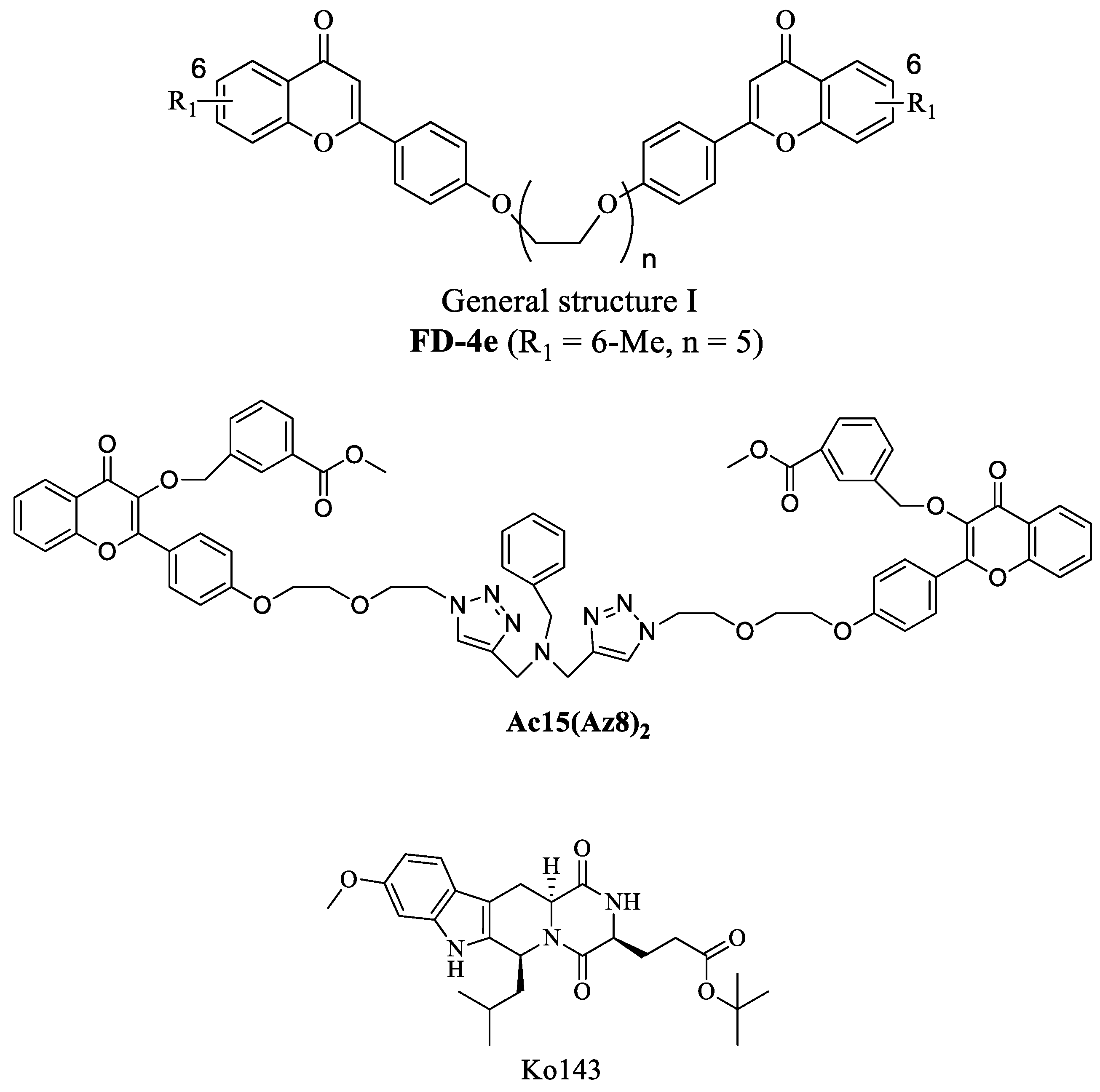
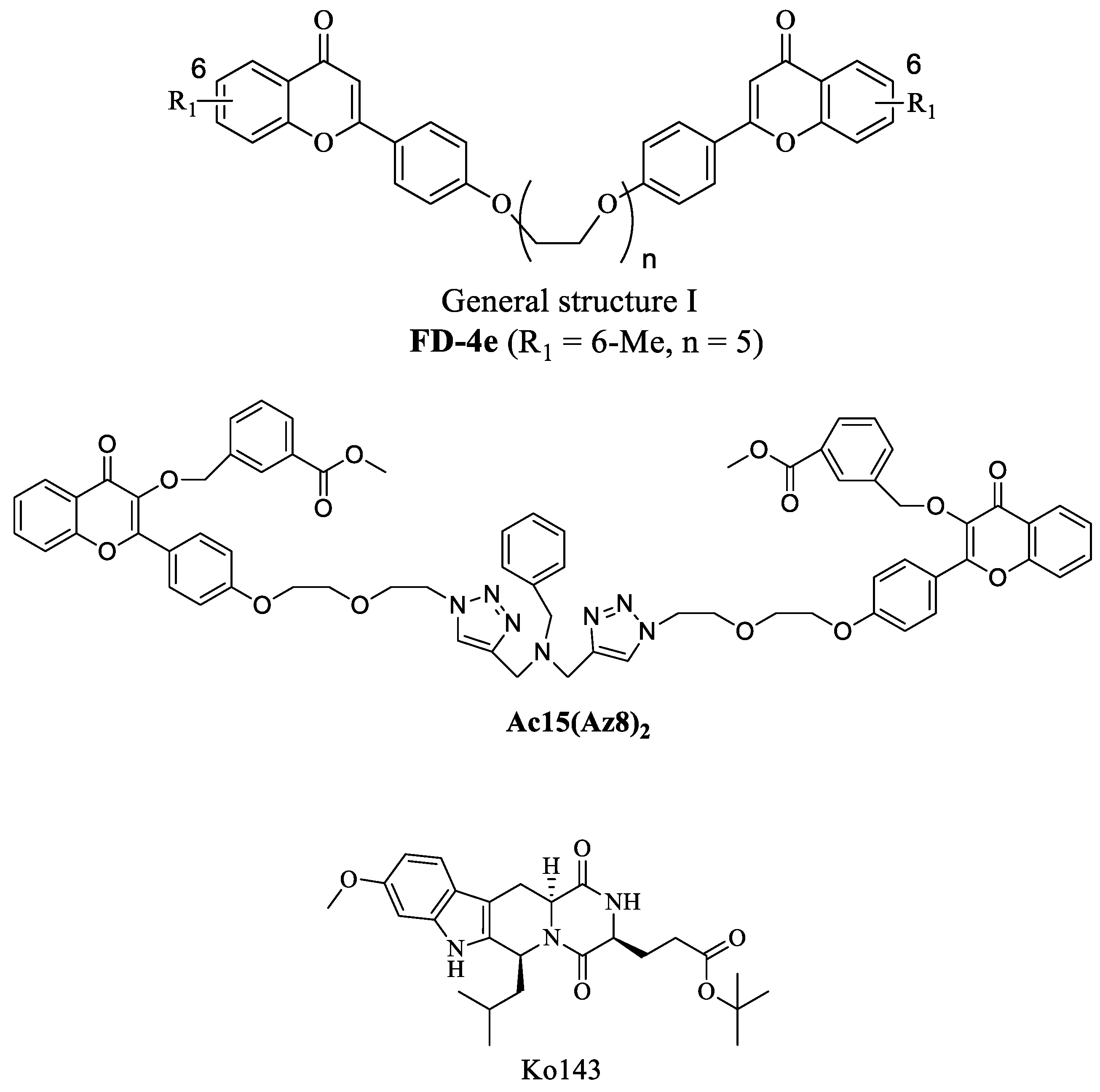
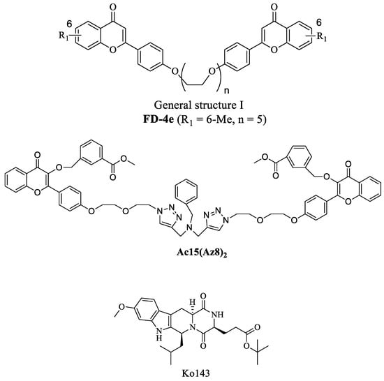
Characterization of a Potent, Selective, and Safe Inhibitor, Ac15(Az8)2, in Reversing Multidrug Resistance Mediated by Breast Cancer Resistance Protein (BCRP/ABCG2)
Abstract
1. Introduction
2. Results
2.1. Ac15(Az8)2 Modulates BCRP-Mediated MDR In Vitro
2.2. Ac15(Az8)2 Increases Retention of BCRP-Substrates by Inhibiting Efflux
2.3. Ac15(Az8)2 Does Not Affect the Cell Surface BCRP Level
2.4. Lineweaver–Burk and Dixon Plots Suggest a Non-Competitive Relationship between DOX and Ac15(Az8)2 in Binding to BCRP
2.5. Ac15(Az8)2 Inhibits BCRP-ATPase Activity
2.6. Pharmacokinetics (PK) Study of Ac15(Az8)2 and Its Effect on PK of Topotecan in Mice
2.7. Ac15(Az8)2 Reverses BCRP-Mediated Topotecan Resistance In Vivo by Increasing the Topotecan Concentration in Tumor
3. Discussion
4. Materials and Methods
4.1. Reagent and Materials
4.2. Chemical Synthesis of Ac15(Az8)2
4.3. Cell Culture
4.4. Cell Proliferation Assay
4.5. Drug Accumulation Assay
4.6. Immunofluorescence Staining
4.7. Determination of Surface BCRP Protein Expression
4.8. Vanadate-Sensitive BCRP-ATPase Activity
4.9. DOX Efflux Study
4.10. Ultra-Performance Liquid Chromatography–Tandem Mass Spectrometry (UPLC–MS/MS)
4.11. Pharmacokinetic Studies
4.12. In Vivo Efficacy of Ac15(Az8)2 on Modulating Topotecan Resistance in S1M180 Xenograft
4.13. In Vivo Topotecan Accumulation in Tumor
5. Conclusions
Supplementary Materials
Author Contributions
Funding
Institutional Review Board Statement
Informed Consent Statement
Data Availability Statement
Acknowledgments
Conflicts of Interest
Abbreviations
| BCRP | breast cancer resistance protein |
| ABCG2 | ATP-binding cassette superfamily G member 2 |
| P-gp | P-glycoprotein |
| MRP1 | multidrug resistance protein 1 |
| MDR | multidrug resistance |
| DOX | doxorubicin |
| AUC | the area under the curve |
| I.P. | intraperitoneal |
| PK | pharmacokinetics |
| UPLC–MS/MS | ultra-performance liquid chromatography–tandem mass spectrometry |
References
- Borst, P.; Evers, R.; Kool, M.; Wijnholds, J. A family of drug transporters: The multidrug resistance-associated proteins. J. Natl. Cancer Inst. 2000, 92, 1295–1302. [Google Scholar] [CrossRef] [PubMed]
- Domenichini, A.; Adamska, A.; Falasca, M. ABC transporters as cancer drivers: Potential functions in cancer development. Biochim. Biophys. Acta Gen. Subj. 2019, 1863, 52–60. [Google Scholar] [CrossRef] [PubMed]
- Fletcher, J.I.; Williams, R.T.; Henderson, M.J.; Norris, M.D.; Haber, M. ABC transporters as mediators of drug resistance and contributors to cancer cell biology. Drug Resist. Updat. 2016, 26, 1–9. [Google Scholar] [CrossRef] [PubMed]
- Li, W.; Zhang, H.; Assaraf, Y.G.; Zhao, K.; Xu, X.; Xie, J.; Yang, D.H.; Chen, Z.S. Overcoming ABC transporter-mediated multidrug resistance: Molecular mechanisms and novel therapeutic drug strategies. Drug Resist. Updat. 2016, 27, 14–29. [Google Scholar] [CrossRef] [PubMed]
- Staud, F.; Pavek, P. Breast cancer resistance protein (BCRP/ABCG2). Int. J. Biochem. Cell Biol. 2005, 37, 720–725. [Google Scholar] [CrossRef]
- Ni, Z.; Bikadi, Z.; Cai, X.; Rosenberg, M.F.; Mao, Q. Transmembrane helices 1 and 6 of the human breast cancer resistance protein (BCRP/ABCG2): Identification of polar residues important for drug transport. Am. J. Physiol. Cell Physiol. 2010, 299, C1100–C1109. [Google Scholar] [CrossRef][Green Version]
- Feldman, R.; Abbott, B.L.; Reddy, S.K.; Castro, M. Drug efflux pump expression in 50,000 molecularly-profiled cancer patients. J. Clin. Oncol. 2015, 33 (Suppl. S15), 11108. [Google Scholar] [CrossRef]
- Cripe, L.D.; Uno, H.; Paietta, E.M.; Litzow, M.R.; Ketterling, R.P.; Bennett, J.M.; Rowe, J.M.; Lazarus, H.M.; Luger, S.; Tallman, M.S. Zosuquidar, a novel modulator of P-glycoprotein, does not improve the outcome of older patients with newly diagnosed acute myeloid leukemia: A randomized, placebo-controlled trial of the Eastern Cooperative Oncology Group 3999. Blood 2010, 116, 4077–4085. [Google Scholar] [CrossRef]
- Fox, E.; Bates, S.E. Tariquidar (XR9576): A P-glycoprotein drug efflux pump inhibitor. Expert Rev. Anticancer Ther. 2007, 7, 447–459. [Google Scholar] [CrossRef]
- Lhommé, C.; Joly, F.; Walker, J.L.; Lissoni, A.A.; Nicoletto, M.O.; Manikhas, G.M.; Baekelandt, M.M.; Gordon, A.N.; Fracasso, P.M.; Mietlowski, W.L.; et al. Phase III study of valspodar (PSC 833) combined with paclitaxel and carboplatin compared with paclitaxel and carboplatin alone in patients with stage IV or suboptimally debulked stage III epithelial ovarian cancer or primary peritoneal cancer. J. Clin. Oncol. 2008, 26, 2674–2682. [Google Scholar] [CrossRef]
- Yu, M.; Ocana, A.; Tannock, I.F. Reversal of ATP-binding cassette drug transporter activity to modulate chemoresistance: Why has it failed to provide clinical benefit? Cancer Metastasis Rev. 2013, 32, 211–227. [Google Scholar] [CrossRef]
- Li, J.; Li, Z.N.; Du, Y.J.; Li, X.Q.; Bao, Q.L.; Chen, P. Expression of MRP1, BCRP, LRP, and ERCC1 in advanced non-small-cell lung cancer: Correlation with response to chemotherapy and survival. Clin. Lung Cancer 2009, 10, 414–421. [Google Scholar] [CrossRef]
- Tian, C.; Ambrosone, C.B.; Darcy, K.M.; Krivak, T.C.; Armstrong, D.K.; Bookman, M.A.; Davis, W.; Zhao, H.; Moysich, K.; Gallion, H.; et al. Common variants in ABCB1, ABCC2 and ABCG2 genes and clinical outcomes among women with advanced stage ovarian cancer treated with platinum and taxane-based chemotherapy: A Gynecologic Oncology Group study. Gynecol. Oncol. 2012, 124, 575–581. [Google Scholar] [CrossRef]
- Wu, C.P.; Hsieh, C.H.; Wu, Y.S. The emergence of drug transporter-mediated multidrug resistance to cancer chemotherapy. Mol. Pharm. 2011, 8, 1996–2011. [Google Scholar] [CrossRef] [PubMed]
- Yoh, K.; Ishii, G.; Yokose, T.; Minegishi, Y.; Tsuta, K.; Goto, K.; Nishiwaki, Y.; Kodama, T.; Suga, M.; Ochiai, A. Breast cancer resistance protein impacts clinical outcome in platinum-based chemotherapy for advanced non-small cell lung cancer. Clin. Cancer Res. 2004, 10, 1691–1697. [Google Scholar] [CrossRef] [PubMed]
- Ni, Z.; Bikadi, Z.; Rosenberg, M.F.; Mao, Q. Structure and function of the human breast cancer resistance protein (BCRP/ABCG2). Curr. Drug Metab. 2010, 11, 603–617. [Google Scholar] [CrossRef]
- Robey, R.W.; Honjo, Y.; Morisaki, K.; Nadjem, T.A.; Runge, S.; Risbood, M.; Poruchynsky, M.S.; Bates, S.E. Mutations at amino-acid 482 in the ABCG2 gene affect substrate and antagonist specificity. Br. J. Cancer 2003, 89, 1971–1978. [Google Scholar] [CrossRef] [PubMed]
- Litman, T.; Brangi, M.; Hudson, E.; Fetsch, P.; Abati, A.; Ross, D.D.; Miyake, K.; Resau, J.H.; Bates, S.E. The multidrug-resistant phenotype associated with overexpression of the new ABC half-transporter, MXR (ABCG2). J. Cell Sci. 2000, 113 Pt 11, 2011–2021. [Google Scholar] [CrossRef]
- Calcagno, A.M.; Fostel, J.M.; To, K.K.; Salcido, C.D.; Martin, S.E.; Chewning, K.J.; Wu, C.P.; Varticovski, L.; Bates, S.E.; Caplen, N.J.; et al. Single-step doxorubicin-selected cancer cells overexpress the ABCG2 drug transporter through epigenetic changes. Br. J. Cancer 2008, 98, 1515–1524. [Google Scholar] [CrossRef]
- Robey, R.W.; To, K.K.; Polgar, O.; Dohse, M.; Fetsch, P.; Dean, M.; Bates, S.E. ABCG2: A perspective. Adv. Drug Deliv. Rev. 2009, 61, 3–13. [Google Scholar] [CrossRef]
- Huang, W.C.; Hsieh, Y.L.; Hung, C.M.; Chien, P.H.; Chien, Y.F.; Chen, L.C.; Tu, C.Y.; Chen, C.H.; Hsu, S.C.; Lin, Y.M.; et al. BCRP/ABCG2 inhibition sensitizes hepatocellular carcinoma cells to sorafenib. PLoS ONE 2013, 8, e83627. [Google Scholar] [CrossRef]
- Allikmets, R.; Schriml, L.M.; Hutchinson, A.; Romano-Spica, V.; Dean, M. A human placenta-specific ATP-binding cassette gene (ABCP) on chromosome 4q22 that is involved in multidrug resistance. Cancer Res. 1998, 58, 5337–5339. [Google Scholar] [PubMed]
- Doyle, L.A.; Yang, W.; Abruzzo, L.V.; Krogmann, T.; Gao, Y.; Rishi, A.K.; Ross, D.D. A multidrug resistance transporter from human MCF-7 breast cancer cells. Proc. Natl. Acad. Sci. USA 1998, 95, 15665–15670. [Google Scholar] [CrossRef] [PubMed]
- Miyake, K.; Mickley, L.; Litman, T.; Zhan, Z.; Robey, R.; Cristensen, B.; Brangi, M.; Greenberger, L.; Dean, M.; Fojo, T.; et al. Molecular cloning of cDNAs which are highly overexpressed in mitoxantrone-resistant cells: Demonstration of homology to ABC transport genes. Cancer Res. 1999, 59, 8–13. [Google Scholar] [PubMed]
- Rabindran, S.K.; Ross, D.D.; Doyle, L.A.; Yang, W.; Greenberger, L.M. Fumitremorgin C reverses multidrug resistance in cells transfected with the breast cancer resistance protein. Cancer Res. 2000, 60, 47–50. [Google Scholar]
- Allen, J.D.; van Loevezijn, A.; Lakhai, J.M.; van der Valk, M.; van Tellingen, O.; Reid, G.; Schellens, J.H.; Koomen, G.J.; Schinkel, A.H. Potent and specific inhibition of the breast cancer resistance protein multidrug transporter in vitro and in mouse intestine by a novel analogue of fumitremorgin C. Mol. Cancer Ther. 2002, 1, 417–425. [Google Scholar] [PubMed]
- Pick, A.; Klinkhammer, W.; Wiese, M. Specific inhibitors of the breast cancer resistance protein (BCRP). ChemMedChem 2010, 5, 1498–1505. [Google Scholar] [CrossRef]
- Yamazaki, R.; Nishiyama, Y.; Furuta, T.; Hatano, H.; Igarashi, Y.; Asakawa, N.; Kodaira, H.; Takahashi, H.; Aiyama, R.; Matsuzaki, T.; et al. Novel acrylonitrile derivatives, YHO-13177 and YHO-13351, reverse BCRP/ABCG2-mediated drug resistance in vitro and in vivo. Mol. Cancer Ther. 2011, 10, 1252–1263. [Google Scholar] [CrossRef]
- Krapf, M.K.; Gallus, J.; Namasivayam, V.; Wiese, M. 2,4,6-substituted quinazolines with extraordinary inhibitory potency toward ABCG2. J. Med. Chem. 2018, 61, 7952–7976. [Google Scholar] [CrossRef]
- Krapf, M.K.; Gallus, J.; Vahdati, S.; Wiese, M. New inhibitors of breast cancer resistance protein (ABCG2) containing a 2,4-disubstituted pyridopyrimidine scaffold. J. Med. Chem. 2018, 61, 3389–3408. [Google Scholar] [CrossRef]
- Krapf, M.K.; Gallus, J.; Wiese, M. 4-Anilino-2-pyridylquinazolines and -pyrimidines as highly potent and nontoxic inhibitors of breast cancer resistance protein (ABCG2). J. Med. Chem. 2017, 60, 4474–4495. [Google Scholar] [CrossRef]
- Alvarez, A.I.; Real, R.; Perez, M.; Mendoza, G.; Prieto, J.G.; Merino, G. Modulation of the activity of ABC transporters (P-glycoprotein, MRP2, BCRP) by flavonoids and drug response. J. Pharm. Sci. 2010, 99, 598–617. [Google Scholar] [CrossRef]
- Sjostedt, N.; Holvikari, K.; Tammela, P.; Kidron, H. Inhibition of breast cancer resistance protein and multidrug resistance associated protein 2 by natural compounds and their derivatives. Mol. Pharm. 2017, 14, 135–146. [Google Scholar] [CrossRef]
- Chan, K.F.; Wong, I.L.; Kan, J.W.; Yan, C.S.; Chow, L.M.; Chan, T.H. Amine linked flavonoid dimers as modulators for P-glycoprotein-based multidrug resistance: Structure-activity relationship and mechanism of modulation. J. Med. Chem. 2012, 55, 1999–2014. [Google Scholar] [CrossRef]
- Chan, K.F.; Zhao, Y.; Burkett, B.A.; Wong, I.L.; Chow, L.M.; Chan, T.H. Flavonoid dimers as bivalent modulators for P-glycoprotein-based multidrug resistance: Synthetic apigenin homodimers linked with defined-length poly(ethylene glycol) spacers increase drug retention and enhance chemosensitivity in resistant cancer cells. J. Med. Chem. 2006, 49, 6742–6759. [Google Scholar] [CrossRef] [PubMed]
- Chan, K.F.; Zhao, Y.; Chow, T.W.; Yan, C.S.; Ma, D.L.; Burkett, B.A.; Wong, I.L.; Chow, L.M.; Chan, T.H. Flavonoid dimers as bivalent modulators for p-glycoprotein-based multidrug resistance: Structure-activity relationships. ChemMedChem 2009, 4, 594–614. [Google Scholar] [CrossRef] [PubMed]
- Chow, L.M.; Chan, T.H. Novel classes of dimer antitumour drug candidates. Curr. Pharm. Des. 2009, 15, 659–674. [Google Scholar] [CrossRef] [PubMed]
- Wong, I.L.; Chan, K.F.; Tsang, K.H.; Lam, C.Y.; Zhao, Y.; Chan, T.H.; Chow, L.M. Modulation of multidrug resistance protein 1 (MRP1/ABCC1)-mediated multidrug resistance by bivalent apigenin homodimers and their derivatives. J. Med. Chem. 2009, 52, 5311–5322. [Google Scholar] [CrossRef] [PubMed]
- Yan, C.S.; Wong, I.L.; Chan, K.F.; Kan, J.W.; Chong, T.C.; Law, M.C.; Zhao, Y.; Chan, S.W.; Chan, T.H.; Chow, L.M. A new class of safe, potent, and specific P-gp modulator: Flavonoid dimer FD18 reverses P-gp-mediated multidrug resistance in human breast xenograft in vivo. Mol. Pharm. 2015, 12, 3507–3517. [Google Scholar] [CrossRef]
- Kolb, H.C.; Finn, M.G.; Sharpless, K.B. Click chemistry: Diverse chemical function from a few good reactions. Angew. Chem. Int. Ed. Engl. 2001, 40, 2004–2021. [Google Scholar] [CrossRef]
- Wong, I.L.K.; Zhu, X.; Chan, K.F.; Law, M.C.; Lo, A.M.Y.; Hu, X.; Chow, L.M.C.; Chan, T.H. Discovery of novel flavonoid dimers to reverse multidrug resistance protein 1 (MRP1, ABCC1) mediated drug resistance in cancers using a high throughput platform with “click chemistry”. J. Med. Chem. 2018, 61, 9931–9951. [Google Scholar] [CrossRef] [PubMed]
- Zhu, X.; Wong, I.L.K.; Chan, K.F.; Cui, J.; Law, M.C.; Chong, T.C.; Hu, X.; Chow, L.M.C.; Chan, T.H. Triazole bridged flavonoid dimers as potent, nontoxic, and highly selective breast cancer resistance protein (BCRP/ABCG2) inhibitors. J. Med. Chem. 2019, 62, 8578–8608. [Google Scholar] [CrossRef] [PubMed]
- Catalan, J.; Elguero, J. Basicity and acidity of azoles. In Advances in Heterocyclic Chemistry; Elsevier: Amsterdam, The Netherlands, 1987; Volume 41, pp. 187–274. [Google Scholar]
- Mao, Q.; Unadkat, J.D. Role of the breast cancer resistance protein (BCRP/ABCG2) in drug transport--an update. AAPS J. 2015, 17, 65–82. [Google Scholar] [CrossRef] [PubMed]
- Zhang, L.; Strong, J.M.; Qiu, W.; Lesko, L.J.; Huang, S.M. Scientific perspectives on drug transporters and their role in drug interactions. Mol. Pharm. 2006, 3, 62–69. [Google Scholar] [CrossRef]
- Gottesman, M.M.; Fojo, T.; Bates, S.E. Multidrug resistance in cancer: Role of ATP-dependent transporters. Nat. Rev. Cancer 2002, 2, 48–58. [Google Scholar] [CrossRef]
- Badhan, R.; Penny, J. In silico modelling of the interaction of flavonoids with human P-glycoprotein nucleotide-binding domain. Eur. J. Med. Chem. 2006, 41, 285–295. [Google Scholar] [CrossRef]
- Wong, I.L.K.; Zhu, X.; Chan, K.F.; Liu, Z.; Chan, C.F.; Chow, T.S.; Chong, T.C.; Law, M.C.; Cui, J.; Chow, L.M.C.; et al. Flavonoid Monomers as Potent, Nontoxic, and Selective Modulators of the Breast Cancer Resistance Protein (ABCG2). J. Med. Chem. 2021, 64, 14311–14331. [Google Scholar] [CrossRef]








| IC50 (nM) of Anticancer Drugs | ||||
|---|---|---|---|---|
| Compounds | Topotecan | RF | DOX | RF |
| S1M180 + 0.5 μ M Ac15(Az8)2 | 279 ± 80 | 44.6 | 332 ± 60 | 40.3 |
| S1M180 + 0.1% DMSO | 12,443 ± 1186 | 1.0 | 13,367 ± 650 | 1.0 |
| S1 + 0.1% DMSO | 446 ± 20 | 27.9 | 100 ± 20 | 133.7 |
| Compounds | EC50 (nM) needed for reversing MDR | IC50 Towards L929 (μM) | |||||
|---|---|---|---|---|---|---|---|
| BCRP-Mediated Topotecan Resistance HEK293/R2 | BCRP-Mediated Topotecan Resistance MCF7-MX100 | BCRP-Mediated Topotecan Resistance S1M180 | BCRP-Mediated DOX Resistance S1M180 | MRP1-Mediated DOX Resistance 2008/MRP1 | P-gp-Mediated Paclitaxel Resistance LCC6MDR | ||
| Ac15(Az8)2 | 5.3 ± 2.7 * | 3.3 ± 4.1 * | 72.0 ± 12.0 | 56.1 ± 8.2 | 457.5 ± 10.6 * | >3000 | >500 |
| Ko143 | 8.7 ± 4.9 * | 9.0 ± 2.1 * | 9.8 ± 3.0 | 9.3 ± 8.3 | 1950.0 ± 353.6 * | 1060.0 ± 207.8 * | 29.2 ± 2.8 * |
Publisher’s Note: MDPI stays neutral with regard to jurisdictional claims in published maps and institutional affiliations. |
© 2022 by the authors. Licensee MDPI, Basel, Switzerland. This article is an open access article distributed under the terms and conditions of the Creative Commons Attribution (CC BY) license (https://creativecommons.org/licenses/by/4.0/).
Share and Cite
Chong, T.C.; Wong, I.L.K.; Cui, J.; Law, M.C.; Zhu, X.; Hu, X.; Kan, J.W.Y.; Yan, C.S.W.; Chan, T.H.; Chow, L.M.C. Characterization of a Potent, Selective, and Safe Inhibitor, Ac15(Az8)2, in Reversing Multidrug Resistance Mediated by Breast Cancer Resistance Protein (BCRP/ABCG2). Int. J. Mol. Sci. 2022, 23, 13261. https://doi.org/10.3390/ijms232113261
Chong TC, Wong ILK, Cui J, Law MC, Zhu X, Hu X, Kan JWY, Yan CSW, Chan TH, Chow LMC. Characterization of a Potent, Selective, and Safe Inhibitor, Ac15(Az8)2, in Reversing Multidrug Resistance Mediated by Breast Cancer Resistance Protein (BCRP/ABCG2). International Journal of Molecular Sciences. 2022; 23(21):13261. https://doi.org/10.3390/ijms232113261
Chicago/Turabian StyleChong, Tsz Cheung, Iris L. K. Wong, Jiahua Cui, Man Chun Law, Xuezhen Zhu, Xuesen Hu, Jason W. Y. Kan, Clare S. W. Yan, Tak Hang Chan, and Larry M. C. Chow. 2022. "Characterization of a Potent, Selective, and Safe Inhibitor, Ac15(Az8)2, in Reversing Multidrug Resistance Mediated by Breast Cancer Resistance Protein (BCRP/ABCG2)" International Journal of Molecular Sciences 23, no. 21: 13261. https://doi.org/10.3390/ijms232113261
APA StyleChong, T. C., Wong, I. L. K., Cui, J., Law, M. C., Zhu, X., Hu, X., Kan, J. W. Y., Yan, C. S. W., Chan, T. H., & Chow, L. M. C. (2022). Characterization of a Potent, Selective, and Safe Inhibitor, Ac15(Az8)2, in Reversing Multidrug Resistance Mediated by Breast Cancer Resistance Protein (BCRP/ABCG2). International Journal of Molecular Sciences, 23(21), 13261. https://doi.org/10.3390/ijms232113261

