Proteomic and Transcriptomic Responses Enable Clams to Correct the pH of Calcifying Fluids and Sustain Biomineralization in Acidified Environments
Abstract
1. Introduction
2. Results
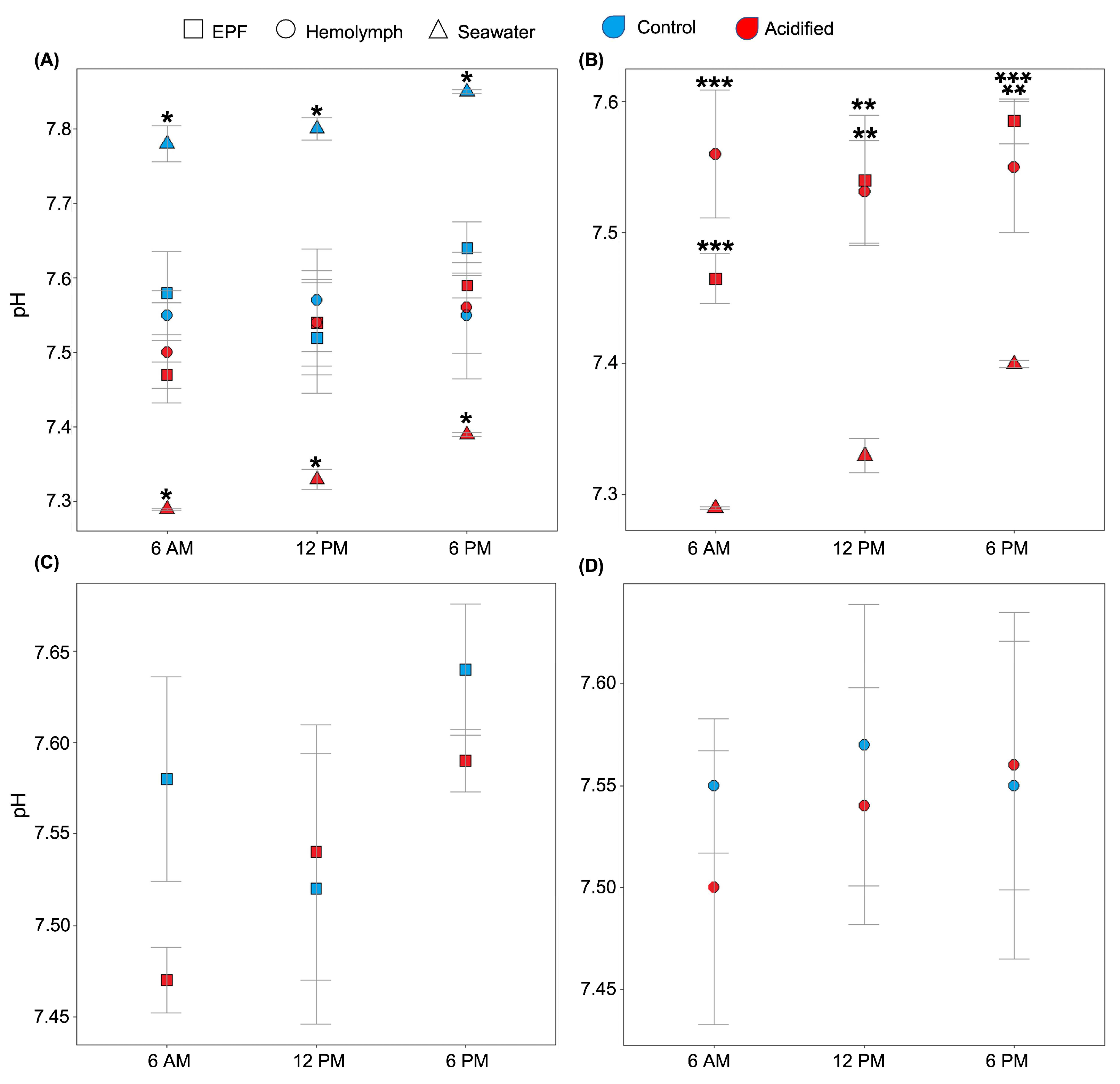
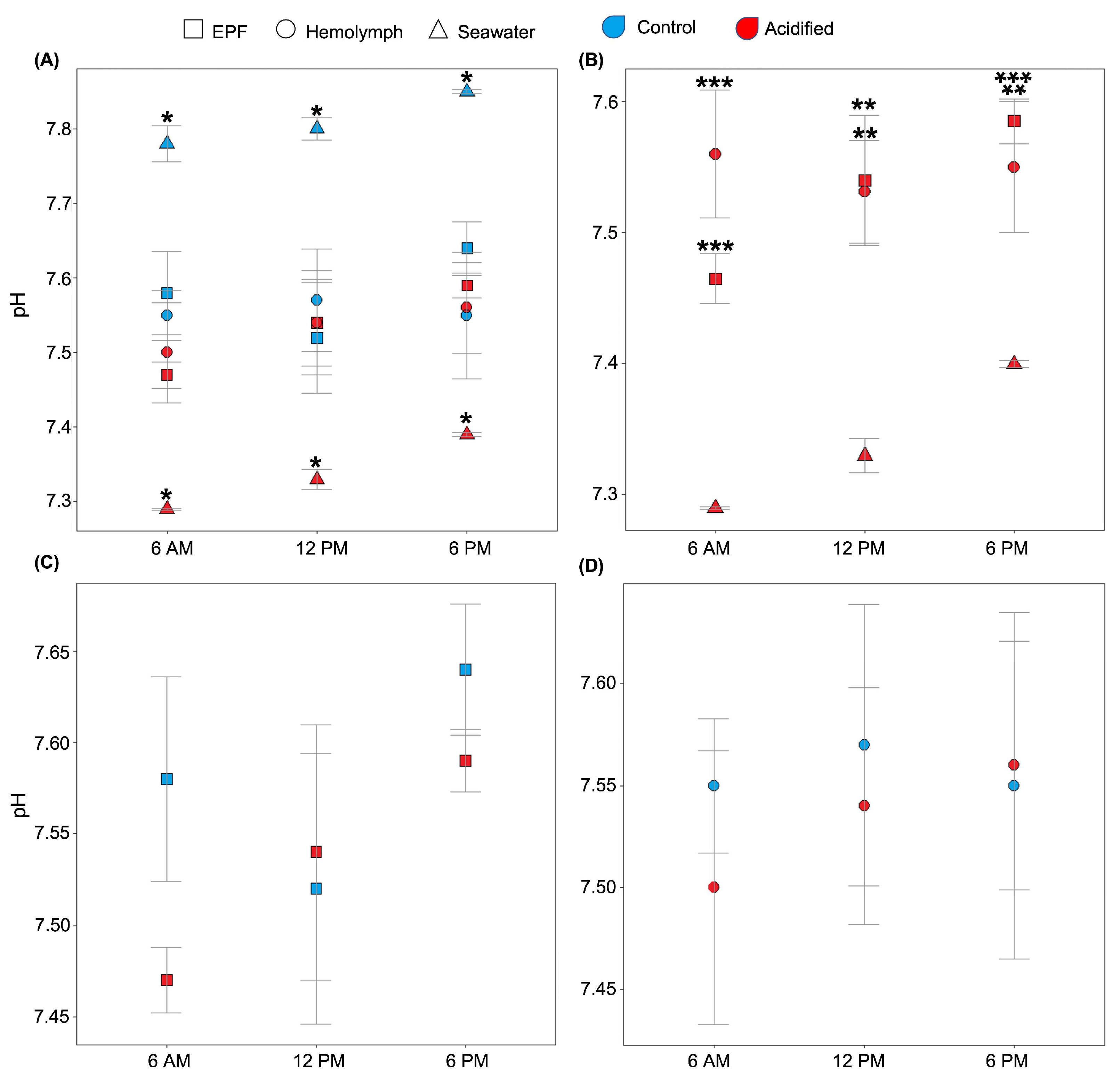
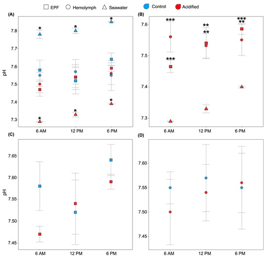
2.1. In Vivo Extracellular pH (pHe)
2.2. Hemocyte Functional Assays
2.3. Histopathology and qPCR
2.4. RNASeq
2.4.1. Differential Expression Analysis
2.4.2. WGCNA
2.5. Proteomics
3. Discussion
3.1. Clams Were Able to Maintain pHe Despite the pCO2 of the Seawater
3.2. Intracellular pH and Calcium Varied with Differing pCO2
3.3. Effect of OA on Cellular Immune Functions
3.4. Gene Expression Revealed Upregulated and Downregulated Pathways
3.5. Clustering Analysis Associated with Change in pHi
3.6. Protein Expression Revealed Upregulated and Downregulated Pathways
3.7. Lack of Enrichment of Functional Groups
4. Materials and Methods
4.1. Animals
4.2. Seawater Chemistry
4.3. In Vivo Measurement of Extracellular pH (pHe)
4.4. EPF and Hemolymph Collection
4.5. Histology and qPCR
4.6. Functional Hemocyte Assays
4.7. Statistical Analyses
4.8. RNA Extraction, Library Preparation, Sequencing, and Analysis
4.9. Proteomics on Cell-Free EPF and Plasma
5. Conclusions
Supplementary Materials
Author Contributions
Funding
Institutional Review Board Statement
Informed Consent Statement
Data Availability Statement
Acknowledgments
Conflicts of Interest
References
- Doney, S.C.; Fabry, V.J.; Feely, R.A.; Kleypas, J.A. Ocean acidification: The other CO2 problem. Annu. Rev. Mar. Sci. 2009, 1, 169–192. [Google Scholar] [CrossRef]
- Feely, R.A.; Doney, S.C.; Cooley, S.R. Ocean acidification: Present conditions and future changes in a high-CO2 world. Oceanography 2009, 22, 36–47. [Google Scholar] [CrossRef]
- Wallace, R.B.; Baumann, H.; Grear, J.S.; Aller, R.C.; Gobler, C.J. Coastal ocean acidification: The other eutrophication problem. Estuar. Coast. Shelf Sci. 2014, 148, 1–13. [Google Scholar] [CrossRef]
- Guinotte, J.M.; Fabry, V.J. Ocean acidification and its potential effects on marine ecosystems. Ann. N. Y. Acad. Sci. 2008, 1134, 320–342. [Google Scholar] [CrossRef]
- Welladsen, H.M.; Southgate, P.C.; Heimann, K. The effects of exposure to near-future levels of ocean acidification on shell characteristics of Pinctada fucata (Bivalvia: Pteriidae). Molluscan Res. 2010, 30, 125. [Google Scholar]
- Feely, R.A.; Alin, S.R.; Carter, B.; Bednaršek, N.; Hales, B.; Chan, F.; Hill, T.M.; Gaylord, B.; Sanford, E.; Byrne, R.H.; et al. Chemical and biological impacts of ocean acidification along the west coast of North America. Estuar. Coast. Shelf Sci. 2016, 183, 260–270. [Google Scholar] [CrossRef]
- National Marine Fisheries Service Office of Science and Technology. Fisheries of the United States; National Marine Fisheries Service Office of Science and Technology, US Department of Commerce: Silver Spring, MD, USA, 2018; Volume 93. [Google Scholar]
- Cerrato, R.; Caron, D.; Lonsdale, D.; Rose, J.; Schaffner, R. Effect of the northern quahog Mercenaria mercenaria on the development of blooms of the brown tide alga Aureococcus anophagefferens. Mar. Ecol. Prog. 2004, 281, 93–108. [Google Scholar] [CrossRef][Green Version]
- Kroeker, K.J.; Kordas, R.L.; Crim, R.N.; Singh, G.G. Meta-analysis reveals negative yet variable effects of ocean acidification on marine organisms. Ecol. Lett. 2010, 13, 1419–1434. [Google Scholar] [CrossRef]
- Hall-Spencer, J.M.; Thorndyke, M.; Dupont, S. Impact of ocean acidification on marine organisms—Unifying principles and new paradigms. Water 2015, 7, 5592–5598. [Google Scholar] [CrossRef]
- Baumann, H.; Wallace, R.B.; Tagliaferri, T.; Gobler, C.J. Large natural pH, CO2 and O2 fluctuations in a temperate tidal salt marsh on diel, seasonal, and interannual time scales. Estuaries Coasts 2015, 38, 220–231. [Google Scholar] [CrossRef]
- Crenshaw, M.A. The inorganic composition of molluscan extrapallial fluid. Biol. Bull. 1972, 143, 506–512. [Google Scholar] [CrossRef] [PubMed]
- Ramesh, K.; Hu, M.Y.; Thomsen, J.; Bleich, M.; Melzner, F. Mussel larvae modify calcifying fluid carbonate chemistry to promote calcification. Nat. Comm. 2017, 8, 1709. [Google Scholar] [CrossRef] [PubMed]
- Wang, X.; Wang, M.; Jia, Z.; Wang, H.; Jiang, S.; Chen, H.; Wang, L.; Song, L. Ocean acidification stimulates alkali signal pathway: A bicarbonate sensing soluble adenylyl cyclase from oyster Crassostrea gigas mediates physiological changes induced by CO2 exposure. Aquat. Toxicol. 2016, 181, 124–135. [Google Scholar] [CrossRef] [PubMed]
- Wang, X.; Wang, M.; Jia, Z.; Qiu, L.; Wang, L.; Zhang, A.; Song, L. A carbonic anhydrase serves as an important acid-base regulator in pacific oyster Crassostrea gigas exposed to elevated CO2: Implication for physiological responses of mollusk to ocean acidification. Mar. Biotechnol. 2017, 19, 22–35. [Google Scholar] [CrossRef] [PubMed]
- Michaelidis, B.; Ouzounis, C.; Paleras, A.; Pörtner, H.O. Effects of long-term moderate hypercapnia on acid-base balance and growth rate in marine mussels Mytilus galloprovincialis. Mar. Ecol. Prog. Ser. 2005, 293, 109–118. [Google Scholar] [CrossRef]
- Auzoux-Bordenave, S.; Chevret, S.; Badou, A.; Martin, S.; Di Giglio, S.; Dubois, P. Acid–base balance in the hæmolymph of European abalone (Haliotis tuberculata) exposed to CO2-induced ocean acidification. Comp. Biochem. Physiol. 2021, 259, 110996. [Google Scholar] [CrossRef]
- Downey-Wall, A.M.; Cameron, L.P.; Ford, B.M.; McNally, E.M.; Venkataraman, Y.R.; Roberts, S.B.; Ries, J.B.; Lotterhos, K.E. Ocean acidification induces subtle shifts in gene expression and DNA methylation in mantle tissue of the Eastern oyster (Crassostrea virginica). Front. Mar. Sci. 2020, 7, 566419. [Google Scholar] [CrossRef]
- Zhao, X.; Shi, W.; Han, Y.; Liu, S.; Guo, C.; Fu, W.; Chai, X.; Liu, G. Ocean acidification adversely influences metabolism, extracellular pH and calcification of an economically important marine bivalve, Tegillarca granosa. Mar. Environ. Res. 2017, 125, 82–89. [Google Scholar] [CrossRef]
- Zittier, Z.M.; Bock, C.; Lannig, G.; Pörtner, H.O. Impact of ocean acidification on thermal tolerance and acid–base regulation of Mytilus edulis (L.) from the North Sea. J. Exp. Mar. Biol. Ecol. 2015, 473, 16–25. [Google Scholar] [CrossRef]
- Gazeau, F.; Alliouane, S.; Bock, C.; Bramanti, L.; López Correa, M.; Gentile, M.; Hirse, T.; Pörtner, H.O.; Ziveri, P. Impact of ocean acidification and warming on the Mediterranean mussel (Mytilus galloprovincialis). Front. Mar. Sci. 2014, 1, 62. [Google Scholar] [CrossRef]
- Mount, A.S.; Wheeler, A.P.; Paradkar, R.P.; Snider, D. Hemocyte-Mediate Shell Mineralization in the Eastern Oyster. Science 2004, 304, 297–300. [Google Scholar] [CrossRef] [PubMed]
- Schwaner, C.; Farhat, S.; Haley, J.; Espinosa, E.P.; Allam, B. Transcriptomic, Proteomic, and Functional Assays Underline the Dual Role of Extrapallial Hemocytes in Immunity and Biomineralization in the Hard Clam Mercenaria mercenaria. Front. Immunol. 2022, 13, 838530. [Google Scholar] [CrossRef] [PubMed]
- Wood, H.L.; Spicer, J.I.; Widdicombe, S. Ocean acidification may increase calcification rates, but at a cost. Proc. R. Soc. B 2008, 275, 1767–1773. [Google Scholar] [CrossRef] [PubMed]
- Huang, J.; Li, S.; Liu, Y.; Liu, C.; Xie, L.; Zhang, R. Hemocytes in the extrapallial space of Pinctada fucata are involved in immunity and biomineralization. Sci. Rep. 2018, 8, 4657. [Google Scholar] [CrossRef] [PubMed]
- Bibby, R.; Widdicombe, S.; Parry, H.; Spicer, J.; Pipe, R. Effects of ocean acidification on the immune response of the blue mussel Mytilus edulis. Aquat. Biol. 2008, 2, 67–74. [Google Scholar] [CrossRef]
- Sun, T.; Tang, X.; Jiang, Y.; Wang, Y. Seawater acidification induced immune function changes of haemocytes in Mytilus edulis: A comparative study of CO2 and HCl enrichment. Sci. Rep. 2017, 7, 41488. [Google Scholar] [CrossRef]
- Liu, S.; Shi, W.; Guo, C.; Zhao, X.; Han, Y.; Peng, C.; Chai, X.; Liu, G. Ocean acidification weakens the immune response of blood clam through hampering the NF-kappa β and toll-like receptor pathways. Fish Shellfish Immunol. 2016, 54, 322–327. [Google Scholar] [CrossRef]
- Cao, R.; Wang, Q.; Yang, D.; Liu, Y.; Ran, W.; Qu, Y.; Wu, H.; Cong, M.; Li, F.; Ji, C.; et al. CO2-induced ocean acidification impairs the immune function of the Pacific oyster against Vibrio splendidus challenge: An integrated study from a cellular and proteomic perspective. Sci. Total Environ. 2018, 625, 1574–1583. [Google Scholar] [CrossRef]
- Schwaner, C.; Barbosa, M.; Connors, P.; Park, T.; Silva, D.; Griffith, A.; Gobler, C.J.; Pales, E.; Allam, B. Experimental acidification increases susceptibility of Mercenaria mercenaria to infection by Vibrio species. Mar. Environ. Res. 2020, 154, 104872. [Google Scholar] [CrossRef]
- Todgham, A.E.; Hofmann, G.E. Transcriptomic response of sea urchin larvae Strongylocentrotus purpuratus to CO2-driven seawater acidification. J. Exp. Biol. 2009, 212, 2579–2594. [Google Scholar] [CrossRef]
- Di, G.; Li, Y.; Zhu, G.; Guo, X.; Li, H.; Huang, M.; Shen, M.; Ke, C. Effects of acidification on the proteome during early development of Babylonia areolata. FEBS Open Bio 2019, 9, 1503–1520. [Google Scholar] [CrossRef] [PubMed]
- Dineshram, R.; Sharma, R.; Chandramouli, K.; Yalamanchili, H.K.; Chu, I.; Thiyagarajan, V. Comparative and quantitative proteomics reveal the adaptive strategies of oyster larvae to ocean acidification. Proteomics 2015, 15, 4120–4134. [Google Scholar] [CrossRef] [PubMed]
- Johnson, K.M.; Hofmann, G.E. Transcriptomic response of the Antarctic pteropod Limacina helicina antarctica to ocean acidification. BMC Genom. 2017, 18, 812. [Google Scholar] [CrossRef] [PubMed]
- Chandra Rajan, K.; Meng, Y.; Yu, Z.; Roberts, S.B.; Vengatesen, T. Oyster biomineralization under ocean acidification: From genes to shell. Glob. Chang. Biol. 2021, 27, 3779–3797. [Google Scholar] [CrossRef] [PubMed]
- Thomsen, J.; Melzner, F. Moderate seawater acidification does not elicit long-term metabolic depression in the blue mussel Mytilus edulis. Mar. Biol. 2010, 157, 2667–2676. [Google Scholar] [CrossRef]
- Lannig, G.; Eilers, S.; Pörtner, H.O.; Sokolova, I.M.; Bock, C. Impact of ocean acidification on energy metabolism of oyster, Crassostrea gigas—Changes in metabolic pathways and thermal response. Mar. Drugs 2010, 8, 2318–2339. [Google Scholar] [CrossRef]
- Heisler, N. Interactions between gas exchange, metabolism, and ion transport in animals: An overview. Can. J. Zool. 1989, 67, 2923–2935. [Google Scholar] [CrossRef]
- Abe, H. Role of histidine-related compounds as intracellular proton buffering constituents in vertebrate muscle. Biochem. C/C Biokhimiia 2000, 65, 757–765. [Google Scholar]
- Melzner, F.; Mark, F.C.; Seibel, B.A.; Tomanek, L. Ocean Acidification and Coastal Marine Invertebrates: Tracking CO2 Effects from Seawater to the Cell. Ann. Rev. Mar. Sci. 2020, 12, 499–523. [Google Scholar] [CrossRef]
- Zhao, L.; Milano, S.; Walliser, E.O.; Schöne, B.R. Bivalve shell formation in a naturally CO2-enriched habitat: Unraveling the resilience mechanisms from elemental signatures. Chemosphere 2018, 203, 132–138. [Google Scholar] [CrossRef]
- Widdicombe, S.; Spicer, J.I. Predicting the impact of ocean acidification on benthic biodiversity: What can animal physiology tell us? J. Exp. Mar. Biol. 2008, 366, 187–197. [Google Scholar] [CrossRef]
- Ivanina, A.V.; Falfushynska, H.I.; Beniash, E.; Piontkivska, H.; Sokolova, I.M. Biomineralization-related specialization of hemocytes and mantle tissues of the Pacific oyster Crassostrea gigas. J. Exp. Biol. 2017, 220, 3209–3221. [Google Scholar] [CrossRef] [PubMed]
- Wang, X.; Wang, M.; Wang, W.; Liu, Z.; Xu, J.; Jia, Z.; Chen, H.; Qiu, L.; Lv, Z.; Wang, L.; et al. Transcriptional changes of Pacific oyster Crassostrea gigas reveal essential role of calcium signal pathway in response to CO2-driven acidification. Sci. Total Environ. 2020, 741, 140177. [Google Scholar] [CrossRef] [PubMed]
- Ivanina, A.V.; Borah, B.M.; Vogts, A.; Malik, I.; Wu, J.; Chin, A.R.; Almarza, A.J.; Kumta, P.; Piontkivska, H.; Beniash, E.; et al. Potential trade-offs between biomineralization and immunity revealed by shell properties and gene expression profiles of two closely related Crassostrea species. J. Exp. Biol. 2018, 221, jeb183236. [Google Scholar] [CrossRef] [PubMed]
- Su, W.; Rong, J.; Zha, S.; Yan, M.; Fang, J.; Liu, G. Ocean acidification affects the cytoskeleton, lysozymes, and nitric oxide of hemocytes: A possible explanation for the hampered phagocytosis in blood clams, Tegillarca granosa. Front. Physiol. 2018, 9, 619. [Google Scholar] [CrossRef]
- Thomas, C. Hemocytes: Forms and functions. East. Oyster Crassostrea Virginica 1996, 1, 75–93. [Google Scholar]
- Wu, F.; Lu, W.; Shang, Y.; Kong, H.; Li, L.; Sui, Y.; Hu, M.; Wang, Y. Combined effects of seawater acidification and high temperature on hemocyte parameters in the thick shell mussel Mytilus coruscus. Fish Shellfish Immunol. 2016, 56, 554–562. [Google Scholar] [CrossRef]
- Allam, B.; Paillard, C.; Auffret, M. Alterations in hemolymph and extrapallial fluid parameters in the Manila clam, Ruditapes philippinarum challenged with the pathogen, Vibrio tapetis. J. Invertebr. Pathol. 2000, 76, 63–69. [Google Scholar] [CrossRef]
- Allam, B.; Ashton-Alcox, K.A.; Ford, S.E. Haemocyte parameters associated with resistance against brown ring disease in clams. Dev. Comp. Immunol. 2001, 25, 365–375. [Google Scholar] [CrossRef]
- Allam, B.; Raftos, D. Immune responses to infectious diseases in bivalves. J. Invertebr. Pathol. 2015, 131, 121–136. [Google Scholar] [CrossRef]
- Shen, W.; Hu, Y.; He, Z.; Xu, S.; Xu, X.; Zhang, G.; Ren, G. Histological and Comparative Transcriptome Analyses Provide Insights Into the Immune Response in Pearl Sac Formation of Hyriopsis cumingii. Front. Mar. Sci. 2020, 7, 256. [Google Scholar] [CrossRef]
- Gardner, L.D.; Mills, D.; Wiegand, A.; Leavesley, D.; Elizur, A. Spatial analysis of biomineralization associated gene expression from the mantle organ of the pearl oyster Pinctada maxima. BMC Genom. 2011, 12, 455. [Google Scholar] [CrossRef] [PubMed]
- Pereira-Mouriès, L.; Almeida, M.J.; Ribeiro, C.; Peduzzi, J.; Barthélemy, M.; Milet, C. Soluble silk-like organic matrix in the nacreous layer of the bivalve Pinctada maxima. Eur. J. Biochem. 2002, 269, 4994–5003. [Google Scholar] [CrossRef] [PubMed]
- Tasiemski, A.; Vandenbulcke, F.; Mitta, G.; Lemoine, J.; Lefebvre, C.; Sautiere, P.E.; Salzet, M. Molecular characterization of two novel antibacterial peptides inducible upon bacterial challenge in an annelid, the leech Theromyzon tessulatum. J. Biol. Chem. 2004, 279, 30973–30982. [Google Scholar] [CrossRef]
- Kim, I.W.; Morse, D.E.; Evans, J.S. Molecular characterization of the 30-AA N-terminal mineral interaction domain of the biomineralization protein AP7. Langmuir 2004, 20, 11664–11673. [Google Scholar] [CrossRef]
- Timmins-Schiffman, E.; Coffey, W.D.; Hua, W.; Nunn, B.L.; Dickinson, G.H.; Roberts, S.B. Shotgun proteomics reveals physiological response to ocean acidification in Crassostrea gigas. BMC Genom. 2014, 15, 951. [Google Scholar] [CrossRef]
- Zhao, X.; Han, Y.; Chen, B.; Xia, B.; Qu, K.; Liu, G. CO2-driven ocean acidification weakens mussel shell defense capacity and induces global molecular compensatory responses. Chemosphere 2014, 243, 125415. [Google Scholar] [CrossRef]
- Carroll, S.L.; Coyne, V.E. A proteomic analysis of the effect of ocean acidification on the haemocyte proteome of the South African abalone Haliotis midae. Fish Shellfish Immunol. 2021, 117, 274–290. [Google Scholar] [CrossRef]
- Cordat, E.; Casey, J.R. Bicarbonate transport in cell physiology and disease. Biochem. J. 2009, 417, 423–439. [Google Scholar] [CrossRef]
- Goncalves, P.; Thompson, E.L.; Raftos, D.A. Contrasting impacts of ocean acidification and warming on the molecular responses of CO2-resilient oysters. BMC Genom. 2017, 18, 431. [Google Scholar] [CrossRef]
- Arivalagan, J.; Yarra, T.; Marie, B.; Sleight, V.A.; Duvernois-Berthet, E.; Clark, M.S.; Marie, A.; Berland, S. Insights from the shell proteome: Biomineralization to adaptation. Mol. Biol. Evol. 2017, 34, 66–77. [Google Scholar] [CrossRef]
- Henry, R.P.; Cameron, J.N. The role of carbonic anhydrase in respiration, ion regulation and acid-base balance in the aquatic crab Calunectes sapidus and the terrestrial crab Gecarcinus lateraus. J. Exp. Biol. 1983, 103, 205–223. [Google Scholar] [CrossRef]
- Ramesh, K.; Hu, M.Y.; Melzner, F.; Bleich, M.; Himmerkus, N. Intracellular pH regulation in mantle epithelial cells of the Pacific oyster, Crassostrea gigas. J. Comp. Physiol. 2020, 190, 691–700. [Google Scholar] [CrossRef] [PubMed]
- Hüning, A.K.; Melzner, F.; Thomsen, J.; Gutowska, M.A.; Krämer, L.; Frickenhaus, S.; Rosenstiel, P.; Pörtner, H.-O.; Philipp, E.E.R.; Lucassen, M. Impacts of seawater acidification on mantle gene expression patterns of the Baltic Sea blue mussel: Implications for shell formation and energy metabolism. Mar. Biol. 2013, 160, 1845–1861. [Google Scholar] [CrossRef]
- Liu, Z.; Zhang, Y.; Zhou, Z.; Zong, Y.; Zheng, Y.; Liu, C.; Kong, N.; Gao, Q.; Wang, L.; Song, L. Metabolomic and transcriptomic profiling reveals the alteration of energy metabolism in oyster larvae during initial shell formation and under experimental ocean acidification. Sci. Rep. 2020, 10, 6111. [Google Scholar] [CrossRef]
- De Wit, P.; Durland, E.; Ventura, A.; Langdon, C.J. Gene expression correlated with delay in shell formation in larval Pacific oysters (Crassostrea gigas) exposed to experimental ocean acidification provides insights into shell formation mechanisms. BMC Genom. 2018, 19, 160. [Google Scholar] [CrossRef]
- Suzuki, M.; Kogure, T.; Nagasawa, H. Studies on the chemical structures of organic matrices and their functions in the biomineralization processes of molluscan shells. AGri-Biosci. Monogr. 2017, 7, 25–39. [Google Scholar] [CrossRef]
- Carreiro-Silva, M.; Cerqueira, T.; Godinho, A.; Caetano, M.; Santos, R.S.; Bettencourt, R. Molecular mechanisms underlying the physiological responses of the cold-water coral Desmophyllum dianthus to ocean acidification. Coral Reefs 2014, 33, 465–476. [Google Scholar] [CrossRef]
- Servetto, N.; de Aranzamendi, M.C.; Bettencourt, R.; Held, C.; Abele, D.; Movilla, J.; González, G.; Sahade, R. Molecular mechanisms underlying responses of the Antarctic coral Malacobelemnon daytoni to ocean acidification. Mar. Environ. Res. 2021, 170, 105430. [Google Scholar] [CrossRef]
- Pales Espinosa, E.; Koller, A.; Allam, B. Proteomic characterization of mucosal secretions in the eastern oyster, Crassostrea virginica. J. Proteom. 2016, 132, 63–76. [Google Scholar] [CrossRef]
- Allam, B.; Paillard, C. Defense factors in clam extrapallial fluids. Dis. Aquat. Organ. 1998, 33, 123–128. [Google Scholar] [CrossRef]
- Melzner, F.; Podbilski, I.; Mark, F.C.; Tresguerres, M. The silent loss of cell physiology hampers marine biosciences. PLoS Biol. 2022, 20, e30016141. [Google Scholar] [CrossRef] [PubMed]
- IPCC. Climate Change 2014: Synthesis Report. Contribution of Working Groups I, II and III to the Fifth Assessment Report of the Intergovernmental Panel on Climate Change; Core Writing Team, Pachauri, R.K., Meyer, L.A., Eds.; IPCC: Geneva, Switzerland, 2014. [Google Scholar]
- Caldeira, K.; Wickett, M.E. Anthropogenic carbon and ocean pH. Nature 2003, 425, 365. [Google Scholar] [CrossRef] [PubMed]
- Cornwall, C.E.; Hurd, C.L. Experimental design in ocean acidification research: Problems and solutions. ICES Mar. Sci. 2016, 73, 572–581. [Google Scholar] [CrossRef]
- Gattuso, J.P.; Epitalon, J.M.; Lavigne, H.; Orr, J. Seacarb: Seawater Carbonate Chemistry; R Package Version 3.2.10; R Foundation for Statistical Computing: Vienna, Austria, 2018. [Google Scholar]
- Dickson, A.G.; Sabine, C.L.; Christian, J.R. Guide to Best Practices for Ocean CO2 Measurements; PICES Special Publication 3: Sydney, BC, Canada, 2007; p. 191. [Google Scholar]
- Millero, F.J. Carbonate constants for estuarine waters. Mar. Freshw. Res. 2010, 62, 139–142. [Google Scholar] [CrossRef]
- Stemmer, K.; Brey, T.; Gutbrod, M.S.; Beutler, M.; Schalkhausser, B.; De Beer, D. In situ Measurements of pH, CA2+, and Dic Dynamics within the Extrapallial Fluid of the Ocean Quahog Arctica islandica. J. Shellfish Res. 2019, 38, 71–78. [Google Scholar] [CrossRef]
- Geraci-Yee, S.; Allam, B.; Collier, J. Keeping up with advances in qPCR pathogen detection: An example for QPX disease in hard clams. Dis. Aquat. Org. 2022, 148, 127–144. [Google Scholar] [CrossRef]
- Allam, B.; Ashton-Alcox, K.A.; Ford, S.E. Flow Cytometric Characterization and Separation of Hemocytes from Three Bivalve Species. Fish Shellfish Immunol. 2002, 13, 141–158. [Google Scholar] [CrossRef]
- Nguyen, T.V.; Alfaro, C.A. Applications of Flow Cytometry in Molluscan Immunology: Current Status and Trends. Fish Shellfish Immunol. 2019, 94, 239–248. [Google Scholar] [CrossRef]
- Rio, D.C.; Ares, M.; Hannon, G.J.; Nilsen, T.W. Purification of RNA using TRIzol (TRI reagent). Cold Spring Harbor Protoc. 2010, 6, prot5439. [Google Scholar] [CrossRef]
- Farhat, S.; Bonnivard, E.; Pales Espinosa, E.; Tanguy, A.; Boutet, I.; Guiglielmoni, N.; Flot, J.F.; Allam, B. Comparative analysis of the Mercenaria mercenaria genome provides insights into the diversity of transposable elements and immune molecules in bivalve mollusks. BMC Genom. 2022, 23, 192. [Google Scholar] [CrossRef] [PubMed]
- Li, H.; Handsaker, B.; Wysoker, A.; Fennell, T.; Ruan, J.; Homer, N.; Marth, G.; Abecasis, G.; Durbin, R. The Sequence Alignment/Map Format and SAMtools. Bioinformatics 2009, 25, 2078–2079. [Google Scholar] [CrossRef] [PubMed]
- Love, M.I.; Huber, W.; Anders, S. Moderated Estimation of Fold Change and Dispersion for RNA-Seq Data With Deseq2. Genome Biol. 2014, 15, 550. [Google Scholar] [CrossRef]
- Alexa, A.; Rahnenfuhrer, J. topGO: Enrichment Analysis for Gene Ontology; R Package Version 2.40.0; R Foundation for Statistical Computing: Vienna, Austria, 2020. [Google Scholar]
- Langfelder, P.; Horvath, S. WGCNA: An R package for weighted correlation network analysis. BMC Bioinform. 2008, 9, 550. [Google Scholar] [CrossRef] [PubMed]
- Horvath, S.; Langfelder, P. Tutorial for the WGCNA Package for R: III. Using Simulated Data to Evaluate the Different Module Detection Methods and Gene Screening Approaches. 6: Relating Modules and Module Eigengenes to External Data. Available online: https://horvath.genetics.ucla.edu/html/CoexpressionNetwork/Rpackages/WGCNA/Tutorials/Simulated-06-RelatingToExt.pdf (accessed on 1 June 2022).
- Chang, J. Bioinformatics Workbook: WGCNA Gene Correlation Network Analysis: Network Analysis with WGCNA. Available online: https://bioinformaticsworkbook.org/tutorials/wgcna.html#gsc.tab=0 (accessed on 1 June 2022).
- Zougman, A.; Wilson, J.P.; Banks, E.R. A Simple Serum Depletion Method for Proteomics Analysis. Biotechniques 2020, 69, 148–151. [Google Scholar] [CrossRef] [PubMed]





| ID | Description | Extrapallial Fluid | Hemolymph | ||
|---|---|---|---|---|---|
| LFC | Padj | LFC | Padj | ||
| mRNA.chromosome_2.1379.1 | Protocadherin Fat 1/2/3 | −8.43 | <0.001 | −8.2 | <0.001 |
| mRNA.chromosome_17.1242.1 | Integrase catalytic domain profile | −6.22 | <0.001 | −5 | <0.001 |
| mRNA.chromosome_12.417.1 | Cathepsin L | −5.93 | <0.001 | ||
| mRNA.chromosome_3.570.1 | Glutamate receptor ionotropic | −5.55 | 0.04 | ||
| mRNA.chromosome_19.1763.2 | Membrane alanyl dipeptidase (M1) family signature | −5.49 | 0.05 | ||
| mRNA.chromosome_11.788.1 | Glutamate receptor ionotropic | −5.23 | 0.04 | ||
| mRNA.chromosome_9.119.1 | Protocadherin Fat 1/2/3 | −5.16 | 0.001 | −5.92 | <0.001 |
| mRNA.chromosome_8.169.3 | Golgin subfamily B member 1 | −4.97 | 0.001 | ||
| mRNA.contig_845.1.1 | Pol-like protein | −4.25 | 0.03 | ||
| mRNA.contig_1983.1.1 | Tumor necrosis factor family | −4.08 | 0.05 | ||
| mRNA.chromosome_16.1283.1 | Integrase catalytic domain profile | −3.94 | 0.04 | −4.54 | <0.001 |
| mRNA.chromosome_8.1919.2 | Scavenger receptor cysteine-rich type 1 protein | −3.46 | <0.01 | ||
| mRNA.chromosome_2.418.1 | Thrombospondin type-1 (TSP1) repeat profile | −3.29 | <0.01 | ||
| mRNA.chromosome_11.1914.1 | Tubulin alpha | −3.15 | 0.04 | ||
| mRNA.chromosome_10.859.1 | Zinc finger protein 862-like isoform | −3.08 | <0.01 | ||
| mRNA.chromosome_4.2461.1 | Uncharacterized | −2.24 | <0.01 | ||
| mRNA.chromosome_17.1557.1 | Sulfotransferase domain | 2.09 | 0.03 | ||
| mRNA.chromosome_7.1244.1 | Cytochrome P450 | 2.12 | <0.01 | ||
| mRNA.chromosome_17.196.2 | Carboxylesterases type-B serine active site | 2.16 | <0.01 | ||
| mRNA.chromosome_2.915.1 | Carboxylesterases type-B signature 2 | 2.19 | <0.001 | 2.19 | <0.001 |
| mRNA.chromosome_17.1090.1 | Cytochrome P450 | 2.19 | 0.03 | ||
| mRNA.chromosome_11.1022.3 | ATP-binding cassette, subfamily B | 2.24 | 0.04 | ||
| mRNA.chromosome_7.1826.1 | Phospholipid-translocating ATPase | 2.82 | 0.01 | ||
| mRNA.contig_573.4.1 | Uncharacterized | 2.87 | 0.04 | ||
| mRNA.chromosome_13.1522.1 | Fatty acid synthase, animal type | 2.9 | 0.02 | ||
| mRNA.chromosome_18.134.1 | Integrase catalytic domain profile | 2.97 | 0.05 | ||
| mRNA.chromosome_16.500.1 | Acyl-CoA dehydrogenase, middle domain | 3.08 | 0.05 | ||
| mRNA.chromosome_4.2319.1 | Cytochrome P450 | 3.21 | 0.03 | ||
| mRNA.chromosome_7.2111.1 | Solute carrier family 25 | 3.65 | <0.001 | ||
| mRNA.chromosome_5.470.1 | G protein beta WD-40 repeat signature | 3.82 | 0.04 | ||
| mRNA.chromosome_12.413.4 | Solute carrier family 6 | 4.37 | 0.04 | ||
| mRNA.chromosome_13.2224.1 | Soluble glutathione S-transferase C-terminal domain profile | 4.54 | 0.05 | ||
| mRNA.chromosome_18.1048.1 | Myosin-3-like | 4.82 | 0.02 | 6.11 | 0.02 |
| mRNA.chromosome_4.1870.1 | Brinker DNA-binding domain | 4.97 | 0.04 | ||
| mRNA.chromosome_15.405.1 | Folylpolyglutamate synthase signature 1 | 5.15 | <0.01 | ||
| mRNA.contig_3725.2.1 | RNA-directed DNA polymerase from transposon BS | 5.85 | 0.02 | ||
| mRNA.chromosome_18.1047.1 | Myosin-3-like | 5.96 | 0.001 | 6.57 | <0.001 |
| mRNA.chromosome_3.951.1 | Interferon-induced helicase C domain-containing protein 1 | 5.98 | 0.02 | ||
| mRNA.chromosome_16.1831.1 | Uncharacterized | 6.3 | 0.03 | ||
| mRNA.chromosome_17.2204.1 | Theromacin | 9.18 | 0.01 | 12.98 | <0.001 |
| mRNA.chromosome_17.2202.1 | Theromacin | 9.45 | 0.03 | 14.17 | <0.001 |
| Extrapallial Fluid | Hemolymph | ||
|---|---|---|---|
| ID | Description | LFC | LFC |
| mRNA.chromosome_9.771.1 | Ficolin | 3.32 | 3.32 |
| mRNA.chromosome_1.367.2 | 20S proteasome subunit alpha 1 | 3.32 | 3.32 |
| mRNA.chromosome_15.2247.1 | Uncharacterized | 3.32 | 3.32 |
| mRNA.chromosome_11.2118.1 | Sarcoplasmic calcium binding protein | 3.32 | 3.32 |
| mRNA.chromosome_13.2773.1 | Chitin-binding type-2 domain profile | 3.32 | 3.32 |
| mRNA.chromosome_13.2650.1 | Acetyltransferase (GNAT) family | 3.32 | 3.32 |
| mRNA.chromosome_10.1356.3 | Peroxin-19 | 3.32 | 3.32 |
| mRNA.chromosome_18.297.1 | Titin-like | 3.32 | 3.32 |
| mRNA.chromosome_9.1438.1 | Uncharacterized | 3.32 | 3.32 |
| mRNA.chromosome_13.636.1 | Guanine nucleotide-binding protein G(i) subunit alpha | 3.32 | 3.32 |
| mRNA.chromosome_3.1719.1 | Octopine dehydrogenase, opine dehydrogenase, tauropine dehydrogenase | 3.32 | 3.32 |
| mRNA.chromosome_13.1579.2 | Transforming growth factor-beta-induced protein | 3.02 | 3.32 |
| mRNA.chromosome_5.1812.1 | Transcription factor AP-4 | 2.84 | 2.96 |
| mRNA.chromosome_19.1568.1 | Alpha-2-macroglobulin 1 | −1.94 | −3.32 |
| mRNA.chromosome_6.1724.1 | 20S proteasome subunit beta 5 | −2.11 | −3.02 |
| mRNA.chromosome_3.2176.1 | Nucleoprotein TPR | −2.11 | −3.32 |
| mRNA.chromosome_3.702.1 | Mannose receptor, C type; C-type lectin domain profile | −2.38 | −1.89 |
| mRNA.chromosome_15.1157.1 | N-acetylglucosamine-1-phosphotransferase subunits alpha/beta-like | −2.51 | −2.61 |
| mRNA.chromosome_8.1594.1 | Universal stress protein signature | −3.12 | −3.32 |
| mRNA.chromosome_16.1148.1 | Elongation factor 1-alpha-like | −3.32 | −2.63 |
| mRNA.chromosome_15.1817.1 | Calcium-binding EGF domain | −3.32 | −3.32 |
| mRNA.chromosome_9.1938.1 | Cell migration-inducing and hyaluronan binding protein | −3.32 | −3.32 |
| mRNA.chromosome_4.1618.1 | Modulator of levamisole receptor-1 | −3.32 | −2.40 |
| mRNA.chromosome_16.407.1 | Complement C1q-like protein 2 | −3.32 | −3.32 |
| mRNA.chromosome_10.109.1 | Complement C1q tumor necrosis factor-related protein 3-like | −3.32 | −2.41 |
| mRNA.chromosome_13.2638.1 | Dystroglycan 1 | −3.32 | −3.32 |
| mRNA.chromosome_19.2475.1 | Complement C1q tumor necrosis factor-related protein 2-like | −3.32 | −3.32 |
| mRNA.chromosome_10.1347.1 | Fatty acid-binding protein | −3.32 | −3.32 |
| mRNA.chromosome_7.148.3 | UDP-glucose:glycoprotein glucosyltransferase | −3.32 | −3.32 |
| mRNA.chromosome_4.2588.1 | EF-hand calcium-binding domain profile | −3.32 | −3.32 |
| mRNA.chromosome_10.1861.2 | 3-hydroxyisobutyryl-CoA hydrolase | −3.32 | −3.32 |
| mRNA.chromosome_3.1856.1 | Pancreatic triacylglycerol lipase | −3.32 | −2.86 |
| mRNA.chromosome_12.1120.1 | Endoplasmic reticulum protein 29 | 3.32 | −3.32 |
| mRNA.chromosome_4.2111.1 | Peroxiredoxin (alkyl hydroperoxide reductase subunit C) | 3.32 | −3.32 |
| mRNA.chromosome_13.726.1 | Sodium/calcium exchanger regulatory protein 1-like | 3.27 | −3.32 |
| mRNA.chromosome_7.1691.1 | Laminin, alpha 3/5 | 2.82 | −3.32 |
| mRNA.chromosome_5.3377.1 | Mannose receptor; Lectin C-type domain | 1.83 | −3.32 |
| mRNA.chromosome_18.1635.1 | Fibrinogen C-terminal domain profile | −3.32 | 3.32 |
| mRNA.chromosome_16.1096.1 | Ficolin-1-like | −3.32 | 3.32 |
| mRNA.chromosome_10.78.1 | Trichohyalin | −3.32 | 3.32 |
| mRNA.chromosome_2.1431.4 | Calcium-binding EGF domain | −3.32 | 2.52 |
Publisher’s Note: MDPI stays neutral with regard to jurisdictional claims in published maps and institutional affiliations. |
© 2022 by the authors. Licensee MDPI, Basel, Switzerland. This article is an open access article distributed under the terms and conditions of the Creative Commons Attribution (CC BY) license (https://creativecommons.org/licenses/by/4.0/).
Share and Cite
Schwaner, C.; Farhat, S.; Haley, J.; Pales Espinosa, E.; Allam, B. Proteomic and Transcriptomic Responses Enable Clams to Correct the pH of Calcifying Fluids and Sustain Biomineralization in Acidified Environments. Int. J. Mol. Sci. 2022, 23, 16066. https://doi.org/10.3390/ijms232416066
Schwaner C, Farhat S, Haley J, Pales Espinosa E, Allam B. Proteomic and Transcriptomic Responses Enable Clams to Correct the pH of Calcifying Fluids and Sustain Biomineralization in Acidified Environments. International Journal of Molecular Sciences. 2022; 23(24):16066. https://doi.org/10.3390/ijms232416066
Chicago/Turabian StyleSchwaner, Caroline, Sarah Farhat, John Haley, Emmanuelle Pales Espinosa, and Bassem Allam. 2022. "Proteomic and Transcriptomic Responses Enable Clams to Correct the pH of Calcifying Fluids and Sustain Biomineralization in Acidified Environments" International Journal of Molecular Sciences 23, no. 24: 16066. https://doi.org/10.3390/ijms232416066
APA StyleSchwaner, C., Farhat, S., Haley, J., Pales Espinosa, E., & Allam, B. (2022). Proteomic and Transcriptomic Responses Enable Clams to Correct the pH of Calcifying Fluids and Sustain Biomineralization in Acidified Environments. International Journal of Molecular Sciences, 23(24), 16066. https://doi.org/10.3390/ijms232416066

