Immunological Roles of TmToll-2 in Response to Escherichia coli Systemic Infection in Tenebrio molitor
Abstract
1. Introduction
2. Results
2.1. Sequence Analysis of TmToll-2
2.2. Developmental and Tissue Expression of TmToll-2
2.3. Temporal Expression of TmToll-2 Post-Systemic Infection
2.4. Effect of TmToll-2 RNAi on T. molitor Larval Survival
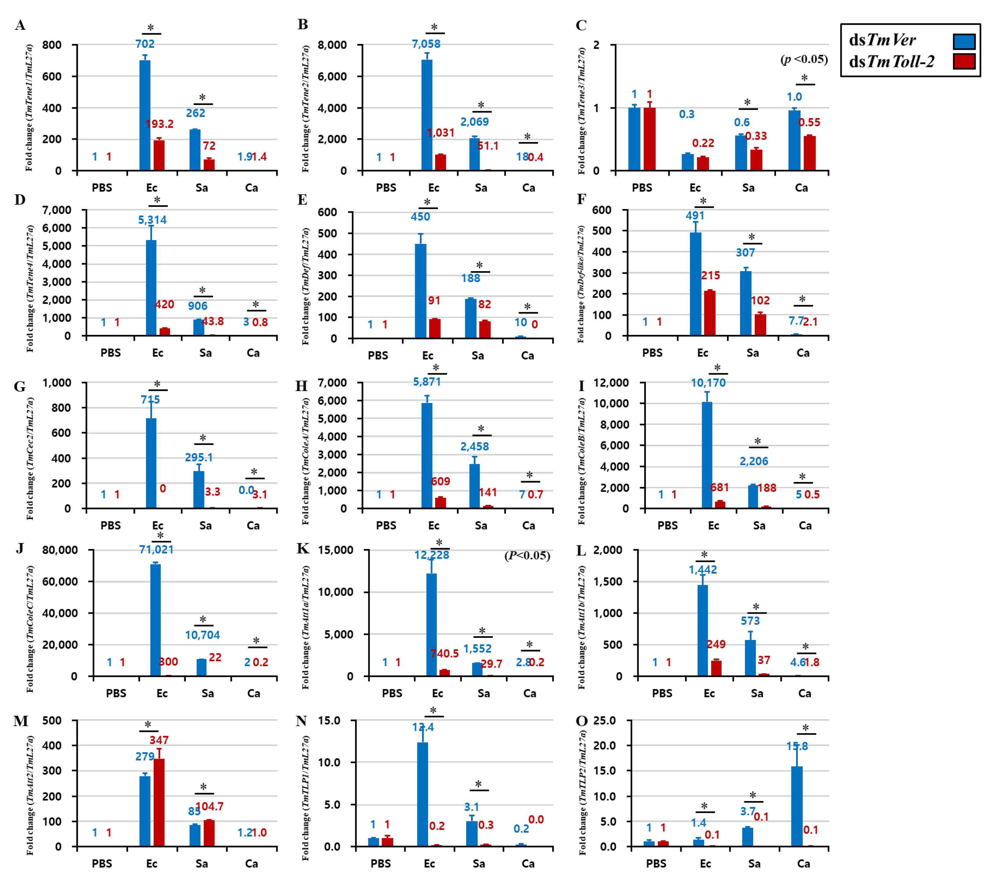
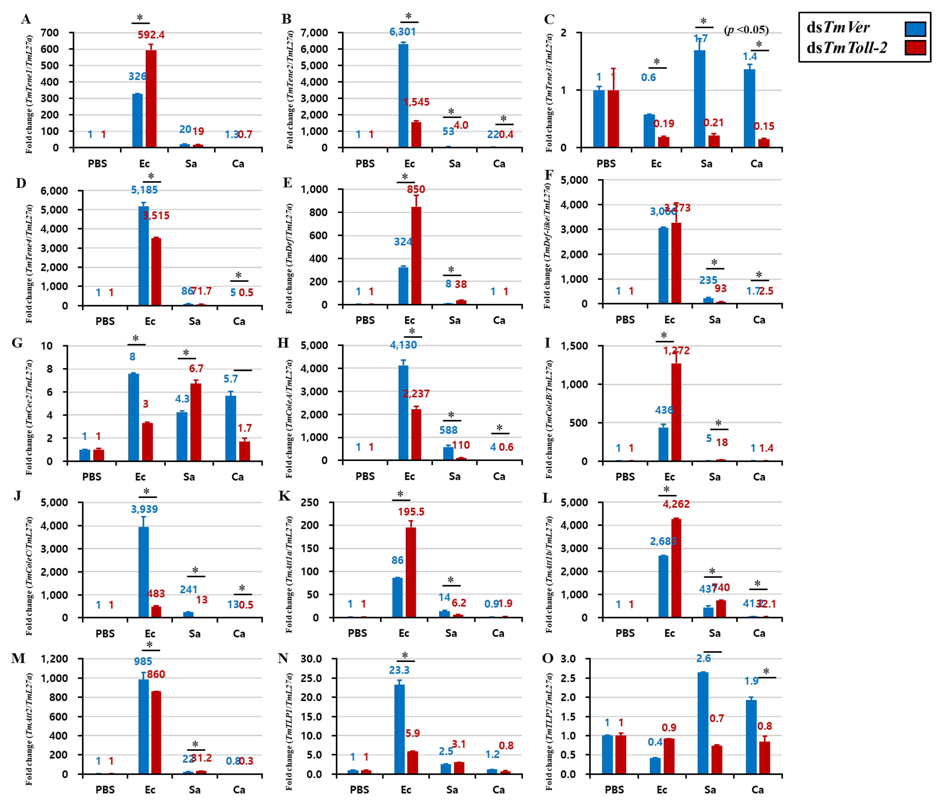
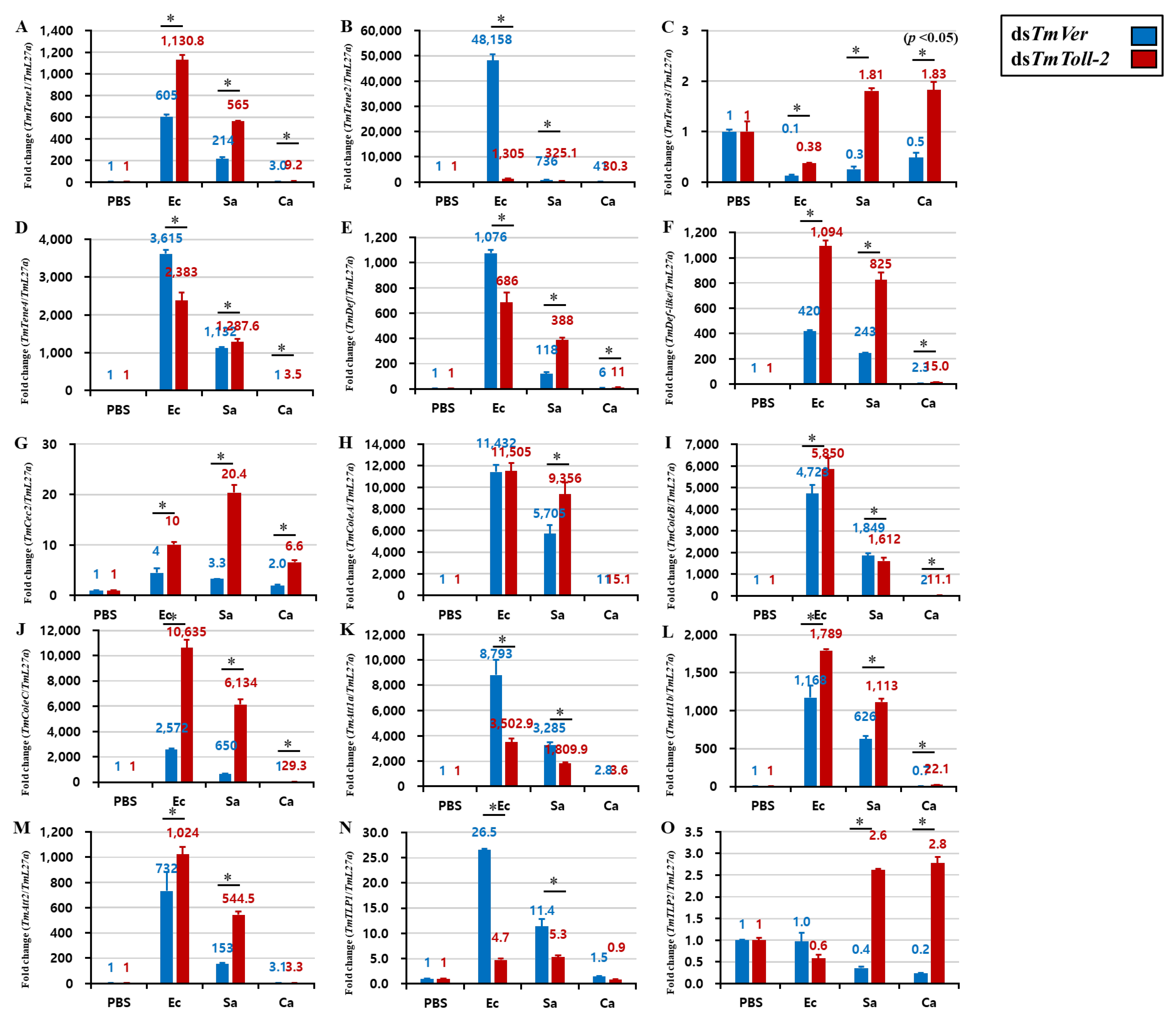
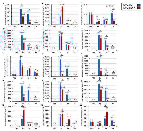
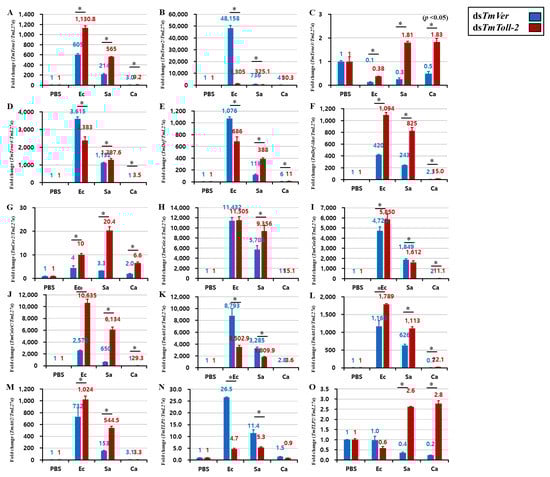
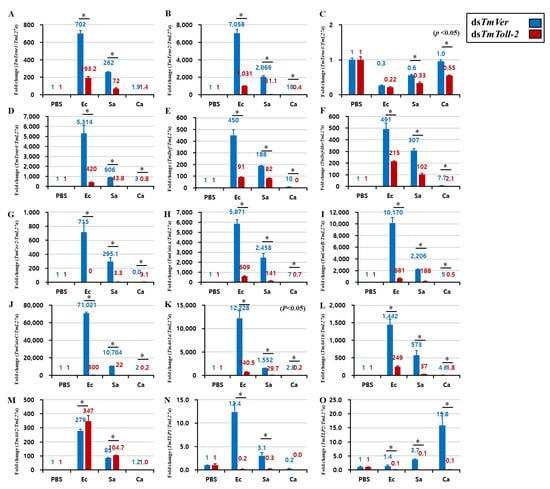
2.5. Effect of TmToll-2 Gene Silencing on the Expression of Antimicrobial Peptide and NF-κB Genes
3. Discussion
4. Materials and Methods
4.1. Insect Rearing and Preparation of Microorganisms
4.2. In Silico Analysis of TmToll-2
4.3. Expression and Induction Pattern Analysis of TmToll-2
4.4. RNA Interference Analysis
4.5. Effect of TmToll-2 Gene Silencing on Larval Mortality against Microbial Challenge
4.6. Effect of dsTmToll-2 RNAi on AMP and NF-κB Expression in Response to Microbial Challenge
4.7. Statistical Analysis
Supplementary Materials
Author Contributions
Funding
Conflicts of Interest
References
- Morisato, D.; Anderson, K.V. Signaling pathways that establish the dorsal-ventral pattern of the Drosophila embryo. Annu. Rev. Genet. 1995, 29, 371–399. [Google Scholar] [CrossRef] [PubMed]
- Yu, B.; Sang, Q.; Pan, G.; Li, C.; Zhou, Z. A toll-spätzle pathway in the immune response of Bombyx mori. Insects 2020, 11, 586. [Google Scholar] [CrossRef] [PubMed]
- Rosetto, M.; Engström, Y.; Baldari, C.T.; Telford, J.L.; Hultmark, D. Signals from the IL-1 receptor homolog, toll, can activate an immune response in a Drosophila hemocyte cell line. Biochem. Biophys. Res. Commun. 1995, 209, 111–116. [Google Scholar] [CrossRef]
- Nie, L.; Cai, S.-Y.; Shao, J.-Z.; Chen, J. Toll-like receptors, associated biological roles, and signaling networks in non-mammals. Front. Immunol. 2018, 9, 1523. [Google Scholar] [CrossRef]
- Kawasaki, T.; Kawai, T. Toll-like receptor signaling pathways. Front. Immunol. 2014, 461. [Google Scholar] [CrossRef]
- Ali Mohammadie Kojour, M.; Han, Y.S.; Jo, Y.H. An overview of insect innate immunity. Entomol. Res. 2020, 50, 282–291. [Google Scholar] [CrossRef]
- Valanne, S.; Wang, J.-H.; Rämet, M. The Drosophila toll signaling pathway. J. Immunol. 2011, 186, 649–656. [Google Scholar] [CrossRef]
- Sheehan, G.; Garvey, A.; Croke, M.; Kavanagh, K. Innate humoral immune defences in mammals and insects: The same, with differences? Virulence 2018, 9, 1625–1639. [Google Scholar] [CrossRef]
- Umetsu, D. Cell mechanics and cell-cell recognition controls by toll-like receptors in tissue morphogenesis and homeostasis. Fly 2022, 16, 233–247. [Google Scholar] [CrossRef]
- Takeda, K.; Akira, S. Toll-like receptors in innate immunity. Int. Immunol. 2005, 17, 1–14. [Google Scholar] [CrossRef]
- Leulier, F.; Lemaitre, B. Toll-like receptors—Taking an evolutionary approach. Nat. Rev. Genet. 2008, 9, 165–178. [Google Scholar] [CrossRef] [PubMed]
- Hetru, C.; Hoffmann, J.A. NF-κB in the immune response of Drosophila. Cold Spring Harb. Perspect. Biol. 2009, 1, a000232. [Google Scholar] [CrossRef] [PubMed]
- Gilbert, L.I. Insect Molecular Biology and Biochemistry; Academic Press: Cambridge, MA, USA, 2012. [Google Scholar]
- Muhammad, A.; Habineza, P.; Wang, X.; Xiao, R.; Ji, T.; Hou, Y.; Shi, Z. Spätzle homolog-mediated toll-like pathway regulates innate immune responses to maintain the homeostasis of gut microbiota in the red palm weevil, Rhynchophorus ferrugineus olivier (Coleoptera: Dryophthoridae). Front. Microbiol. 2020, 11, 846. [Google Scholar] [CrossRef]
- Manniello, M.; Moretta, A.; Salvia, R.; Scieuzo, C.; Lucchetti, D.; Vogel, H.; Sgambato, A.; Falabella, P. Insect antimicrobial peptides: Potential weapons to counteract the antibiotic resistance. Cell. Mol. Life Sci. 2021, 78, 4259–4282. [Google Scholar] [CrossRef] [PubMed]
- Lima, L.F.; Torres, A.Q.; Jardim, R.; Mesquita, R.D.; Schama, R. Evolution of toll, spatzle and MyD88 in insects: The problem of the diptera bias. BMC Genom. 2021, 22, 562. [Google Scholar] [CrossRef] [PubMed]
- Horng, T.; Medzhitov, R. Drosophila MyD88 is an adapter in the toll signaling pathway. Proc. Natl. Acad. Sci. USA 2001, 98, 12654–12658. [Google Scholar] [CrossRef] [PubMed]
- Tauszig, S.; Jouanguy, E.; Hoffmann, J.A.; Imler, J.-L. Toll-related receptors and the control of antimicrobial peptide expression in Drosophila. Proc. Natl. Acad. Sci. USA 2000, 97, 10520–10525. [Google Scholar] [CrossRef]
- Moure, U.A.E.; Tan, T.; Sha, L.; Lu, X.; Shao, Z.; Yang, G.; Wang, Y.; Cui, H. Advances in the immune regulatory role of non-coding RNAs (miRNAs and lncRNAs) in insect-pathogen interactions. Front. Immunol. 2022, 13, 856457. [Google Scholar] [CrossRef]
- Park, S.; Jo, Y.H.; Park, K.B.; Ko, H.J.; Kim, C.E.; Bae, Y.M.; Kim, B.; Jun, S.A.; Bang, I.S.; Lee, Y.S. TmToll-7 plays a crucial role in innate immune responses against gram-negative bacteria by regulating 5 AMP genes in Tenebrio molitor. Front. Immunol. 2019, 10, 310. [Google Scholar] [CrossRef]
- Ali Mohammadie Kojour, M.; Jang, H.A.; Edosa, T.T.; Keshavarz, M.; Kim, B.B.; Bae, Y.M.; Patnaik, B.B.; Han, Y.S.; Jo, Y.H. Identification, in silico characterization, and expression analysis of Tenebrio molitor cecropin-2. Entomol. Res. 2021, 51, 74–82. [Google Scholar] [CrossRef]
- Jang, H.A.; Park, K.B.; Kim, B.B.; Ali Mohammadie Kojour, M.; Bae, Y.M.; Baliarsingh, S.; Lee, Y.S.; Han, Y.S.; Jo, Y.H. In silico identification and expression analyses of defensin genes in the mealworm beetle Tenebrio molitor. Entomol. Res. 2020, 50, 575–585. [Google Scholar] [CrossRef]
- Jang, H.A.; Patnaik, B.B.; Ali Mohammadie Kojour, M.; Kim, B.B.; Bae, Y.M.; Park, K.B.; Lee, Y.S.; Jo, Y.H.; Han, Y.S. TmSpz-like plays a fundamental role in response to E. coli but not S. aureus or C. albican infection in Tenebrio molitor via regulation of antimicrobial peptide production. Int. J. Mol. Sci. 2021, 22, 10888. [Google Scholar] [CrossRef] [PubMed]
- Bae, Y.M.; Jo, Y.H.; Patnaik, B.B.; Kim, B.B.; Park, K.B.; Edosa, T.T.; Keshavarz, M.; Kojour, M.A.M.; Lee, Y.S.; Han, Y.S. Tenebrio molitor spätzle 1b is required to confer antibacterial defense against gram-negative bacteria by regulation of antimicrobial peptides. Front. Physiol. 2021, 12, 758859. [Google Scholar] [CrossRef] [PubMed]
- Edosa, T.T.; Jo, Y.H.; Keshavarz, M.; Bae, Y.M.; Kim, D.H.; Lee, Y.S.; Han, Y.S. TmSpz6 is essential for regulating the immune response to Escherichia coli and Staphylococcus aureus infection in Tenebrio molitor. Insects 2020, 11, 105. [Google Scholar] [CrossRef]
- Edosa, T.T.; Jo, Y.H.; Keshavarz, M.; Bae, Y.M.; Kim, D.H.; Lee, Y.S.; Han, Y.S. TmSpz4 plays an important role in regulating the production of antimicrobial peptides in response to Escherichia coli and Candida albicans infections. Int. J. Mol. Sci. 2020, 21, 1878. [Google Scholar] [CrossRef]
- Zhang, G.; Ghosh, S. Toll-like receptor–mediated NF-κB activation: A phylogenetically conserved paradigm in innate immunity. J. Clin. Investig. 2001, 107, 13–19. [Google Scholar] [CrossRef]
- Lewis, M.; Arnot, C.J.; Beeston, H.; McCoy, A.; Ashcroft, A.E.; Gay, N.J.; Gangloff, M. Cytokine spätzle binds to the Drosophila immunoreceptor toll with a neurotrophin-like specificity and couples receptor activation. Proc. Natl. Acad. Sci. USA 2013, 110, 20461–20466. [Google Scholar] [CrossRef]
- Zhang, R.; Li, X.; Zhang, J.; Li, Y.; Wang, Y.; Song, Y.; Ren, F.; Yi, H.; Deng, X.; Zhong, Y. Toll9 from Bombyx mori functions as a pattern recognition receptor that shares features with toll-like receptor 4 from mammals. Proc. Natl. Acad. Sci. USA 2021, 118, e2103021118. [Google Scholar] [CrossRef]
- Kambris, Z.; Hoffmann, J.A.; Imler, J.-L.; Capovilla, M. Tissue and stage-specific expression of the tolls in Drosophila embryos. Gene Expr. Patterns 2002, 2, 311–317. [Google Scholar] [CrossRef]
- Iijima, N.; Sato, K.; Kuranaga, E.; Umetsu, D. Differential cell adhesion implemented by Drosophila toll corrects local distortions of the anterior-posterior compartment boundary. Nat. Commun. 2020, 11, 6320. [Google Scholar] [CrossRef]
- Zhai, Z.; Boquete, J.-P.; Lemaitre, B. Cell-specific Imd-NF-κB responses enable simultaneous antibacterial immunity and intestinal epithelial cell shedding upon bacterial infection. Immunity 2018, 48, 897–910.e897. [Google Scholar] [CrossRef] [PubMed]
- Nishide, Y.; Kageyama, D.; Yokoi, K.; Jouraku, A.; Tanaka, H.; Futahashi, R.; Fukatsu, T. Functional crosstalk across Imd and Toll pathways: Insight into the evolution of incomplete immune cascades. Proc. R. Soc. B 2019, 286, 20182207. [Google Scholar] [CrossRef] [PubMed]
- Yu, Y.; Park, J.-W.; Kwon, H.-M.; Hwang, H.-O.; Jang, I.-H.; Masuda, A.; Kurokawa, K.; Nakayama, H.; Lee, W.-J.; Dohmae, N. Diversity of innate immune recognition mechanism for bacterial polymeric meso-diaminopimelic acid-type peptidoglycan in insects. J. Biol. Chem. 2010, 285, 32937–32945. [Google Scholar] [CrossRef] [PubMed]
- Capilla, A.; Karachentsev, D.; Patterson, R.A.; Hermann, A.; Juarez, M.T.; McGinnis, W. Toll pathway is required for wound-induced expression of barrier repair genes in the Drosophila epidermis. Proc. Natl. Acad. Sci. USA 2017, 114, E2682–E2688. [Google Scholar] [CrossRef] [PubMed]
- Yang, F.; Wang, Y.; Sumathipala, N.; Cao, X.; Kanost, M.R.; Jiang, H. Manduca sexta serpin-12 controls the prophenoloxidase activation system in larval hemolymph. Insect Biochem. Mol. Biol. 2018, 99, 27–36. [Google Scholar] [CrossRef]
- Kojour, M.A.M.; Edosa, T.T.; Am Jang, H.; Keshavarz, M.; Jo, Y.H.; Han, Y.S. Critical roles of spätzle5 in antimicrobial peptide production against Escherichia coli in Tenebrio molitor malpighian tubules. Front. Immunol. 2021, 12, 60475. [Google Scholar]
- Tingvall, T.Ö.; Roos, E.; Engström, Y. The imd gene is required for local cecropin expression in drosophila barrier epithelia. EMBO Rep. 2001, 2, 239–243. [Google Scholar] [CrossRef] [PubMed]
- Maire, J.; Vincent-Monégat, C.; Masson, F.; Zaidman-Rémy, A.; Heddi, A. An imd-like pathway mediates both endosymbiont control and host immunity in the cereal weevil sitophilus spp. Microbiome 2018, 6, 1–10. [Google Scholar] [CrossRef]
- Ma, M.; Tu, C.; Luo, J.; Lu, M.; Zhang, S.; Xu, L. Metabolic and immunological effects of gut microbiota in leaf beetles at the local and systemic levels. Integr. Zool. 2021, 16, 313–323. [Google Scholar] [CrossRef]
- Davis, M.M.; Engström, Y. Immune response in the barrier epithelia: Lessons from the fruit fly drosophila melanogaster. J. Innate Immun. 2012, 4, 273–283. [Google Scholar] [CrossRef]
- Lee, J.-H.; Lee, K.-A.; Lee, W.-J. Microbiota, gut physiology, and insect immunity. In Advances in Insect Physiology; Elsevier: Amsterdam, The Netherlands, 2017; Volume 52, pp. 111–138. [Google Scholar]
- Dawadi, B.; Wang, X.; Xiao, R.; Muhammad, A.; Hou, Y.; Shi, Z. PGRP-LB homolog acts as a negative modulator of immunity in maintaining the gut-microbe symbiosis of red palm weevil, Rhynchophorus ferrugineus olivier. Dev. Comp. Immunol. 2018, 86, 65–77. [Google Scholar] [CrossRef]
- Myllymäki, H.; Valanne, S.; Rämet, M. The drosophila imd signaling pathway. J. Immunol. 2014, 192, 3455–3462. [Google Scholar] [CrossRef] [PubMed]
- Keshavarz, M.; Jo, Y.H.; Patnaik, B.B.; Park, K.B.; Ko, H.J.; Kim, C.E.; Edosa, T.T.; Lee, Y.S.; Han, Y.S. TmRelish is required for regulating the antimicrobial responses to Escherichia coli and Staphylococcus aureus in Tenebrio molitor. Sci. Rep. 2020, 10, 4258. [Google Scholar] [CrossRef] [PubMed]
- Keshavarz, M.; Jo, Y.H.; Edosa, T.T.; Han, Y.S. Tenebrio molitor PGRP-LE plays a critical role in gut antimicrobial peptide production in response to Escherichia coli. Front. Physiol. 2020, 11, 320. [Google Scholar] [CrossRef] [PubMed]
- Jo, Y.H.; Patnaik, B.B.; Hwang, J.; Park, K.B.; Ko, H.J.; Kim, C.E.; Bae, Y.M.; Jung, W.J.; Lee, Y.S.; Han, Y.S. Regulation of the expression of nine antimicrobial peptide genes by TmIMD confers resistance against gram-negative bacteria. Sci. Rep. 2019, 9, 10138. [Google Scholar] [CrossRef] [PubMed]
- Keshavarz, M.; Jo, Y.H.; Edosa, T.T.; Bae, Y.M.; Han, Y.S. TmPGRP-SA regulates antimicrobial response to bacteria and fungi in the fat body and gut of Tenebrio molitor. Int. J. Mol. Sci. 2020, 21, 2113. [Google Scholar] [CrossRef] [PubMed]
- Jang, H.A.; Ali Mohammadie Kojour, M.; Patnaik, B.B.; Han, Y.S.; Jo, Y.H. Current status of immune deficiency pathway in Tenebrio molitor innate immunity. Front. Immunol. 2022, 13, 906192. [Google Scholar] [CrossRef] [PubMed]
- Wu, S.-C.; Liao, C.-W.; Pan, R.-L.; Juang, J.-L. Infection-induced intestinal oxidative stress triggers organ-to-organ immunological communication in Drosophila. Cell Host Microbe 2012, 11, 410–417. [Google Scholar] [CrossRef] [PubMed]
- Beckage, N.E. Insect Immunology; Academic Press: Cambridge, MA, USA, 2011. [Google Scholar]
- Keshavarz, M.; Jo, Y.H.; Park, K.B.; Ko, H.J.; Edosa, T.T.; Lee, Y.S.; Han, Y.S. TmDorX2 positively regulates antimicrobial peptides in Tenebrio molitor gut, fat body, and hemocytes in response to bacterial and fungal infection. Sci. Rep. 2019, 9, 16878. [Google Scholar] [CrossRef]
- Chae, J.-H.; Kurokawa, K.; So, Y.-I.; Hwang, H.O.; Kim, M.-S.; Park, J.-W.; Jo, Y.-H.; Lee, Y.S.; Lee, B.L. Purification and characterization of tenecin 4, a new anti-gram-negative bacterial peptide, from the beetle Tenebrio molitor. Dev. Comp. Immunol. 2012, 36, 540–546. [Google Scholar] [CrossRef]
- Jo, Y.H.; Kim, Y.J.; Park, K.B.; Seong, J.H.; Kim, S.G.; Park, S.; Noh, M.Y.; Lee, Y.S.; Han, Y.S. TmCactin plays an important role in gram-negative and-positive bacterial infection by regulating expression of 7 AMP genes in Tenebrio molitor. Sci. Rep. 2017, 7, 1–12. [Google Scholar] [CrossRef] [PubMed]
- Altschul, S.F.; Gish, W.; Miller, W.; Myers, E.W.; Lipman, D.J. Basic local alignment search tool. J. Mol. Biol. 1990, 215, 403–410. [Google Scholar] [CrossRef]
- Larkin, M.; Blackshields, G.; Brown, N.; Chenna, R.; McGettigan, P.; McWilliam, H.; Valentin, F.; Wallace, I.M.; Wilm, A.; Lopez, R.; et al. Clustal W and Clustal X Version 2.0. Bioinformatics 1990, 23, 2947–2948. [Google Scholar] [CrossRef] [PubMed]
- Kumar, S.; Stecher, G.; Tamura, K. Mega7: Molecular evolutionary genetics analysis version 7.0 for bigger datasets. Mol. Biol. Evol. 2016, 33, 1870–1874. [Google Scholar] [CrossRef]
- Schmittgen, T.L.; Ivak, K.J. Analyzing Real-Time PCR Data by the Comparative CT Method. Nat. Protoc. 2008, 3, 1101–1108. [Google Scholar] [CrossRef]
- Ko, H.J.; Patnaik, B.B.; Park, K.B.; Kim, C.E.; Baliarsingh, S.; Jang, H.A.; Lee, Y.S.; Han, Y.S.; Jo, Y.H. TmIKKε is required to confer protection against gram-negative bacteria, E. coli by the regulation of antimicrobial peptide production in the Tenebrio molitor fat body. Front. Physiol. 2022, 12, 758862. [Google Scholar] [CrossRef]
- Goel, M.K.; Khanna, P.; Kishore, J. Understanding survival analysis: Kaplan-meier estimate. Int. J. Ayurveda Res. 2010, 1, 274. [Google Scholar]









| Name | Primer Sequences (5′- → -3′) |
|---|---|
| TmToll-2-qPCR-Fw | TCTAGTAGACGTAGCGGTGA |
| TmToll-2-qPCR-Rev | AATCGCAAGTGAATGGGTTG |
| TmToll-2-T7-Fw | TAATACGACTCACTATAGGGTTCGGCGAAGACAAAGAAAGT |
| TmToll-2-T7-Rev | TAATACGACTCACTATAGGGTCCAAACCATCAAAACATCCC |
| TmL27a-qPCR-Fw | TCATCCTGAAGGCAAAGCTCCAGT |
| TmL27a-qPCR-Rev | AGGTTGGTTAGGCAGGCACCTTTA |
| TmVer-T7-Fw | TAATACGACTCACTATAGGGTCGAGAAGTCAGAGCAGCAA |
| TmVer-T7-Rev | TAATACGACTCACTATAGGGTACCACCAGTTCCCAGTTGAG |
| TmTenecin-1-Fw | CAGCTGAAGAAATCGAACAAGG |
| TmTenecin-1-Rev | CAGACCCTCTTTCCGTTACAGT |
| TmTenecin-2_Fw | CAGCAAAACGGAGGATGGTC |
| TmTenecin-2-Rev | CGTTGAAATCGTGATCTTGTCC |
| TmTenecin-3-Fw | GATTTGCTTGATTCTGGTGGTC |
| TmTenecin-3-Rev | CTGATGGCCTCCTAAATGTCC |
| TmTenecin-4-Fw | GGACATTGAAGATCCAGGAAAG |
| TmTenecin-4-Rev | CGGTGTTCCTTATGTAGAGCTG |
| TmDefensin-Fw | AAATCGAACAAGGCCAACAC |
| TmDefensin-Rev | GCAAATGCAGACCCTCTTTC |
| TmDefensin-like-Fw | GCGATGCCTCATGAAGATGTAG |
| TmDefensin-like-Rev | CCAATGCAAACACATTCGTC |
| TmColoptericinA-Fw | GGACAGAATGGTGGATGGTC |
| TmColoptericinA-Rev | CTCCAACATTCCAGGTAGGC |
| TmColoptericinB-Fw | CAGCTGTTGCCCACAAGTG |
| TmColoptericinB-Rev | CTCAACGTTGGTCCTGGTGT |
| TmColoptericinC-Fw | CAGCTGTTGCCCACAAGTG |
| TmColoptericinC-Rev | CTCAACGTTGGTCCTGGTGT |
| TmAttacin-1a-Fw | GAAACGAAATGGAAGGTGGA |
| TmAttacin-1a-Rev | TGCTTCGGCAGACAATACAG |
| TmAttacin-1b-Fw | CCCTCTGATGAAACCTCCAA |
| TmAttacin-1b-Rev | GAGCTGTGAATGCAGGACAA |
| TmAttacin-2-Fw | AACTGGGATATTCGCACGTC |
| TmAttacin-2-Rv | CCCTCCGAAATGTCTGTTGT |
| TmCecropin-2-Fw | TACTAGCAGCGCCAAAACCT |
| TmCecropin-2-Rev | CTGGAACATTAGGCGGAGAA |
| TmThaumatin-likeprotein-1-Fw | CTCAAAGGACACGCAGGACT |
| TmThaumatin-like protein-1-Rev | ACTTTGAGCTTCTCGGGACA |
| TmThaumatin-like protein-2-Fw | CCGTCTGGCTAGGAGTTCTG |
| TmThaumatin-like protein-2-Rev | ACTCCTCCAGCTCCGTTACA |
| TmDorsal1-qPCR-Fw | AGCGTTGAGGTTTCGGTATG |
| TmDorsal1-qPCR-Rev | TCTTTGGTGACGCAAGACAC |
| TmDorsal2-qPCR-Fw | ACACCCCCGAAATCACAAAC |
| TmDorsal2-qPCR-Rev | TTTCAGAGCGCCAGGTTTTG |
| TmRelish-qPCR-Fw | AGCGTCAAGTTGGAGCAGAT |
| TmRelish-qPCR-Rev | GTCCGGACCTCATCAAGTGT |
Publisher’s Note: MDPI stays neutral with regard to jurisdictional claims in published maps and institutional affiliations. |
© 2022 by the authors. Licensee MDPI, Basel, Switzerland. This article is an open access article distributed under the terms and conditions of the Creative Commons Attribution (CC BY) license (https://creativecommons.org/licenses/by/4.0/).
Share and Cite
Ali Mohammadie Kojour, M.; Jang, H.A.; Lee, Y.S.; Jo, Y.H.; Han, Y.S. Immunological Roles of TmToll-2 in Response to Escherichia coli Systemic Infection in Tenebrio molitor. Int. J. Mol. Sci. 2022, 23, 14490. https://doi.org/10.3390/ijms232214490
Ali Mohammadie Kojour M, Jang HA, Lee YS, Jo YH, Han YS. Immunological Roles of TmToll-2 in Response to Escherichia coli Systemic Infection in Tenebrio molitor. International Journal of Molecular Sciences. 2022; 23(22):14490. https://doi.org/10.3390/ijms232214490
Chicago/Turabian StyleAli Mohammadie Kojour, Maryam, Ho Am Jang, Yong Seok Lee, Yong Hun Jo, and Yeon Soo Han. 2022. "Immunological Roles of TmToll-2 in Response to Escherichia coli Systemic Infection in Tenebrio molitor" International Journal of Molecular Sciences 23, no. 22: 14490. https://doi.org/10.3390/ijms232214490
APA StyleAli Mohammadie Kojour, M., Jang, H. A., Lee, Y. S., Jo, Y. H., & Han, Y. S. (2022). Immunological Roles of TmToll-2 in Response to Escherichia coli Systemic Infection in Tenebrio molitor. International Journal of Molecular Sciences, 23(22), 14490. https://doi.org/10.3390/ijms232214490

