Red-Emitting Latex Nanoparticles by Stepwise Entrapment of β-Diketonate Europium Complexes
Abstract
1. Introduction
2. Results and Discussion
2.1. Synthetic Schemes of Eu(TFTB)2(MAA)P(Oct)3@poly(St-co-MAA)
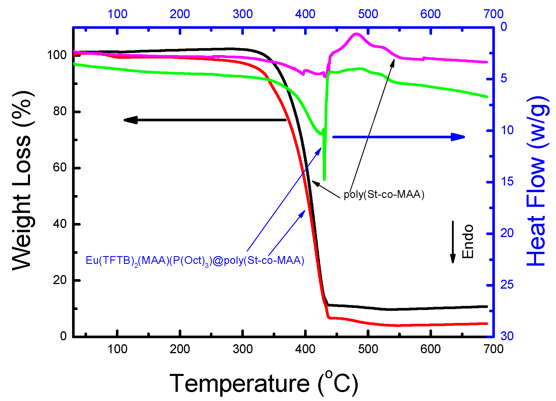
2.2. Characterizations of Eu(TFTB)2(MAA)P(Oct)3@poly(St-co-MAA)
2.3. Cytotoxicity of Poly(St-co-MAA) and Eu(TFTB)2(MAA)P(Oct)3 @poly(St-co-MAA)
2.4. Endocytosis of Poly(St-co-MAA) and Eu(TFTB)2(MAA)P(Oct)3@poly(St-co-MAA) Nanoparticles by Flow Cytometry
2.5. Intracellular Uptake of Poly(St-co-MAA) and Eu(TFTB)2(MAA)P(Oct)3@poly(St-co-MAA) Nanoparticles
3. Materials and Methods
3.1. Materials
3.2. Characterization
3.3. Synthesis of Europium Complex Coated Poly(St-co-MAA) Nanoparticles, Eu(TFTB)2(MAA)P(Oct)3@poly(St-co-MAA)
3.4. Immunofluorescence
3.5. Cytotoxicity Assay
3.6. Apoptosis Assay
3.7. Statistical Analysis
4. Conclusions
Author Contributions
Funding
Institutional Review Board Statement
Informed Consent Statement
Data Availability Statement
Conflicts of Interest
References
- Soh, J.H.; Chan, H.-M.; Ying, J.Y. Strategies for developing sensitive and specific nanoparticle-based lateral flow assays as point-of-care diagnostic device. Nano Today 2020, 30, 100831. [Google Scholar] [CrossRef]
- Khlebtsov, B.N.; Tumskiy, R.S.; Burov, A.M.; Pylaev, T.E.; Khlebtsov, N.G. Quantifying the Numbers of Gold Nanoparticles in the Test Zone of Lateral Flow Immunoassay Strips. ACS Appl. Nano Mater. 2019, 2, 5020–5028. [Google Scholar] [CrossRef]
- Qiu, W.; Baryeh, K.; Takalkar, S.; Chen, W.; Liu, G. Carbon nanotube-based lateral flow immunoassay for ultrasensitive detection of proteins: Application to the determination of IgG. Microchim. Acta 2019, 186, 436. [Google Scholar] [CrossRef]
- Azuma, T.; Hui, Y.Y.; Chen, O.Y.; Wang, Y.-L.; Chang, H.-C. Thermometric lateral flow immunoassay with colored latex beads as reporters for COVID-19 testing. Sci. Rep. 2022, 12, 3905. [Google Scholar] [CrossRef]
- Goryacheva, O.A.; Guhrenz, C.; Schneider, K.; Beloglazova, N.V.; Goryacheva, I.Y.; De Saeger, S.; Gaponik, N. Silanized Luminescent Quantum Dots for the Simultaneous Multicolor Lateral Flow Immunoassay of Two Mycotoxins. ACS Appl. Mater. Interfaces 2020, 12, 24575–24584. [Google Scholar] [CrossRef] [PubMed]
- Hu, R.; Hotta, M.; Maruyama, T.; Fujisawa, M.; Sou, K.; Takeoka, S. Temperature-Responsive Liposome-Linked Immunosorbent Assay for the Rapid Detection of SARS-CoV-2 Using Immunoliposomes. ACS Omega 2022, 7, 26936–26944. [Google Scholar] [CrossRef]
- Moyano, A.; Serrano-Pertierra, E.; Salvador, M.; Martínez-García, J.C.; Rivas, M.; Blanco-López, M.C. Magnetic Lateral Flow Immunoassays. Diagnostics 2020, 10, 288. [Google Scholar] [CrossRef]
- Hua, F.; Zhang, P.; Zhang, F.; Zhao, Y.; Li, C.; Sun, C.; Wang, X.; Yang, R.; Wang, C.; Yu, A.; et al. Development and evaluation of an up-converting phosphor technology-based lateral flow assay for rapid detection of Francisella tularensis. Sci. Rep. 2015, 5, 17178. [Google Scholar] [CrossRef]
- Cao, F.; Yuan, Z.; Liu, J.; Ling, J. Europium(iii) β-diketone complex as portable luminescent chemosensor for naked eye Cu2+ detection and recyclable on–off–on vapor response. RSC Adv. 2015, 5, 102535–102541. [Google Scholar] [CrossRef]
- Aikawa, T.; Mizuno, A.; Kohri, M.; Taniguchi, T.; Kishikawa, K.; Nakahira, T. Polystyrene latex particles containing europium complexes prepared by miniemulsion polymerization using bovine serum albumin as a surfactant for biochemical diagnosis. Colloids Surf. B Biointerfaces 2016, 145, 152–159. [Google Scholar] [CrossRef]
- Li, X.; Fan, K.; Yang, R.; Du, X.; Qu, B.; Miao, X.; Lu, L. A long lifetime ratiometrically luminescent tetracycline nanoprobe based on Ir(III) complex-doped and Eu3+-functionalized silicon nanoparticles. J. Hazard. Mater. 2020, 386, 121929. [Google Scholar] [CrossRef]
- Kim, M.Y.; Ahn, J.-P.; Han, S.Y.; Lee, N.-S.; Jeong, Y.G.; Kim, D.K. Highly Luminescent and Anti-Photobleaching Core-Shell Structure of Mesoporous Silica and Phosphatidylcholine Modified Superparamagnetic Iron Oxide Nanoparticles. Nanomater. 2020, 10, 1312. [Google Scholar] [CrossRef]
- Tallury, P.; Malhotra, A.; Byrne, L.M.; Santra, S. Nanobioimaging and sensing of infectious diseases. Adv. Drug Deliv. Rev. 2010, 62, 424–437. [Google Scholar] [CrossRef]
- Shin, J.D.; Lim, W.J.; Yu, K.S.; Lee, J.H.; Lee, N.S.; Jeong, Y.G.; Han, S.-Y.; Kim, D.K. Luminescent polystyrene latex nanoparticles doped with β-diketone europium chelate and methacrylic acid. Eur. Polym. J. 2016, 83, 89–98. [Google Scholar] [CrossRef]
- Yan, B.; Wang, Q.-M. Two Luminescent Molecular Hybrids Composed of Bridged Eu(III)-β-Diketone Chelates Covalently Trapped in Silica and Titanate Gels. Cryst. Growth Des. 2008, 8, 1484–1489. [Google Scholar] [CrossRef]
- Shi, J.; Hou, Y.; Chu, W.; Shi, X.; Gu, H.; Wang, B.; Sun, Z. Crystal Structure and Highly Luminescent Properties Studies of Bis-β-diketonate Lanthanide Complexes. Inorg. Chem. 2013, 52, 5013–5022. [Google Scholar] [CrossRef]
- Rajamouli, B.; Dwaraka Viswanath, C.S.; Giri, S.; Jayasankar, C.K.; Sivakumar, V. Carbazole functionalized new bipolar ligand for monochromatic red light-emitting europium(iii) complex: Combined experimental and theoretical study. New J. Chem. 2017, 41, 3112–3123. [Google Scholar] [CrossRef]
- Zhang, H.; Zhou, L.; Wei, J.; Li, Z.; Lin, P.; Du, S. Highly luminescent and thermostable lanthanide-carboxylate framework materials with helical configurations. J. Mater. Chem. 2012, 22, 21210–21217. [Google Scholar] [CrossRef]
- Nasab, M.J.; Kiasat, A.R. Multifunctional Fe3O4@nSiO2@mSiO2/Pr-Imi-NH2·Ag core–shell microspheres as highly efficient catalysts in the aqueous reduction of nitroarenes: Improved catalytic activity and facile catalyst recovery. RSC Adv. 2016, 6, 41871–41877. [Google Scholar] [CrossRef]
- Petkova, N.; Gutzov, S.; Lesev, N.; Kaloyanova, S.; Stoyanov, S.; Deligeorgiev, T. Preparation and optical properties of silica gels doped with a new Eu(III) complex. Opt. Mater. 2011, 33, 1715–1720. [Google Scholar] [CrossRef]
- Binnemans, K. Interpretation of europium(III) spectra. Coord. Chem. Rev. 2015, 295, 1–45. [Google Scholar] [CrossRef]
- Adati, R.D.; Pavinatto, F.J.; Monteiro, J.H.S.K.; Davolos, M.R.; Jafelicci, M.; Oliveira, O.N. Synthesis of a functionalized europium complex and deposition of luminescent Langmuir–Blodgett (LB) films. New J. Chem. 2012, 36, 1978–1984. [Google Scholar] [CrossRef]
- Liu, K.; You, H.; Jia, G.; Zheng, Y.; Song, Y.; Yang, M.; Huang, Y.; Zhang, H. Coordination-Induced Formation of One-Dimensional Nanostructures of Europium Benzene-1,3,5-tricarboxylate and Its Solid-State Thermal Transformation. Cryst. Growth Des. 2009, 9, 3519–3524. [Google Scholar] [CrossRef]
- Behrh, G.K.; Gautier, R.; Latouche, C.; Jobic, S.; Serier-Brault, H. Synthesis and Photoluminescence Properties of Ca2Ga2SiO7:Eu3+ Red Phosphors with an Intense 5D0→7F4 Transition. Inorg. Chem. 2016, 55, 9144–9146. [Google Scholar] [CrossRef]
- Xu, B.; Guo, H.; Wang, S.; Li, Y.; Zhang, H.; Liu, C. Solvothermal synthesis of luminescent Eu(BTC)(H2O)DMF hierarchical architectures. CrystEngComm 2012, 14, 2914–2919. [Google Scholar] [CrossRef]
- Song, X.; Ma, Y.; Ge, X.; Zhou, H.; Wang, G.; Zhang, H.; Tang, X.; Zhang, Y. Europium-based infinite coordination polymer nanospheres as an effective fluorescence probe for phosphate sensing. RSC Adv. 2017, 7, 8661–8669. [Google Scholar] [CrossRef]
- Bao, G.; Liu, Z.; Luo, Y.; Wong, K.-L.; Tanner, P.A. Effects of europium spectral probe interchange in Ln-dyads with cyclen and phen moieties. Dalton Trans. 2019, 48, 4314–4323. [Google Scholar] [CrossRef]
- Minami, H.; Itamoto, N.; Watanabe, W.; Li, Z.; Nakamura, K.; Kobayashi, N. Chiroptical property enhancement of chiral Eu(III) complex upon association with DNA-CTMA. Sci. Rep. 2020, 10, 18917. [Google Scholar] [CrossRef]
- Lu, P.; Wang, Y.; Huang, L.; Lian, S.; Wang, Y.; Tang, J.; Belfiore, L.A.; Kipper, M.J. Tb3+/Eu3+ Complex-Doped Rigid Nanoparticles in Transparent Nanofibrous Membranes Exhibit High Quantum Yield Fluorescence. Nanomaterials 2020, 10, 694. [Google Scholar] [CrossRef]
- He, Y.; Li, J.; Chen, J.; Miao, X.; Li, G.; He, Q.; Xu, H.; Li, H.; Wei, Y. Cytotoxic effects of polystyrene nanoplastics with different surface functionalization on human HepG2 cells. Sci. Total Env. 2020, 723, 138180. [Google Scholar] [CrossRef]
- Kumar, A.; Bhaskar, N.; Basu, B. Flow Cytometry Analysis of Cytotoxicity In Vitro and Long-Term Toxicity of HA-40 wt% BaTiO3 Nanoparticles In Vivo. J. Am. Ceram. Soc. 2015, 98, 3202–3211. [Google Scholar] [CrossRef]
- Liu, M.; Li, Q.; Liang, L.; Li, J.; Wang, K.; Li, J.; Lv, M.; Chen, N.; Song, H.; Lee, J.; et al. Real-time visualization of clustering and intracellular transport of gold nanoparticles by correlative imaging. Nat. Commun. 2017, 8, 15646. [Google Scholar] [CrossRef]










Publisher’s Note: MDPI stays neutral with regard to jurisdictional claims in published maps and institutional affiliations. |
© 2022 by the authors. Licensee MDPI, Basel, Switzerland. This article is an open access article distributed under the terms and conditions of the Creative Commons Attribution (CC BY) license (https://creativecommons.org/licenses/by/4.0/).
Share and Cite
Park, H.-W.; Han, D.; Ahn, J.-P.; Kim, S.-h.; Kang, Y.-J.; Jeong, Y.G.; Kim, D.K. Red-Emitting Latex Nanoparticles by Stepwise Entrapment of β-Diketonate Europium Complexes. Int. J. Mol. Sci. 2022, 23, 15954. https://doi.org/10.3390/ijms232415954
Park H-W, Han D, Ahn J-P, Kim S-h, Kang Y-J, Jeong YG, Kim DK. Red-Emitting Latex Nanoparticles by Stepwise Entrapment of β-Diketonate Europium Complexes. International Journal of Molecular Sciences. 2022; 23(24):15954. https://doi.org/10.3390/ijms232415954
Chicago/Turabian StylePark, Hwan-Woo, Daewon Han, Jong-Pil Ahn, Se-hoon Kim, Yoon-Joong Kang, Young Gil Jeong, and Do Kyung Kim. 2022. "Red-Emitting Latex Nanoparticles by Stepwise Entrapment of β-Diketonate Europium Complexes" International Journal of Molecular Sciences 23, no. 24: 15954. https://doi.org/10.3390/ijms232415954
APA StylePark, H.-W., Han, D., Ahn, J.-P., Kim, S.-h., Kang, Y.-J., Jeong, Y. G., & Kim, D. K. (2022). Red-Emitting Latex Nanoparticles by Stepwise Entrapment of β-Diketonate Europium Complexes. International Journal of Molecular Sciences, 23(24), 15954. https://doi.org/10.3390/ijms232415954

