 ± 0.20 a | 1.17 ± 0.11 ab | 4.13 ± 0.11 bc | 1.29 ± 0.11 d | 17.35 ± 1.04 c |
| Ax1a | 1.20 ± 0.02 a | 2.24 ± 0.21 c | 0.97 ± 0.09 c | 3.69 ± 0.26 d | 1.53 ± 0.03 bc | 22.68 ± 1.15 a | |
| Bx7a | 1.20 ± 0.04 a | 2.29 ± 0.19 c | 1.01 ± 0.02 c | 3.87 ± 0.31 cd | 1.38 ± 0.17 cd | 19.61 ± 0.85 b | |
| By8a | 1.22 ± 0.02 a | 2.98 ± 0.14 a | 1.3 ± 0.11 a | 4.37 ± 0.13 b | 1.64 ± 0.11 b | 20.59 ± 0.83 b | |
| Dx2a | 1.21 ± 0.02 a | 2.43 ± 0.08 bc | 1.02 ± 0.02 bc | 2.81 ± 0.19 e | 1.05 ± 0.08 e | 20.51 ± 0.64 b | |
| Dy12a | 1.20 ± 0.02 a | 2.65 ± 0.15 b | 1.11 ± 0.04 bc | 6.87 ± 0.42 a | 2.12 ± 0.19 a | 17.23 ± 2.31 c | |
| N180 | WT | 1.45 ± 0.03 a | 3.15 ± 0.04 a | 1.49 ± 0.16 a | 5.16 ± 0.49 bc | 1.32 ± 0.07 c | 14.41 ± 0.72 c |
| Ax1a | 1.35 ± 0.01 c | 2.35 ± 0.18 c | 1.23 ± 0.11 b | 4.64 ± 0.36 d | 1.63 ± 0.33 b | 19.27 ± 3.18 a | |
| Bx7a | 1.38 ± 0.05 bc | 2.45 ± 0.13 bc | 1.35 ± 0.07 ab | 4.83 ± 1.03 cd | 1.41 ± 0.39 c | 16.1 ± 2.53 b | |
| By8a | 1.41 ± 0.02 ab | 3.14 ± 0.05 a | 1.42 ± 0.08 ab | 5.44 ± 0.22 b | 1.71 ± 0.07 b | 17.41 ± 0.51 b | |
| Dx2a | 1.37 ± 0.02 bc | 2.60 ± 0.08 bc | 1.37 ± 0.07 ab | 3.56 ± 0.16 e | 1.08 ± 0.06 d | 16.92 ± 0.62 b | |
| Dy12a | 1.42 ± 0.03 ab | 2.70 ± 0.20 b | 1.38 ± 0.09 ab | 8.57 ± 0.95 a | 2.19 ± 0.06 a | 14.46 ± 1.27 c | |
Publisher’s Note: MDPI stays neutral with regard to jurisdictional claims in published maps and institutional affiliations. |
© 2022 by the authors. Licensee MDPI, Basel, Switzerland. This article is an open access article distributed under the terms and conditions of the Creative Commons Attribution (CC BY) license (https://creativecommons.org/licenses/by/4.0/).
Share and Cite
Yang, T.; Zhou, Q.; Wang, Q.; Wang, X.; Cai, J.; Huang, M.; Jiang, D. Effects of Nitrogen Fertilizer on Quality Characteristics of Wheat with the Absence of Different Individual High-Molecular-Weight Glutenin Subunits (HMW-GSs). Int. J. Mol. Sci. 2022, 23, 2178. https://doi.org/10.3390/ijms23042178
Yang T, Zhou Q, Wang Q, Wang X, Cai J, Huang M, Jiang D. Effects of Nitrogen Fertilizer on Quality Characteristics of Wheat with the Absence of Different Individual High-Molecular-Weight Glutenin Subunits (HMW-GSs). International Journal of Molecular Sciences. 2022; 23(4):2178. https://doi.org/10.3390/ijms23042178
Chicago/Turabian StyleYang, Tao, Qin Zhou, Qi Wang, Xiao Wang, Jian Cai, Mei Huang, and Dong Jiang. 2022. "Effects of Nitrogen Fertilizer on Quality Characteristics of Wheat with the Absence of Different Individual High-Molecular-Weight Glutenin Subunits (HMW-GSs)" International Journal of Molecular Sciences 23, no. 4: 2178. https://doi.org/10.3390/ijms23042178
APA StyleYang, T., Zhou, Q., Wang, Q., Wang, X., Cai, J., Huang, M., & Jiang, D. (2022). Effects of Nitrogen Fertilizer on Quality Characteristics of Wheat with the Absence of Different Individual High-Molecular-Weight Glutenin Subunits (HMW-GSs). International Journal of Molecular Sciences, 23(4), 2178. https://doi.org/10.3390/ijms23042178

