Microporous Biocarbons Derived from Inonotus obliquus Mushroom and Their Application in the Removal of Liquid and Gaseous Impurities
Abstract
1. Introduction
2. Results and Discussion
2.1. Characterization of the Biocarbons
2.2. Adsorption of Methyl Red Sodium Salt
2.2.1. Adsorption Isotherms of Methyl Red Sodium Salt
2.2.2. Effect of Agitation Time on the Adsorption
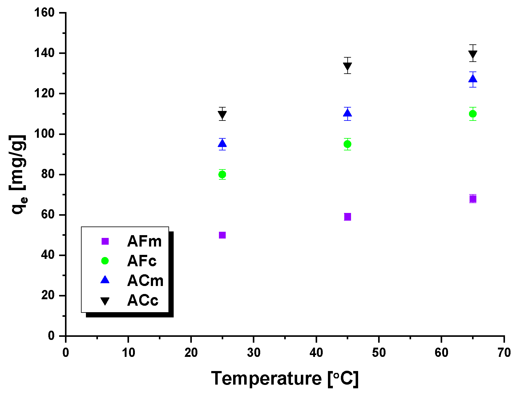
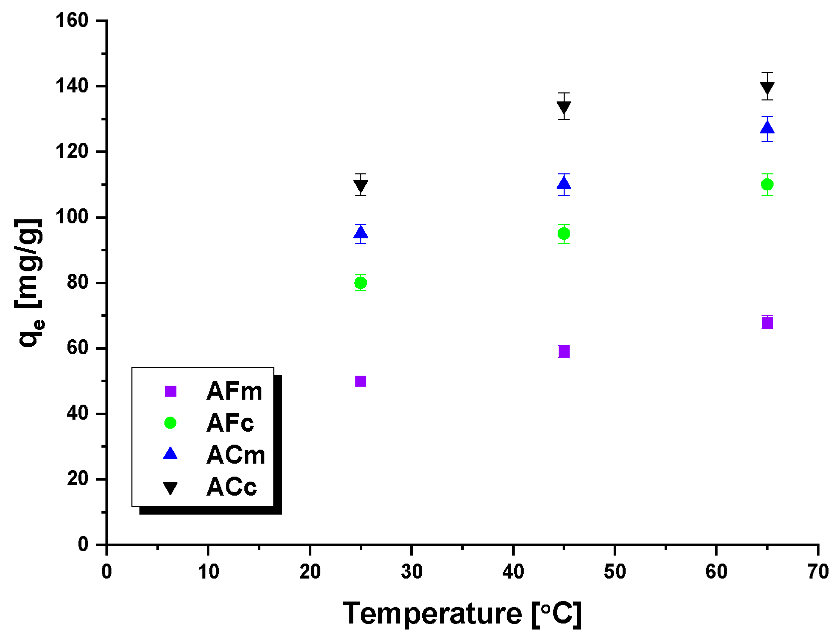
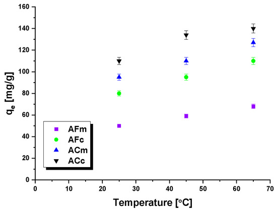
2.2.3. Effect of pH and Temperature on the Adsorption
2.3. Adsorption of H2S
3. Materials and Methods
3.1. Precursors and Activated Biocarbons Preparation
3.2. Sample Characterization
3.2.1. Elemental Analysis
3.2.2. Nitrogen Sorption
3.2.3. Acid–Base Properties
3.3. Adsorption Studies
4. Conclusions
Author Contributions
Funding
Institutional Review Board Statement
Informed Consent Statement
Data Availability Statement
Conflicts of Interest
References
- Kou, Z.; Wang, H. Transient Pressure Analysis of a Multiple Fractured Well in a Stress-Sensitive Coal Seam Gas Reservoir. Energies 2020, 13, 3849. [Google Scholar] [CrossRef]
- Zhang, L.; Kou, Z.; Wang, H.; Zhao, Y.; Dejam, M.; Guo, J.; Du, J. Performance analysis for a model of a multi-wing hydraulically fractured vertical well in a coalbed methane gas reservoir. J. Petrol. Sci. Eng. 2018, 166, 104–120. [Google Scholar] [CrossRef]
- Wang, H.; Kou, Z.; Guo, J.; Chen, Z. A semi-analytical model for the transient pressure behaviors of a multiple fractured well in a coal seam gas reservoir. J. Petrol. Sci. Eng. 2021, 198, 108159. [Google Scholar] [CrossRef]
- Kou, Z.; Wang, T.; Chen, Z.; Jiang, J. A fast and reliable methodology to evaluate maximum CO2 storage capacity of depleted coal seams: A case study. Energy 2021, 231, 120992. [Google Scholar] [CrossRef]
- Kou, Z.; Zhang, D.; Chen, Z.; Xie, Y. Quantitatively determine CO2 geosequestration capacity in depleted shale reservoir: A model considering viscous flow, diffusion, and adsorption. Fuel 2022, 309, 122191. [Google Scholar] [CrossRef]
- Bazan-Wozniak, A.; Pietrzak, R. Adsorption of organic and inorganic pollutants on activated bio-carbons prepared by chemical activation of residues of supercritical extraction of raw plants. Chem. Eng. J. 2020, 393, 124785. [Google Scholar] [CrossRef]
- Tao, Y.R.; Zhang, G.H.; Xu, H.J. Grand canonical Monte Carlo (GCMC) study on adsorption performance of metal organic frameworks (MOFs) for carbon capture. Sustain. Mater. Technol. 2022, 32, e00383. [Google Scholar] [CrossRef]
- Xiao, W.; Jiang, X.; Liu, X.; Zhou, W.; Garba, Z.N.; Lawan, I.; Wang, L.; Yuan, Z. Adsorption of organic dyes from wastewater by metal-doped porous carbon materials. J. Clean. Prod. 2021, 284, 124773. [Google Scholar] [CrossRef]
- Ptaszkowska-Koniarz, M.; Goscianska, J.; Bazan-Wozniak, A.; Pietrzak, R. Amine-modified carbon xerogels as effective carbon-based adsorbents of anionic dye from aqueous solutions. Materials 2022, 15, 5736. [Google Scholar] [CrossRef]
- Afshari, M.; Dinari, M.; Zargoosh, K.; Moradi, H. Novel triazine-based covalent organic framework as a super adsorbent for the removal of mercury(II) from aqueous solutions. Ind. Eng. Chem. Res. 2020, 59, 9116–9126. [Google Scholar] [CrossRef]
- Ahmad, Z.U.; Yao, L.; Wang, J.; Gang, D.D.; Islam, F.; Lian, Q.; Zappi, M.E. Neodymium embedded ordered mesoporous carbon (OMC) for enhanced adsorption of sunset yellow: Characterizations, adsorption study and adsorption mechanism. Chem. Eng. J. 2019, 359, 814–826. [Google Scholar] [CrossRef]
- Chaudhuri, P.; Lima, C.N.; Frota, H.O.; Ghos, A. Density functional study of glycine adsorption on single-walled BN nanotubes. Appl. Surf. Sci. 2021, 536, 147686. [Google Scholar] [CrossRef]
- Wiśniewska, M.; Nowicki, P.; Nosal-Wiercińska, A.; Pietrzak, R.; Szewczuk-Karpisz, K.; Ostolska, I.; Sternik, D. Adsorption of poly(acrylic acid) on the surface of microporous activated carbon obtained from cherry stones. Colloid Surface A 2017, 514, 137–145. [Google Scholar] [CrossRef]
- De Souza, C.C.; Ciriano, M.R.; Silva, E.F.; Oliveira, M.A.; Bezerra, A.C.S.; Dumont, M.R.; Silva, A.C.; Machado, A.R.T. Activated carbon obtained from cardboard tube waste of immersion thermocouple and adsorption of methylene blue. Biomass Conv. Biorefinery 2021. [Google Scholar] [CrossRef]
- Canales-Flores, R.A.; Prieto-García, F. Taguchi optimization for production of activated carbon from phosphoric acid impregnated agricultural waste by microwave heating for the removal of methylene blue. Diam. Relat. Mater. 2020, 109, 108027. [Google Scholar] [CrossRef]
- Sarode, S.; Upadhyay, P.; Khosa, M.A.; Mak, T.; Shakir, A.; Song, S.; Ullah, A. Overview of wastewater treatment methods with special focus on biopolymer chitin-chitosan. Int. J. Biol. Macromol. 2019, 121, 1086–1100. [Google Scholar] [CrossRef] [PubMed]
- Raeiszadeh, M.; Hakimian, A.; Shojaei, A.; Molavi, H. Nanodiamond-filled chitosan as an efficient adsorbent for anionic dye removal from aqueous solutions. J. Environ. Chem. Eng. 2018, 6, 3283–3294. [Google Scholar] [CrossRef]
- Fijoł, N.; Aguilar-Sánchez, A.; Mathew, A.P. 3D-printable biopolymer-based materials for water treatment: A review. Chem. Eng. J. 2022, 430, 132964. [Google Scholar] [CrossRef]
- Molavi, H.; Pourghaderi, A.; Shojaei, A. Experimental Study on the Influence of Initial pH, Ionic Strength, and Temperature on the Selective Adsorption of Dyes onto Nanodiamonds. J. Chem. Eng. Data 2019, 64, 1508–1514. [Google Scholar] [CrossRef]
- Raut, P.N.; Gotmare, R. Use of Activated biocarbon for water treatment- Adsorption process. Int. J. Innov. Res. Technol. Sci. Eng. 2019, 8, 10539–10543. [Google Scholar] [CrossRef]
- Bazan-Wozniak, A.; Nowicki, P.; Pietrzak, R. The effect of demineralization on the physicochemical and sorption properties of activated bio-carbons. Adsorption 2019, 25, 337–343. [Google Scholar] [CrossRef]
- Sultana, M.; Rownok, M.H.; Sabrin, M.; Rahaman, M.H.; Nur Alam, S.M. A review on experimental chemically modified activated carbon to enhance dye and heavy metals adsorption. Chem. Eng. Technol. 2022, 6, 100382. [Google Scholar] [CrossRef]
- Bazan-Wozniak, A.; Nowicki, P.; Pietrzak, R. Removal of NO2 from gas stream by activated bio-carbons from physical activation of residue of supercritical extraction of hops. Chem. Eng. Res. Des. 2021, 166, 67–73. [Google Scholar] [CrossRef]
- Bedia, J.; Belver, C.; Ponce, S.; Rodriguez, J.; Rodriguez, J.J. Adsorption of antipyrine by activated carbons from FeCl3-activation of Tara gum. Chem. Eng. J. 2018, 333, 58–65. [Google Scholar] [CrossRef]
- Baytar, O.; Şahin, Ö.; Saka, C.; Ağrak, S. Characterization of microwave and conventional heating on the pyrolysis of pistachio shells for the adsorption of methylene blue and iodine. Anal. Lett. 2018, 51, 2205–2220. [Google Scholar] [CrossRef]
- Ptaszkowska-Koniarz, M.; Goscianska, J.; Pietrzak, R. Synthesis of carbon xerogels modified with amine groups and copper for efficient adsorption of caffeine. Chem. Eng. J. 2018, 345, 13–21. [Google Scholar] [CrossRef]
- Xiuhong, Z.; Yue, Z.; Shuyan, Y.; Zhonghua, Z. Effect of Inonotus Obliquus Polysaccharides on physical fatigue in mice. J. Tradit. Chin. Med. 2015, 35, 468–472. [Google Scholar] [CrossRef] [PubMed]
- Kazmierczak-Razna, J.; Wasik, N.; Nowicki, P.; Bak, J.; Kolodynska, D.; Pietrzak, R. Characterization and application of spherical carbonaceous materials prepared with the use of microwave radiation. Diam. Relad. Mater. 2020, 108, 107927. [Google Scholar] [CrossRef]
- Bhattacharyya, A.; Ghorai, S.; Rana, D.; Roy, I.; Sarkar, G.; Saha, N.R.; Chattopadhyay, D. Design of an efficient and selective adsorbent of cationic dye through activated carbon-graphene oxide nanocomposite: Study on mechanism and synergy. Mater. Cem. Phys. 2021, 260, 124090. [Google Scholar] [CrossRef]
- Arenas, L.R.; Le Coustumer, P.; Gentile, S.R.; Zimmermann, S.; Stoll, S. Removal efficiency and adsorption mechanisms of CeO2 nanoparticles onto granular activated carbon used in drinking water treatment plants. Sci. Total. Environ. 2023, 856, 1592261. [Google Scholar] [CrossRef]
- Rathi, B.S.; Kumar, P.S. Application of adsorption process for effective removal of emerging contaminants from water and wastewater. Environ. Pollut. 2021, 280, 116995. [Google Scholar] [CrossRef] [PubMed]
- Ayawei, N.; Ebelegi, A.N.; Wankasi, D. Modelling and interpretation of adsorption isotherms. J. Chem. 2017, 2017, 3039817. [Google Scholar] [CrossRef]
- Kecili, R.; Hussain, C.M. Mechanism of adsorption on nanomaterials. In Nanomaterials in Chromatography; Elsevier: Amsterdam, The Netherlands, 2018; pp. 89–115. [Google Scholar] [CrossRef]
- Adusei, J.K.; Agorku, E.S.; Voegborlo, R.B.; Ampong, F.K.; Danu, B.Y.; Amarh, F.A. Removal of Methyl red in aqueous systems using synthesized NaAlg-g-CHIT/nZVI adsorbent. Sci. Afr. 2022, 17, e01273. [Google Scholar] [CrossRef]
- Mozaffari, M.; Emami, M.R.S.; Binaeian, E. A novel thiosemicarbazide modified chitosan (TSFCS) for efficiency removal of Pb (II) and methyl red from aqueous solution. Int. J. Biol. Macromol. 2018, 123, 47–467. [Google Scholar] [CrossRef]
- Zaheer, Z.; AL-Asfar, A.; Aazam, E.S. Adsorption of methyl red on biogenic Ag@Fe nanocomposite adsorbent: Isotherms, kinetics and mechanisms. J. Mol. Liq. 2019, 283, 287–298. [Google Scholar] [CrossRef]
- Ahmad, M.A.; Ahmad, N.; Bello, O.S. Modified durian seed as adsorbent for the removal of methyl red dye from aqueous solutions. Appl. Water Sci. 2015, 5, 407–423. [Google Scholar] [CrossRef]
- Ahmad, M.A.; Ahmed, N.B.; Adegoke, K.A.; Bello, O.S. Sorption Studies Of Methyl Red Dye Removal Using Lemon Grass (Cymbopogon citratus). Chem. Data Collect. 2019, 22, 100249. [Google Scholar] [CrossRef]
- Jawad, A.H.; Abdulhameed, A.S.; Reghioua, A.; Yaseen, Z.M. Zwitterion composite chitosan-epichlorohydrin/zeolite for adsorption of methylene blue and reactive red 120 dyes. Int. J. Biol. Macromol. 2020, 163, 756–765. [Google Scholar] [CrossRef]
- Yadav, S.; Asthana, A.; Singh, A.K.; Chakraborty, R.; Vidya, S.S.; Susan, M.A.B.H.; Carabineiro, S.A.C. Adsorption of cationic dyes, drugs and metal from aqueous solutions using a polymer composite of magnetic/β-cyclodextrin/activated charcoal/Na alginate: Isotherm, kinetics and regeneration studies. J. Hazard. Mater. 2021, 409, 124840. [Google Scholar] [CrossRef]
- Reddy, D.H.K.; Lee, S.-M. Application of magnetic chitosan composites for the removal of toxic metal and dyes from aqueous solutions. Adv. Colloid Interfac. 2013, 201–202, 68–93. [Google Scholar] [CrossRef]
- Mirzaee, E.; Sartaj, M. Activated carbon-based magnetic composite as an adsorbent for removal of polycyclic aromatic hydrocarbons from aqueous phase: Characterization, adsorption kinetics and isotherm studies. J. Hazard. Mater. Adv. 2022, 6, 100083. [Google Scholar] [CrossRef]
- Jawad, A.H.; Mubarak, N.S.A.; Abdulhameed, A.S. Hybrid crosslinked chitosan-epichlorohydrin/TiO2 nanocomposite for reactive Red 120 dye adsorption: Kinetic, Isotherm, Thermodynamic, and Mechanism Study. J. Polym. Environ. 2020, 28, 624–637. [Google Scholar] [CrossRef]
- Gómez-Avilés, A.; Peñas-Garzón, M.; Belver, C.; Rodriguez, J.J.; Bedia, J. Equilibrium, kinetics and breakthrough curves of acetaminophen adsorption onto activated carbons from microwave-assisted FeCl3-activation of lignin. Sep. Purif. Technol. 2022, 278, 119654. [Google Scholar] [CrossRef]
- Kazmierczak-Razna, J.; Nowicki, P.; Pietrzak, R. Toxic gases removal onto activated carbons obtained from hay with the use of microwave radiation. Chem. Eng. Res. Des. 2016, 109, 346–353. [Google Scholar] [CrossRef]
- Bazan-Wozniak, A.; Nowicki, P.; Wolski, R.; Pietrzak, R. Activated Bio-Carbons Prepared from the Residue of Supercritical Extraction of Raw Plants and Their Application for Removal of Nitrogen Dioxide and Hydrogen Sulfide from the Gas Phase. Materials 2021, 14, 3192. [Google Scholar] [CrossRef]
- Nor, N.M.; Sukri, M.F.F.; Mohamed, A.R. Development of high porosity structures of activated carbon via microwave-assisted regeneration for H2S removal. J. Environ. Chem. Eng. 2016, 4, 4839–4845. [Google Scholar] [CrossRef]
- Wang, S.; Nam, H.; Lee, D.; Nam, H. H2S gas adsorption study using copper impregnated on KOH activated carbon from coffee residue for indoor air purification. J. Environ. Chem. Eng. 2022, 10, 108797. [Google Scholar] [CrossRef]
- Wu, H.; Zhu, Y.; Bian, S.; Ko, J.H.; Li, S.F.Y.; Xu, Q. H2S adsorption by municipal solid waste incineration (MSWI) fly ash with heavy metals immobilization. Chemosphere 2018, 195, 40–47. [Google Scholar] [CrossRef] [PubMed]










| Sample | Cdaf 1 | Hdaf | Ndaf | Sdaf | Odaf * | Ash | Yield |
|---|---|---|---|---|---|---|---|
| AFm | 84.7 | 2.7 | 4.4 | 0.2 | 8.0 | 5.4 | 56.3 |
| AFc | 88.6 | 2.1 | 3.9 | 0.4 | 5.0 | 4.5 | 46.1 |
| ACm | 89.5 | 2.0 | 3.8 | 0.2 | 4.5 | 2.1 | 28.9 |
| ACc | 92.1 | 1.8 | 2.9 | 0.1 | 3.1 | 1.9 | 21.9 |
| Sample | Surface Area 1 [m2/g] | Micropore Area [m2/g] | Total Pore Volume [cm3/g] | Micropore Volume [cm3/g] | Average Pore Diameter [nm] |
|---|---|---|---|---|---|
| AFm | 521 | 443 | 0.53 | 0.46 | 3.42 |
| AFc | 732 | 699 | 0.55 | 0.49 | 3.23 |
| ACm | 901 | 802 | 0.58 | 0.54 | 2.34 |
| ACc | 1004 | 981 | 0.61 | 0.57 | 2.96 |
| Sample | Acidic Groups [mmol/g] | Basic Groups [mmol/g] | pH |
|---|---|---|---|
| AFm | 0.22 ± 0.01 | 3.15 ± 0.03 | 8.9 ± 0.2 |
| AFc | 0.12 ± 0.01 | 4.29 ± 0.04 | 10.9 ± 0.3 |
| ACm | 2.11 ± 0.02 | 0.27 ± 0.01 | 3.5 ± 0.01 |
| ACc | 1.52 ± 0.02 | 0.33 ± 0.01 | 4.2 ± 0.01 |
| Sample | qe [mg/g] | Langmuir | Freundlich | ||||
|---|---|---|---|---|---|---|---|
| R2 | qmax [mg/g] | KL [L/mg] | R2 | KF [mg/g(L/mg)1/n] | 1/n | ||
| AFm | 77 | 0.994 | 78 | 0.026 | 0.991 | 48.75 | 0.171 |
| AFc | 128 | 0.996 | 130 | 0.015 | 0.993 | 80.35 | 0.175 |
| ACm | 142 | 0.999 | 143 | 0.041 | 0.899 | 117.22 | 0.070 |
| ACc | 158 | 0.999 | 159 | 0.079 | 0.843 | 126.47 | 0.093 |
| Adsorbent | Sorption Capacity [mg/g] | Reference |
|---|---|---|
| biocarbons | 77–158 | This study |
| NaAlg-Chit/nZVI | 9.48 | [34] |
| thiosemicarbazide modified chitosan | 17.31 | [35] |
| biogenic Ag@Fe nanocomposite | 125 | [36] |
| mesoporous activated carbon from durian seed | 384.62 | [37] |
| lemongrass | 76.923 | [38] |
| Sample | qe [mg/g] | Pseudo-First-Order Model | Pseudo-Second-Order Model | ||||
|---|---|---|---|---|---|---|---|
| R2 | k1 [1/min] | qe,cal [mg/g] | R2 | k2 [g/mg×min] | qe,cal [mg/g] | ||
| AFm | 77 | 0.988 | 5.76 × 10−3 | 22 | 0.999 | 9.63 × 10−4 | 78 |
| AFc | 108 | 0.973 | 5.99 × 10−3 | 37 | 0.999 | 4.15 × 10−4 | 112 |
| ACm | 125 | 0.995 | 6.22 × 10−3 | 40 | 0.999 | 4.96 × 10−4 | 128 |
| ACc | 125 | 0.974 | 7.83 × 10−3 | 39 | 0.999 | 5.87 × 10−4 | 128 |
| Sample | Temperature [°C] | ∆G0 [kJ/mol] | ∆H0 [kJ/mol] | ∆S0 [J/mol×K] |
|---|---|---|---|---|
| AFm | 25 | −3.99 | 17.09 | 70.61 |
| 45 | −5.28 | |||
| 65 | −6.82 | |||
| AFc | 25 | −5.41 | 18.91 | 81.50 |
| 25 | −5.41 | |||
| 45 | −6.90 | |||
| ACm | 25 | −6.46 | 23.70 | 100.93 |
| 45 | −8.17 | |||
| 65 | −10.53 | |||
| ACc | 25 | −7.20 | 32.06 | 123.05 |
| 45 | −9.28 | |||
| 65 | −11.93 |
| Sample | Dry Conditions [mg/g] | Wet Conditions [mg/g] |
|---|---|---|
| AFm | 21.9 ± 2.3 | 37.9 ± 2.7 |
| AFc | 24.8 ± 2.4 | 42.7 ± 8.8 |
| ACm | 30.3 ± 2.5 | 53.5 ± 9.1 |
| ACc | 55.3 ± 9.0 | 77.8 ± 9.4 |
| Adsorbent | Sorption Capacity [mg/g] | Reference |
|---|---|---|
| biocarbons | 21.9–77.8 | This study |
| biocarbon from marigold | 29.6 | [46] |
| biocarbon from hops | 17.1 | [46] |
| commercial coconut shell activated carbon | 109.3 | [47] |
| activated carbon from coffee residue | 132.22 | [48] |
| fly ash | 15.89 | [49] |
Publisher’s Note: MDPI stays neutral with regard to jurisdictional claims in published maps and institutional affiliations. |
© 2022 by the authors. Licensee MDPI, Basel, Switzerland. This article is an open access article distributed under the terms and conditions of the Creative Commons Attribution (CC BY) license (https://creativecommons.org/licenses/by/4.0/).
Share and Cite
Bazan-Wozniak, A.; Cielecka-Piontek, J.; Nosal-Wiercińska, A.; Pietrzak, R. Microporous Biocarbons Derived from Inonotus obliquus Mushroom and Their Application in the Removal of Liquid and Gaseous Impurities. Int. J. Mol. Sci. 2022, 23, 15788. https://doi.org/10.3390/ijms232415788
Bazan-Wozniak A, Cielecka-Piontek J, Nosal-Wiercińska A, Pietrzak R. Microporous Biocarbons Derived from Inonotus obliquus Mushroom and Their Application in the Removal of Liquid and Gaseous Impurities. International Journal of Molecular Sciences. 2022; 23(24):15788. https://doi.org/10.3390/ijms232415788
Chicago/Turabian StyleBazan-Wozniak, Aleksandra, Judyta Cielecka-Piontek, Agnieszka Nosal-Wiercińska, and Robert Pietrzak. 2022. "Microporous Biocarbons Derived from Inonotus obliquus Mushroom and Their Application in the Removal of Liquid and Gaseous Impurities" International Journal of Molecular Sciences 23, no. 24: 15788. https://doi.org/10.3390/ijms232415788
APA StyleBazan-Wozniak, A., Cielecka-Piontek, J., Nosal-Wiercińska, A., & Pietrzak, R. (2022). Microporous Biocarbons Derived from Inonotus obliquus Mushroom and Their Application in the Removal of Liquid and Gaseous Impurities. International Journal of Molecular Sciences, 23(24), 15788. https://doi.org/10.3390/ijms232415788

