Abstract
Steroids with a nitrogen-containing heterocycle in the side chain are known as effective inhibitors of androgen signaling and/or testosterone biosynthesis, thus showing beneficial effects for the treatment of prostate cancer. In this work, a series of 3β-hydroxy-5-ene steroids, containing an isoxazole fragment in their side chain, was synthesized. The key steps included the preparation of Weinreb amide, its conversion to acetylenic ketones, and the 1,2- or 1,4-addition of hydroxylamine, depending on the solvent used. The biological activity of the obtained compounds was studied in a number of tests, including their effects on 17α-hydroxylase and 17,20-lyase activity of human CYP17A1 and the ability of selected compounds to affect the downstream androgen receptor signaling. Three derivatives diminished the transcriptional activity of androgen receptor and displayed reasonable antiproliferative activity. The candidate compound, 24j (17R)-17-((3-(2-hydroxypropan-2-yl)isoxazol-5-yl)methyl)-androst-5-en-3β-ol, suppressed the androgen receptor signaling and decreased its protein level in two prostate cancer cell lines, LNCaP and LAPC-4. Interaction of compounds with CYP17A1 and the androgen receptor was confirmed and described by molecular docking.
1. Introduction
Prostate cancer (PCa) is the most common cancer in men in developed countries. More than 80 years have passed since Charles Huggins showed that a decrease in androgen levels in patients with PCa causes tumor regression [1]. The androgenic pathway remains the main target of prostate cancer therapies—it plays a major role in the formation and progression of this type of cancer [2]. Therapy has aimed at reducing the content of testosterone in the blood, which can significantly slow down the process of tumor development and alleviate the patient’s condition. Therefore, a number of drugs are used to block the synthesis of androgens in the testes or adrenal cortex as an accepted alternative to surgical intervention (orchiectomy).
The most important step in the biosynthesis of androgens is the conversion of pregnenolone to 17α-OH-pregnenolone, and then to dehydroepiandrosterone (DHEA), secreted by the testes and adrenal cortex [3]. Both reactions proceed with the participation of cytochrome P450 CYP17A1, which combines the functions of 17α-hydroxylase and 17,20-lyase. In 2011, a new CYP17A1 inhibitor, abiraterone, was approved, effective for the treatment of prostate cancer, insensitive to hormone therapy, and reducing the level of testosterone in the blood [4]. Thus, abiraterone (Figure 1), which is a pyridine derivative of DHEA, inhibits two key reactions in the androgen synthesis pathway. The optimal CYP17A1 inhibitor should have significant effect on 17,20-lyase activity, with moderate or no effect towards 17α-hydroxylase activity of the enzyme, to modulate sex steroid biosynthesis with minimal effect on glucocorticoid hormones biosynthesis [5].
Figure 1.
Structures of some heterocyclic steroids with anti-prostate cancer effects and target compounds 3a and 3b.
During the development of new inhibitors of CYP17A1, a large number of androstane and pregnane derivatives have been introduced containing pyridyl-, picolidine-, pyrazolyl-, imidazolyl-, triazolyl-, isoxazolinyl-, dihydrooxazolinyl-, tetrahydrooxazolinyl-, benzimidazolyl-, and carbamoyl- substituents, mainly in positions 16, 17, and 22 [6,7,8,9,10,11,12,13,14,15,16,17,18]. Galeterone, the most advanced among them and having a multiple mechanism of action, has reached phase III clinical trials [19].
To date, previous studies have shown that steroids with 5-membered rings containing one nitrogen and one oxygen (oxazole or isoxazole) are of great interest in the development of drugs for the treatment of prostate cancer [6,11,12,14,20,21,22,23,24,25]. Thus, isoxazole 2 showed potent and non-competitive inhibition of human microsomal 17β-hydroxylase/C17,20-lyase, with an IC50 value of 59 nM, and demonstrated potent and competitive inhibition of 5α-reductase in human prostate microsomes with an IC50 value of 33 nM [21]. It was also shown that 1, at a concentration of 5 μM, exhibits antiandrogenic activity in human prostate cancer cell lines (e.g., LNCaP), preventing the binding of labeled synthetic androgen R1881 (5 nM) to the androgen receptor (AR). Compound 2 had a significant effect on the growth of LNCaP and PC-3 cells, commensurate with that of galeterone [11]. It should be noted that 2 showed no inhibitory potency towards CYP17A1, thus confirming that inhibition of this enzyme is not the only mechanism of anticancer action of such steroids.
Obviously, further studies of new nitrogen-containing steroids, in particular the investigation of their effect on various signaling pathways involved in the pathological processes of tumor development, are relevant and of great interest. In this regard, the present paper aims (i) to develop synthesis of a series of novel steroidal isoxazoles 3a,b and (ii) to carry out studies of their effects on the 17α-hydroxylase and 17,20-lyase activity of human CYP17A1 and the ability of selected compounds to affect the downstream androgen receptor signaling.
2. Results and Discussion
2.1. Chemistry
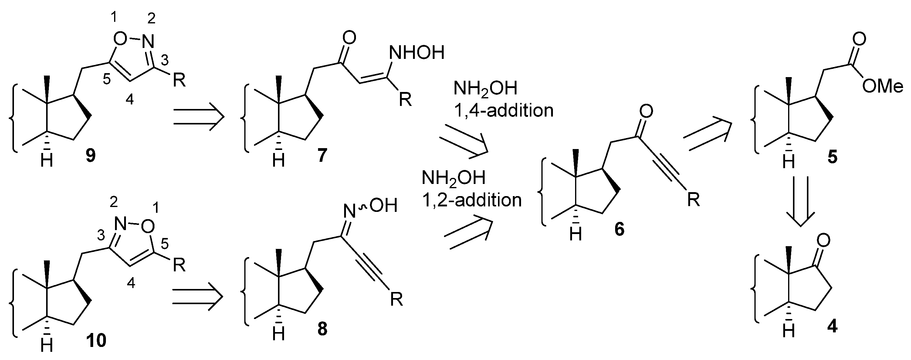
One of the tasks of the present study was to develop an efficient route to regioisomeric isoxazoles 9 and 10 (Scheme 1). We envisaged that both isoxazoles could be derived from the same α,β-acetylenic ketones 6 via 1,4- or 1,2-cycloaddition of hydroxylamine followed by the cyclization of intermediates 7 or 8. The regioselectivity of the addition of hydroxylamine to acetylenic ketones can be controlled by the choice of solvent: in a mixture of tetrahydrofuran-water, the reaction proceeds in a 1,4-manner [26], while in aqueous methanol, 1,2-addition products are formed [27,28]. Ynones in 6 could be made available from the known esters in 5, which in turn can be prepared from commercial 17-ketones in 4.
Scheme 1.
Retrosynthetic analysis for the synthesis of isoxazoles 9, 10.
The synthesis of target compounds was initiated with ester 11, obtained in two steps from androstenolone [29]. Initially, the possibility of a one-step conversion of 12 into 18, described for fluoroketones [26] and consisting in the addition of lithium acetylenides to esters in the presence of boron trifluoride etherate, was studied (Scheme 2). However, the reaction of 12 with a lithium salt of 13 resulted in the formation of a complex mixture of products.
Scheme 2.
Attempted approaches to the synthesis of ynone 18.
Next, an attempt was made to obtain ynone 18 using an approach based on the conversion of ester 12 to aldehyde 16. Its reaction with the lithium salt of 13 gave a mixture of isomeric alcohols in 17, which was oxidized in the last stage to give the target ynone 18. The obvious disadvantage of this method was the necessity to accomplish a multistep reaction procedure. In this connection, the possibility of using Weinreb amides was studied. This approach showed good results for the preparation of ynone 18 via amide 14 and was further used for the synthesis of all other α,β-acetylenic ketones.
Ynone 20b–i was prepared in a 78–90% yield by the addition of lithium salts obtained in situ from BuLi and the corresponding acetylene 19b–i to the Weinreb amide 14 (Scheme 3). The unsubstituted ynone 20a was synthesized by using commercially available ethynylmagnesium bromide as an organometallic reagent.
Scheme 3.
Synthesis of the isoxazoles in 24.
The regioselectivity of hydroxylamine addition to α,β-acetylenic ketones is highly dependent on the reaction conditions. The optimal conditions for the conjugated 1,4-addition were found using a mixture of organic solvents with water [28]. The enamine, formed as a result of conjugated addition, undergoes intramolecular cyclization to form 5-hydroxy-4,5-dihydroisoxazoles. We used the reaction conditions (water–THF, NaHCO3 as a base) proposed in [26]; in this case, the hydroxyisoxazoline 22a–i was obtained in a 56–88% yield.
The next stage involved the dehydration of 22a–i to form the corresponding isoxazole 23a–i. The reaction proceeded relatively smoothly in the case of the derivative 22d–i; however, isoxazoles 23b,c were obtained only in 9 and 45% yields, respectively. Simultaneously, compounds 26b,c (44–50%) were isolated from the reaction mixture (Scheme 4). The possible mechanism of their formation can be explained as follows. 5-Hydroxy-4,5-dihydroisoxazoles 22b,c are expected to exist in equilibrium with enehydroxylamines 21b,c. The latter, as a result of reaction with CDI, can give derivatives 25b,c. It is known that such derivatives can undergo 3,3-sigmatropic rearrangement [30,31]. In the case of 25b,c, such a rearrangement resulted in the formation of substituted enaminoketones (26b,c). Their structures were determined by spectral methods, including two-dimensional NMR experiments. Signals at δ 197.1, 134.2, and 157.2 in the 13C NMR spectrum of 26c were assigned to C-22, C-23, and C-24, respectively. The connectivity of the side chain was established by the key HMBC correlations: H-20 and H-17 correlated to C-22; H-25, H-26, and H-27 correlated to C-24; and H-20 correlated to C-23.
Scheme 4.
Synthetic transformations of hydroxyisoxazolines 22b,c.
Another direction of the reaction of 5-hydroxy-4,5-dihydroisoxazoles with CDI was found in the case of compound 22a. In addition to the target isoxazole 23a (51%), β-oxonitrile 31 was also isolated in 40% yield. A possible mechanism of its formation is shown in Scheme 5. It is assumed that the enehydroxylamine 21a is converted to β-ketoxime 29, which then reacts with CDI to form the imidazole derivative 30. The latter loses imidazole carboxylic acid in a six-membered transition state [32] to form β-oxonitrile 31.
Scheme 5.
Possible mechanism for the formation of ketonitrile 31.
The removal of protective groups completed the synthesis of target isoxazoles 24 containing a steroid at C-5 of the isoxazole heterocycle. The reaction was carried out by treating the esters 23a–i with TBAF or HF. The latter option is preferred for compound 24h, additionally containing tetrahydropyranyl protection.
Attempts were made to carry out some transformations of the sigmatropic rearrangement product 26c in order to obtain compounds suitable for biological testing (Scheme 4). Removal of the silyl protective group proceeded smoothly, without affecting the functional groups in the side chain, to form alcohol 27. Removal of the imidazole-carboxylic fragment was expected to be achieved under alkaline hydrolysis conditions. However, the reaction led to compound 28, containing an oxazolone heterocycle. An attempt to remove the silyl group in 28 (Bu4NF/THF) gave a complex mixture of products.
Simultaneous removal of both protecting groups in 24i gave the diol 32 (Scheme 6). Compound 24i contains a functional group in the isoxazole core that can be used for the synthesis of other derivatives, which was demonstrated in the synthesis of azide 36. Selective removal of the tetrahydropyranyl protecting group was achieved by reaction of 24i with magnesium bromide diethyl etherate [33]. The tosylation reaction of 33 gave chloride 37 instead of the expected tosylate. The desired product 35 was obtained via SN2 displacement of primary mesylate 34 with the azide group.
Scheme 6.
Synthesis of the isoxazoles 32, 36, and 38.
Ynone 20d was used as a model compound to study suitable conditions for the preparation of isoxazoles 40. Its reaction with hydroxylamine in aqueous methanol in the presence of NaHCO3 [27,28] gave oxime 39 as a mixture (1:1) of E/Z-isomers (Scheme 7). The next step in the synthesis of isoxazole 40 was the gold-catalyzed cycloisomerization of acetylenic oximes [34]. The desired product 40d was obtained from 39, but in a moderate 46% yield, as only the Z-isomer underwent the cyclization under these conditions. At the same time, it was found that prolonged heating of the reaction mixture at the stage of hydroxylamine addition led directly to the formation of isoxazoles without any catalysis.
Scheme 7.
Synthesis of the isoxazole 40d.
For this reason, the transformation of the remaining ynones 20a,e–i was carried out in one step without the isolation of the intermediate acetylenic oximes (Scheme 8). The yield of isoxazoles 40a,e–i was 40–82%, depending on the substituent R. Removal of the silyl protective group was performed out by treatment with Bu4NF or, in the case of compounds 40h,i, containing additionally tetrahydropyranyl ether, with HF in a mixture of THF-MeCN.
Scheme 8.
Synthesis of the isoxazoles 41a,d–g,j,k.
2.2. Biology
Biological studies included analysis of the interaction of the prepared compounds with the CYP17A1 active site, testing their effect towards the AR-transcriptional activity and evaluation of their ability to influence the downstream AR signaling. Compounds used in one or more biological tests are shown in Table 1.
Table 1.
Compounds used for biological studies.
2.2.1. Effect of Compounds on 17α-hydroxylase and 17,20-lyase Activity of Human CYP17A1
As the first step in the analysis of the interaction of compounds with the CYP17A1 active site, we performed spectrophotometric titration of selected compounds. Progesterone with Kdapp < 1 μM was used as a positive control for the substrate-like ligand (type I). As a positive control for an inhibitor-like ligand (type II), abiraterone with a Kdapp < 1 μM was used. DMSO or ethanol was used as a negative control. For the negative controls, no type I or type II spectral responses were observed. Analysis of binding of series of compounds (24a,d,g,j, 32, 36, 38) with human CYP17A1 showed that only four compounds were able to bind to the active site of human CYP17A1 (32 with Kdapp-13.41 ± 2.38 µM, 24j with Kdapp-1.90 ± 0.23 µM, 24d with Kdapp-1.50 ± 0.21 µM, and 24a with Kdapp-0.13 ± 0.02 µM). However, all these compounds show type I (substrate-like) spectral response, which indicates their potentially low inhibitory ability against this enzyme.
To evaluate the effect of isoxazoles on a potential molecular target, CYP17A1, we performed an inhibitory assay using an in vitro reconstituted system containing recombinant human CYP17A1. We analyzed the inhibitory effect of the compounds (50 μM—final concentration) on two types of reactions catalyzed by CYP17A1: 17α-hydroxylase activity and 17,20-lyase activity. There was almost no inhibition of 17,20-lyase activity of human CYP17A1 with the compound 24j (11% of enzyme inhibition at 50 µM of compound 24j). Most isoxazoles were shown to have a moderate inhibitory effect on human CYP17A1 activity (Table 2). The maximum inhibition of 17,20-lyase activity was found for isoxazole 41a containing no substituent at C-5 of the heterocyclic ring. A similar inhibitory effect was observed for pyridine derivative 41f. It should be noted that compound 41a showed a minimal inhibitory capacity for 17α-hydroxylase activity, being the most 17,20 lyase selective, which is important for the development of the next generation CYP17 targeted drugs [35].
Table 2.
Inhibitory effect of compounds on human CYP17A1-catalyzed reaction.
2.2.2. The Effect of Derivatives on AR Transcriptional Activity and Viability of PCa Cells
Based on the structural similarity of novel derivatives with galeterone and other published compounds (abiraterone, 3, and [6]), we tested the effect of our compounds towards the AR-transcriptional activity. Compounds were evaluated using an AR-dependent reporter cell line (ARE14) with a firefly-luciferase gene under the control of an androgen response element [36].
As shown in Table 3, within the studied isoxazoles, three AR antagonists with moderate activity were found (reduced R1881-stimulated AR transcriptional activity to ≤ 50% at 50 µM concentration), namely 24j, 32, and 41a. Despite that, these derivatives acted as AR-antagonists in dose-dependent manner, and none of them were able to overcome the activity of the standard steroidal antagonist galeterone (≈35% of activity at 10 µM concentration). Based on the obtained results, it is evident that derivatives bearing only unsubstituted isoxazole (41a), or isoxazoles substituted with small polar substituent (-CH3-OH in 32, t-butyl in 24j), were able to decrease the AR-transcriptional activity, while isoxazoles bearing longer unsaturated (24d), or bulky aromatic substituents (24e, 24g), were inactive. Importantly, none of novel derivatives displayed AR-agonist activity in the chosen concentrations (Table 3).
Table 3.
AR transcriptional and antiproliferative activities of novel derivatives a.
Antiproliferative properties of all novel steroids were tested in two AR-positive prostate cancer cell lines (LNCaP and LAPC-4) and one AR-negative cell line (DU145) using the Alamar-blue assay after 72 h treatment. Antiproliferative activities of the most potent derivatives 24j and 32 displayed mid-micromolar values (in agreement to AR-antagonist assay) in both AR-positive PCa cell lines, while no targeting of the AR-negative DU145 cells was observed. Compound 36 displayed reasonable antiproliferative activity only in LAPC-4 cell line.
We further evaluated the potency of the most active derivative 24j. We analyzed its effect on AR transcriptional activity in a broad concentration range and found the IC50 value = 21.11 ± 1.07 µM (Figure 2A) while IC50 = 7.59 µM for galeterone. On the other hand, galeterone displayed worse antiproliferative activities and effects related to AR signaling. Importantly, no clear agonist activity was observed for 24j in tested concentrations (Figure 2A).
Figure 2.
(A) Transcriptional activity of AR measured in reporter cell line in both antagonist (competition with 1 nM R1881) and agonist (presence of compound alone) mode upon treatment with different concentration of 24j. Mean and SD was plotted from n = 4. Raw data are available in the Supplementary Materials, Table S2. (B) Colony formation assay of PCa cells LAPC-4 after treatment with 24j for 10 days. The raw picture and comparison with the activity of standards abiraterone and galeterone is presented in Supplementary Materials, Figures S1 and S2.
We also performed colony formation assay (CFA) within 10 days to evaluate the prolonged antiproliferative potency of 24j in the LAPC-4 cell line. CFA is frequently used for the validation of PCa cell lines growth because of their high doubling time in culture. Our compound, 24j, significantly inhibited the formation of cell colonies in a dose-dependent manner after 10 days in LAPC-4, already from a 1.56 µM concentration (Figure 2B).
2.2.3. Targeting the AR Signaling Pathway
Further, we evaluated the ability of compounds 24j, 32, and 41a to influence the downstream AR signaling (levels of known transcriptional targets PSA and Nkx3.1) in LAPC-4 and LNCaP cell lines after R1881 stimulation. Western blot analysis (Figure 3) showed that 24j and 32 were able to markedly suppress R1881 stimulated S81-phosphorylation in both LAPC-4 and LNCaP cell lines after 24 h. Observed effects were accompanied by a profound decrease in Nkx3.1 and PSA protein levels in LAPC-4, while were only limited in LNCaP cells (Figure 3).
Figure 3.
Western blotting analysis of AR and AR-regulated proteins after being treated with LAPC-4 and LNCaP. (A) PCa cells were deprived of androgens (cultivated in CSS-supplemented medium) for 24 h and then treated with different concentrations of candidate compounds or standard galeterone (Gal), combined with 1 nM R1881 for 24 h. (B) PCa cells were cultivated in FBS-supplemented media and treated with candidate compounds or galeterone (Gal) for 48 h. The level of β-actin serves as a control for equal protein loading. Raw pictures are presented in Supplementary Materials Figures S3 and S4.
Candidate compounds were further tested in the same PCa cell lines (without R1881 activation) for a longer period to monitor the effects on AR stability. Compounds 24j and 32 (12.5 µM) induced a significant decrease in Nkx3.1 and PSA levels in both LAPC-4 and LNCaP after 48 h. Moreover, they both induced a significant decrease in AR protein level that was comparable to galeterone’s effect.
2.2.4. Molecular Docking into the Active Site of CYP17A1 and into the AR-LBD
The binding of candidate compounds into their cellular targets was evaluated by rigid molecular docking into the crystal structure of human CYP17A1 co-crystalized with abiraterone and heme (PDB:3RUK) and by flexible docking into the AR ligand-binding domain (LBD) from the crystal structure with DHT (PDB:2PIV).
The best binding pose of 41a in the active site of CYP17A1 was oriented in nearly the same pose as abiraterone and showed similar binding energy (ΔGVina = −12.6 kcal/mol and −13.0 kcal/mol, respectively) (Figure 4A,B). The isoxazole ring is oriented towards the Fe2+ central ion of heme, similar to the pyridine ring in abiraterone. The most promising compound, 24j, was modelled into the CYP17A1 as well, with a similar pose as abiraterone and 41a, but with lower binding energy (ΔGVina = −10.1 kcal/mol, picture not shown).
Figure 4.
(A) Model of the binding pose of 41a (green) in CYP17A1 (rigid docking into the PDB:3RUK) and (B) alignment of the binding pose with abiraterone (brown) from the original crystal structure. Heme is shown in magenta. (C) Model of the binding pose of 24j (green) in AR-LBD (flexible docking into the PDB:2PIV) with the interacting amino acid residues. Hydrogen bonds are shown as blue lines, and hydrophobic bonds are shown by gray dashed lines. (D) Alignment of binding pose of 24j with the galeterone (orange) binding pose from flexible docking.
In the case of the AR-LBD structure, two key amino acid residues in both extremities of the cavity (Arg752 and Thr877) were set as flexible. The docking of 24j revealed a pose with extensive binding in AR-LBD, with binding energy comparable to galeterone (ΔGVina = −10.5 kcal/mol and −10.8 kcal/mol, respectively (Figure 4C,D). The position of the steroid core is conserved. C3-OH on the A-ring forms a typical hydrogen bond with Arg752, while the oxygen atom of the isoxazole ring forms a hydrogen bond with Thr877 at the other extremity of the LBD-cavity. The steroid core is further positioned by hydrophobic interactions with Gln711, Met745, Met746, and Leu 704. The tert-butyl substituent could be hydrophobically binded with Leu701, Phe647, and Leu880, which could be a key for the activity and selectivity of 24j (Figure 4C).
3. Materials and Methods
3.1. Chemistry
Commercially available reagents were used without further purification. If necessary, solvents were distilled and dried before use by standard methods. Column chromatography was performed through silica gel (200–300 mesh). Thin layer chromatography (TLC) was performed using Silica gel 60 F254 plates and visualized using UV light or phosphomolybdic acid. 1H and 13C NMR spectra were recorded in CDCl3, on a Bruker AVANCE 500 spectrometer. Chemical shifts in 1H NMR spectra are reported in parts per million (ppm) on the δ scale from an internal standard of residual non-deuterated solvent in CDCl3 (7.26 ppm). Data for 1H NMR are reported as follows: chemical shift, multiplicity (s = singlet, d = doublet, t = triplet, q = quartet, m = multiplet, br = broad), coupling constant in Hertz (Hz), and integration. Data for 13C NMR spectra are reported in terms of chemical shift in ppm from the central peak of CDCl3 (77.16 ppm). High resolution mass spectrometry (HRMS) analysis was performed using a Q Exactive HFX (Thermo Scientific) mass spectrometer in ESI ionization mode.
3.1.1. Methyl 2-(3β-((tert-butyldimethylsilyl)oxy)-androst-5-en-17-yl)acetate (12)
A solution of alcohol 11 (prepared from androstenolone in two steps according to [29]) (1.92 g, 5.55 mmol), TBSCl (1.25 g, 8.29 mmol), and imidazole (838 mg, 12.3 mmol) in dry DMF (8 mL) was stirred at 90 °C for 12 h. After the reaction was completed, the mixture was diluted with water, the organic layer was separated, and the reaction product was extracted from the aqueous layer with PE. The combined organic extracts were dried with sodium sulfate. Then, the solvent was removed under reduced pressure, and the resulting residue was purified by column chromatography on SiO2 (PE/EtOAc, 20:1) to yield ether 12 (2.35 g, 92%) as an oil. 1H NMR (500 MHz, CDCl3) δ 5.31 (dt, J = 5.4, 2.1 Hz, 1H), 3.65 (s, 3H), 3.47 (tt, J = 11.0, 4.7 Hz, 1H), 2.37 (dd, J = 14.7, 5.1 Hz, 1H), 2.26 (ddd, J = 13.5, 10.6, 2.7 Hz, 1H), 2.20–2.13 (m, 1H), 2.12 (dd, J = 14.7, 9.8 Hz, 1H), 1.00 (s, 3H), 0.88 (s, 9H), 0.60 (s, 3H), 0.05 (s, 6H). 13C NMR (126 MHz, CDCl3) δ 174.5, 141.8, 121.2, 72.7, 55.8, 51.6, 50.6, 47.0, 43.0, 42.1, 37.6, 37.4, 36.8, 35.1, 32.2, 32.1, 32.1, 28.3, 26.1 (x3), 24.7, 20.9, 19.6, 18.4, 12.5, −4.4 (x2).
3.1.2. 3β-((tert-Butyldimethylsilyl)oxy)-pregn-5-en-21-ol (15)
A mixture of ester 12 (95 mg, 0.27 mmol), LiAlH4 (20 mg, 0.53 mmol), and THF (2 mL) was stirred at 0 °C for 30 min. Then saturated Na2SO4 (1 mL) and PE (3 mL) were added, and the precipitate was filtered off and washed with PE. The organic layer was evaporated to give alcohol 15 (89 mg, 99%) as an oil. 1H NMR (500 MHz, CDCl3) δ 5.31 (dt, J = 5.0, 2.0 Hz, 1H), 3.68 (ddd, J = 10.4, 8.3, 4.6 Hz, 1H), 3.60 (dt, J = 10.3, 6.9 Hz, 1H), 3.48 (tt, J = 11.1, 4.8 Hz, 1H), 2.26 (tq, J = 11.0, 2.7 Hz, 1H), 2.16 (ddd, J = 13.3, 5.0, 2.3 Hz, 1H), 1.98 (dtd, J = 17.1, 5.1, 2.7 Hz, 1H), 1.00 (s, 3H), 0.88 (s, 9H), 0.60 (s, 3H), 0.05 (s, 6H). 13C NMR (126 MHz, CDCl3) δ 141.8, 121.2, 72.8, 62.8, 56.1, 50.8, 47.2, 43.0, 42.1, 37.8, 37.6, 36.8, 33.7, 32.2, 32.2, 32.1, 28.5, 26.1 (x3), 25.0, 21.0, 19.6, 18.4, 12.6, −4.4 (x2).
3.1.3. 3β-((tert-Butyldimethylsilyl)oxy)-pregn-5-en-21-al (16)
A mixture of alcohol 15 (100 mg, 0.23 mmol), Dess-Martin reagent (850 mg, 2.0 mmol), and DCM (4.6 mL) was stirred under argon at 0 °C for 30 min. Then it was diluted with water and extracted with a mixture of PE/EtOAc (3:1). The residue after evaporation of the solvents was chromatographed on SiO2 (PE/EtOAc, 90:1→70:30) to afford aldehyde 16 (64 mg, 65%) as an oil. 1H NMR (500 MHz, CDCl3) δ 9.76 (t, J = 2.4 Hz, 1H), 5.31 (dd, J = 5.0, 2.5 Hz, 1H), 3.47 (tt, J = 11.1, 4.7 Hz, 1H), 1.00 (s, 3H), 0.88 (s, 9H), 0.61 (s, 3H), 0.05 (s, 6H).
3.1.4. 5-((tert-Butyldimethylsilyl)oxy)-1-((17R)-3β-((tert-butyldimethylsilyl)oxy)-androst-5-en-17-yl)pent-3-yn-2-one (18)
A 2M solution of BuLi in hexanes (0.7 mL, 1.4 mmol) was added to a cooled −70 °C solution of tert-butyldimethyl(prop-2-yn-1-yloxy)silane (13) (prepared according to [37], 211 mg, 1.24 mmol) in THF (4 mL). After 15 min, a solution of aldehyde 16 (380 mg, 0.88 mmol) in THF (2.5 mL) was added to the reaction mixture. It was stirred for 20 min at −70 °C, then the cooling bath was removed, and the mixture was allowed to get ambient temperature. NH4Cl (150 mg) was added, then the mixture was diluted with water and extracted with EtOAc. The organic layers were dried over Na2SO4, then evaporated, and the residue was chromatographed on SiO2 to give a mixture of isomeric at C-22 alcohol 17 (467 mg), which was used in the next step without further purification.
A mixture of alcohol 17 (467 mg, 0.78 mmol), Dess-Martin reagent (2.30 g, 5.42 mmol), and DCM (15 mL) was stirred under argon at 0 °C for 3 h. Then it was diluted with water and extracted with DCM. The residue after evaporation of the extracts was chromatographed on SiO2 (PE/EtOAc, 98:2) to give ketone 18 (388 mg, 73% from 16) as an oil. 1H NMR (500 MHz, CDCl3) δ 5.32 (dt, J = 5.3, 2.1 Hz, 1H), 4.47 (s, 1H), 3.48 (tt, J = 11.1, 4.7 Hz, 1H), 2.63 (dd, J = 15.2, 4.0 Hz, 1H), 2.43–2.33 (m, 1H), 2.26 (ddd, J = 13.8, 10.8, 2.8 Hz, 1H), 2.17 (ddd, J = 13.3, 5.1, 2.3 Hz, 1H), 2.04–1.87 (m, 1H), 1.81 (dt, J = 13.3, 3.6 Hz, 1H), 1.00 (s, 3H), 0.92 (s, 9H), 0.89 (s, 9H), 0.61 (s, 3H), 0.14 (s, 6H), 0.05 (s, 6H). 13C NMR (126 MHz, CDCl3) δ 188.1, 141.8, 121.1, 90.3, 84.3, 72.7, 55.7, 51.7, 50.6, 46.7, 46.2, 43.0, 42.3, 37.6, 37.5, 36.8, 32.2, 32.1, 32.1, 28.2, 26.1 (x3), 25.9 (x3), 24.8, 20.9, 19.6, 18.4, 12.7, −4.4 (x2), −5.0 (x2).
3.1.5. 2-(3β-((tert-Butyldimethylsilyl)oxy)-androst-5-en-17-yl)-N-methoxy-N-methylacetamide (14)
To a stirred suspension of Weinreb salt (555 mg, 5.72 mmol) in dry toluene (10 mL), a 1M solution of Me3Al in heptane (5.7 mL, 5.7 mmol) was added dropwise at 0 °C. After stirring for 40 min at this temperature, a solution of ester 12 (1.00 g, 2.17 mmol) in toluene (10 mL) was added dropwise. The cooling bath was removed, and the reaction mixture was allowed to stir overnight at room temperature. A 2N solution of HCl was added on cooling until pH 2 was reached. the mixture was diluted with water and extracted with EtOAc. The combined organic extracts were washed with saturated aqueous NaHCO3, saturated NaCl, dried over anhydrous Na2SO4, and evaporated to dryness. The residue was purified by silica gel column chromatography (PE/EtOAc, 100:0→70:30) to give the Weinreb amide 14 (650 mg, 61%) as an off-white solid. 1H NMR (500 MHz, CDCl3) δ 5.31 (dt, J = 5.3, 2.0 Hz, 1H), 3.68 (s, 3H), 3.47 (tt, J = 10.9, 4.7 Hz, 1H), 3.16 (s, 3H), 2.48 (dd, J = 15.1, 4.2 Hz, 1H), 2.25 (qd, J = 13.3, 6.4 Hz, 2H), 2.16 (ddd, J = 13.3, 5.0, 2.3 Hz, 1H), 1.00 (s, 3H), 0.88 (s, 9H), 0.63 (s, 3H), 0.05 (s, 6H). 13C NMR (126 MHz, CDCl3) δ 174.9, 141.7, 121.2, 61.3, 55.7, 50.6, 46.4, 43.0, 42.1, 37.6, 37.4, 36.8, 32.6, 32.2, 32.1, 32.1, 28.5, 26.1 (x3), 24.8, 20.9, 19.6, 18.4, 12.7, −4.4 (x2).
3.1.6. 1-(((17R)-3β-((tert-Butyldimethylsilyl)oxy)-androst-5-en-17-yl)but-3-yn-2-one (20a)
To a solution of 14 (300 mg, 0.61 mmol) in THF (0.6 mL), a 0.5M THF solution of ethynylmagnesium bromide (2.8 mL, 1.4 mmol) was added at 0 °C. The reaction mixture was left to warm to room temperature for 1 h, then quenched with saturated NH4Cl, and extracted with EtOAc. Combined organics were washed with water, brine, dried over Na2SO4, and concentrated in vacuo. The crude product was purified by silica gel chromatography (PE:EtOAc, 100:0 to 85:15) to give ynone 20a (221 mg, 79%) as a white solid. 1H NMR (500 MHz, CDCl3) δ 5.31 (dt, J = 5.1, 2.1 Hz, 1H), 3.48 (tt, J = 11.0, 4.8 Hz, 1H), 3.20 (s, 1H), 2.66 (dd, J = 15.4, 4.1 Hz, 1H), 2.45–2.33 (m, 1H), 2.26 (ddd, J = 13.6, 10.9, 2.7 Hz, 1H), 2.17 (ddd, J = 13.3, 5.0, 2.3 Hz, 1H), 2.03–1.86 (m, 2H), 1.81 (dt, J = 13.3, 3.6 Hz, 1H), 1.00 (s, 3H), 0.88 (s, 9H), 0.61 (s, 3H), 0.05 (s, 6H). 13C NMR (126 MHz, CDCl3) δ 187.9, 141.8, 121.1, 81.9, 78.4, 72.7, 55.7, 50.6, 46.9, 46.1, 43.0, 42.3, 37.6, 37.5, 36.8, 32.2, 32.1, 32.1, 28.2, 26.1 (x3), 24.8, 20.9, 19.6, 12.7, −4.4 (x2). HRMS (ESI): m/z calcd for C29H47O2Si [M+H]+: 455.3340, found 455.3350.
3.1.7. General Procedure for the Synthesis of Ynones (20b–i)
To a solution of an appropriate terminal alkyne 19b–i (2.5 eq) in dry THF (1.5M), n-BuLi (2.3M in hexane, 2.5 eq) was added dropwise at −78 °C. The resulting solution was stirred at −50 °C for 40 min, then a 2M solution of the Weinreb amide 14 (1 eq) in THF was added dropwise at −78 °C. The reaction mixture was slowly warmed to room temperature over 0.5 h and stirred for additional 1–1.5 h (monitored by TLC). Upon completion of the reaction, the mixture was quenched with saturated aq. NH4Cl and extracted with EtOAc. The organic layers were washed with water and saturated NaCl, dried over Na2SO4, and concentrated and purified by silica gel chromatography (PE:EtOAc), thus affording ynones (20b–i).
1-((17R)-3β-((tert-Butyldimethylsilyl)oxy)-androst-5-en-17-yl)-5-methylhex-3-yn-2-one (20b)
The title compound 20b (130 mg) was prepared as a white solid in 85% yield using 3-methylbut-1-yne (19b) as an alkyne. 1H NMR (500 MHz, CDCl3) δ 5.31 (dt, J = 5.5, 2.1 Hz, 1H), 3.47 (tt, J = 11.0, 4.7 Hz, 1H), 2.71 (hept, J = 7.0 Hz, 1H), 2.60 (dd, J = 15.3, 4.3 Hz, 1H), 2.35 (dd, J = 15.3, 9.7 Hz, 1H), 2.26 (tq, J = 11.1, 2.8 Hz, 1H), 2.17 (ddd, J = 13.3, 5.0, 2.4 Hz, 1H), 1.24 (s, 3H), 1.22 (s, 3H), 1.00 (s, 3H), 0.88 (s, 9H), 0.60 (s, 3H), 0.05 (s, 3H). 13C NMR (126 MHz, CDCl3) δ 189.0, 141.8, 121.2, 98.8, 80.5, 72.7, 55.7, 50.6, 47.0, 46.4, 43.0, 42.3, 37.6, 37.5, 36.8, 32.2, 32.1, 32.1, 28.3, 26.1 (x3), 24.9, 22.1 (x2), 20.9, 20.9, 19.6, 18.4, 12.7, −4.4 (x2).
1-((17R)-3β-((tert-Butyldimethylsilyl)oxy)-androst-5-en-17-yl)-4-cyclopropylbut-3-yn-2-one (20c)
The title compound 20c (235 mg) was prepared as a white solid in 78% yield using ethynylcyclopropane (19c) as an alkyne. 1H NMR (500 MHz, CDCl3) δ 5.32 (dd, J = 4.9, 2.5 Hz, 1H), 3.48 (tt, J = 11.0, 4.7 Hz, 1H), 2.58 (dd, J = 15.2, 4.3 Hz, 1H), 2.37–2.21 (m, 2H), 2.17 (ddd, J = 13.4, 5.1, 2.3 Hz, 1H), 1.00 (s, 3H), 0.89 (s, 9H), 0.60 (s, 3H), 0.05 (s, 6H). 13C NMR (126 MHz, CDCl3) δ 188.6, 141.8, 121.2, 98.5, 72.7, 55.7, 50.6, 46.7, 46.4, 43.0, 42.3, 37.6, 37.5, 36.8, 32.2, 32.2, 32.1, 28.3, 26.1 (x3), 24.9, 20.9, 19.6, 18.4, 12.7, 9.8 (x2), −0.1, −4.4 (x2). HRMS (ESI): m/z calcd for C32H51O2Si [M+H]+: 495.3653, found 495.3665.
1-((17R)-3β-((tert-Butyldimethylsilyl)oxy)-androst-5-en-17-yl)oct-3-yn-2-one (20d)
The title compound 20d (290 mg) was prepared as a white solid in 89% yield using hex-1-yne 3-2c as an alkyne. 1H NMR (500 MHz, CDCl3) δ 5.31 (dt, J = 4.9, 2.0 Hz, 1H), 3.48 (tt, J = 11.0, 4.7 Hz, 1H), 2.60 (dd, J = 15.2, 4.2 Hz, 1H), 2.39–2.31 (m, 3H), 2.26 (tq, J = 11.2, 2.8 Hz, 1H), 2.17 (ddd, J = 13.3, 5.0, 2.3 Hz, 1H), 1.00 (s, 3H), 0.93 (t, J = 7.4 Hz, 3H), 0.88 (s, 9H), 0.60 (s, 3H), 0.05 (s, 6H). 13C NMR (126 MHz, CDCl3) δ 188.8, 141.7, 121.1, 94.2, 81.3, 72.6, 55.6, 50.5, 46.8, 46.3, 42.9, 42.1, 37.5, 37.4, 36.7, 32.1, 32.0, 32.0, 29.8, 28.1, 26.0 (x3), 24.7, 22.0, 20.8, 19.5, 18.7, 18.3, 13.5, 12.6, −4.5 (x2). HRMS (ESI): m/z calcd for C33H55O2Si [M+H]+: 511.3966, found 511.3979.
1-((17R)-3β-((tert-Butyldimethylsilyl)oxy)-androst-5-en-17-yl)-4-phenylbut-3-yn-2-one (20e)
The title compound 20e (850 mg) was prepared as a white solid in 89% yield using ethynylbenzene (19e) as an alkyne. 1H NMR (500 MHz, CDCl3) δ 7.57 (dt, J = 6.9, 1.4 Hz, 2H), 7.49–7.42 (m, 1H), 7.42–7.34 (m, 2H), 5.32 (dd, J = 4.8, 2.4 Hz, 1H), 3.48 (tt, J = 11.0, 4.7 Hz, 1H), 2.75 (dd, J = 15.2, 4.0 Hz, 1H), 2.49 (dd, J = 15.1, 9.4 Hz, 1H), 2.27 (ddt, J = 13.5, 11.0, 2.7 Hz, 1H), 2.17 (ddd, J = 13.3, 5.0, 2.3 Hz, 1H), 1.01 (s, 3H), 0.89 (s, 9H), 0.65 (s, 3H), 0.06 (s, 6H). 13C NMR (126 MHz, CDCl3) δ 188.6, 141.8, 133.2 (x2), 130.8, 128.8 (x2), 121.2, 120.3, 90.6, 88.4, 72.7, 55.7, 50.6, 47.0, 46.5, 43.0, 42.4, 37.6 (x2), 36.8, 32.2, 32.2, 32.1, 28.3, 26.1 (x3), 24.9, 21.0, 19.6, 18.4, 12.8, −4.4 (x2).
1-((17R)-3β-((tert-Butyldimethylsilyl)oxy)-androst-5-en-17-yl)-4-(pyridin-3-yl)but-3-yn-2-one (20f)
The title compound 20f (360 mg) was prepared as a white solid in 90% yield using 3-ethynylpyridine (19f) as an alkyne. 1H NMR (500 MHz, CDCl3) δ 8.82–8.76 (m, 1H), 8.66 (dd, J = 5.0, 1.6 Hz, 1H), 7.85 (dt, J = 7.9, 1.9 Hz, 1H), 7.33 (ddd, J = 7.9, 5.0, 0.9 Hz, 1H), 5.32 (dt, J = 4.5, 2.0 Hz, 1H), 3.48 (tt, J = 11.0, 4.7 Hz, 1H), 2.76 (dd, J = 15.4, 4.1 Hz, 1H), 2.51 (dd, J = 15.4, 9.4 Hz, 1H), 2.26 (tq, J = 11.2, 2.6 Hz, 1H), 2.17 (ddd, J = 13.3, 5.0, 2.3 Hz, 1H), 2.05–1.92 (m, 3H), 1.81 (dt, J = 13.3, 3.5 Hz, 1H), 1.01 (s, 3H), 0.88 (s, 8H), 0.65 (s, 3H), 0.05 (s, 6H). 13C NMR (126 MHz, CDCl3) δ 188.1, 153.4, 150.8, 141.8, 139.9, 123.4, 121.1, 117.6, 90.8, 86.5, 72.7, 55.7, 50.6, 47.0, 46.4, 43.0, 42.4, 37.6 (x2), 36.8, 32.2, 32.2, 32.1, 28.3, 26.1 (x3), 24.9, 20.9, 19.6, 18.4, 12.8, −4.4 (x2).
1-((17R)-3β-((tert-Butyldimethylsilyl)oxy)-androst-5-en-17-yl)-4-(2-fluorophenyl)but-3-yn-2-one (20g)
The title compound 20g (160 mg) was prepared as a white solid in 85% yield using 1-ethynyl-2-fluorobenzene (19g) as an alkyne. 1H NMR (500 MHz, CDCl3) δ 7.55 (ddd, J = 7.7, 6.8, 1.8 Hz, 1H), 7.44 (dddd, J = 8.4, 7.3, 5.3, 1.8 Hz, 1H), 7.20–7.10 (m, 2H), 5.32 (dt, J = 5.5, 2.1 Hz, 1H), 3.48 (tt, J = 10.9, 4.7 Hz, 1H), 2.76 (dd, J = 15.1, 3.9 Hz, 1H), 2.50 (dd, J = 15.3, 9.1 Hz, 1H), 2.32–2.22 (m, 1H), 2.17 (ddd, J = 13.3, 5.0, 2.3 Hz, 1H), 2.07–1.95 (m, 3H), 1.81 (dt, J = 13.3, 3.6 Hz, 1H), 1.77–1.64 (m, 3H), 1.01 (s, 3H), 0.89 (s, 9H), 0.65 (s, 3H), 0.06 (s, 6H). 13C NMR (126 MHz, CDCl3) δ 188.4, 163.7 (d, J = 255.3 Hz), 141.8, 134.8, 132.8 (d, J = 8.0 Hz), 124.5 (d, J = 3.6 Hz), 121.2, 116.0 (d, J = 20.4 Hz), 92.7, 83.9, 72.8, 55.7, 50.6, 47.1, 46.5, 43.0, 42.4, 37.6, 37.5, 36.9, 32.2, 32.2, 32.1, 28.3, 26.1 (x3), 24.9, 21.0, 19.6, 18.4, 12.8, −4.4 (x2).
1-((17R)-3β-((tert-Butyldimethylsilyl)oxy)-androst-5-en-17-yl)-5-methyl-5-((tetrahydro-2H-pyran-2-yl)oxy)hex-3-yn-2-one (20h)
The title compound 20h (570 mg) was prepared as a white solid in 83% yield using 2-((2-methylbut-3-yn-2-yl)oxy)tetrahydro-2H-pyran (19h) as an alkyne. 1H NMR (500 MHz, CDCl3) δ 5.31 (dt, J = 4.4, 2.0 Hz, 1H), 5.04–4.96 (m, 1H), 4.00–3.90 (m, 1H), 3.54–3.43 (m, 2H), 2.62 (dd, J = 15.3, 4.3 Hz, 1H), 2.38 (dd, J = 9.7, 2.3 Hz, 1H), 2.35 (dd, J = 9.6, 2.3 Hz, 0H), 2.26 (tq, J = 11.2, 2.8 Hz, 1H), 2.16 (ddd, J = 13.4, 5.0, 2.3 Hz, 1H), 1.58 (s, 3H), 1.54 (s, 6H), 1.00 (s, 3H), 0.88 (s, 9H), 0.61 (s, 3H), 0.05 (s, 6H). 13C NMR (126 MHz, CDCl3) δ 188.4, 141.8, 121.1, 96.5, 94.1, 83.3, 72.7, 70.8, 63.5, 55.7, 50.6, 47.0, 46.4, 43.0, 42.3, 37.6, 36.8, 32.2, 32.1, 32.1, 32.0, 29.8, 29.4, 28.2, 26.1, 25.4, 24.8, 20.9, 20.4, 19.6, 18.4, 12.7, −4.4.
1-((17R)-3β-((tert-Butyldimethylsilyl)oxy)-androst-5-en-17-yl)-5-((tetrahydro-2H-pyran-2-yl)oxy)pent-3-yn-2-one (20i)
The title compound 20i (540 mg) was prepared as a white solid in 84% yield using 2-(prop-2-yn-1-yloxy)tetrahydro-2H-pyran (19i) as an alkyne. 1H NMR (500 MHz, CDCl3) δ 5.31 (dt, J = 4.8, 2.0 Hz, 1H), 4.81 (t, J = 3.4 Hz, 1H), 4.42 (s, 2H), 3.83 (ddd, J = 11.9, 9.3, 3.0 Hz, 1H), 3.55 (dtd, J = 11.3, 4.3, 1.5 Hz, 1H), 3.48 (tt, J = 11.0, 4.7 Hz, 1H), 2.64 (dd, J = 15.4, 4.2 Hz, 1H), 2.39 (dd, J = 15.4, 9.6 Hz, 1H), 2.26 (tq, J = 11.1, 2.8 Hz, 1H), 2.17 (ddd, J = 13.3, 5.0, 2.3 Hz, 1H), 1.00 (s, 3H), 0.88 (s, 9H), 0.60 (s, 3H), 0.05 (s, 6H). 13C NMR (126 MHz, CDCl3) δ 188.0, 141.8, 121.1, 97.3, 87.9, 85.3, 72.7, 62.2, 55.7, 54.0, 50.6, 46.8, 46.2, 43.0, 42.3, 37.6, 37.5, 36.8, 32.2, 32.1, 32.1, 30.3, 28.2, 26.1 (x3), 25.4, 24.8, 20.9, 19.6, 19.0, 18.4, 12.8, −4.4 (x2). HRMS (ESI): m/z calcd for C35H57O4Si [M+H]+: 569.4021, found 569.4028.
3.1.8. General Procedure for the Synthesis of Hydroxyisoxazolines (22a–i)
An aqueous 4M solution of hydroxylamine hydrochloride (2 equiv.) and NaHCO3 (2 equiv.) was stirred at room temperature until gas evolution ceased (30 min). Then, a 0.4M THF solution of an appropriate ynone, 20a–i (1 eq.), was added. The biphasic mixture was stirred overnight at room temperature, then partitioned between a saturated aqueous NaCl and EtOAc. The aqueous phase was further extracted with EtOAc. The combined organic washings were dried over Na2SO4, and the solvent was concentrated under reduced pressure. The residue was purified by silica gel chromatography (PE:EtOAc) to give hydroxyisoxazolines 22a–i.
5-(((17R)-3β-((tert-Butyldimethylsilyl)oxy)-androst-5-en-17-yl)-4,5-dihydroisoxazol-5-ol (22a)
The title compound 22a (325 mg) was prepared as a white solid in 88% yield from ynone 20a. 1H NMR (500 MHz, CDCl3) δ 7.22 (d, J = 5.6 Hz, 1H), 5.32 (dd, J = 5.1, 2.6 Hz, 1H), 3.49 (ddq, J = 15.7, 10.7, 4.7 Hz, 1H), 2.97–2.83 (m, 2H), 2.31–2.22 (m, 1H), 2.17 (ddd, J = 13.3, 5.1, 2.3 Hz, 1H), 1.01 (s, 3H), 0.89 (s, 9H), 0.60 (s, 3H), 0.05 (s, 6H). 13C NMR (126 MHz, CDCl3) δ 147.5, 147.1, 141.8, 121.2, 107.2, 106.8, 72.7, 55.6, 55.5, 50.7, 46.9, 46.6, 46.0, 45.7, 43.0, 38.9, 38.5, 37.6, 37.3, 36.8, 32.2, 32.1, 32.1, 29.8, 29.2, 26.1 (x3), 25.2, 20.9, 19.6, 18.4, 12.5, 12.4, −4.4 (x2). HRMS (ESI): m/z calcd for C29H50NO3Si [M-H2O+H]+: 488.3554, found 488.3564.
5-(((17R)-3β-((tert-Butyldimethylsilyl)oxy)-androst-5-en-17-yl)-3-isopropyl-4,5-dihydroisoxazol-5-ol (22b)
The title compound 22b (170 mg) was prepared as a white solid in 84% yield from ynone 20b. 1H NMR (500 MHz, CDCl3) δ 5.31 (d, J = 5.4 Hz, 1H), 3.47 (tt, J = 10.7, 4.7 Hz, 1H), 2.89–2.66 (m, 3H), 2.26 (ddd, J = 13.8, 10.9, 2.8 Hz, 1H), 2.17 (ddd, J = 13.3, 5.0, 2.3 Hz, 1H), 1.18 (s, 3H), 1.17 (s, 3H), 1.00 (s, 3H), 0.88 (s, 9H), 0.59 (s, 3H), 0.05 (s, 6H). 13C NMR (126 MHz, CDCl3) δ 165.1, 164.7, 141.8, 121.2, 121.2, 108.4, 107.9, 72.7, 55.6, 55.5, 50.7, 47.1, 46.6, 45.5, 45.3, 43.0, 42.7, 42.6, 39.1, 38.7, 37.6, 37.3, 36.8, 32.2, 32.1, 32.1, 29.8, 29.2, 28.4, 26.1 (x3), 25.3, 25.2, 20.9, 20.3, 20.0, 19.6, 18.4, 12.5, 12.4, −4.4 (x2).
5-(((17R)-3β-((tert-Butyldimethylsilyl)oxy)-androst-5-en-17-yl)-3-cyclopropyl-4,5-dihydroisoxazol-5-ol (22c)
The title compound 22c (130 mg) was prepared as a white solid in 55% yield from ynone 20c. 1H NMR (500 MHz, CDCl3) δ 5.32 (dd, J = 5.3, 2.5 Hz, 1H), 3.48 (tt, J = 10.5, 4.7 Hz, 1H), 2.74 (dd, J = 17.2, 9.0 Hz, 1H), 2.61 (dd, J = 28.2, 17.2 Hz, 1H), 2.26 (tq, J = 11.2, 2.8 Hz, 1H), 2.17 (ddd, J = 13.3, 5.0, 2.2 Hz, 1H), 1.00 (s, 3H), 0.88 (s, 9H), 0.77–0.74 (m, 2H), 0.58 (s, 3H), 0.05 (s, 6H). 13C NMR (126 MHz, CDCl3) δ 162.5, 162.1, 141.8, 121.2, 108.3, 107.9, 72.7, 55.6, 55.5, 50.7, 47.0, 46.6, 45.6, 45.3, 43.0, 42.7, 42.6, 39.0, 38.6, 37.6, 37.3, 37.3, 36.8, 32.2, 32.1, 32.1, 29.8, 29.2, 26.1 (x3), 25.3, 25.2, 20.9, 19.6, 18.4, 12.5, 12.4, 9.5, 6.8, 6.8, 6.0, −4.4 (x2). HRMS (ESI): m/z calcd for C32H52NO2Si [M-H2O+H]+: 510.3762, found 510.3776.
3-Butyl-5-(((17R)-3β-((tert-butyldimethylsilyl)oxy)-androst-5-en-17-yl)methyl)-4,5-dihydroisoxazol-5-ol (22d)
The title compound 22d (203 mg) was prepared as a white solid in 68% yield from ynone 20d. 1H NMR (500 MHz, CDCl3) δ 5.31 (dt, J = 4.9, 2.2 Hz, 1H), 3.48 (tt, J = 10.9, 4.7 Hz, 1H), 2.90–2.72 (m, 2H), 2.36 (ddd, J = 11.5, 6.6, 3.0 Hz, 2H), 2.26 (tq, J = 11.1, 2.7 Hz, 1H), 2.17 (ddd, J = 13.3, 5.0, 2.2 Hz, 1H), 1.00 (s, 3H), 0.93 (t, J = 7.4 Hz, 3H), 0.88 (s, 9H), 0.59 (s, 3H), 0.05 (s, 6H). 13C NMR (126 MHz, CDCl3) δ 160.7, 160.3, 141.8, 121.2, 121.2, 108.4, 107.9, 72.7, 55.6, 55.6, 50.7, 47.5, 47.2, 47.1, 46.6, 43.0, 42.7, 42.6, 39.1, 38.7, 37.6, 37.3, 36.8, 32.2, 32.1, 32.1, 29.9, 29.2, 28.6, 27.9, 26.1 (x3), 25.3, 25.2, 22.5, 20.9, 19.6, 18.4, 13.9, 12.5, 12.4, −4.4 (x2).
5-(((17R)-3β-((tert-Butyldimethylsilyl)oxy)-androst-5-en-17-yl)methyl)-3-phenyl-4,5-dihydroisoxazol-5-ol (22e)
The title compound 22e (220 mg) was prepared as a white solid in 61% yield from ynone 20e. 1H NMR (500 MHz, CDCl3) δ 7.65 (ddd, J = 6.0, 3.1, 1.4 Hz, 2H), 7.45–7.29 (m, 3H), 5.36–5.26 (m, 1H), 3.49 (tt, J = 10.9, 4.6 Hz, 1H), 1.01 (s, 3H), 0.89 (d, J = 1.4 Hz, 9H), 0.61 (s, 3H), 0.06 (s, 6H). 13C NMR (126 MHz, CDCl3) δ 157.8, 157.4, 141.8, 132.2, 132.0, 130.3, 129.8, 128.8, 128.5, 128.5, 126.8, 126.8, 121.2, 109.6, 109.2, 72.7, 55.6, 55.5, 50.7, 50.6, 46.9, 46.6, 45.4, 45.1, 42.9, 42.7, 42.6, 39.2, 38.7, 37.6, 37.3, 36.8, 32.2, 32.2, 32.1, 32.1, 29.9, 29.8, 29.3, 26.1 (x3), 25.3, 25.2, 20.9, 19.6, 18.4, 12.5, 12.4, −4.4 (x2). HRMS (ESI): m/z calcd for C35H52NO2Si [M-H2O+H]+: 546.3762, found 546.3773.
5-(((17R)-3β-((tert-Butyldimethylsilyl)oxy)-androst-5-en-17-yl)-3-(pyridin-3-yl)-4,5-dihydroisoxazol-5-ol (22f)
The title compound 22f (200 mg) was prepared as a white solid in 56% yield from ynone 20f. 1H NMR (500 MHz, CDCl3) δ 8.76 (t, J = 2.8 Hz, 1H), 8.61 (dd, J = 5.0, 1.6 Hz, 1H), 8.06–7.99 (m, 1H), 7.36–7.30 (m, 1H), 5.32 (dt, J = 5.2, 1.7 Hz, 1H), 3.89 (s, 1H), 3.48 (tt, J = 10.6, 4.7 Hz, 1H), 3.31–3.19 (m, 2H), 2.27 (tq, J = 11.2, 2.7 Hz, 1H), 2.17 (ddd, J = 15.1, 6.0, 1.9 Hz, 2H), 2.04–1.92 (m, 1H), 1.01 (s, 3H), 0.88 (s, 9H), 0.62 (s, 3H), 0.05 (s, 6H). 13C NMR (126 MHz, CDCl3) δ 155.2, 154.8, 151.0, 147.7, 141.8, 133.9, 133.8, 126.2, 123.8, 121.2, 110.1, 109.7, 72.7, 55.6, 55.5, 50.7, 46.9, 46.6, 44.8, 44.4, 43.0, 42.8, 42.7, 39.2, 38.7, 37.6, 37.4, 36.8, 32.2, 32.1, 29.9, 29.3, 26.1 (x3), 25.3, 25.2, 20.9, 19.6, 18.4, 12.5, 12.5, −4.4 (x2).
5-(((17R)-3β-((tert-Butyldimethylsilyl)oxy)-androst-5-en-17-yl)-3-(2-fluorophenyl)-4,5-dihydroisoxazol-5-ol (22g)
The title compound 22g (60 mg) was prepared as a white solid in 68% yield from ynone 20g. 1H NMR (500 MHz, CDCl3) δ 7.88 (tt, J = 7.6, 1.6 Hz, 1H), 7.39 (dddd, J = 8.6, 7.1, 5.1, 1.8 Hz, 1H), 7.18 (td, J = 7.6, 1.2 Hz, 1H), 7.15–7.06 (m, 1H), 5.32 (dt, J = 5.4, 1.9 Hz, 1H), 3.48 (td, J = 10.9, 5.1 Hz, 1H), 3.42–3.27 (m, 2H), 2.27 (tq, J = 11.0, 2.7 Hz, 1H), 1.01 (s, 3H), 0.89 (s, 9H), 0.63–0.61 (m, 3H), 0.06 (s, 6H). 13C NMR (126 MHz, CDCl3) δ 160.5 (d, J = 252.3 Hz), 154.2 (d, J = 48.4 Hz), 141.8, 132.0 (d, J = 8.8 Hz), 129.0, 124.6, 121.2, 117.9 (d, J = 11.6 Hz), 116.5 (d, J = 21.9 Hz), 109.4 (d, J = 52.4 Hz), 72.8, 55.6, 55.5, 50.7, 47.3, 47.0, 46.9, 46.6, 43.0, 42.8, 42.7, 39.1, 38.7, 37.6, 37.3, 36.9, 32.2, 32.1, 30.2, 29.9, 29.3, 26.1 (x3), 25.6, 25.3, 25.2, 20.9, 19.6, 18.4, 12.5, 12.5, −4.4 (x2). HRMS (ESI): m/z calcd for C35H51FNO2Si [M-H2O+H]+: 564.3668, found 564.3680.
5-(((17R)-3β-((tert-Butyldimethylsilyl)oxy)-androst-5-en-17-yl)-3-(2-((tetrahydro-2H-pyran-2-yl)oxy)propan-2-yl)-4,5-dihydroisoxazol-5-ol (22h)
The title compound 22h (520 mg) was prepared as a white solid in 83% yield from ynone 20h. 1H NMR (500 MHz, CDCl3) δ 5.33–5.30 (m, 1H), 5.29 (s, 1H), 5.25 (s, 0.5H), 5.20 (s, 0.5H), 4.83 (dt, J = 5.9, 3.0 Hz, 1H), 3.89 (ddd, J = 11.2, 7.4, 3.0 Hz, 1H), 3.48 (ddt, J = 15.7, 10.9, 4.6 Hz, 2H), 2.91–2.74 (m, 2H), 2.26 (tq, J = 11.0, 2.7 Hz, 1H), 2.21–2.10 (m, 2H), 1.38 (s, 3H), 1.00 (s, 3H), 0.88 (m, 12H), 0.59 (s, 3H), 0.05 (s, 6H). 13C NMR (126 MHz, CDCl3) δ 162.6, 162.2, 141.8, 141.8, 121.3, 121.2, 109.5, 109.2, 94.3, 94.2, 73.8, 73.8, 72.8, 63.4, 63.2, 55.7, 55.6, 50.8, 47.0, 46.6, 43.9, 43.5, 43.0, 42.6, 42.5, 37.6, 37.4, 37.3, 36.9, 36.9, 36.6, 32.2, 32.2, 32.1, 32.0, 31.9, 29.6, 29.1, 26.9, 26.1 (x3), 25.3, 25.2, 22.7, 20.9, 19.9, 19.8, 19.6, 18.4, 12.5, 12.5, −4.4 (x2). HRMS (ESI): m/z calcd for C32H54NO3Si [M-OTHP]+: 528.3867, found 528.3856.
5-(((17R)-3β-((tert-Butyldimethylsilyl)oxy)-androst-5-en-17-yl)methyl)-3-(((tetrahydro-2H-pyran-2-yl)oxy)methyl)-4,5-dihydroisoxazol-5-ol (22i)
The title compound 22i (630 mg) was prepared as a white solid in 86% yield from ynone 20i. 1H NMR (500 MHz, CDCl3) δ 5.32 (dt, J = 5.0, 2.1 Hz, 1H), 4.65 (ddt, J = 7.3, 5.0, 2.7 Hz, 1H), 4.51–4.40 (m, 1H), 4.33 (ddd, J = 12.7, 8.5, 3.8 Hz, 1H), 3.93–3.79 (m, 1H), 3.58–3.43 (m, 2H), 3.03–2.76 (m, 2H), 2.27 (tq, J = 11.3, 2.8 Hz, 1H), 1.00 (s, 3H), 0.88 (s, 9H), 0.60 (s, 3H), 0.05 (s, 6H). 13C NMR (126 MHz, CDCl3) δ 158.3, 141.8, 121.2, 109.4, 109.3, 109.0, 108.8, 99.8, 99.6, 98.8, 63.4, 63.3, 63.3, 63.1, 62.7, 62.2, 55.6, 50.7, 46.9, 46.6, 45.9, 45.6, 45.5, 45.2, 43.0, 42.6, 39.1, 38.6, 38.3, 37.8, 37.6, 37.3, 36.8, 32.2, 32.1, 32.1, 30.8, 30.5, 29.8, 29.2, 26.1, 25.4, 25.3, 20.9, 19.8, 19.7, 19.6, 19.5, 18.4, 12.5, 12.4, −4.4. HRMS (ESI): m/z calcd for C35H60NO5Si [M+H]+: 602.4235, found 602.4242; calcd for C35H58NO4Si [M-H2O+H]+: 584.4130, found 584.4136.
3.1.9. General Procedure for the Synthesis of Isoxazoles (23a–i)
CDI (1.7 eq.) was added to a 0.4M solution of dihydroisoxazololes 22a–i (1 eq.) in dry CH2Cl2, and the mixture was stirred at room temperature for 16 h. Upon completion of the reaction, the mixture was concentrated under reduced pressure, and the residue was chromatographed on silica gel (PE:EtOAc) to afford isoxazoles 23a–i.
5-(((17R)-3β-((tert-butyldimethylsilyl)oxy)-androst-5-en-17-yl)methyl)isoxazole (23a)
The title compound 23a (110 mg) was prepared as a white solid in 51% yield from hydroxyisoxazoline 22a together with 4-(3β-((tert-butyldimethylsilyl)oxy)-androst-5-en-17-yl)-3-oxobutanenitrile (31) (85 mg, 40%) isolated as a slightly yellow solid.
Isoxazole 23a: 1H NMR (500 MHz, CDCl3) δ 8.12 (d, J = 1.7 Hz, 1H), 5.96 (d, J = 1.7 Hz, 1H), 5.31 (dt, J = 5.5, 2.0 Hz, 1H), 3.48 (tt, J = 10.9, 4.7 Hz, 1H), 2.85 (dd, J = 15.0, 5.0 Hz, 1H), 2.59 (dd, J = 15.0, 9.7 Hz, 1H), 2.26 (ddd, J = 13.6, 10.8, 2.7 Hz, 1H), 2.17 (ddd, J = 13.3, 5.0, 2.4 Hz, 1H), 1.99 (dtd, J = 16.9, 5.0, 2.6 Hz, 1H), 1.00 (s, 3H), 0.89 (s, 9H), 0.69 (s, 3H), 0.05 (s, 6H). 13C NMR (126 MHz, CDCl3) δ 173.0, 150.3, 141.8, 121.1, 100.3, 72.7, 55.9, 50.6, 49.1, 43.0, 42.3, 37.6, 37.5, 36.8, 32.2, 32.1, 32.1, 28.6, 27.6, 26.1 (x3), 24.7, 20.9, 19.6, 18.4, 12.4, −4.4 (x2). HRMS (ESI): m/z calcd for C29H48NO2Si [M+H]+: 470.3449, found 470.3460.
β-Oxonitrile 31: 1H NMR (500 MHz, CDCl3) δ 5.31 (dq, J = 5.5, 3.3, 2.7 Hz, 1H), 3.52–3.41 (m, 3H), 2.69 (dd, J = 16.4, 3.9 Hz, 1H), 2.41 (dd, J = 16.5, 10.1 Hz, 1H), 2.26 (tq, J = 11.1, 2.8 Hz, 1H), 2.17 (ddd, J = 13.3, 5.0, 2.3 Hz, 1H), 1.00 (s, 3H), 0.89 (s, 9H), 0.61 (s, 3H), 0.05 (s, 6H). 13C NMR (126 MHz, CDCl3) δ 197.8, 141.7, 121.1, 114.0, 72.7, 55.6, 50.5, 45.6, 43.4, 42.9, 42.2, 37.6, 37.4, 36.8, 32.3, 32.2, 32.1, 32.0, 28.4, 26.1, 24.8, 20.9, 19.6, 18.4, 12.8, −4.4.
5-(((17R)-3β-((tert-Butyldimethylsilyl)oxy)-androst-5-en-17-yl)methyl)-3-isopropylisoxazole (23b)
The title compound 23b (45 mg) was prepared as a white solid in 27% yield from hydroxyisoxazoline 22b together with (E)-4-amino-1-((17R)-3β-((tert-butyldimethylsilyl)oxy)-androst-5-en-17-yl)-5-methyl-2-oxohex-3-en-3-yl 1H-imidazole-1-carboxylate (26b) (103 mg, 50%) isolated as a white solid.
Isoxazole 23b: 1H NMR (500 MHz, CDCl3) δ 5.81 (s, 1H), 5.31 (dt, J = 5.5, 2.0 Hz, 1H), 3.00 (hept, J = 6.9 Hz, 1H), 2.78 (dd, J = 15.1, 4.9 Hz, 1H), 2.50 (dd, J = 15.1, 10.0 Hz, 1H), 2.26 (tq, J = 11.1, 2.7 Hz, 1H), 2.16 (ddd, J = 13.4, 5.0, 2.3 Hz, 1H), 1.26 (s, 3H), 1.25 (s, 3H), 1.00 (s, 3H), 0.88 (s, 9H), 0.67 (s, 3H), 0.05 (s, 6H). 13C NMR (126 MHz, CDCl3) δ 173.2, 169.4, 141.8, 121.1, 99.0, 56.0, 50.6, 49.1, 43.0, 42.3, 37.6, 37.5, 36.8, 32.2, 32.1, 32.1, 28.6, 27.7, 26.6, 26.1 (x3), 24.7, 21.9 (x2), 20.9, 19.6, 18.4, 12.4, −4.4 (x2).
Imidazolecarboxylate 26b: 1H NMR (500 MHz, CDCl3) δ 8.21 (d, J = 1.1 Hz, 1H), 7.56 (t, J = 1.4 Hz, 1H), 7.20 (t, J = 1.2 Hz, 1H), 5.31 (dt, J = 5.6, 2.0 Hz, 1H), 3.82 (hept, J = 7.0 Hz, 1H), 3.47 (tt, J = 10.9, 4.7 Hz, 1H), 3.01 (dd, J = 15.7, 3.6 Hz, 1H), 2.72 (dd, J = 15.7, 9.1 Hz, 1H), 2.26 (ddd, J = 13.7, 10.8, 2.8 Hz, 2H), 2.17 (ddd, J = 13.3, 5.0, 2.3 Hz, 1H), 1.32 (d, J = 2.1 Hz, 3H), 1.31 (d, J = 2.2 Hz, 3H), 1.01 (s, 3H), 0.88 (s, 9H), 0.69 (s, 3H), 0.05 (s, 6H). 13C NMR (126 MHz, CDCl3) δ 197.4, 160.4, 147.7, 141.8, 135.3, 132.7, 131.0, 121.2, 116.6, 72.7, 55.8, 50.6, 46.1, 43.0, 42.3, 41.4, 37.6, 37.5, 36.8, 32.2, 32.2, 32.1, 28.4, 26.3, 26.1 (x3), 24.9, 21.0, 20.6, 20.5, 19.6, 18.4, 12.8, −4.4 (x2).
5-(((17R)-3β-((tert-Butyldimethylsilyl)oxy)-androst-5-en-17-yl)methyl)-3-cyclopropylisoxazole (23c)
The title compound 23c (11 mg) was prepared as a white solid in 9% yield from hydroxyisoxazoline 22c together with (E)-1-amino-4-((17R)-3β-((tert-butyldimethylsilyl)oxy)-androst-5-en-17-yl)-1-cyclopropyl-3-oxobut-1-en-2-yl 1H-imidazole-1-carboxylate 26c (35 mg, 44%) isolated as a white solid.
Isoxazole 23c: 1H NMR (500 MHz, CDCl3) δ 5.60 (s, 1H), 5.31 (dt, J = 5.0, 2.0 Hz, 1H), 3.47 (tt, J = 11.0, 4.7 Hz, 1H), 2.75 (dd, J = 15.0, 5.0 Hz, 1H), 2.47 (dd, J = 15.0, 10.0 Hz, 1H), 2.31–2.22 (m, 1H), 2.16 (ddd, J = 13.4, 5.1, 2.3 Hz, 1H), 1.00 (s, 3H), 0.88 (s, 9H), 0.66 (s, 3H), 0.05 (s, 6H). 13C NMR (126 MHz, CDCl3) δ 173.3, 166.4, 141.8, 121.1, 98.4, 72.7, 55.9, 50.6, 49.0, 43.0, 42.3, 37.6, 37.5, 36.8, 32.2, 32.1, 32.1, 28.6, 27.7, 26.1 (x3), 24.7, 20.9, 19.6, 18.4, 12.4, 8.0 (x2), 7.5, −4.4 (x2).
Imidazolecarboxylate 26c: 1H NMR (500 MHz, CDCl3) δ 8.10 (s, Im-2, 1H), 7.46 (t, J = 1.5, 1H), 7.14 (s, Im-4, 1H), 5.29 (dt, H-6, J = 5.6, 2.0 Hz, 1H), 3.45 (tt, H-3, J = 10.9, 4.7, 1H), 2.98 (dd, H-20, J = 15.6, 3.4 Hz, 1H), 2.83 (tt, H-25, J = 8.5, 5.2 Hz, 1H), 2.70 (dd, H-20, J = 15.6, 9.1 Hz, 1H), 2.24 (tq, H-4, J = 11.0, 2.6 Hz, 1H), 2.14 (ddd, H-4, J = 13.4, 5.1, 2.3 Hz, 1H), 1.96 (m, H-2, 1H), 1.93 (m, H-17, 1H), 1.93 (m, H-16, 1H), 1.80 (m, H-1, 1H), 1.74 (m, H-12, 1H), 1.74 (m, H-1, 1H), 1.67 (m, H-7, 1H), 1.63 (m, H-15, 1H), 1.50 (m, H-2, 1H), 1.44 (m, H-8, 1H), 1.43 (m, H-11, 1H), 1.30 (m, H-16, 1H), 1.18 (m, H-26 and H-27, 2H), 1.15 (m, H-15, 1H), 1.08 (m, H-26 and H-27, 2H), 1.06 (m, H-12, 1H), 1.01 (m, H-14, 1H), 0.98 (s, H-19, 3H), 0.93 (m, H-9, 1H), 0.85 (s, SiCMe3, 9H), 0.67 (s, H-18, 3H), 0.02 (s, SiMe2, 6H). 13C NMR (126 MHz, CDCl3) δ 197.1 (s, C-22), 157.2 (s, C-24), 146.4 (s, >C=O), 141.6 (s, C-5), 135.1 (s, Im-2), 134.2 (s, C-23), 130.9 (s, Im-4), 121.1 (d, C-6), 116.5 (s, Im-5), 72.6 (d, C-3), 55.7 (d, C-14), 50.6 (d, C-9), 46.0 (d, C-17), 42.9 (t, C-4), 42.3 (s, C-13), 41.1 (d, C-20), 37.5 (t, C-12), 37.4 (t, C-1), 36.8 (s, C-10), 32.2 (t, C-7), 32.1 (d, C-8), 32.0 (t, C-2), 28.4 (t, C-16), 26.0 (s, SiCMe3, x3), 24.8 (t, C-15), 20.9 (t, C-11), 19.5 (s, C-19), 18.3 (s, SiCMe3), 12.8 (s, C-18), 9.5 (t, C-26 and C-27, x2), 8.2 (d, C-25), −4.5 (s, SiMe2, x2). Selected HMBC correlations are between δ 2.98, 2.70 (H-20), 1.93 (H-17) and 197.1 (C-22), between δ 2.83 (H-25), 1.18, 1.08 (H-26, H-27) and 157.2 (C-24), between δ 2.70 (H-20) and 134.2 (C-23).
3-Butyl-5-(((17R)-3β-((tert-butyldimethylsilyl)oxy)-androst-5-en-17-yl)methyl)isoxazole (23d)
The title compound 23d (100 mg) was prepared as a white solid in 58% yield from hydroxyisoxazoline 22d. 1H NMR (500 MHz, CDCl3) δ 5.79 (s, 1H), 5.31 (dt, J = 4.8, 2.1 Hz, 1H), 3.47 (tt, J = 11.1, 4.7 Hz, 1H), 2.78 (dd, J = 15.0, 5.1 Hz, 1H), 2.61 (t, J = 7.7 Hz, 2H), 2.51 (dd, J = 15.0, 9.9 Hz, 1H), 2.26 (ddd, J = 13.6, 10.9, 2.7 Hz, 1H), 2.17 (ddd, J = 13.4, 5.1, 2.3 Hz, 1H), 1.98 (dtd, J = 16.9, 5.0, 2.6 Hz, 1H), 1.00 (s, 3H), 0.93 (t, J = 7.3 Hz, 4H), 0.88 (s, 9H), 0.67 (s, 3H), 0.05 (s, 6H). 13C NMR (126 MHz, CDCl3) δ 173.2, 164.1, 141.8, 121.1, 100.7, 72.7, 56.0, 50.6, 49.1, 43.0, 42.3, 37.6, 37.5, 36.8, 32.2, 32.1, 32.1, 30.6, 28.6, 27.7, 26.1 (x3), 25.9, 24.7, 22.4, 20.9, 19.6, 18.4, 13.9, 12.4, −4.4 (x2).
5-(((17R)-3β-((tert-Butyldimethylsilyl)oxy)-androst-5-en-17-yl)methyl)-3-phenylisoxazole (23e)
The title compound 23e (105 mg) was prepared as a white solid in 61% yield from hydroxyisoxazoline 22e. 1H NMR (500 MHz, CDCl3) δ 7.83–7.75 (m, 2H), 7.48–7.38 (m, 3H), 6.28 (s, 1H), 5.32 (dt, J = 5.5, 2.0 Hz, 1H), 3.48 (tt, J = 11.0, 4.7 Hz, 1H), 2.87 (dd, J = 15.0, 5.1 Hz, 1H), 2.61 (dd, J = 15.0, 9.7 Hz, 1H), 2.32–2.23 (m, 1H), 2.18 (ddd, J = 13.3, 5.0, 2.3 Hz, 1H), 1.01 (s, 3H), 0.89 (s, 9H), 0.71 (s, 3H), 0.06 (s, 6H). 13C NMR (126 MHz, CDCl3) δ 174.2, 162.4, 141.7, 129.9, 129.6, 128.9 (x2), 126.9 (x2), 121.1, 99.2, 72.7, 55.9, 50.6, 49.1, 43.0, 42.3, 37.5, 37.5, 36.8, 32.2, 32.1, 32.1, 28.6, 27.8, 26.1 (x3), 24.7, 20.9, 19.6, 18.4, 12.4, −4.4 (x2). HRMS (ESI): m/z calcd for C35H52NO2Si [M+H]+: 546.3762, found 546.3767.
5-(((17R)-3β-((tert-Butyldimethylsilyl)oxy)-androst-5-en-17-yl)methyl)-3-(pyridin-3-yl)isoxazole (23f)
The title compound 23f (54 mg) was prepared as a white solid in 60% yield from hydroxyisoxazoline 22f. 1H NMR (500 MHz, CDCl3) δ 8.98 (d, J = 2.3 Hz, 1H), 8.66 (dd, J = 4.8, 1.7 Hz, 1H), 8.13 (dt, J = 7.9, 2.0 Hz, 1H), 7.38 (dd, J = 7.9, 4.8 Hz, 1H), 6.33 (s, 1H), 5.32 (dd, J = 4.8, 2.4 Hz, 1H), 3.48 (tt, J = 11.0, 4.7 Hz, 1H), 2.90 (dd, J = 15.1, 5.0 Hz, 1H), 2.63 (dd, J = 15.1, 9.7 Hz, 1H), 2.27 (ddd, J = 13.6, 11.0, 3.0 Hz, 1H), 2.17 (ddd, J = 13.4, 5.1, 2.3 Hz, 1H), 1.01 (s, 3H), 0.88 (s, 9H), 0.71 (s, 2H), 0.05 (s, 6H). 13C NMR (126 MHz, CDCl3) δ 175.0, 159.9, 150.9, 148.1, 141.8, 134.1, 125.8, 123.9, 121.1, 98.9, 72.7, 56.0, 50.6, 49.1, 43.0, 42.4, 37.6 (x2), 36.8, 32.2, 32.1, 32.1, 28.6, 27.9, 26.1 (x3), 24.7, 20.9, 19.6, 18.4, 12.5, −4.4 (x2). HRMS (ESI): m/z calcd for C34H51N2O2Si [M+H]+: 547.3714, found 547.3717.
5-(((17R)-3β-((tert-Butyldimethylsilyl)oxy)-androst-5-en-17-yl)methyl)-3-(2-fluorophenyl)isoxazole (23g)
The title compound 23g (20 mg) was prepared as a white solid in 71% yield from hydroxyisoxazoline 22g. 1H NMR (500 MHz, CDCl3) δ 7.98 (td, J = 7.6, 1.8 Hz, 1H), 7.40 (dddd, J = 8.4, 7.1, 5.2, 1.8 Hz, 1H), 7.22 (td, J = 7.6, 1.2 Hz, 1H), 7.16 (ddd, J = 11.1, 8.3, 1.2 Hz, 1H), 6.43 (d, J = 3.7 Hz, 1H), 5.32 (dt, J = 5.5, 2.0 Hz, 1H), 3.48 (tt, J = 11.0, 4.7 Hz, 1H), 2.89 (dd, J = 15.1, 5.0 Hz, 1H), 2.63 (dd, J = 15.1, 9.7 Hz, 1H), 2.27 (ddd, J = 13.6, 10.8, 2.7 Hz, 1H), 2.17 (ddd, J = 13.3, 5.0, 2.3 Hz, 1H), 1.99 (dtd, J = 16.9, 5.0, 2.6 Hz, 1H), 1.01 (s, 3H), 0.89 (s, 9H), 0.71 (s, 3H), 0.06 (s, 6H). 13C NMR (126 MHz, CDCl3) δ 174.1, 160.4 (d, J = 251.3 Hz), 157.8, 141.8, 131.5 (d, J = 8.6 Hz), 129.2 (d, J = 3.0 Hz), 124.7 (d, J = 3.5 Hz), 121.1, 117.7 (d, J = 12.0 Hz), 116.4 (d, J = 22.0 Hz), 101.8 (d, J = 9.0 Hz), 56.0, 50.6, 49.1, 43.0, 42.3, 37.6, 37.5, 36.8, 32.2, 32.1, 32.1, 28.6, 27.8, 26.1 (x3), 24.7, 20.9, 19.6, 18.4, 12.5, 1.2, −4.4 (x2).
5-(((17R)-3β-((tert-Butyldimethylsilyl)oxy)-androst-5-en-17-yl)-3-(2-((tetrahydro-2H-pyran-2-yl)oxy)propan-2-yl)isoxazole (23h)
The title compound 23h (384 mg) was prepared as a white solid in 78% yield from hydroxyisoxazoline 22h. 1H NMR (500 MHz, CDCl3) δ 5.97 (s, 1H), 5.31 (dt, J = 5.1, 2.1 Hz, 1H), 4.50 (dt, J = 6.1, 2.8 Hz, 1H), 3.91 (dd, J = 11.0, 4.9 Hz, 1H), 3.47 (tt, J = 8.4, 3.5 Hz, 1H), 3.39 (dddd, J = 9.4, 7.0, 4.2, 2.2 Hz, 1H), 2.82–2.76 (m, 1H), 2.54 (ddd, J = 15.0, 9.5, 3.6 Hz, 1H), 2.26 (tt, J = 14.0, 2.9 Hz, 1H), 2.16 (ddd, J = 13.4, 5.0, 2.2 Hz, 1H), 1.98 (dtd, J = 16.7, 5.0, 2.5 Hz, 1H), 1.65 (s, 2H), 1.54 (s, 4H), 1.00 (s, 4H), 0.88 (s, 9H), 0.68, 0.67 (s, 3H), 0.05 (s, 6H). 13C NMR (126 MHz, CDCl3) δ 173.5, 173.4, 168.9, 168.8, 141.8, 121.1, 99.5, 99.4, 95.8, 95.7, 74.4, 72.7, 63.9, 63.9, 56.0, 50.6, 49.2, 48.9, 43.0, 42.3, 37.6, 37.5, 36.8, 32.3, 32.2, 32.1, 32.1, 29.2, 29.1, 28.6, 28.6, 27.8, 27.7, 26.1 (x3), 25.9, 25.8, 25.4, 24.7, 20.9, 19.6, 18.4, 12.4, −4.4 (x2).
5-(((17R)-3β-((tert-Butyldimethylsilyl)oxy)-androst-5-en-17-yl)-3-(((tetrahydro-2H-pyran-2-yl)oxy)methyl)isoxazole (23i)
The title compound 23i (530 mg) was prepared as a white solid in 87% yield from hydroxyisoxazoline 22i. 1H NMR (500 MHz, CDCl3) δ 6.03 (s, 1H), 5.31 (dt, J = 5.5, 2.0 Hz, 1H), 4.73 (d, J = 12.8 Hz, 1H), 4.70 (t, J = 3.6 Hz, 1H), 4.57 (d, J = 12.8 Hz, 1H), 3.88 (ddd, J = 11.4, 8.3, 2.9 Hz, 1H), 3.58–3.52 (m, 2H), 3.47 (tt, J = 11.0, 4.7 Hz, 1H), 2.81 (dd, J = 15.0, 4.9 Hz, 1H), 2.54 (dd, J = 15.1, 10.0 Hz, 1H), 2.26 (tq, J = 11.0, 2.7 Hz, 1H), 2.16 (ddd, J = 13.3, 5.0, 2.3 Hz, 1H), 1.98 (dtd, J = 16.8, 5.0, 2.6 Hz, 1H), 1.00 (s, 3H), 0.88 (s, 9H), 0.68 (s, 3H), 0.05 (s, 6H). 13C NMR (126 MHz, CDCl3) δ 173.9, 161.6, 141.8, 121.1, 100.6, 100.6, 98.4, 72.7, 62.4, 60.7, 55.9, 50.6, 49.0, 43.0, 42.3, 37.6, 37.5, 36.8, 32.2, 32.1, 32.1, 30.5, 28.6, 27.7, 26.1 (x3), 25.5, 24.7, 20.9, 19.6, 19.4, 18.4, 12.4, −4.4 (x2). HRMS (ESI): m/z calcd for C35H58NO4Si [M+H]+: 584.4130, found 584.4143.
3.1.10. (E)-1-Amino-4-((17R)-3β-hydroxy-androst-5-en-17-yl)-1-cyclopropyl-3-oxobut-1-en-2-yl 1H-imidazole-1-carboxylate (27)
The title compound 27 (35 mg) was obtained from 26c in a similar manner for the preparation of 24j as a white solid in 87% yield. 1H NMR (500 MHz, CDCl3) δ 8.13 (s, 1H), 7.52–7.45 (m, 1H), 7.17 (s, 1H), 5.35 (dt, J = 4.7, 2.0 Hz, 1H), 3.52 (tt, J = 11.1, 4.7 Hz, 1H), 3.00 (dd, J = 15.6, 3.4 Hz, 1H), 2.85 (tt, J = 8.4, 5.2 Hz, 1H), 2.72 (dd, J = 15.6, 9.0 Hz, 1H), 2.34–2.18 (m, 2H), 1.02 (s, 3H), 0.70 (s, 3H). 13C NMR (126 MHz, CDCl3) δ 197.2, 157.3, 146.5, 141.0, 135.2, 134.3, 131.0, 121.7, 116.6, 71.8, 55.7, 50.6, 46.1, 42.4, 42.3, 41.2, 37.5, 37.4, 36.7, 32.1, 32.1, 31.8, 28.4, 24.9, 21.0, 19.6, 12.8, 9.6 (x2), 8.2.
3.1.11. 5-(2-((17R)-3β-((tert-Butyldimethylsilyl)oxy)-androst-5-en-17-yl)acetyl)-4-cyclopropyloxazol-2(3H)-one (28)
A mixture of 26c (20 mg, 31 μmol), THF (500 μL), water (200 μL), and NaOH (6.4 mg, 160 μmol) was heated at 70 °C for 36 h. Then, it was neutralized with saturated NH4Cl and extracted with EtOAc. The combined organic layers were washed with brine, dried over Na2SO4, and concentrated under reduced pressure. The crude product was purified by silica gel chromatography (PE:EtOAc, 90:10→70:30) to afford oxazolone 28 (12 mg, 66%) as a white solid. 1H NMR (500 MHz, CDCl3) δ 8.30 (s, 1H), 5.31 (dt, J = 5.0, 2.1 Hz, 1H), 3.48 (tt, J = 10.9, 4.7 Hz, 1H), 2.92 (dd, J = 14.7, 4.9 Hz, 1H), 2.68 (dd, J = 14.8, 9.1 Hz, 1H), 2.26 (ddd, J = 13.6, 11.0, 2.7 Hz, 1H), 2.18 (tt, J = 7.9, 4.7 Hz, 2H), 2.03–1.94 (m, 1H), 1.00 (s, 3H), 0.89 (s, 9H), 0.69 (s, 3H), 0.05 (s, 6H). 13C NMR (126 MHz, CDCl3) δ 189.2, 153.3, 149.5, 141.8, 123.2, 121.1, 72.7, 55.8, 50.5, 49.3, 43.0, 42.4, 37.6, 37.4, 36.8, 32.2, 32.1, 32.0, 28.2, 27.7, 26.1 (x3), 24.6, 20.9, 19.6, 18.9, 18.4, 12.5, 11.74, 11.70, −4.4 (x2).
3.1.12. General Procedure for the Synthesis of Alcohols (24a–i)
A 1M solution of silyl ethers 23a–i (1 eq.) and TBAF (1.2 eq.) in THF was kept at room temperature for 24 h. On completion of the reaction, the mixture was diluted with saturated NH4Cl and extracted with EtOAc. The combined organic layers were washed with water, brine, dried over Na2SO4 and concentrated under reduced pressure. The residue was purified by silica gel chromatography (PE:EtOAc) to give alcohols 24a–i.
(17R)-(Isoxazol-5-ylmethyl)-androst-5-en-3β-ol (24a)
The title compound 24a (70 mg) was prepared as a white solid in 73% yield from silyl ether 23a. 1H NMR (500 MHz, CDCl3) δ 8.12 (d, J = 1.7 Hz, 1H), 5.96 (d, J = 1.7 Hz, 1H), 5.35 (dt, J = 5.5, 2.0 Hz, 1H), 3.52 (tt, J = 11.2, 4.6 Hz, 1H), 2.85 (dd, J = 15.0, 5.1 Hz, 1H), 2.59 (dd, J = 15.0, 9.7 Hz, 1H), 2.30 (ddd, J = 13.1, 5.1, 2.1 Hz, 1H), 2.23 (ddq, J = 13.4, 11.0, 2.7 Hz, 1H), 1.99 (dtd, J = 16.9, 4.9, 2.6 Hz, 1H), 1.01 (s, 3H), 0.69 (s, 3H). 13C NMR (126 MHz, CDCl3) δ 173.0, 150.3, 141.0, 121.7, 100.3, 71.9, 55.9, 50.5, 49.1, 42.4, 42.3, 37.5, 37.4, 36.7, 32.1, 32.0, 31.8, 28.5, 27.6, 24.7, 20.9, 19.6, 12.4.
(17R)-17-((3-isopropylisoxazol-5-yl)methyl)-androst-5-en-3β-ol (24b)
The title compound 24b (31 mg) was prepared as a white solid in 85% yield from silyl ether 23b. 1H NMR (500 MHz, CDCl3) δ 5.81 (s, 1H), 5.34 (dt, J = 4.9, 2.0 Hz, 1H), 3.51 (tt, J = 11.2, 4.5 Hz, 1H), 3.00 (hept, J = 6.9 Hz, 1H), 2.78 (dd, J = 15.1, 5.0 Hz, 1H), 2.50 (dd, J = 15.0, 10.0 Hz, 1H), 2.35–2.18 (m, 2H), 1.98 (dtd, J = 17.0, 5.0, 2.6 Hz, 1H), 1.25 (d, J = 7.0 Hz, 6H), 1.01 (s, 3H), 0.67 (s, 3H). 13C NMR (126 MHz, CDCl3) δ 173.2, 169.4, 141.0, 121.6, 99.1, 71.8, 55.9, 50.5, 49.0, 42.4, 42.3, 37.4 (x2), 36.7, 32.1, 32.0, 31.8, 28.6, 27.7, 26.6, 24.7, 21.9 (x2), 20.9, 19.5, 12.4. HRMS (ESI): m/z calcd for C26H40NO2 [M+H]+: 398.3054, found 398.3064.
(17R)-17-((3-Cyclopropylisoxazol-5-yl)methyl)-androst-5-en-3β-ol (24c)
The title compound 24c (27 mg) was prepared as a white solid in 70% yield from silyl ether 23c. 1H NMR (500 MHz, CDCl3) δ 5.60 (s, 1H), 5.34 (dt, J = 5.3, 2.0 Hz, 1H), 3.51 (tt, J = 11.2, 4.6 Hz, 1H), 2.75 (dd, J = 15.0, 5.0 Hz, 1H), 2.47 (dd, J = 15.0, 10.0 Hz, 1H), 2.29 (ddd, J = 13.1, 5.1, 2.2 Hz, 1H), 2.22 (ddq, J = 13.4, 11.1, 2.6 Hz, 1H), 1.01 (s, 3H), 1.00–0.96 (m, 2H), 0.76 (dt, J = 6.8, 4.6 Hz, 2H), 0.66 (s, 3H). 13C NMR (126 MHz, CDCl3) δ 173.3, 166.4, 141.0, 121.6, 98.4, 71.8, 55.9, 50.5, 49.0, 42.4, 42.3, 37.4 (x2), 36.7, 32.1, 32.0, 31.8, 28.6, 27.7, 24.7, 20.9, 19.6, 12.4, 8.0 (x2), 7.5. HRMS (ESI): m/z calcd for C26H38NO2 [M+H]+: 396.2897, found 396.2908.
17β-((3-Butylisoxazol-5-yl)methyl)-androst-5-en-3β-ol (24d)
The title compound 24d (53 mg) was prepared as a white solid in 70% yield from silyl ether 23d. 1H NMR (500 MHz, CDCl3) δ 5.79 (s, 1H), 5.34 (dt, J = 5.4, 2.0 Hz, 1H), 3.52 (tt, J = 11.2, 4.6 Hz, 1H), 2.78 (dd, J = 15.0, 5.1 Hz, 1H), 2.65–2.55 (m, 2H), 2.51 (dd, J = 15.1, 9.9 Hz, 1H), 2.32–2.19 (m, 2H), 1.99 (dtd, J = 16.9, 5.0, 2.5 Hz, 1H), 1.01 (s, 3H), 0.92 (t, J = 7.4 Hz, 3H), 0.67 (s, 3H). 13C NMR (126 MHz, CDCl3) δ 173.2, 164.2, 141.0, 121.6, 100.7, 71.9, 55.9, 50.5, 49.0, 42.4, 42.3, 37.5, 37.4, 36.7, 32.1, 32.0, 31.8, 30.6, 28.6, 27.7, 25.9, 24.7, 22.4, 20.9, 19.6, 13.9, 12.4.
(17R)-17-((3-(Pyridin-3-yl)isoxazol-5-yl)methyl)-androst-5-en-3β-ol (24f)
The title compound 24f (15 mg) was prepared as a white solid in 64% yield from silyl ether 23f. 1H NMR (500 MHz, CDCl3) δ 9.01 (s, 1H), 8.69 (s, 1H), 8.14 (d, J = 7.9 Hz, 1H), 7.40 (s, 1H), 6.33 (s, 1H), 5.35 (dd, J = 5.0, 2.4 Hz, 1H), 3.52 (tt, J = 11.2, 4.4 Hz, 1H), 2.90 (dd, J = 15.1, 5.1 Hz, 1H), 2.63 (dd, J = 15.1, 9.8 Hz, 1H), 2.34–2.27 (m, 1H), 2.23 (ddd, J = 13.5, 11.0, 2.8 Hz, 1H), 1.02 (s, 3H), 0.72 (s, 3H). 13C NMR (126 MHz, CDCl3) δ 175.0, 159.9, 150.9, 148.0, 141.0, 134.1, 121.6, 99.0, 77.4, 77.2, 76.9, 71.9, 55.9, 50.5, 49.1, 42.4, 42.4, 37.5, 37.4, 36.7, 32.1, 32.0, 31.8, 28.6, 27.9, 24.7, 21.0, 19.6, 12.5. HRMS (ESI): m/z calcd for C28H37N2O2 [M+H]+: 433.2850, found 433.2862.
17β-((3-(2-Fluorophenyl)isoxazol-5-yl)methyl)-androst-5-en-3β-ol (24g)
The title compound 24g (9 mg) was prepared as a white solid in 82% yield from silyl ether 23g. 1H NMR (500 MHz, CDCl3) δ 7.97 (td, J = 7.6, 1.9 Hz, 1H), 7.45–7.36 (m, 1H), 7.22 (td, J = 7.6, 1.2 Hz, 1H), 7.19–7.13 (m, 1H), 6.43 (d, J = 3.7 Hz, 1H), 5.36 (dd, J = 4.9, 2.3 Hz, 1H), 3.52 (dq, J = 11.3, 5.7, 5.0 Hz, 1H), 2.89 (dd, J = 15.1, 5.1 Hz, 1H), 2.63 (dd, J = 15.1, 9.7 Hz, 1H), 2.30 (ddd, J = 13.1, 5.1, 2.1 Hz, 1H), 2.23 (ddd, J = 13.6, 10.6, 2.6 Hz, 1H), 2.00 (dtd, J = 16.9, 4.9, 2.5 Hz, 1H), 1.02 (s, 3H), 0.72 (s, 3H). 13C NMR (126 MHz, CDCl3) δ 174.1, 160.4 (d, J = 251.4 Hz), 157.8, 141.0, 131.5 (d, J = 8.6 Hz), 129.2 (d, J = 3.1 Hz), 124.7 (d, J = 3.5 Hz), 121.7, 117.6 (d, J = 12.1 Hz), 116.4 (d, J = 21.9 Hz), 101.8 (d, J = 9.1 Hz), 71.9, 55.9, 50.5, 49.1, 42.4, 42.3, 37.5, 37.4, 36.7, 32.1, 32.0, 31.8, 28.6, 27.8, 24.7, 21.0, 19.6, 12.5.
3.1.13. (17R)-17-((3-(2-Hydroxypropan-2-yl)isoxazol-5-yl)methyl)-androst-5-en-3β-ol (24j)
A mixture of silyl ether 23h (270 mg, 0.44 mmol), THF (1 mL), MeCN (4 mL), and 40% aq. HF (100 μL, 2 mmol) in a Teflon vial was stirred at room temperature for 16 h. Then, it was neutralized with saturated NaHCO3 and extracted with EtOAc. The combined organic layers were washed with water, brine, dried over Na2SO4, and concentrated under reduced pressure. The residue was purified by silica gel chromatography (CHCl3: MeOH, 100:0→80:20) to give diol 24j (128 mg, 70%) as a white solid. 1H NMR (500 MHz, CDCl3) δ 5.97 (s, 1H), 5.35 (dd, J = 4.8, 2.3 Hz, 1H), 3.52 (tt, J = 11.1, 4.6 Hz, 1H), 2.80 (dd, J = 15.1, 4.9 Hz, 1H), 2.53 (dd, J = 15.1, 10.1 Hz, 1H), 2.30 (ddd, J = 13.1, 5.1, 2.0 Hz, 1H), 2.23 (ddd, J = 13.2, 10.7, 2.6 Hz, 1H), 1.58 (s, 6H), 1.01 (s, 3H), 0.68 (s, 3H). 13C NMR (126 MHz, CDCl3) δ 174.0, 170.5, 141.0, 121.6, 98.6, 71.9, 69.4, 55.9, 50.5, 49.1, 42.4, 42.3, 37.5, 37.4, 36.7, 32.1, 32.0, 31.8, 30.0 (x2), 28.6, 27.8, 24.7, 21.0, 19.6, 12.4. HRMS (ESI): m/z calcd for C26H40NO3 [M+H]+: 414.3003, found 414.3014.
3.1.14. (17R)-17-((3-Phenylisoxazol-5-yl)methyl)-androst-5-en-3β-ol (24e)
The title compound 24e (30 mg) was obtained from 23e in a similar manner for the preparation of 24j as a white solid in 88% yield. 1H NMR (500 MHz, CDCl3) δ 7.83–7.73 (m, 2H), 7.44 (d, J = 6.8 Hz, 3H), 6.28 (s, 1H), 5.40–5.30 (m, 1H), 3.52 (ddd, J = 18.6, 12.0, 5.9 Hz, 1H), 2.88 (dd, J = 15.1, 5.1 Hz, 1H), 2.61 (dd, J = 15.1, 9.7 Hz, 1H), 2.36–2.18 (m, 2H), 1.02 (s, 3H), 0.71 (s, 3H). 13C NMR (126 MHz, CDCl3) δ 174.2, 162.4, 141.0, 129.9, 129.6, 129.0 (x2), 126.9 (x2), 121.7, 99.2, 71.9, 55.9, 50.5, 49.1, 42.4, 42.3, 37.5, 37.4, 36.7, 32.1, 32.0, 31.8, 28.6, 27.8, 24.7, 20.9, 19.6, 12.5. HRMS (ESI): m/z calcd for C29H38NO2 [M+H]+: 432.2897, found 432.2910.
3.1.15. (17R)-17-((3-(Hydroxymethyl)isoxazol-5-yl)methyl)-androst-5-en-3β-ol (32)
Dowex 50 W (H+-form) ion-exchanger (2 mg) was added to a solution of 24i (40 mg, 6.8 μmol) in THF (340 μL) and MeOH (800 μL). The suspension was stirred at room temperature for 48 h. Solids were filtered off and washed with EtOAc. The filtrate was evaporated under reduced pressure, and the crude material was purified by silica gel chromatography (CHCl3:MeOH, 100:0→80:20) to give diol 32 (23 mg, 87%) as a white solid. 1H NMR (500 MHz, CDCl3) δ 6.02 (s, 1H), 5.35 (dt, J = 4.7, 2.0 Hz, 1H), 4.71 (s, 2H), 3.51 (tt, J = 11.2, 4.6 Hz, 1H), 2.82 (dd, J = 15.1, 5.1 Hz, 1H), 2.55 (dd, J = 15.1, 9.9 Hz, 1H), 2.29 (ddd, J = 13.0, 5.1, 2.1 Hz, 1H), 2.26–2.18 (m, 4H), 1.99 (dtd, J = 16.8, 5.0, 2.6 Hz, 1H), 1.01 (s, 3H), 0.68 (s, 3H). 13C NMR (126 MHz, CDCl3) δ 174.2, 163.5, 141.0, 121.6, 99.9, 71.9, 57.3, 55.9, 50.5, 49.1, 42.4, 42.3, 37.5, 37.4, 36.7, 32.1, 32.0, 31.8, 28.6, 27.8, 24.7, 20.9, 19.6, 12.4. HRMS (ESI): m/z calcd for C24H36NO3 [M+H]+: 386.2690, found 386.2690.
3.1.16. 5-(((17R)-3β-((tert-Butyldimethylsilyl)oxy)-androst-5-en-17-yl)methyl)isoxazole-3-yl)methanol (33)
A mixture of magnesium bromide diethyl etherate (prepared from Mg (63.4 mg, 2.61 mmol) by dropwise addition of 1,2-dibromoethane (222 μL, 2.56 mmol) in anhydrous Et2O (3 mL) and subsequent reflux until gas evolution subsides) and ether 24i (440 mg, 0.75 mmol) was vigorously stirred at room temperature for 16 h. The mixture was quenched with saturated NH4Cl and extracted with EtOAc. Organic extracts were washed with brine, dried over Na2SO4, and rotoevaporated. The residue was purified by silica gel chromatography (PE:EtOAc, 95:5→70:30) to afford alcohol 33 as a white solid (323 mg, 85%), in addition to the unreacted starting material 24i (43 mg, 9.8%). 1H NMR (500 MHz, CDCl3) δ 6.01 (s, 1H), 5.31 (dt, J = 5.1, 2.1 Hz, 1H), 4.69 (s, 2H), 3.47 (tt, J = 11.0, 4.7 Hz, 1H), 2.81 (dd, J = 15.1, 5.0 Hz, 1H), 2.54 (dd, J = 15.1, 9.9 Hz, 1H), 2.48–2.35 (m, 1H), 2.26 (tq, J = 11.1, 2.7 Hz, 1H), 2.16 (ddd, J = 13.3, 5.1, 2.3 Hz, 1H), 1.98 (dtd, J = 16.8, 5.0, 2.6 Hz, 1H), 1.00 (s, 3H), 0.88 (s, 9H), 0.67 (s, 3H), 0.05 (s, 6H). 13C NMR (126 MHz, CDCl3) δ 174.2, 163.6, 141.7, 121.1, 99.9, 72.7, 57.2, 55.9, 50.5, 49.0, 42.9, 42.3, 37.5, 37.5, 36.8, 32.2, 32.1, 32.0, 28.5, 27.7, 26.1 (x3), 24.7, 20.9, 19.6, 18.4, 12.4, −4.5 (x2).
3.1.17. 5-(((17R)-3β-((tert-Butyldimethylsilyl)oxy)-androst-5-en-17-yl)methyl)-3-(chloromethyl)isoxazole (37)
To a solution of alcohol 33 (212 mg, 0.42 mmol) in pyridine (0.5 mL), TsCl (122, 0.64 mmol) was added at 0 °C. The cooling bath was removed, and the reaction mixture was kept at room temperature for 16 h. On completion of the reaction, the mixture was diluted with water and extracted with EtOAc. The combined organics were washed with brine, dried over Na2SO4, and rotoevaporated. The residue was purified by silica gel chromatography (PE:EtOAc, 95:5→85:15) to give chloride 37 (43 mg, 20%) as a white solid. 1H NMR (500 MHz, CDCl3) δ 6.08 (s, 1H), 5.31 (dt, J = 5.5, 2.0 Hz, 1H), 4.55 (s, 2H), 3.48 (tt, J = 11.0, 4.7 Hz, 1H), 2.82 (dd, J = 15.2, 5.0 Hz, 1H), 2.55 (dd, J = 15.1, 9.9 Hz, 1H), 2.26 (ddd, J = 13.7, 10.9, 2.7 Hz, 1H), 2.17 (ddd, J = 13.4, 5.0, 2.3 Hz, 1H), 1.00 (s, 3H), 0.89 (s, 9H), 0.68 (s, 3H), 0.05 (s, 6H). 13C NMR (126 MHz, CDCl3) δ 174.8, 160.8, 141.8, 129.6, 121.1, 100.8, 72.7, 55.9, 50.6, 49.0, 43.0, 42.3, 37.6, 37.5, 36.8, 36.0, 32.2, 32.1, 32.1, 28.6, 27.8, 26.1 (x3), 24.7, 20.9, 19.6, 18.4, 12.4, −4.4 (x2). HRMS (ESI): m/z calcd for C30H49ClNO2Si [M+H]+: 518.3216, found 518.3226.
3.1.18. 5-((3β-((tert-Butyldimethylsilyl)oxy)-androst-5-en-17-yl)methyl)isoxazol-3-yl)methyl methanesulfonate (34)
To a solution of alcohol 33 (250 mg, 0.5 mmol) in DCM (2 mL) and Et3N (120 μL, 0.86 mmol), MsCl (55 μL, 0.71 mmol) was added at −15 °C. The mixture was stirred at this temperature for 15 min, then quenched with saturated NaHCO3. The organic layer was separated, the water phase was extracted with CH2Cl2. The combined organics were washed with brine, dried over Na2SO4, and evaporated under reduced pressure. The residue was purified by silica gel chromatography (PE:EtOAc, 95:5→80:20) to give mesylate 34 (266 mg, 92%) as a white solid. 1H NMR (500 MHz, CDCl3) δ 6.13 (s, 1H), 5.31 (dt, J = 5.5, 2.0 Hz, 1H), 5.26 (s, 2H), 3.47 (tt, J = 10.7, 4.7 Hz, 1H), 3.05 (s, 3H), 2.84 (dd, J = 15.2, 5.0 Hz, 1H), 2.57 (dd, J = 15.2, 9.9 Hz, 1H), 2.26 (ddd, J = 13.7, 10.9, 2.7 Hz, 1H), 2.17 (ddd, J = 13.3, 5.0, 2.3 Hz, 1H), 1.99 (dtd, J = 16.8, 5.0, 2.5 Hz, 1H), 1.00 (s, 3H), 0.88 (s, 9H), 0.68 (s, 3H), 0.05 (s, 6H). 13C NMR (126 MHz, CDCl3) δ 175.4, 158.1, 141.8, 121.1, 100.8, 72.7, 62.3, 55.9, 50.5, 49.0, 43.0, 42.3, 38.3, 37.6, 37.5, 36.8, 32.2, 32.1, 32.0, 28.5, 27.8, 26.1 (x3), 24.7, 20.9, 19.6, 18.4, 12.4, −4.4 (x2). HRMS (ESI): m/z calcd for C31H52NO5SSi [M+H]+: 578.3330, found 578.3333.
3.1.19. 3-(Azidomethyl)-5-(((17R)-3β-((tert-butyldimethylsilyl)oxy)-androst-5-en-17-yl)methyl)isoxazole (35)
A mixture of mesylate 34 (260 mg, 0.45 mmol), NaN3 (88 mg, 1.35 mmol), and DMF (2 mL) was stirred at 70 °C for 3 h. On completion of the reaction, the mixture was diluted with water and extracted with EtOAc. The organic layers were washed with water, brine, dried over Na2SO4, and concentrated under reduced pressure. The resulting product was purified by silica gel chromatography (PE:EtOAc, 100:0→85:15) to afford azide 35 (220 mg, 93%) as a white solid. 1H NMR (500 MHz, CDCl3) δ 6.02 (s, 1H), 5.31 (dt, J = 5.5, 2.0 Hz, 1H), 4.37 (s, 2H), 3.47 (tt, J = 11.1, 4.7 Hz, 1H), 2.84 (dd, J = 15.1, 5.1 Hz, 1H), 2.57 (dd, J = 15.1, 9.8 Hz, 1H), 2.31–2.22 (m, 1H), 2.17 (ddd, J = 13.4, 5.0, 2.3 Hz, 1H), 1.99 (dtd, J = 16.8, 4.9, 2.6 Hz, 1H), 1.00 (s, 3H), 0.88 (s, 9H), 0.68 (s, 3H), 0.05 (s, 6H). 13C NMR (126 MHz, CDCl3) δ 175.0, 159.1, 141.8, 121.1, 100.3, 72.7, 55.9, 50.5, 49.0, 45.9, 43.0, 42.3, 37.6, 37.5, 36.8, 32.2, 32.1, 32.1, 28.5, 27.8, 26.1 (x3), 24.7, 20.9, 19.6, 18.4, 12.4, −4.4 (x2).
3.1.20. (17R)-17-((3-(Azidomethyl)isoxazol-5-yl)methyl)-androst-5-en-3β-ol (36)
The title compound 36 (25 mg) was obtained from 35 in a similar manner for the preparation of 24j as a white solid in 81% yield. 1H NMR (500 MHz, CDCl3) δ 6.02 (s, 1H), 5.34 (dt, J = 4.8, 2.1 Hz, 1H), 4.36 (s, 2H), 3.52 (tt, J = 11.2, 4.5 Hz, 1H), 2.83 (dd, J = 15.1, 5.1 Hz, 1H), 2.57 (dd, J = 15.1, 9.8 Hz, 1H), 2.29 (ddd, J = 13.1, 5.2, 2.1 Hz, 1H), 2.23 (tq, J = 13.5, 2.6 Hz, 1H), 1.99 (dtd, J = 16.9, 5.0, 2.5 Hz, 1H), 1.01 (s, 3H), 0.69 (s, 3H). 13C NMR (126 MHz, CDCl3) δ 175.0, 159.1, 141.0, 121.6, 100.3, 71.8, 55.9, 50.4, 49.0, 45.9, 42.4, 42.3, 37.5, 37.4, 36.7, 32.1, 32.0, 31.8, 28.5, 27.8, 24.7, 20.9, 19.5, 12.4.
3.1.21. (17R)-17-((3-(Chloromethyl)isoxazol-5-yl)methyl)-androst-5-en-3β-ol (38)
The title compound 38 (26 mg) was obtained from 37 in a similar manner for the preparation of 24a as a white solid in 85% yield. 1H NMR (500 MHz, CDCl3) δ 6.08 (s, 1H), 5.39–5.32 (m, 1H), 4.54 (s, 1H), 3.52 (tt, J = 11.2, 4.6 Hz, 1H), 2.82 (dd, J = 15.1, 5.0 Hz, 1H), 2.55 (dd, J = 15.1, 10.2 Hz, 1H), 2.30 (ddd, J = 13.1, 5.1, 2.1 Hz, 1H), 2.26–2.19 (m, 1H), 1.01 (s, 3H), 0.68 (s, 3H). 13C NMR (126 MHz, CDCl3) δ 174.8, 160.8, 141.0, 121.6, 100.8, 71.9, 55.9, 50.5, 49.0, 42.4, 42.3, 37.4, 37.4, 36.7, 36.0, 32.1, 32.0, 31.8, 28.5, 27.8, 24.7, 20.9, 19.6, 12.4. HRMS (ESI): m/z calcd for C24H35ClNO2 [M+H]+: 404.2351, found 404.2358.
3.1.22. 1-((17R)-3β-((tert-Butyldimethylsilyl)oxy)-androst-5-en-17-yl)oct-3-yn-2-one oxime (39)
A mixture of ynone 20d (100 mg, 0.20 mmol), NH2OH∙HCl (42 mg, 0.60 mmol), NaHCO3 (50 mg, 060 mmol), and methanol (1.5 mL) was stirred at 60 °C for 40 min, then evaporated to dryness at reduced pressure and purified by silica gel chromatography (PE:EtOAc, 100:0→80:20), affording oxime 39 as an oil. 1H NMR (500 MHz, CDCl3) δ 5.31 (dt, J = 5.6, 2.0 Hz, 1H), 3.47 (td, J = 11.0, 5.3 Hz, 1H), 1.01, 1.00 (s, 3H), 0.89 (s, 9H), 0.66 (s, 3H), 0.63, 0.62 (s, 3H), 0.06 (s, 6H). 13C NMR (126 MHz, CDCl3) δ 162.3, 148.4, 144.0, 141.8, 121.2, 103.6, 92.7, 72.8, 56.1, 55.9, 55.9, 50.7, 48.1, 47.6, 47.5, 47.5, 43.0, 42.6, 42.4, 42.3, 37.7, 37.6, 37.5, 37.5, 36.9, 35.6, 34.7, 34.0, 32.2, 32.2, 32.1, 30.5, 30.4, 29.7, 28.7, 28.5, 28.3, 28.1, 28.0, 27.3, 26.1, 24.8, 24.8, 23.1, 22.6, 22.1, 21.0, 19.6, 19.5, 19.1, 18.4, 14.0, 13.7, 12.5, 12.4, 12.4, 12.3, −4.4.
3.1.23. 5-Butyl-3-(((17R)-3β-((tert-butyldimethylsilyl)oxy)-androst-5-en-17-yl)methyl)isoxazole (40d)
A mixture of oxime 39 (93 mg, 0.18 mmol), AuCl3 (1.5 mg, 0.005 mmol), and DCM (0.7 mL) was stirred at room temperature for 30 min. The solvent was evaporated, and the residue was purified by silica gel chromatography (PE:EtOAc, 100:0→85:15) to give isoxazole 40d (43 mg, 46%) as an oil. 1H NMR (500 MHz, CDCl3) δ 5.79 (d, J = 0.9 Hz, 1H), 5.31 (dt, J = 5.6, 1.9 Hz, 1H), 3.52–3.43 (m, 1H), 2.75–2.65 (m, 2H), 2.48–2.37 (m, 1H), 1.01 (s, 3H), 0.93 (t, J = 7.4 Hz, 3H), 0.89 (s, 9H), 0.69 (s, 3H), 0.05 (s, 6H). 13C NMR (126 MHz, CDCl3) δ 173.3, 163.9, 141.8, 121.2, 100.7, 72.8, 56.1, 50.7, 49.8, 43.0, 42.4, 37.7, 37.6, 36.8, 32.2, 32.1, 29.7, 28.6, 26.9, 26.6, 26.1 (x3), 24.7, 22.3, 21.0, 19.6, 18.4, 13.8, 12.4, −4.4 (x2).
3.1.24. General Procedure for the Synthesis of Isoxazoles 40a,e–i
A 0.1M methanol solution of ynones 20a,e–i (1 eq) was added to NH2OH∙HCl (3 eq) and NaHCO3 (3 eq). The resulting mixture was stirred at 60 °C for 16 h, then the solvent was evaporated at reduced pressure and the residue was purified by silica gel chromatography (PE:EtOAc) to afford isoxazoles 40a,e–i.
3-(((17R)-3β-((tert-Butyldimethylsilyl)oxy)-androst-5-en-17-yl)methyl)isoxazole (40a)
The title compound 40a (47 mg) was prepared as a white solid in 61% yield from ynone 20a. 1H NMR (500 MHz, CDCl3) δ 8.28 (s, 1H), 6.18 (s, 1H), 5.31 (d, J = 5.0 Hz, 1H), 3.52–3.43 (m, 1H), 2.81 (dd, J = 14.6, 4.9 Hz, 1H), 2.54–2.46 (m, 1H), 2.27 (t, J = 12.2 Hz, 1H), 2.21–2.13 (m, 1H), 1.99 (d, J = 16.8 Hz, 1H), 1.00 (s, 3H), 0.88 (s, 9H), 0.70 (s, 3H), 0.05 (s, 6H). 13C NMR (126 MHz, CDCl3) δ 162.9, 158.0, 141.8, 121.2, 104.4, 72.8, 56.1, 50.6, 49.8, 43.0, 42.4, 37.7, 37.6, 36.8, 32.2, 32.1, 29.9, 28.6, 26.7, 26.1 (x3), 24.7, 21.0, 19.6, 18.4, 12.5, −4.4 (x2).
3-(((17R)-3β-((tert-Butyldimethylsilyl)oxy)-androst-5-en-17-yl)methyl)-5-phenylisoxazole (40e)
The title compound 40e (140 mg) was prepared as a white solid in 82% yield from ynone 20e. 1H NMR (500 MHz, CDCl3) δ 7.80–7.73 (m, 2H), 7.49–7.38 (m, 3H), 6.37 (s, 1H), 5.32 (dd, J = 4.8, 2.7 Hz, 1H), 3.48 (tt, J = 11.0, 4.7 Hz, 1H), 2.81 (dd, J = 14.3, 4.9 Hz, 1H), 2.51 (dd, J = 14.3, 10.1 Hz, 1H), 2.26 (ddt, J = 13.7, 5.5, 2.8 Hz, 1H), 2.17 (ddd, J = 13.3, 5.0, 2.2 Hz, 1H), 2.04–1.95 (m, 1H), 1.01 (s, 3H), 0.89 (s, 9H), 0.73 (s, 3H), 0.06 (s, 6H). 13C NMR (126 MHz, CDCl3) δ 169.5, 164.6, 141.8, 130.1, 129.1 (x2), 127.9, 125.9 (x2), 121.2, 99.6, 72.8, 56.1, 50.7, 49.8, 43.0, 42.5, 37.8, 37.6, 36.8, 32.2, 32.1 (x2), 28.6, 27.0, 26.1 (x3), 24.8, 21.0, 19.6, 18.4, 12.5, −4.4 (x2). HRMS (ESI): m/z calcd for C35H52NO2Si [M+H]+: 546.3762, found 546.3772.
3-(((17R)-3β-((tert-Butyldimethylsilyl)oxy)-androst-5-en-17-yl)methyl)-5-(pyridin-3-yl)isoxazole (40f)
The title compound 40f (40 mg) was prepared as a white solid in 40% yield from ynone 20f. 1H NMR (500 MHz, CDCl3) δ 8.99 (d, J = 2.3 Hz, 1H), 8.65 (dd, J = 4.9, 1.7 Hz, 1H), 8.07 (dt, J = 8.0, 2.0 Hz, 1H), 7.40 (ddd, J = 8.0, 4.8, 0.9 Hz, 1H), 6.47 (s, 1H), 5.31 (dt, J = 5.7, 1.9 Hz, 1H), 3.47 (tt, J = 11.0, 4.7 Hz, 1H), 2.83 (dd, J = 14.3, 4.9 Hz, 1H), 2.53 (dd, J = 14.3, 10.1 Hz, 1H), 2.26 (ddd, J = 13.7, 10.9, 2.7 Hz, 1H), 2.17 (ddd, J = 13.3, 5.0, 2.3 Hz, 1H), 1.01 (s, 3H), 0.88 (s, 9H), 0.72 (s, 3H), 0.05 (s, 6H). 13C NMR (126 MHz, CDCl3) δ 166.6, 164.8, 150.8, 147.1, 141.8, 133.0, 124.1, 123.9, 121.1, 100.6, 72.7, 56.1, 50.6, 49.8, 43.0, 42.5, 37.7, 37.6, 36.8, 32.2, 32.1, 28.6, 27.0, 26.1 (x2), 24.7, 20.9, 19.6, 18.4, 12.5, −4.4 (x2).
3-(((17R)-3β-((tert-Butyldimethylsilyl)oxy)-androst-5-en-17-yl)methyl)-5-(2-fluorophenyl)isoxazole (40g)
The title compound 40g (97 mg) was prepared as a white solid in 69% yield from ynone 20g. 1H NMR (500 MHz, CDCl3) δ 7.95 (td, J = 7.6, 1.7 Hz, 1H), 7.40 (tdd, J = 7.4, 5.0, 1.8 Hz, 1H), 7.29–7.22 (m, 1H), 7.18 (dd, J = 11.0, 8.2 Hz, 1H), 6.56 (d, J = 3.9 Hz, 1H), 5.32 (d, J = 5.2 Hz, 1H), 3.48 (tt, J = 10.9, 4.7 Hz, 1H), 2.83 (dd, J = 14.3, 4.9 Hz, 1H), 2.54 (dd, J = 14.3, 10.0 Hz, 1H), 2.27 (ddd, J = 13.9, 10.9, 2.8 Hz, 1H), 2.17 (ddd, J = 13.3, 5.1, 2.3 Hz, 1H), 1.02 (s, 3H), 0.89 (s, 9H), 0.73 (s, 3H), 0.06 (s, 6H). 13C NMR (126 MHz, CDCl3) δ 164.9, 163.2, 159.2 (d, J = 252.8 Hz), 141.8, 131.4 (d, J = 8.6 Hz), 127.8, 124.8, 124.8, 121.2, 116.3 (d, J = 21.3 Hz), 116.2, 103.8 (d, J = 10.9 Hz), 72.7, 56.1, 50.6, 49.7, 43.0, 42.5, 37.7, 37.6, 36.8, 32.2, 32.1, 28.6, 27.0, 26.1 (x3), 24.8, 21.0, 19.6, 18.4, 12.5, −4.4 (x2). HRMS (ESI): m/z calcd for C35H51FNO2Si [M+H]+: 564.3668, found 564.3678.
3-(((17R)-3β-((tert-Butyldimethylsilyl)oxy)-androst-5-en-17-yl)methyl)-5-(2-((tetrahydro-2H-pyran-2-yl)oxy)propan-2-yl)isoxazole (40h)
The title compound 40h (60 mg) was prepared as a white solid in 73% yield from ynone 20h. 1H NMR (500 MHz, CDCl3) δ 5.99 (d, J = 1.0 Hz, 1H), 5.31 (dd, J = 4.7, 2.3 Hz, 1H), 4.59 (dt, J = 5.4, 2.5 Hz, 1H), 3.90 (dt, J = 11.3, 5.0 Hz, 1H), 3.47 (ddt, J = 15.7, 10.9, 4.7 Hz, 1H), 3.39 (dt, J = 11.1, 5.1 Hz, 1H), 2.74 (ddd, J = 14.3, 5.0, 2.2 Hz, 1H), 2.44 (dd, J = 14.3, 10.0 Hz, 1H), 2.26 (ddd, J = 13.7, 11.1, 2.9 Hz, 1H), 2.16 (ddd, J = 13.3, 5.0, 2.3 Hz, 1H), 1.64 (s, 3H), 1.58 (s, 3H), 1.00 (s, 3H), 0.88 (s, 9H), 0.69 (s, 3H), 0.05 (s, 6H). 13C NMR (126 MHz, CDCl3) δ 175.7, 175.6, 163.8, 163.7, 141.8, 121.1, 101.1, 101.0, 95.4, 95.3, 73.7, 73.6, 72.7, 63.3, 63.3, 56.1, 50.6, 49.7, 43.0, 42.4, 37.7, 37.6, 36.8, 32.2, 32.1, 32.0, 28.6, 28.6, 28.3, 28.2, 26.9, 26.2, 26.1, 25.4, 24.7, 21.0, 20.4, 20.4, 19.6, 18.4, 12.4, −4.4.
3-(((17R)-3β-((tert-Butyldimethylsilyl)oxy)-androst-5-en-17-yl)methyl)-5-(((tetrahydro-2H-pyran-2-yl)oxy)methyl)isoxazole (40i)
The title compound 40i (86 mg) was prepared as a white solid in 45% yield from ynone 20i. 1H NMR (500 MHz, CDCl3) δ 6.09 (s, 1H), 5.31 (dt, J = 5.7, 1.9 Hz, 1H), 4.77–4.70 (m, 2H), 4.59 (d, J = 13.6 Hz, 1H), 3.86 (ddd, J = 11.6, 8.9, 2.9 Hz, 1H), 3.58–3.51 (m, 1H), 3.47 (tt, J = 10.9, 4.6 Hz, 1H), 2.75 (dd, J = 14.3, 4.7 Hz, 1H), 2.45 (dd, J = 14.3, 10.2 Hz, 1H), 2.26 (ddt, J = 13.8, 5.5, 3.0 Hz, 1H), 2.16 (ddd, J = 13.3, 5.0, 2.3 Hz, 1H), 1.00 (s, 3H), 0.88 (s, 9H), 0.69 (s, 3H), 0.05 (s, 6H). 13C NMR (126 MHz, CDCl3) δ 168.9, 163.9, 141.8, 121.2, 121.1, 103.0, 98.1, 72.7, 62.2, 59.8, 56.1, 50.6, 49.7, 43.0, 42.4, 37.7, 37.6, 36.8, 32.2, 32.1, 30.4, 28.6, 26.9, 26.1, 25.4, 24.7, 20.9, 19.6, 19.1, 18.4, 12.4, −4.4.
3.1.25. (17R)-17-(Isoxazol-3-ylmethyl)-androst-5-en-3β-ol (41a)
The title compound 41a (20 mg) was obtained from 40a in a similar manner for the preparation of 24a as a white solid in 87% yield. 1H NMR (500 MHz, CDCl3) δ 8.28 (d, J = 1.6 Hz, 1H), 6.18 (d, J = 1.7 Hz, 1H), 5.35 (dt, J = 5.5, 2.0 Hz, 1H), 3.52 (tt, J = 11.2, 4.6 Hz, 1H), 2.81 (dd, J = 14.3, 5.0 Hz, 1H), 2.50 (dd, J = 14.3, 10.0 Hz, 1H), 2.30 (ddd, J = 13.1, 5.1, 2.2 Hz, 1H), 2.23 (ddq, J = 13.3, 11.0, 2.5 Hz, 1H), 1.01 (s, 3H), 0.71 (s, 3H). 13C NMR (126 MHz, CDCl3) δ 162.9, 158.0, 141.0, 121.7, 104.4, 71.9, 56.0, 50.5, 49.8, 42.4, 37.7, 37.4, 36.7, 32.1, 32.1, 31.8, 28.5, 26.7, 24.7, 21.0, 19.6, 12.5. HRMS (ESI): m/z calcd for C23H34NO2 [M+H]+: 356.2584, found 356.2592.
3.1.26. (17R)-17-((5-Butylisoxazol-3-yl)methyl)-androst-5-en-3β-ol (41d)
The title compound 41d (63 mg) was obtained from 40d in a similar manner for the preparation of 24a as a white solid in 80% yield. 1H NMR (500 MHz, CDCl3) δ 5.79 (s, 1H), 5.34 (dt, J = 5.5, 2.0 Hz, 1H), 3.51 (tt, J = 11.1, 4.5 Hz, 1H), 2.76–2.65 (m, 3H), 2.40 (dd, J = 14.2, 10.2 Hz, 1H), 2.29 (ddd, J = 13.0, 5.1, 2.2 Hz, 1H), 2.22 (ddd, J = 13.4, 11.0, 2.8 Hz, 1H), 1.98 (dtd, J = 16.7, 4.7, 2.4 Hz, 1H), 1.01 (s, 3H), 0.92 (t, J = 7.4 Hz, 3H), 0.68 (s, 3H). 13C NMR (126 MHz, CDCl3) δ 173.3, 163.9, 141.0, 121.6, 100.7, 71.8, 56.0, 50.5, 49.7, 42.4, 42.4, 37.6, 37.4, 36.7, 32.1 (x2), 31.8, 29.7, 28.5, 26.9, 26.5, 24.7, 22.3, 20.9, 19.5, 13.8, 12.4. HRMS (ESI): m/z calcd for C27H42NO2 [M+H]+: 412.3210, found 412.3221.
3.1.27. (17R)-17-((5-Phenylisoxazol-3-yl)methyl)-androst-5-en-3β-ol (41e)
The title compound 41e (46 mg) was obtained from 40e in a similar manner for the preparation of 24a as a white solid in 85% yield. 1H NMR (500 MHz, CDCl3) δ 7.80–7.70 (m, 2H), 7.43 (dt, J = 11.4, 6.7 Hz, 3H), 6.37 (s, 1H), 5.35 (d, J = 5.1 Hz, 1H), 3.58–3.45 (m, 2H), 2.81 (dd, J = 14.2, 5.0 Hz, 1H), 2.51 (dd, J = 14.3, 10.0 Hz, 1H), 2.36–2.17 (m, 2H), 2.04–1.95 (m, 1H), 1.02 (s, 3H), 0.72 (s, 3H). 13C NMR (126 MHz, CDCl3) δ 169.5, 164.6, 141.0, 130.1, 129.0 (x2), 127.8, 125.9 (x2), 121.7, 99.5, 71.9, 56.0, 50.5, 49.8, 42.4 (x2), 37.7, 37.4, 36.7, 32.1, 32.1, 31.8, 28.6, 27.0, 24.7, 21.0, 19.6, 12.5. HRMS (ESI): m/z calcd for C29H38NO2 [M+H]+: 432.2897, found 432.2903.
3.1.28. (17R)-17-((5-(Pyridin-3-yl)isoxazol-3-yl)methyl)-androst-5-en-3β-ol (41f)
The title compound 41f (27 mg) was obtained from 40f in a similar manner for the preparation of 24a as a white solid in 62% yield. 1H NMR (500 MHz, CDCl3) δ 8.99 (s, 1H), 8.69–8.59 (m, 1H), 8.07 (dt, J = 8.0, 1.9 Hz, 1H), 7.41 (dd, J = 8.0, 4.8 Hz, 1H), 6.48 (s, 1H), 5.35 (dt, J = 5.5, 1.9 Hz, 1H), 3.52 (tt, J = 11.1, 4.5 Hz, 1H), 2.83 (dd, J = 14.3, 4.9 Hz, 1H), 2.54 (dd, J = 14.3, 10.1 Hz, 1H), 2.30 (ddd, J = 13.0, 5.1, 2.1 Hz, 1H), 2.24 (ddd, J = 13.2, 10.8, 2.6 Hz, 1H), 2.00 (dtd, J = 16.5, 4.7, 2.4 Hz, 1H), 1.02 (s, 3H), 0.73 (s, 3H). 13C NMR (126 MHz, CDCl3) δ 166.7, 164.8, 150.8, 147.1, 141.0, 133.0, 129.9, 123.9, 121.7, 100.6, 71.9, 56.1, 50.6, 49.8, 42.5, 42.4, 37.7, 37.4, 36.8, 32.1, 32.1, 31.8, 28.6, 27.0, 24.7, 21.0, 19.6, 12.5. HRMS (ESI): m/z calcd for C28H37N2O2 [M+H]+: 433.2850, found 433.2858.
3.1.29. (17R)-17-((5-(2-Fluorophenyl)isoxazol-3-yl)methyl)-androst-5-en-3β-ol (41g)
The title compound 41g (53 mg) was obtained from 40g in a similar manner for the preparation of 24a as a white solid in 90% yield. 1H NMR (500 MHz, CDCl3) δ 7.95 (td, J = 7.6, 1.8 Hz, 1H), 7.40 (tdd, J = 7.4, 5.0, 1.8 Hz, 1H), 7.26 (dq, J = 7.4, 3.9, 2.9 Hz, 2H), 7.18 (dd, J = 11.4, 8.0 Hz, 2H), 6.56 (d, J = 3.9 Hz, 1H), 5.35 (d, J = 5.1 Hz, 1H), 3.57–3.47 (m, 1H), 2.83 (dd, J = 14.3, 5.0 Hz, 1H), 2.54 (dd, J = 14.3, 10.0 Hz, 1H), 2.30 (ddd, J = 13.2, 5.2, 2.0 Hz, 1H), 2.24 (dt, J = 15.5, 7.7 Hz, 1H), 1.02 (s, 3H), 0.73 (s, 3H). 13C NMR (126 MHz, CDCl3) δ 164.9, 163.2, 159.2 (d, J = 252.8 Hz), 131.4 (d, J = 8.5 Hz), 131.4, 128.8 (d, J = 101.8 Hz), 124.8 (d, J = 3.5 Hz), 121.7, 116.3 (d, J = 21.7 Hz), 103.8 (d, J = 10.9 Hz), 71.9, 56.0, 50.5, 49.7, 42.4 (x2), 37.7, 37.4, 36.7, 32.1, 32.1, 31.8, 28.5, 27.0, 24.7, 21.0, 19.6, 12.5. HRMS (ESI): m/z calcd for C29H37FNO2 [M+H]+: 450.2803, found 450.2813.
3.1.30. (17R)-17-((5-(2-Hydroxypropan-2-yl)isoxazol-3-yl)methyl)-androst-5-en-3β-ol (41j)
The title compound 41j (182 mg) was obtained from 40h in a similar manner for the preparation of 24j as a white solid in 70% yield. 1H NMR (500 MHz, C5D5N) δ 6.42 (s, 1H), 5.43 (d, J = 4.9 Hz, 1H), 3.86 (td, J = 10.4, 5.7 Hz, 1H), 2.86 (dd, J = 14.2, 4.8 Hz, 1H), 2.68–2.59 (m, 2H), 2.55 (dd, J = 14.2, 9.6 Hz, 1H), 2.15–2.06 (m, 1H), 1.96 (dtd, J = 17.1, 5.2, 2.2 Hz, 1H), 1.83 (s, 6H), 1.06 (s, 3H), 0.66 (s, 3H). 13C NMR (126 MHz, C5D5N) δ 180.1, 164.2, 142.4, 121.5, 100.1, 71.6, 68.7, 56.4, 51.1, 50.2, 43.9, 42.7, 38.3, 38.0, 37.4, 33.0, 32.6, 32.5, 30.2, 30.1, 29.1, 27.5, 25.1, 21.5, 20.0, 12.7. HRMS (ESI): m/z calcd for C26H40NO3 [M+H]+: 414.3003, found 414.3013.
3.1.31. (17R)-17-((5-(Hydroxymethyl)isoxazol-3-yl)methyl)-androst-5-en-3β-ol (41k)
The title compound 41k (23 mg) was obtained from 40i in a similar manner for the preparation of 24j as a white solid in 90% yield. 1H NMR (500 MHz, C5D5N) δ 6.45 (s, 1H), 5.43 (d, J = 4.9 Hz, 1H), 5.04 (s, 2H), 3.87 (tt, J = 10.3, 5.4 Hz, 1H), 2.86 (dd, J = 14.2, 5.0 Hz, 1H), 2.65 (qd, J = 8.0, 2.3 Hz, 2H), 2.54 (dd, J = 14.2, 9.6 Hz, 1H), 2.15–2.07 (m, 1H), 1.06 (s, 3H), 0.66 (s, 3H). 13C NMR (126 MHz, C5D5N) δ 174.1, 164.5, 142.5, 121.6, 102.4, 71.7, 56.7, 56.5, 51.2, 50.3, 44.0, 42.8, 38.3, 38.2, 37.4, 33.1, 32.7, 32.6, 29.2, 27.5, 25.2, 21.5, 20.1, 12.8. HRMS (ESI): m/z calcd for C24H36NO3 [M+H]+: 386.2690, found 386.2694.
3.2. Biology
3.2.1. CYP17A1 Inhibitory Assay
Recombinant human CYP17A1 was purified according to [38]. Recombinant rat NADPH-cytochrome P450 reductase (CPR) was purified according to [39]. Recombinant human cytochrome b5 was purified according to [40].
To determine ligand binding constants (Kdapp values) of the CYP17A1, spectrophotometric titration was performed using a Cary 5000 UV–Vis NIR dual-beam spectrophotometer (Agilent Technologies, Santa Clara, CA) in 1 cm quartz cuvettes. Stock solutions of the steroids were prepared at concentration 10 mM in DMSO. The titration was repeated at least three times, and Kdapp was calculated as described previously [41].
CYP17A1 activity was measured in the reconstituted system at 37 °C in 25 mM Hepes buffer (pH 7.2) according to early developed method [38]. Aliquots of concentrated recombinant proteins were mixed and pre-incubated for 5 min at RT. Progesterone or 17α-hydroxypregnenolone were added to the reaction mixture at the final concentration of 50 μM. Selected compounds were added to the reaction mixture at the final concentration of 50 μM. To measure the activity, the final concentrations of CYP17A1 and CPR were 1.0 and 2.0 μM, respectively. For analysis of 17,20-lyase activity, 1.0 μM cytochrome b5 was used. After 10 min of pre-incubation at 37 °C, the reaction was started by adding NADPH at the final concentration 0.25 mM. Aliquots (0.5 mL) were taken from the incubation mixture after 30 min of reaction. Steroids were extracted with 5 mL of methylene chloride. The organic layer was carefully removed and dried under argon flow. 100 μL of methanol was added to the pellet, and steroids were analyzed on a computerized HPLC system.
3.2.2. Cultivation of Cell Lines
The reporter cell line ARE14 derived from 22Rv1 [36] was a kind gift from prof. Zdeněk Dvořák (Palacký University Olomouc, Czech Republic). LNCaP were purchased from ECACC, while LAPC-4 and DU145 cells were kindly gifted by prof. Jan Bouchal (Palacky University Olomouc and University Hospital, Olomouc, Czech Republic). ARE14, LNCaP, and DU145 were cultivated in RPMI-1640 medium, and LAPC-4 was cultivated in DMEM medium. All media were supplemented with 10% standard or charcoal-stripped fetal bovine serum (steroid-depleted serum), 100 IU/mL penicillin, 100 µg/mL streptomycin, 4 mM glutamine, and 1 mM sodium pyruvate. Cells were cultivated in a humidified incubator at 37 °C and in 5% CO2 atmosphere.
3.2.3. AR-Transcriptional Activity Assay
ARE14 cells were seeded (40,000 cells/well) into the Nunc™ MicroWell™ 96-well optical plate (Thermo Fisher Scientific, Waltham, MA, USA) on the second day. The cultivation medium was discarded, and the cells were washed with PBS. Analyzed compounds were dissolved in medium supplemented with CSS (agonist mode) or CSS with 1 nM R1881 (antagonist mode) and added to cells, including CSS and 1 nM R1881 controls. Upon 24 h of incubation, cells were washed with PBS and lysed for 10 min in a lysis buffer (10 mM Tris pH = 7.4, 2 mM DCTA, 1% nonidet P40, 2 mM DTT) at 37 °C. Next, a reaction buffer (20 mM tricine pH = 7.8, 1.07 mM MgSO4.7H2O, 5 mM ATP, 9.4 mM luciferin) was added, and the luminescence was measured using a Tecan M200 Pro microplate reader (Biotek, Winooski, VT, USA).
3.2.4. Cell Viability Assay
Cells were seeded into the 96-well tissue culture plates and, on the other day, compounds were added in different concentrations in duplicate for 72 h. Upon treatment, the resazurin solution (Sigma Aldrich, St. Louis, MI, USA) was added for 4 h, and then the fluorescence of resorufin was measured at 544 nm/590 nm (excitation/emission) using a Fluoroskan Ascent microplate reader (Labsystems, Budapest, Hungary). The GI50 value was calculated from the dose–response curves that resulted from the measurements using GraphPad Prism 5.
3.2.5. Colony Formation Assay
LAPC-4 (10,000 cells per well) were seeded into 6 well plates and cultivated for 2 days. Next, the medium was removed and replaced with fresh medium containing different concentrations of the compound. Cells were cultivated with the compounds for 10 days. After that, the medium was discarded, colonies were fixed with 70% ethanol, washed with PBS, and stained with crystal violet (1% solution in 96% ethanol). Finally, wells were washed with PBS until the bottom was clear and colonies were visible and the photograph was captured.
3.2.6. Immunoblotting
After the treatment, cells were washed twice with PBS, pelleted, and kept frozen in −80 °C. Cells were lysed, as usual, in ice-cold RIPA lysis buffer supplemented with protease and phosphatase inhibitors. Cells were disrupted by ultrasound sonication on ice and clarified by centrifugation at 14,000× g for 30 min. Protein concentration was measured and balanced within samples. Protein solutions were denatured in SDS-loading buffer, and proteins were separated by SDS-PAGE and electroblotted onto nitrocellulose membranes. Membranes were blocked in 4% BSA and incubated overnight with primary antibodies. On the next day, membranes were washed and incubated with secondary antibodies conjugated with peroxidase. Peroxidase activity was detected by SuperSignal West Pico reagents (Thermo Fisher Scientific, Waltham, MA, USA) using a CCD camera LAS-4000 (Fujifilm, Minato, Japan). Primary antibodies purchased from Merck (Darmstadt, Germany): (anti-β-actin, clone C4; anti-phosphorylated AR (S81)) and from Cell Signaling Technology (Danvers, MA, USA) (anti-AR, clone D6F11; anti-PSA/KLK3, clone D6B1; anti-Nkx3.1, clone D2Y1A; anti-rabbit secondary antibody (porcine anti-rabit immunoglobulin serum)). All antibodies were diluted in 4% BSA and 0.1% Tween 20 in TBS.
3.2.7. Molecular Docking
Molecular docking of compounds 3–7j and 6–4z was performed into the crystal structure of CYP17A1 co-crystalised with heme and abiraterone (PDB:3RUK). The abiraterone molecule was extracted from the protein target before docking, for which the protein was set rigid. For molecular docking into the AR-LBD structure, its crystal structure with DHT was used (PDB:2PIV), and two key amino-acid residues in both extremities of the cavity (Arg752 and Thr877) were set flexible. Accuracy of the docking was assured by re-docking of abiraterone and galeterone into the protein targets and comparison with crystal structure or previously published docking poses. The 3D structures of all compounds were prepared, and their energy was minimized by molecular mechanics with Avogadro 1.90.0. Polar hydrogens were added to molecules with the AutoDock Tools program [42], and docking was performed using AutoDock Vina 1.05 [43]. Figures were generated in Pymol ver. 2.0.4 (Schrödinger, LLC, Cambridge, UK).
4. Conclusions
In summary, in this paper, we present the synthesis and biological studies of steroids containing an isoxazole fragment on their side chain. The presented synthetic approach allowed the preparation of regioisomeric isoxazole derivatives bearing a steroid moiety at both C-3 and C-5 of the heterocycle using common intermediates. Biological studies of the obtained compounds included an examination of their effects on 17α-hydroxylase and 17,20-lyase activity of human CYP17A1 and the ability of selected compounds to influence the downstream AR signaling.
Most of the compounds have a moderate inhibitory effect on the activity of human CYP17A1. The most promising results (predominant inhibitory effect on 17/20-lyase reaction over effect on 17α-hydroxylase activity of CYP17A1) were obtained for the compounds 41a and 41k. These molecules are the most perspective for further optimization. Compounds 41f,g,j also had a predominant effect on the 17,20-lyase reaction of CYP17A1. Moreover, binding and interactions of 41a in CYP17A1 was described using molecular docking and was found nearly identical, compared to abiraterone. Several compounds were further evaluated for their ability to affect the AR transactivation and the viability of several PCa cell lines. Within prepared compounds, three AR antagonists were found to abolish the AR transcriptional activity and the viability of AR-positive PCa cell lines in mid-micromolar concentrations. Candidate compound 24j decreased the AR protein level and blocked its downstream signaling and significantly inhibited colony formation of LAPC-4 cells. Binding of 24j in AR-LBD was described to be similar to galeterone. Overall, the results support the development of novel steroidal derivatives targeting CYP17A1 and AR as anticancer agents in PCa therapy.
Supplementary Materials
The supporting information can be downloaded at: https://www.mdpi.com/article/10.3390/ijms232113534/s1.
Author Contributions
Conceptualization, V.N.Z. and R.J.; methodology, V.N.Z., M.P. and R.J.; synthesis, A.S.R., A.V.K. and M.Y.N.; biological activity evaluations, M.P., L.M., A.M.T., T.V.S. and I.P.G.; HRMS, M.G.Z. and A.R.M.; writing—original draft preparation, V.N.Z., M.P. and R.J.; writing—review and editing, V.N.Z., V.A.K., R.J. and M.K.; supervision, V.A.K.; project administration, V.A.K. and R.J.; funding acquisition, V.N.Z. and R.J. All authors have read and agreed to the published version of the manuscript.
Funding
This research was funded by the Belarusian Foundation for Fundamental Research, grant number X22Mldg-001. The authors gratefully acknowledge financial support from the Palacky University Olomouc (IGA_PrF_2022_007), from the Czech Ministry of Education, Youth and Sports via the project National Institute for Cancer Research (Programme EXCELES, ID Project No. LX22NPO5102 funded by the European Union—Next Generation EU). This work was also financed by the Ministry of Science and Higher Education of the Russian Federation within the framework of state support for the creation and development of World-Class Research Centers’ ‘Digital Biodesign and Personalized Healthcare’ (No 075-15-2022-305).
Institutional Review Board Statement
Not applicable.
Informed Consent Statement
Not applicable.
Data Availability Statement
Not applicable.
Acknowledgments
We acknowledge the International Journal of Molecular Sciences for providing the APC waiver.
Conflicts of Interest
The authors declare no conflict of interest.
Abbreviations
| AR | androgen receptor |
| CCS | charcoal stripped serum |
| CDI | N,N-carbonyldiimidazole |
| CFA | colony formation assay |
| CPR | NADPH-cytochrome P450 reductase |
| DCM | dichloromethane |
| DHT | dihydrotestosterone |
| DMF | dimethylformamide |
| DMP | Dess-Martin periodinane |
| ESI | electrospray ionization |
| FBS | fetal bovine serum |
| Gal | galeterone |
| HRMS | high resolution mass spectrometry |
| LBD | ligand-binding domain |
| PC | prostate cancer |
| PE | petroleum ether |
| TBAF | tetra-n-butylammonium fluoride |
| TBS | tert-butyldimethylsilyl |
| THF | tetrahydrofuran |
References
- Huggins, C.; Stevens, R.E., Jr.; Hodges, C.V. Studies on prostatic cancer: II. The effects of castration on advanced carcinoma of the prostate gland. Arch. Surg. 1941, 43, 209–223. [Google Scholar] [CrossRef]
- Saylor, P.J. The androgen receptor remains front and centre. Nat. Rev. Clin. Oncol. 2013, 10, 126–128. [Google Scholar] [CrossRef]
- Sharifi, N.; McPhaul, M.J.; Auchus, R.J. “Getting from here to there”—Mechanisms and limitations to the activation of the androgen receptor in castration-resistant prostate cancer. J. Investig. Med. 2010, 58, 938–944. [Google Scholar] [CrossRef]
- Fizazi, K.; Scher, H.I.; Molina, A.; Logothetis, C.J.; Chi, K.N.; Jones, R.J.; Staffurth, J.N.; North, S.; Vogelzang, N.J.; Saad, F.; et al. Abiraterone acetate for treatment of metastatic castration-resistant prostate cancer: Final overall survival analysis of the COU-AA-301 randomised, double-blind, placebo-controlled phase 3 study. Lancet Oncol. 2012, 13, 983–992. [Google Scholar] [CrossRef]
- Sushko, T.A.; Gilep, A.A.; Usanov, S.A. Genetics, structure, function, mode of actions and role in cancer development of CYP17. Anticancer Agents Med. Chem. 2014, 14, 66–76. [Google Scholar] [CrossRef]
- Latysheva, A.S.; Zolottsev, V.A.; Veselovsky, A.V.; Scherbakov, K.A.; Morozevich, G.E.; Pokrovsky, V.S.; Novikov, R.A.; Timofeev, V.P.; Tkachev, Y.V.; Misharin, A.Y. New steroidal oxazolines, benzoxazoles and benzimidazoles related to abiraterone and galeterone. Steroids 2020, 153, 108534. [Google Scholar] [CrossRef]
- Zhao, J.-W.; Guo, J.-W.; Huang, M.-J.; You, Y.-Z.; Wu, Z.-H.; Liu, H.-M.; Huang, L.-H. Design, synthesis and biological evaluation of new steroidal β-triazoly enones as potent antiproliferative agents. Steroids 2019, 150, 108431. [Google Scholar] [CrossRef]
- Jorda, R.; Řezníčková, E.; Kiełczewska, U.; Maj, J.; Morzycki, J.W.; Siergiejczyk, L.; Bazgier, V.; Berka, K.; Rárová, L.; Wojtkielewicz, A. Synthesis of novel galeterone derivatives and evaluation of their in vitro activity against prostate cancer cell lines. Eur. J. Med. Chem. 2019, 179, 483–492. [Google Scholar] [CrossRef]
- Jorda, R.; Lopes, S.M.M.; Řezníčková, E.; Ajani, H.; Pereira, A.V.; Gomes, C.S.B.; Pinho E Melo, T.M.V.D. Tetrahydropyrazolo [1,5-a]pyridine-fused steroids and their in vitro biological evaluation in prostate cancer. Eur. J. Med. Chem. 2019, 178, 168–176. [Google Scholar] [CrossRef]
- Hou, Q.; He, C.; Lao, K.; Luo, G.; You, Q.; Xiang, H. Design and synthesis of novel steroidal imidazoles as dual inhibitors of AR/CYP17 for the treatment of prostate cancer. Steroids 2019, 150, 108384. [Google Scholar] [CrossRef]
- Dalidovich, T.S.; Hurski, A.L.; Morozevich, G.E.; Latysheva, A.S.; Sushko, T.A.; Strushkevich, N.V.; Gilep, A.A.; Misharin, A.Y.; Zhabinskii, V.N.; Khripach, V.A. New azole derivatives of [17(20)E]-21-norpregnene: Synthesis and inhibition of prostate carcinoma cell growth. Steroids 2019, 147, 10–18. [Google Scholar] [CrossRef]
- Zolottsev, V.A.; Tkachev, Y.V.; Latysheva, A.S.; Kostin, V.A.; Novikov, R.A.; Timofeev, V.P.; Morozevich, G.E.; Kuzikov, A.V.; Shumyantseva, V.V.; Misharin, A.Y. Comparison of [17(20)E]-21-norpregnene oxazolinyl and benzoxazolyl derivatives as inhibitors of CYP17A1 activity and prostate carcinoma cells growth. Steroids 2018, 129, 24–34. [Google Scholar] [CrossRef]
- Tantawy, M.A.; Nafie, M.S.; Elmegeed, G.A.; Ali, I.A.I. Auspicious role of the steroidal heterocyclic derivatives as a platform for anti-cancer drugs. Bioorg. Chem. 2017, 73, 128–146. [Google Scholar] [CrossRef]
- Kostin, V.A.; Zolottsev, V.A.; Kuzikov, A.V.; Masamrekh, R.A.; Shumyantseva, V.V.; Veselovsky, A.V.; Stulov, S.V.; Novikov, R.A.; Timofeev, V.P.; Misharin, A.Y. Oxazolinyl derivatives of [17(20)E]-21-norpregnene differing in the structure of A and B rings. Facile synthesis and inhibition of CYP17A1 catalytic activity. Steroids 2016, 115, 114–122. [Google Scholar] [CrossRef]
- Szabo, N.; Ajdukovic, J.J.; Djurendic, E.A.; Sakac, M.N.; Ignath, I.; Gardi, J.; Mahmoud, G.; Klisuric, O.R.; Jovanovic-Santa, S.; Penov Gasi, K.M.; et al. Determination of 17a-hydroxylase-C17,20-lyase (P45017a) enzyme activities and their inhibition by selected steroidal picolyl and picolinylidene compounds. Acta Biol. Hung. 2015, 66, 41–51. [Google Scholar] [CrossRef]
- Stulov, S.V.; Dugin, N.O.; Zharkova, M.S.; Shcherbinin, D.S.; Kuzikov, A.V.; Shumantseva, V.V.; Misharin, A.Y.; Veselovsky, A.V. Interaction of novel oxazoline derivatives of 17(20)E-pregna-5,17(20)-diene with cytochrome P450 17A1. Biochem. Suppl. Ser. B Biomed. Chem. 2015, 9, 114–120. [Google Scholar] [CrossRef]
- Kostin, V.A.; Latysheva, A.S.; Zolottsev, V.A.; Tkachev, Y.V.; Timofeev, V.P.; Kuzikov, A.V.; Shumyantseva, V.V.; Morozevich, G.E.; Misharin, A.Y. Oxazoline derivatives of [17(20)E]-21-norpregnene—Inhibitors of CYP17A1 activity and proliferation of prostate carcinoma cells. Russ. Chem. Bull. 2018, 67, 682–687. [Google Scholar] [CrossRef]
- Hu, Q.; Hartmann, R.W. Chapter 11—The Renaissance of CYP17 Inhibitors for the Treatment of Prostate Cancer. In Cancer Drug Design and Discovery, 2nd ed.; Neidle, S., Ed.; Academic Press: San Diego, CA, USA, 2014; pp. 319–356. [Google Scholar] [CrossRef]
- Njar, V.C.O.; Brodie, A.M.H. Discovery and development of galeterone (TOK-001 or VN/124-1) for the treatment of all stages of prostate cancer. J. Med. Chem. 2015, 58, 2077–2087. [Google Scholar] [CrossRef]
- Ling, Y.Z.; Li, J.S.; Liu, Y.; Kato, K.; Klus, G.T.; Brodie, A. 17-Imidazolyl, pyrazolyl, and isoxazolyl androstene derivatives. Novel steroidal inhibitors of human cytochrome C17,20-lyase (P45017a). J. Med. Chem. 1997, 40, 3297–3304. [Google Scholar] [CrossRef]
- Nnane, I.P.; Long, B.J.; Ling, Y.Z.; Grigoryev, D.N.; Brodie, A.M. Anti-tumour effects and pharmacokinetic profile of 17-(5’-isoxazolyl)androsta-4,16-dien-3-one (L-39) in mice: An inhibitor of androgen synthesis. Br. J. Cancer 2000, 83, 74–82. [Google Scholar] [CrossRef][Green Version]
- Nnane, I.P.; Kato, K.; Liu, Y.; Long, B.J.; Lu, Q.; Wang, X.; Ling, Y.-Z.; Brodie, A. Inhibition of androgen synthesis in human testicular and prostatic microsomes and in male rats by novel steroidal compounds. Endocrinology 1999, 140, 2891–2897. [Google Scholar] [CrossRef] [PubMed]
- Banday, A.H.; Giri, A.K.; Parveen, R.; Bashir, N. Design and synthesis of D-ring steroidal isoxazolines and oxazolines as potential antiproliferative agents against LNCaP, PC-3 and DU-145 cells. Steroids 2014, 87, 93–98. [Google Scholar] [CrossRef] [PubMed]
- Banday, A.H.; Singh, S.; Alam, M.S.; Reddy, D.M.; Gupta, B.D.; Sampath Kumar, H.M. Synthesis of novel steroidal D-ring substituted isoxazoline derivatives of 17-oxoandrostanes. Steroids 2008, 73, 370–374. [Google Scholar] [CrossRef] [PubMed]
- Kuzikov, A.V.; Dugin, N.O.; Stulov, S.V.; Shcherbinin, D.S.; Zharkova, M.S.; Tkachev, Y.V.; Timofeev, V.P.; Veselovsky, A.V.; Shumyantseva, V.V.; Misharin, A.Y. Novel oxazolinyl derivatives of pregna-5,17(20)-diene as 17a-hydroxylase/17,20-lyase (CYP17A1) inhibitors. Steroids 2014, 88, 66–71. [Google Scholar] [CrossRef] [PubMed]
- Chalyk, B.A.; Khutorianskyi, A.; Lysenko, A.; Fil, Y.; Kuchkovska, Y.O.; Gavrilenko, K.S.; Bakanovych, I.; Moroz, Y.S.; Gorlova, A.O.; Grygorenko, O.O. Regioselective synthesis of functionalized 3- or 5-fluoroalkyl isoxazoles and pyrazoles from fluoroalkyl ynones and binucleophiles. J. Org. Chem. 2019, 84, 15212–15225. [Google Scholar] [CrossRef] [PubMed]
- Jeyaveeran, J.C.; Praveen, C.; Arun, Y.; Prince, A.A.M.; Perumal, P.T. Cycloisomerization of acetylenic oximes and hydrazones under gold catalysis: Synthesis and cytotoxic evaluation of isoxazoles and pyrazoles. J. Chem. Sci. 2016, 128, 73–83. [Google Scholar] [CrossRef]
- Xie, M.; Li, M.; Liu, C.; Zhang, J.; Feng, C. Facile regioselective synthesis of 5-hydroxy-4,5-dihydroisoxazoles from acetylenic ketones. J. Heterocycl. Chem. 2012, 49, 1462–1465. [Google Scholar] [CrossRef]
- Zarecki, A.; Wicha, J. Magnesium in methanol selective reduction of a conjugate double bond in an α,β-unsaturated ester related to pregnadiene. Synthesis 1996, 1996, 455–456. [Google Scholar] [CrossRef]
- Reis, L.V.; Lobo, A.M.; Prabhakar, S. Enehydroxylamines as versatile compounds in 3,3-sigmatropic rearrangements. Tetrahedron Lett. 1994, 35, 2747–2750. [Google Scholar] [CrossRef]
- Reis, L.V.; Lobo, A.M.; Prabhakar, S.; Duarte, M.P. 3,3-Sigmatropic rearrangements involving N−O bond-cleavage of enehydroxylamine derivatives. Eur. J. Org. Chem. 2003, 2003, 190–208. [Google Scholar] [CrossRef]
- Al-Awadi, N.A.; Abdelkhalik, M.M.; Abdelhamid, I.A.; Elnagdi, M.H. Pyrolytic methods in organic synthesis: Novel routes for the synthesis of 3-oxoalkanenitriles, 2-acyl anilines, and 2-aroyl anilines. Synlett 2007, 2007, 2979–2982. [Google Scholar] [CrossRef]
- Kim, S.; Park, J.H. Selective removal of tetrahydropyranyl ethers in the presence of tert-butyldimethylsilyl ethers with magnesium bromide in ether. Tetrahedron Lett. 1987, 28, 439–440. [Google Scholar] [CrossRef]
- Praveen, C.; Kalyanasundaram, A.; Perumal, P.T. Gold(III)-catalyzed synthesis of isoxazoles by cycloisomerization of α,β-acetylenic oximes. Synlett 2010, 2010, 777–781. [Google Scholar] [CrossRef]
- Bird, I.M.; Abbott, D.H. The hunt for a selective 17,20 lyase inhibitor; learning lessons from nature. J. Steroid Biochem. Mol. Biol. 2016, 163, 136–146. [Google Scholar] [CrossRef]
- Bartonkova, I.; Novotna, A.; Dvorak, Z. Novel stably transfected human reporter cell line AIZ-AR as a tool for an assessment of human androgen receptor transcriptional activity. PLoS ONE 2015, 10, e0121316. [Google Scholar] [CrossRef]
- Goggins, S.; Apsey, E.A.; Mahon, M.F.; Frost, C.G. Ratiometric electrochemical detection of hydrogen peroxide and glucose. Org. Biomol. Chem. 2017, 15, 2459–2466. [Google Scholar] [CrossRef]
- Pechurskaya, T.A.; Lukashevich, O.P.; Gilep, A.A.; Usanov, S.A. Engineering, expression, and purification of “soluble” human cytochrome P45017a and its functional characterization. Biochem. Biokhimiia 2008, 73, 806–811. [Google Scholar] [CrossRef]
- Bonina, T.A.; Gilep, A.A.; Estabrook, R.W.; Usanov, S.A. Engineering of proteolytically stable NADPH-cytochrome P450 reductase. Biochem. Biokhimiia 2005, 70, 357–365. [Google Scholar] [CrossRef]
- Yablokov, E.; Florinskaya, A.; Medvedev, A.; Sergeev, G.; Strushkevich, N.; Luschik, A.; Shkel, T.; Haidukevich, I.; Gilep, A.; Usanov, S.; et al. Thermodynamics of interactions between mammalian cytochromes P450 and b5. Arch. Biochem. Biophys. 2017, 619, 10–15. [Google Scholar] [CrossRef]
- Guryev, O.L.; Gilep, A.A.; Usanov, S.A.; Estabrook, R.W. Interaction of apo-cytochrome b5 with cytochromes P4503A4 and P45017A: Relevance of heme transfer reactions. Biochemistry 2001, 40, 5018–5031. [Google Scholar] [CrossRef]
- Morris, G.M.; Huey, R.; Lindstrom, W.; Sanner, M.F.; Belew, R.K.; Goodsell, D.S.; Olson, A.J. AutoDock4 and AutoDockTools4: Automated docking with selective receptor flexibility. J. Comput. Chem. 2009, 30, 2785–2791. [Google Scholar] [CrossRef] [PubMed]
- Trott, O.; Olson, A.J. AutoDock Vina: Improving the speed and accuracy of docking with a new scoring function, efficient optimization, and multithreading. J. Comput. Chem. 2010, 31, 455–461. [Google Scholar] [CrossRef] [PubMed]
Publisher’s Note: MDPI stays neutral with regard to jurisdictional claims in published maps and institutional affiliations. |
© 2022 by the authors. Licensee MDPI, Basel, Switzerland. This article is an open access article distributed under the terms and conditions of the Creative Commons Attribution (CC BY) license (https://creativecommons.org/licenses/by/4.0/).




























