Biocompatibility of a Ti-Rich Medium-Entropy Alloy with Glioblastoma Astrocytoma Cells
Abstract
1. Introduction
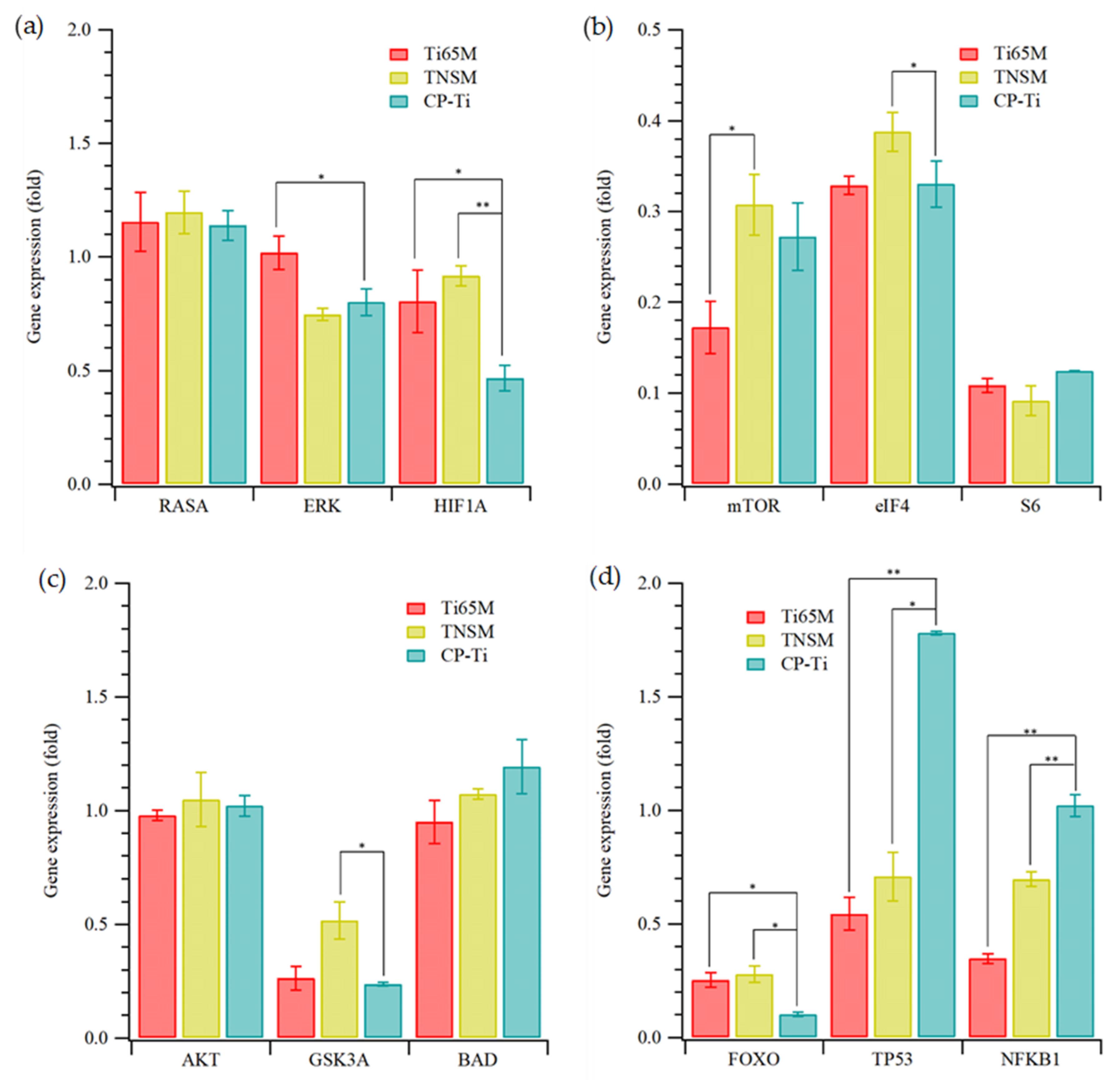
2. Results and Discussion
3. Materials and Methods
3.1. Manufacture of Ti-Rich Medium-Entropy Alloy
3.2. Characterization of Ti-Rich Medium-Entropy Alloy
4. Conclusions
Supplementary Materials
Author Contributions
Funding
Institutional Review Board Statement
Informed Consent Statement
Data Availability Statement
Conflicts of Interest
References
- Çaha, I.; Alves, A.; Rocha, L.; Toptan, F. A Review on Bio-functionalization of β-Ti Alloys. J. Bio-Tribo-Corrosion 2020, 6, 1–31. [Google Scholar] [CrossRef]
- Annamalai, V.; Kavitha, S.; Ramji, S.A. Enhancing the properties of Ti6Al4V as a biomedical material: A Review. Open Mater. Sci. J. 2014, 8, 1–17. [Google Scholar] [CrossRef][Green Version]
- Bocchetta, P.; Chen, L.-Y.; Tardelli, J.; Reis, A.; Almeraya-Calderón, F.; Leo, P. Passive Layers and Corrosion Resistance of Biomedical Ti-6Al-4V and β-Ti Alloys. Coatings 2021, 11, 487. [Google Scholar] [CrossRef]
- Gautam, S.; Bhatnagar, D.; Bansal, D.; Batra, H.; Goyal, N. Recent advancements in nanomaterials for biomedical implants. Biomed. Eng. Adv. 2022, 3, 100029. [Google Scholar] [CrossRef]
- Li, Q.; Li, F.; Li, J.; Gao, Z.; Zhang, K.; Niinomi, M.; Nakano, T. Microstructure, Mechanical Properties, and Cytotoxicity of β-Type Ti-Nb-Cr Alloys Designed by Electron Parameter. Journal of Materials Engineering and Performance 2022, 1–7. [Google Scholar] [CrossRef]
- Wang, X.; Li, F.; Xu, T.; Ma, S.; Da, C.; Wang, M. Mechanical Behavior and Microstructural Evolution During Cyclic Tensile Loading-Unloading Deformation in Metastable Ti–10V–2Fe–3Al Alloy. Mater. Sci. Eng. A 2022, 142663. [Google Scholar] [CrossRef]
- Kolli, R.P.; Devaraj, A. A Review of Metastable Beta Titanium Alloys. Metals 2018, 8, 506. [Google Scholar] [CrossRef]
- Hsu, H.-C.; Wong, K.-K.; Wu, S.-C.; Jheng, C.-Y.; Ho, W.-F. Structure and Properties of Metastable Ti–Nb–Sn–Mo Alloys. MRS Commun. 2021, 11, 669–674. [Google Scholar] [CrossRef]
- Wang, Z.; Fang, Q.; Li, J.; Liu, B.; Liu, Y. Effect of lattice distortion on solid solution strengthening of BCC high-entropy alloys. J. Mater. Sci. Technol. 2018, 34, 349–354. [Google Scholar] [CrossRef]
- Hua, N.; Wang, W.; Wang, Q.; Ye, Y.; Lin, S.; Zhang, L.; Guo, Q.; Brechtl, J.; Liaw, P.K. Mechanical, corrosion, and wear properties of biomedical Ti–Zr–Nb–Ta–Mo high entropy alloys. J. Alloys Compd. 2021, 861, 157997. [Google Scholar] [CrossRef]
- Iijima, Y.; Nagase, T.; Matsugaki, A.; Wang, P.; Ameyama, K.; Nakano, T. Design and development of Ti–Zr–Hf–Nb–Ta–Mo high-entropy alloys for metallic biomaterials. Mater. Des. 2021, 202, 109548. [Google Scholar] [CrossRef]
- Yang, W.; Pang, S.; Liu, Y.; Wang, Q.; Liaw, P.K.; Zhang, T. Design and properties of novel Ti–Zr–Hf–Nb–Ta high-entropy alloys for biomedical applications. Intermetallics 2022, 141, 107421. [Google Scholar] [CrossRef]
- Wang, S.-P.; Xu, J. TiZrNbTaMo high-entropy alloy designed for orthopedic implants: As-cast microstructure and mechanical properties. Mater. Sci. Eng. C 2017, 73, 80–89. [Google Scholar] [CrossRef] [PubMed]
- Savio, D.; Bagno, A. When the Total Hip Replacement Fails: A Review on the Stress-Shielding Effect. Processes 2022, 10, 612. [Google Scholar] [CrossRef]
- Hori, T.; Nagase, T.; Todai, M.; Matsugaki, A.; Nakano, T. Development of non-equiatomic Ti-Nb-Ta-Zr-Mo high-entropy alloys for metallic biomaterials. Scr. Mater. 2019, 172, 83–87. [Google Scholar] [CrossRef]
- Wong, K.-K.; Hsu, H.-C.; Wu, S.-C.; Ho, W.-F. Structure and properties of Ti-rich Ti–Zr–Nb–Mo medium-entropy alloys. J. Alloys Compd. 2021, 868, 159137. [Google Scholar] [CrossRef]
- Wong, K.-K.; Hsu, H.-C.; Wu, S.-C.; Ho, W.-F. Novel Metastable Nonequiatomic Ti-Zr-Nb-Mo Medium-Entropy Alloys with High Yield-Strength-to-Elastic-Modulus Ratios. Met. Mater. Int. 2022, 1–8. [Google Scholar] [CrossRef]
- Leung, S.W.; Lai, J.C.K.; Lai, M.B.; Jandhyam, S.; Dukhande, V.V.; Bhushan, A.; Daniels, C.K. Exposure to titanium dioxide and other metallic oxide nanoparticles induces cytotoxicity on human neural cells and fibroblasts. Int. J. Nanomed. 2008, 3, 533–545. [Google Scholar] [CrossRef]
- Raeisi, M.; Alijani, H.Q.; Peydayesh, M.; Khatami, M.; Baravati, F.B.; Borhani, F.; Šlouf, M.; Soltaninezhad, S. Magnetic cobalt oxide nanosheets: Green synthesis and in vitro cytotoxicity. Bioprocess Biosyst. Eng. 2021, 44, 1423–1432. [Google Scholar] [CrossRef]
- Sargazi, S.; Hajinezhad, M.R.; Rahdar, A.; Mukhtar, M.; Karamzadeh-Jahromi, M.; Almasi-Kashi, M.; Alikhanzadeh-Arani, S.; Barani, M.; Baino, F. CoNi alloy nanoparticles for cancer theranostics: Synthesis, physical characterization, in vitro and in vivo studies. Appl. Phys. A 2021, 127, 1–12. [Google Scholar] [CrossRef]
- Hsu, H.-C.; Wong, K.-K.; Chen, J.-S.; Wu, S.-C.; Ho, W.-F. Effect of thermomechanical treatment on structure and properties of metastable Ti-25Nb-8Sn alloy. Met. Mater. 2021, 59, 357–366. [Google Scholar] [CrossRef]
- Kaluđerović, M.R.; Mojić, M.; Schreckenbach, J.P.; Maksimović-Ivanić, D.; Graf, H.-L.; Mijatović, S. A Key Role of Autophagy in Osteoblast Differentiation on Titanium-Based Dental Implants. Cells Tissues Organs 2014, 200, 265–277. [Google Scholar] [CrossRef]
- Ponsonnet, L.; Reybier, K.; Jaffrezic, N.; Comte, V.; Lagneau, C.; Lissac, M.; Martelet, C. Relationship between surface properties (roughness, wettability) of titanium and titanium alloys and cell behaviour. Mater. Sci. Eng. C 2003, 23, 551–560. [Google Scholar] [CrossRef]
- Law, K.-Y. Definitions for Hydrophilicity, Hydrophobicity, and Superhydrophobicity: Getting the Basics Right. J. Phys. Chem. Lett. 2014, 5, 686–688. [Google Scholar] [CrossRef] [PubMed]
- Zareidoost, A.; Yousefpour, M.; Ghaseme, B.; Amanzadeh, A. The relationship of surface roughness and cell response of chemical surface modification of titanium. J. Mater. Sci. Mater. Med. 2012, 23, 1479–1488. [Google Scholar] [CrossRef] [PubMed]
- Ferrari, M.; Cirisano, F.; Morán, M.C. Mammalian cell behavior on hydrophobic substrates: Influence of surface properties. Colloids Interfaces 2019, 3, 48. [Google Scholar] [CrossRef]
- Zhang, T.; Jiang, M.; Yin, X.; Yao, P.; Sun, H. The role of autophagy in the process of osseointegration around titanium implants with micro-nano topography promoted by osteoimmunity. Sci. Rep. 2021, 11, 1–11. [Google Scholar] [CrossRef]
- Biazar, E.; Heidari, M.; Asefnezhad, A.; Montazeri, N. The relationship between cellular adhesion and surface roughness in polystyrene modified by microwave plasma radiation. Int. J. Nanomed. 2011, 6, 631–639. [Google Scholar] [CrossRef]
- Vasilescu, C.; Drob, P.; Demetrescu, I.; Ionita, D.; Prodana, M.; Drob, S. Characterisation and corrosion resistance of the electrodeposited hydroxyapatite and bovine serum albumin/hydroxyapatite films on Ti–6Al–4V–1Zr alloy surface. Corros. Sci. 2011, 53, 992–999. [Google Scholar] [CrossRef]
- Wenzel, R.N. Surface roughness and contact angle. J. Phys. Chem. 1949, 53, 1466–1467. [Google Scholar] [CrossRef]
- Yang, C.; Tartaglino, U.; Persson, B.N.J. Influence of Surface Roughness on Superhydrophobicity. Phys. Rev. Lett. 2006, 97, 116103. [Google Scholar] [CrossRef]
- Good, R.J.; Girifalco, L. A theory for estimation of surface and interfacial energies. III. Estimation of surface energies of solids from contact angle data. J. Phys. Chem. 1960, 64, 561–565. [Google Scholar] [CrossRef]
- Wenzel, R.N. Resistance of solid surfaces to wetting by water. Ind. Eng. Chem. 1936, 28, 988–994. [Google Scholar] [CrossRef]
- Bai, Y.; Deng, Y.; Zheng, Y.; Li, Y.; Zhang, R.; Lv, Y.; Zhao, Q.; Wei, S. Characterization, corrosion behavior, cellular response and in vivo bone tissue compatibility of titanium–niobium alloy with low Young’s modulus. Mater. Sci. Eng. C 2016, 59, 565–576. [Google Scholar] [CrossRef]
- Esmaeili, M.M.; Mahmoodi, M.; Mokhtarzade, A.; Imani, R. In Vitro Corrosion and Tribological Behavior of Multiwall Carbon Nanotube-Coated Ti-6Al-4V/Tantalum Carbide Surface for Implant Applications. J. Mater. Eng. Perform. 2022, 1–15. [Google Scholar] [CrossRef]
- Anggani, H.; Utami, W.; Purbiati, M. Cytotoxicity effect of orthodontic miniscrew-implant in different types of mouthwash: An in-vitro study. J. Orthod. Sci. 2022, 11. [Google Scholar] [CrossRef]
- Tardelli, J.D.C.; Bolfarini, C.; dos Reis, A.C. Comparative analysis of corrosion resistance between beta titanium and Ti-6Al-4V alloys: A systematic review. J. Trace Elements Med. Biol. 2020, 62, 126618. [Google Scholar] [CrossRef] [PubMed]
- Tong, X.; Sun, Q.; Zhang, D.; Wang, K.; Dai, Y.; Shi, Z.; Li, Y.; Dargusch, M.; Huang, S.; Ma, J. Impact of scandium on mechanical properties, corrosion behavior, friction and wear performance, and cytotoxicity of a β-type Ti–24Nb–38Zr–2Mo alloy for orthopedic applications. Acta Biomater. 2021, 134, 791–803. [Google Scholar] [CrossRef] [PubMed]
- Zhang, L.-C.; Chen, L.-Y. A Review on Biomedical Titanium Alloys: Recent Progress and Prospect. Adv. Eng. Mater. 2019, 21, 1801215. [Google Scholar] [CrossRef]
- Hao, Z.; Wang, S.; Zhang, K.; Zhou, J.; Li, D.; He, J.; Gao, L.; Wang, L. Biofabrication of a Low Modulus Bioelectroprobe for Neurons to Grow Into. Materials 2021, 14, 4718. [Google Scholar] [CrossRef]
- Biesiekierski, A.; Wang, J.; Abdel-Hady Gepreel, M.; Wen, C. A new look at biomedical Ti-based shape memory alloys. Acta Biomater. 2012, 8, 1661–1669. [Google Scholar] [CrossRef] [PubMed]
- Zheng, C.; Attarilar, S.; Li, K.; Wang, C.; Liu, J.; Wang, L.; Yang, J.; Tang, Y. 3D-printed HA15-loaded β-tricalcium phosphate/poly (Lactic-co-glycolic acid) bone tissue scaffold promotes bone regeneration in rabbit radial defects. Int. J. Bioprinting 2021, 7. [Google Scholar] [CrossRef] [PubMed]
- Zhang, F.; Attarilar, S.; Xie, K.; Han, C.; Huang, K.; Lan, C.; Wang, C.; Yang, C.; Wang, L.; Mozafari, M. Carfilzomib alleviated osteoporosis by targeting PSME1/2 to activate Wnt/β-catenin signaling. Mol. Cell. Eendocrinol. 2022, 540, 111520. [Google Scholar] [CrossRef] [PubMed]
- Pfaffl, M.W. A new mathematical model for relative quantification in real-time RT-PCR. Nucleic Acids Res. 2001, 29, e45. [Google Scholar] [CrossRef]
- Pearson, J.; Regad, T. Targeting cellular pathways in glioblastoma multiforme. Signal Transduct. Target. Ther. 2017, 2, 17040. [Google Scholar] [CrossRef] [PubMed]






| Samples | Titanium-Containing Samples | |||
|---|---|---|---|---|
| Properties | Ti65-Zr18-Nb16-Mo1 (Ti65M) | Ti-13Nb-7Sn-4Mo (TNSM) | Commercially Pure Titanium (CP-Ti) | |
| Phase Structures | β | β | α’ | |
| Hardness (HV) | 366.5 ± 3.6 | 235.1 ± 1.4 | 172.3 ± 4.4 | |
| Roughness (Sa, nm) | 38 ± 8 | 43 ± 6 | 94 ± 26 | |
| Contac Angle (°) | 54.3 ± 2.0 | 46.2 ± 2.7 | 46.0 ± 0.9 | |
| Viability (%) | 97.9 ± 0.6 | 95.3 ± 2.6 | 91.1 ± 3.7 | |
Publisher’s Note: MDPI stays neutral with regard to jurisdictional claims in published maps and institutional affiliations. |
© 2022 by the authors. Licensee MDPI, Basel, Switzerland. This article is an open access article distributed under the terms and conditions of the Creative Commons Attribution (CC BY) license (https://creativecommons.org/licenses/by/4.0/).
Share and Cite
Ho, W.-F.; Wong, K.-K.; Lee, M.-H.; Thomas, J.L.; Chang, Y.-C.; Wu, S.-C.; Hsu, H.-C.; Lin, H.-Y. Biocompatibility of a Ti-Rich Medium-Entropy Alloy with Glioblastoma Astrocytoma Cells. Int. J. Mol. Sci. 2022, 23, 14552. https://doi.org/10.3390/ijms232314552
Ho W-F, Wong K-K, Lee M-H, Thomas JL, Chang Y-C, Wu S-C, Hsu H-C, Lin H-Y. Biocompatibility of a Ti-Rich Medium-Entropy Alloy with Glioblastoma Astrocytoma Cells. International Journal of Molecular Sciences. 2022; 23(23):14552. https://doi.org/10.3390/ijms232314552
Chicago/Turabian StyleHo, Wen-Fu, Ka-Kin Wong, Mei-Hwa Lee, James L. Thomas, Ya-Chun Chang, Shih-Ching Wu, Hsueh-Chuan Hsu, and Hung-Yin Lin. 2022. "Biocompatibility of a Ti-Rich Medium-Entropy Alloy with Glioblastoma Astrocytoma Cells" International Journal of Molecular Sciences 23, no. 23: 14552. https://doi.org/10.3390/ijms232314552
APA StyleHo, W.-F., Wong, K.-K., Lee, M.-H., Thomas, J. L., Chang, Y.-C., Wu, S.-C., Hsu, H.-C., & Lin, H.-Y. (2022). Biocompatibility of a Ti-Rich Medium-Entropy Alloy with Glioblastoma Astrocytoma Cells. International Journal of Molecular Sciences, 23(23), 14552. https://doi.org/10.3390/ijms232314552

