Integrated High-Throughput Sequencing, Microarray Hybridization and Degradome Analysis Uncovers MicroRNA-Mediated Resistance Responses of Maize to Pathogen Curvularia lunata
Abstract
1. Introduction
2. Results
2.1. Overview of sRNA Libraries
2.1.1. Characteristics of Four sRNA Libraries
2.1.2. Identification of Known MiRNAs
2.1.3. Identification of Novel MiRNAs
2.1.4. Analysis of MiRNA Family
2.2. MiRNAs Responsive to C. lunata Identified by Microarray
2.3. Target Genes of MiRNAs in Maize Searched through Degradome Analysis
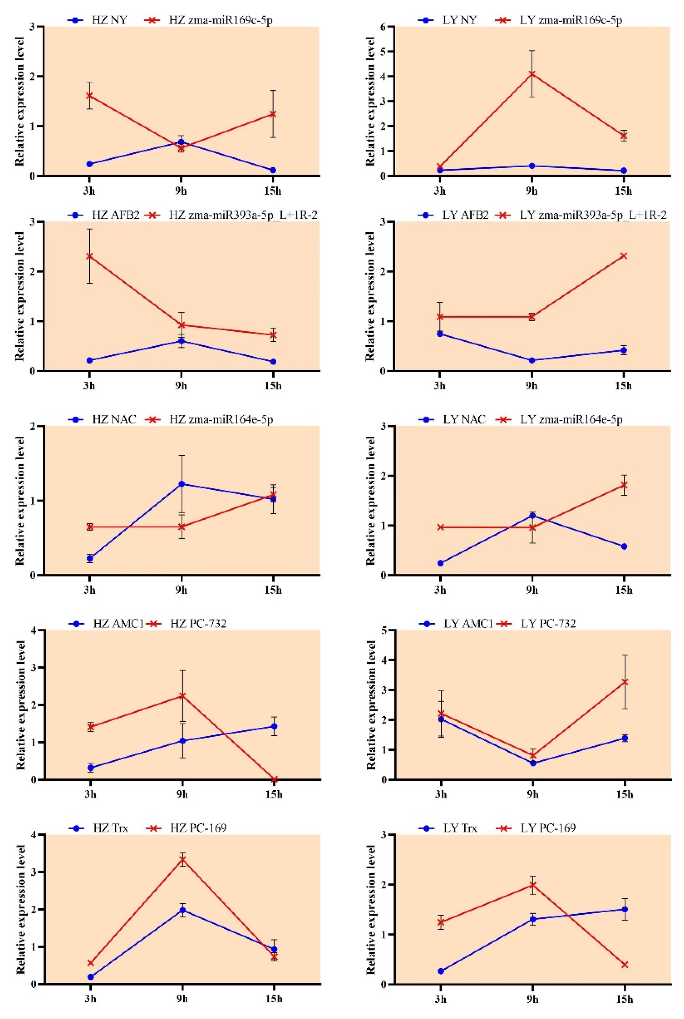
2.4. MiRNAs Associated to Disease Resistance Identified through Combined Analysis of High-Throughput Sequencing, Microarray Hybridization and Degradome
2.5. Knocking Down PC-732 Decreases Susceptibility of Maize to C. lunata
3. Discussion
4. Materials and Methods
4.1. Plant Materials
4.2. Pathogen Inoculation
4.3. Small RNA Libraries Construction, High-Throughput Sequencing and Data Analysis
4.4. MiRNA Microarray Assay
4.5. Degradome Library Construction, Sequencing and Analysis
4.6. Expression Pattern of MiRNAs and Their Target mRNAs Using Stem-Loop RT-PCR
4.7. The Combined Analysis
4.8. The Function Analysis of PC-732
5. Conclusions
Supplementary Materials
Author Contributions
Funding
Institutional Review Board Statement
Informed Consent Statement
Data Availability Statement
Conflicts of Interest
Abbreviations
| miRNAs | microRNAs |
| sRNA | small RNA |
| RNAi | RNA interference |
| stem-loop RT-PCR | stem-loop real-time PCR |
| QTL | quantitative trait locus |
| nt | nucleotide |
| hpi | hours post inoculation |
| GO | Gene Ontology |
| ATP | adenosine triphosphate |
| DNA | deoxyribonucleic acid |
| mRNA | messenger RNA |
| SMV | Soybean Mosaic Virus |
| UDP | Uridine diphosphate |
| UGT | glycosyltransferase |
| PGR | photogenerated reagent |
| RT-PCR | Reverse transcription PCR |
| qRT-PCR | quantificational real-time PCR |
| STTM | Short Tandem Target Mimic |
References
- Gao, S.; Li, Y.; Gao, J.; Suo, Y.; Fu, K.; Li, Y.; Chen, J. Genome sequence and virulence variation-related transcriptome profiles of Curvularia lunata, an important maize pathogenic fungus. BMC Genom. 2014, 15, 627. [Google Scholar] [CrossRef] [PubMed]
- Gao, S.; Liu, T.; Li, Y.; Wu, Q.; Fu, K.; Chen, J. Understanding resistant germplasm-induced virulence variation through analysis of proteomics and suppression subtractive hybridization in a maize pathogen Curvularia lunata. Proteomics 2012, 12, 23–24. [Google Scholar] [CrossRef] [PubMed]
- Xu, S.; Chen, J.; Liu, L.; Wang, X.; Huang, X.; Zhai, Y. Proteomics Associated with Virulence Differentiation of Curvularia lunata in Maize in China. J. Integr. Plant Biol. 2007, 49, 487–496. [Google Scholar] [CrossRef]
- Huang, X.; Liu, L.; Zhai, Y.; Liu, T.; Chen, J. Proteomic comparison of four maize inbred lines with different levels of resistance to Curvularia lunata (Wakker) Boed infection. Prog. Nat. Sci. 2009, 19, 353–358. [Google Scholar] [CrossRef]
- Hou, J.; Xing, Y.; Zhang, Y.; Tao, Y.; Tan, G.; Xu, M. Identification of quantitative trait loci for resistance to Curvularia leaf spot of maize. Maydica 2013, 58, 266–273. [Google Scholar]
- Kamthan, A.; Chaudhuri, A.; Kamthan, M.; Datta, A. Small RNAs in plants: Recent development and application for crop improvement. Front. Plant Sci. 2015, 6, 208. [Google Scholar] [CrossRef] [PubMed]
- Reinhart, B.J.; Weinstein, E.G.; Rhoades, M.W.; Bartel, B.; Bartel, D.P. MicroRNAs in plants. Gene. Dev. 2002, 16, 1616–1626. [Google Scholar] [CrossRef]
- Ding, X.; Ye, J.; Wu, X.; Huang, L.; Zhu, L.; Lin, S. Deep sequencing analyses of pine wood nematode Bursaphelenchus xylophilus microRNAs reveal distinct miRNA expression patterns during the pathological process of pine wilt disease. Gene 2015, 555, 346–356. [Google Scholar] [CrossRef]
- Xin, M.; Wang, Y.; Yao, Y.; Xie, C.; Peng, H.; Ni, Z.; Sun, Q. Diverse set of microRNAs are responsive to powdery mildew infection and heat stress in wheat (Triticum aestivum L.). BMC Plant Biol. 2010, 10, 128. [Google Scholar] [CrossRef]
- Mott, J.L.; Mohr, A.M. Overview of MicroRNA Biology. Semin Liver Dis. 2015, 35, 3–11. [Google Scholar] [CrossRef]
- Li, Y.; Zhang, Q.; Zhang, J.; Wu, L.; Qi, Y.; Zhou, J. Identification of MicroRNAs Involved in Pathogen-Associated Molecular Pattern-Triggered Plant Innate Immunity. Plant Physiol. 2010, 152, 2222–2231. [Google Scholar] [CrossRef] [PubMed]
- Navarro, L.; Dunoyer, P.; Jay, F.; Arnold, B.; Dharmasiri, N.; Estelle, M.; Voinnet, O.; Jones, J.D.G. A Plant miRNA Contributes to Antibacterial Resistance by Repressing Auxin Signaling. Science 2006, 312, 436–439. [Google Scholar] [CrossRef] [PubMed]
- Navarro, L.; Jay, F.; Nomura, K.; He, S.Y.; Voinnet, O. Suppression of the MicroRNA Pathway by Bacterial Effector Proteins. Science 2008, 321, 964–967. [Google Scholar] [CrossRef] [PubMed]
- Agorio, A.; Vera, P. ARGONAUTE4 is required for resistance to Pseudomonas syringae in Arabidopsis. Plant Cell 2007, 19, 3778–3790. [Google Scholar] [CrossRef] [PubMed]
- Feng, H.; Wang, B.; Zhang, Q.; Fu, Y.; Huang, L.; Wang, X.; Kang, Z. Exploration of microRNAs and their targets engaging in the resistance interaction between wheat and stripe rust. Front. Plant Sci. 2015, 6, 1–12. [Google Scholar] [CrossRef]
- Gupta, O.P.; Permar, V.; Koundal, V.; Singh, U.D.; Praveen, S. MicroRNA regulated defense responses in Triticum aestivum L. during Puccinia graminis f.sp. tritici infection. Mol. Biol. Rep. 2012, 39, 817–824. [Google Scholar] [CrossRef]
- Katiyar-Agarwal, S.; Jin, H. Role of Small RNAs in Host-Microbe Interactions. Annu. Rev. Phytopathol. 2010, 48, 225–246. [Google Scholar] [CrossRef]
- Guo, N.; Ye, W.; Wu, X.; Shen, D.; Wang, Y.; Xing, H.; Dou, D. Microarray profiling reveals microRNAs involving soybean resistance to Phytophthora sojae. Genome 2011, 54, 954–958. [Google Scholar] [CrossRef]
- Jin, W.; Wu, F.; Xiao, L.; Liang, G.; Zhen, Y.; Guo, Z.; Guo, A. Microarray-based analysis of tomato miRNA regulated by Botrytis cinerea. J. Plant Growth Regul. 2012, 31, 38–46. [Google Scholar] [CrossRef]
- Wu, F.; Shu, J.; Jin, W. Identification and validation of miRNAs associated with the resistance of maize (Zea mays L.) to Exserohilum turcicum. PLoS ONE 2014, 9, e87251. [Google Scholar] [CrossRef]
- Addo-Quaye, C.; Snyder, J.A.; Park, Y.B.; Li, Y.; Sunkar, R.; Axtell, M.J. Sliced microRNA targets and precise loop-first processing of MIR319 hairpins revealed by analysis of the Physcomitrella patens degradome. RNA 2009, 15, 2112–2121. [Google Scholar] [CrossRef]
- Addo-Quaye, C.; Eshoo, T.W.; Bartel, D.P.; Axtell, M.J. Endogenous siRNA and miRNA targets identified by sequencing of the Arabidopsis degradome. Curr. Biol. 2008, 18, 758–762. [Google Scholar] [CrossRef]
- Li, Y.; Zheng, Y.; Addo-Quaye, C.; Zhang, L.; Saini, A.; Jagadeeswaran, G.; Axtell, M.J.; Zhang, W.; Sunkar, R. Transcriptome-wide identification of microRNA targets in rice. Plant J. 2010, 62, 742–759. [Google Scholar] [CrossRef] [PubMed]
- Pantaleo, V.; Szittya, G.; Moxon, S.; Miozz, L.; Moulton, V.; Dalmay, T.; Burgyan, J. Identification of grapevine microRNAs and their targets using high-throughput sequencing and degradome analysis. Plant J. 2010, 62, 960–976. [Google Scholar] [CrossRef] [PubMed]
- Song, Q.; Liu, Y.; Hu, X.; Zhang, W.; Ma, B.; Chen, S.; Zhang, J. Identification of miRNAs and their target genes in developing soybean seeds by deep sequencing. BMC Plant Biol. 2011, 11, 5. [Google Scholar] [CrossRef]
- Zhao, M.; Tai, H.; Sun, S.; Zhang, F.; Xu, Y.; Li, W. Cloning and Characterization of Maize miRNAs Involved in Responses to Nitrogen Deficiency. PLoS ONE 2012, 17, e29669. [Google Scholar] [CrossRef] [PubMed]
- Mao, W.; Li, Z.; Xia, X.; Li, Y.; Yu, J. A Combined Approach of High-Throughput Sequencing and Degradome Analysis Reveals Tissue Specific Expression of MicroRNAs and Their Targets in Cucumber. PLoS ONE 2012, 7, e33040. [Google Scholar] [CrossRef]
- Zhang, L.; Chia, J.-M.; Kumari, S.; Stein, J.C.; Liu, Z.; Narechania, A.; Maher, C.A.; Guill, K.; McMullen, M.D.; Ware, D. A Genome-Wide Characterization of MicroRNA Genes in Maize. PLoS Genet. 2009, 5, e1000716. [Google Scholar] [CrossRef]
- Yan, J.; Gu, Y.; Jia, X.; Kang, W.; Pan, S.; Tang, X.; Chen, X.; Tang, G. Effective Small RNA Destruction by the Expression of a Short Tandem Target Mimic in Arabidopsis. Plant Cell 2012, 24, 415–427. [Google Scholar] [CrossRef]
- Kong, X.; Zhang, M.; Xu, X.; Li, X.; Li, C.; Ding, Z. System analysis of microRNAs in the development and aluminium stress responses of the maize root system. Plant Biotechnol. J. 2014, 12, 1108–1121. [Google Scholar] [CrossRef]
- Eyles, R.P.; Williams, P.H.; Ohms, S.J.; Weiller, G.F.; Ogilvie, H.A.; Djordjevic, M.A. MicroRNA profiling of root tissues and root forming explant cultures in Medicago truncatula. Planta 2013, 238, 91–105. [Google Scholar] [CrossRef] [PubMed]
- Lakhotia, N.; Joshi, G.; Bhardwaj, A.R.; Katiyar-Agarwal, S.; Agarwal, M.; Jagannath, A.; Goel, S.; Kumar, A. Identification and characterization of miRNAome in root, stem, leaf and tuber developmental stages of potato (Solanum tuberosum L.) by high-throughput sequencing. BMC Plant Biol. 2014, 14, 1–16. [Google Scholar] [CrossRef] [PubMed]
- Huang, S.; Peng, J.; Qiu, C.; Yang, Z. Heavy metal-regulated new microRNAs from rice. J. Inorg. Biochem. 2009, 103, 282–287. [Google Scholar] [CrossRef] [PubMed]
- Kim, B.; Yu, H.-J.; Park, S.-G.; Shin, J.Y.; Oh, M.; Kim, N.; Mun, J.-H. Identification and profiling of novel microRNAs in the Brassica rapa genome based on small RNA deep sequencing. BMC Plant Biol. 2012, 12, 62. [Google Scholar] [CrossRef] [PubMed]
- Bao, D.; Ganbaatar, O.; Cui, X.; Yu, R.; Bao, W.; Falk, B.W.; Wuriyanghan, H. Down-regulation of genes coding for core RNAi components and disease resistance proteins via corresponding microRNAs might be correlated with successful Soybean mosaic virus infection in soybean. Mol. Plant Pathol. 2017, 19, 948–960. [Google Scholar] [CrossRef]
- Xue, C.; Zhao, Z.; Xiao, S.; Huang, W.; Cai, L.; Chen, J. Infection Process of Curvularia lunata on Corn Leaf Observed in Incompatible Interaction. J. Maize Sci. 2010, 18, 139–141. [Google Scholar] [CrossRef]
- Zhou, M.; Gu, L.; Li, P.; Song, X.; Wei, L.; Chen, Z.; Cao, X. Degradome sequencing reveals endogenous small RNA targets in rice (Oryza sativa L. ssp. indica). Front. Biol. 2010, 5, 67–90. [Google Scholar] [CrossRef]
- Ding, Y.; Chen, Z.; Zhu, C. Microarray-based analysis of cadmium-responsive microRNAs in rice (Oryza sativa). J. Exp. Bot. 2011, 62, 3563–3573. [Google Scholar] [CrossRef]
- Axtell, M.J.; Bartel, D.P. Antiquity of microRNAs and their targets in land plants. Plant Cell 2005, 17, 1658–1673. [Google Scholar] [CrossRef]
- Axtell, M.J.; Snyder, J.A.; Bartel, D.P. Common functions for diverse small RNAs of land plants. Plant Cell 2007, 19, 1750–1769. [Google Scholar] [CrossRef]
- Khalfallah, Y.; Bouktila, D.; Habachi-Houimli, Y.; Makni, H. Regulation of NBS-LRR genes by MicroRNAs in wheat: Computational identification of candidate MIR-2118 genes and evidence of flexibility. Cereal Res. Commun. 2017, 45, 1–10. [Google Scholar] [CrossRef]
- Zhu, Q.; Fan, L.; Liu, Y.; Xu, H.; Llewellyn, D.; Wilson, I. miR482 Regulation of NBS-LRR Defense Genes during Fungal Pathogen Infection in Cotton. PLoS ONE 2013, 8, e8439. [Google Scholar] [CrossRef] [PubMed]
- Cárdenas, F.d.F.R.; Suárez, Y.R.; Rangel, R.M.C.; Garcia, V.L.; Aguilera, K.L.G.; Martínez, N.M.; Folter, S.d. Effect of Constitutive miR164 Expression on Plant Morphology and Fruit Development in Arabidopsis and Tomato. Agronomy 2017, 7, 48. [Google Scholar] [CrossRef]
- D’haeseleer, K.; Herder, G.D.; Laffont, C.; Plet, J.; Mortier, V.; Lelandais-Brière, C.; Bodt, S.D.; Keyser, A.D.; Crespi, M.; Holsters, M.; et al. Transcriptional and post-transcriptional regulation of an NAC1 transcription factor in Medicago truncatula roots. New Phytol. 2011, 191, 647–661. [Google Scholar] [CrossRef] [PubMed]
- Mallory, A.C.; Dugas, D.V.; Bartel, D.P.; Bartel, B. MicroRNA regulation of NAC-domain targets is required for proper formation and separation of adjacent embryonic, vegetative, and floral organs. Curr. Biol. 2004, 14, 1035–1046. [Google Scholar] [CrossRef]
- Cheng, Y.; Zhou, Y.; Yang, Y.; Chi, Y.-J.; Zhou, J.; Chen, J.-Y.; Wang, F.; Baofang, F.; Shi, K.; Zhou, Y.-H.; et al. Structural and functional analysis of VQ motif-containing proteins in Arabidopsis as interacting proteins of WRKY transcription factors. Plant Physiol. 2012, 159, 810–825. [Google Scholar] [CrossRef]
- Ishikawa, T.; Uchimiya, H.; Kawai-Yamada, M. The role of plant Bax inhibitor-1 in suppressing H2O2-induced cell death. Method Enzymol. 2013, 527, 239–256. [Google Scholar] [CrossRef]
- Ganesan, G.; Sankararamasubramanian, H.M.; Narayanan, J.M.; Sivaprakash, K.R.; Parida, A. Transcript level characterization of a cDNA encoding stress regulated NAC transcription factor in the mangrove plant Avicennia marina. Plant Physiol. Bioch. 2008, 46, 928–934. [Google Scholar] [CrossRef]
- Cao, H.; Glazebrook, J.; Clarke, J.; Volko, S.; Dong, X. The Arabidopsis NPR1 Gene That Controls Systemic Acquired Resistance Encodes a Novel Protein Containing Ankyrin Repeats. Cell 1997, 88, 57–63. [Google Scholar] [CrossRef]
- Qi, X.; Tang, W.; Li, W.; He, Z.; Xu, W.; Fan, Z.; Zhou, Y.; Wang, C.; Xu, Z.; Chen, J.; et al. Arabidopsis G-Protein β Subunit AGB1 Negatively Regulates DNA Binding of MYB62, a Suppressor in the Gibberellin Pathway. Int. J. Mol. Sci. 2021, 22, 8270. [Google Scholar] [CrossRef]
- Kumari, P.; Kakkar, M.; Gahlaut, V.; Jaiswal, V.; Kumar, S. Multifarious Roles of GRAS Transcription Factors in Plants. Preprints 2021, 2021, 030066. [Google Scholar] [CrossRef]
- Bock, K.W. The UDP-glycosyltransferase (UGT) superfamily expressed in humans, insects and plants: Animal–plant arms-race and co-evolution. Biochem. Pharmacol. 2016, 99, 11–17. [Google Scholar] [CrossRef] [PubMed]
- Tada, Y.; Spoel, S.H.; Pajerowska-Mukhtar, K.; Mou, Z.; Song, J.; Wang, C.; Zuo, J.; Dong, X. Plant Immunity Requires Conformational Charges of NPR1 via S-Nitrosylation and Thioredoxins. Science 2008, 321, 952–956. [Google Scholar] [CrossRef] [PubMed]
- Hao, L.; Goodwin, P.H.; Hsiang, T. Expression of a metacaspase gene of Nicotiana benthamiana after inoculation with Colletotrichum destructivum or Pseudomonas syringae pv. tomato, and the effect of silencing the gene on the host response. Plant Cell Rep. 2007, 26, 1879–1888. [Google Scholar] [CrossRef]
- Coll, N.S.; Vercammen, D.; Smidler, A.; Clover, C.; Breusegem, F.V.; Dangl, J.L.; Epple, P. Arabidopsis Type I Metacaspases Control Cell Death. Science 2010, 330, 1393–1397. [Google Scholar] [CrossRef]
- Liu, T.; Liu, L.; Jiang, X.; Huang, X.; Chen, J. A new furanoid toxin produced by Curvularia lunata, the causal agent of maize Curvularia leaf spot. Can. J. Plant Pathol. 2009, 31, 22–27. [Google Scholar] [CrossRef]
- Li, M.; Xia, Y.; Gu, Y.; Zhang, K.; Lang, Q.; Chen, L.; Guan, J.; Luo, Z.; Chen, H.; Li, Y.; et al. MicroRNAome of Porcine Pre- and Postnatal Development. PLoS ONE 2010, 5, e11541. [Google Scholar] [CrossRef]
- Bolstad, B.M.; Irizarry, R.A.; Astrand, M.; Speed, T.P. A comparison of normalization methods for high density oligonucleotide array data based on variance and bias. Bioinformatics 2003, 19, 185–193. [Google Scholar] [CrossRef]
- Kantar, M.; Lucas, S.J.; Budak, H. miRNA expression patterns of Triticum dicoccoides in response to shock drought stress. Planta 2011, 233, 471–484. [Google Scholar] [CrossRef]
- Liu, Y.; Li, D.; Zhang, S.; Zhang, L.; Gong, J.; Li, Y.; Chen, J.; Zhang, F.; Liao, X.; Chen, Z.; et al. Integrated Analysis of Microarray, Small RNA, and Degradome Datasets Uncovers the Role of MicroRNAs in Temperature-Sensitive Genic Male Sterility in Wheat. Int. J. Mol. Sci. 2022, 23, 8057. [Google Scholar] [CrossRef]
- Peng, Y.; Zhang, X.; Liu, Y.; Chen, X. Exploring Heat-Response Mechanisms of MicroRNAs Based on Microarray Data of Rice Post-meiosis Panicle. Int. J. Genomics 2020, 2020, 7582612. [Google Scholar] [CrossRef] [PubMed]
- Eisen, A.; Sattah, M.; Gazitt, T.; Neal, K.C. A novel DEAD-box RNA helicase exhibits high sequence conservation from yeast to humans. BBA-Biomembr. 1998, 1397, 131–136. [Google Scholar] [CrossRef]
- Ma, Z.; Coruh, C.; Axtell, M.J. Arabidopsis lyrata Small RNAs: Transient MIRNA and Small Interfering RNA Loci within the Arabidopsis Genus. Plant Cell 2010, 22, 1090–1103. [Google Scholar] [CrossRef] [PubMed]
- Addo-Quaye, C.; Miller, W.; Axtell, M.J. CleaveLand: A pipeline for using degradome data to find cleaved small RNA targets. Bioinformatics 2009, 25, 130–131. [Google Scholar] [CrossRef]
- German, M.A.; Pillay, M.; Jeong, D.-H.; Hetawal, A.; Luo, S.; Janardhanan, P.; Kannan, V.; Rymarquis, L.A.; Nobuta, K.; German, R.; et al. Global identification of microRNA–target RNA pairs by parallel analysis of RNA ends. Nat. Biotechnol. 2008, 26, 941–946. [Google Scholar] [CrossRef]
- Xing, L.; Zhu, M.; Luan, M.; Zhang, M.; Jin, L.; Liu, Y.; Zou, J.; Wang, L.; Xu, M. miR169q and NUCLEAR FACTOR YA8 enhance salt tolerance by activating PEROXIDASE1 expression in response to ROS. Plant Physiol. 2022, 188, 608–623. [Google Scholar] [CrossRef]










| Category | ltR1 | ltR2 | ltR3 | ltR4 | ||||
|---|---|---|---|---|---|---|---|---|
| Unique sRNAs | Total sRNAs | Unique sRNAs | Total sRNAs | Unique sRNAs | Total sRNAs | Unique sRNAs | Total sRNAs | |
| Raw reads | 1,050,117 (100%) | 7,899,745 (100%) | 910,208 (100%) | 6,443,535 (100%) | 848,756 (100%) | 7,508,744 (100%) | 1,009,022 (100%) | 7,250,729 (100%) |
| 3ADT&length filter | 454,446 (43.28%) | 2,365,487 (29.94%) | 429,846 (13.06%) | 2,479,058 (38.47%) | 451,091 (53.15%) | 2,916,553 (38.84%) | 459,048 (45.49%) | 2,685,086 (37.03%) |
| Junk reads | 3778 (0.36%) | 6352 (0.08%) | 2916 (0.32%) | 4807 (0.07%) | 2655 (0.31%) | 6630 (0.09%) | 3535 (0.35%) | 5913 (0.08%) |
| Rfam | 64,914 (6.18%) | 886,230 (11.22%) | 55,806 (6.13%) | 719,210 (11.16%) | 48,798 (5.75%) | 805,644 (10.73%) | 55,694 (5.52%) | 919,838 (12.69%) |
| mRNA | 76,579 (7.29%) | 324,059 (4.10%) | 70,179 (7.71%) | 327,289 (5.08%) | 67,498 (7.95%) | 325,434 (4.33%) | 84,851 (8.41%) | 323,200 (4.46%) |
| Repeats | 2855 (0.27%) | 21,889 (0.28%) | 2850 (0.31%) | 19,085 (0.3%) | 2923 (0.34%) | 29,134 (0.39%) | 2452 (0.24%) | 25,263 (0.35%) |
| miRNA | 2286 (0.22%) | 71,161 (0.9%) | 2145 (0.24%) | 76,375 (1.19%) | 1556 (0.18%) | 47,352 (0.63%) | 2504 (0.25%) | 79,071 (1.09%) |
| Clean reads | 453,404 (43.18%) | 4,294,732 (54.37%) | 354,557 (38.95%) | 2,888,230 (44.82%) | 282,051 (33.23%) | 3,444,122 (45.87%) | 408,151 (40.45%) | 3,351,119 (46.22%) |
| other Rfam RNA | 6034 (0.08%) | 85,212 (1.08%) | 5018 (0.08%) | 78,366 (1.22%) | 5081 (0.07%) | 127,599 (1.70%) | 4684 (0.06%) | 90,218 (1.24%) |
| Sample | HZ (Number) | HZ (Ratio) | LY (Number) | LY (Ratio) | Sum (Number) | Sum (Ratio) |
|---|---|---|---|---|---|---|
| Raw reads | 11,519,270 | / | 14,012,080 | / | 25,531,350 | / |
| Reads < 15 nt after removing 3′ adaptor | 45,342 | 0.39% | 50,584 | 0.36% | 95,926 | 0.38% |
| Mappable reads | 11,473,928 | 99.61% | 13,961,496 | 99.64% | 25,435,424 | 99.62% |
| Unique raw reads | 3,831,009 | / | 3,571,729 | / | 6,472,505 | / |
| Unique reads < 15 nt after removing 3′ adaptor | 21,354 | 0.56% | 19,150 | 0.54% | 35,779 | 0.55% |
| Unique mappable reads | 3,809,655 | 99.44% | 3,552,579 | 99.46% | 6,436,726 | 99.45% |
| Transcript mapped reads | 9,517,279 | 82.62% | 11,676,151 | 83.33% | 21,193,430 | 83.01% |
| Unique transcript mapped reads | 2,996,086 | 78.21% | 2,864,461 | 80.20% | 5,017,136 | 77.51% |
| Number of input transcript | 88,760 | / | 88,760 | / | 88,760 | / |
| Number of covered transcript | 64,926 | 73.15% | 65,140 | 73.39% | 69,774 | 78.61% |
Publisher’s Note: MDPI stays neutral with regard to jurisdictional claims in published maps and institutional affiliations. |
© 2022 by the authors. Licensee MDPI, Basel, Switzerland. This article is an open access article distributed under the terms and conditions of the Creative Commons Attribution (CC BY) license (https://creativecommons.org/licenses/by/4.0/).
Share and Cite
Wang, W.; Liu, Z.; An, X.; Jin, Y.; Hou, J.; Liu, T. Integrated High-Throughput Sequencing, Microarray Hybridization and Degradome Analysis Uncovers MicroRNA-Mediated Resistance Responses of Maize to Pathogen Curvularia lunata. Int. J. Mol. Sci. 2022, 23, 14038. https://doi.org/10.3390/ijms232214038
Wang W, Liu Z, An X, Jin Y, Hou J, Liu T. Integrated High-Throughput Sequencing, Microarray Hybridization and Degradome Analysis Uncovers MicroRNA-Mediated Resistance Responses of Maize to Pathogen Curvularia lunata. International Journal of Molecular Sciences. 2022; 23(22):14038. https://doi.org/10.3390/ijms232214038
Chicago/Turabian StyleWang, Weiwei, Zhen Liu, Xinyuan An, Yazhong Jin, Jumei Hou, and Tong Liu. 2022. "Integrated High-Throughput Sequencing, Microarray Hybridization and Degradome Analysis Uncovers MicroRNA-Mediated Resistance Responses of Maize to Pathogen Curvularia lunata" International Journal of Molecular Sciences 23, no. 22: 14038. https://doi.org/10.3390/ijms232214038
APA StyleWang, W., Liu, Z., An, X., Jin, Y., Hou, J., & Liu, T. (2022). Integrated High-Throughput Sequencing, Microarray Hybridization and Degradome Analysis Uncovers MicroRNA-Mediated Resistance Responses of Maize to Pathogen Curvularia lunata. International Journal of Molecular Sciences, 23(22), 14038. https://doi.org/10.3390/ijms232214038

