Optical and Flame-Retardant Properties of a Series of Polyimides Containing Side Chained Bulky Phosphaphenanthrene Units
Abstract
1. Introduction
2. Results and Discussion
2.1. Optical Properties of DOPO-Containing Polyimides
2.2. Photoluminescence Properties
2.3. Excitation-Dependent Emission Property
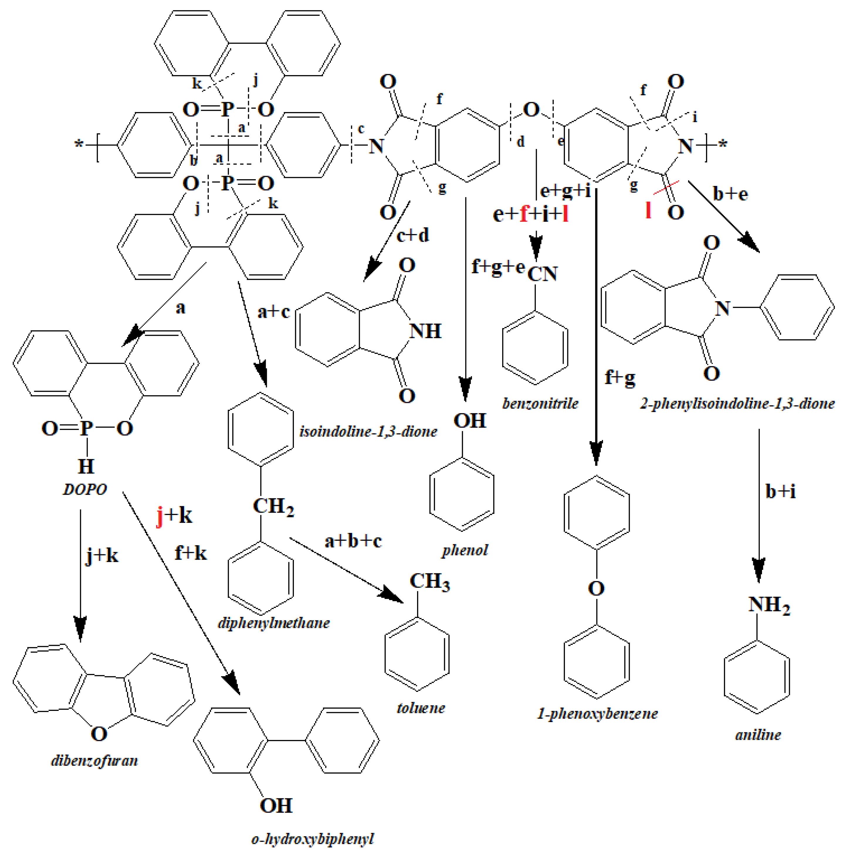
2.4. Py-GC-MS Analysis
2.5. Char Residue Investigation
2.5.1. Morphological Analysis of the Char Residue
2.5.2. FTIR Analysis of the Char Residue
3. Materials and Methods
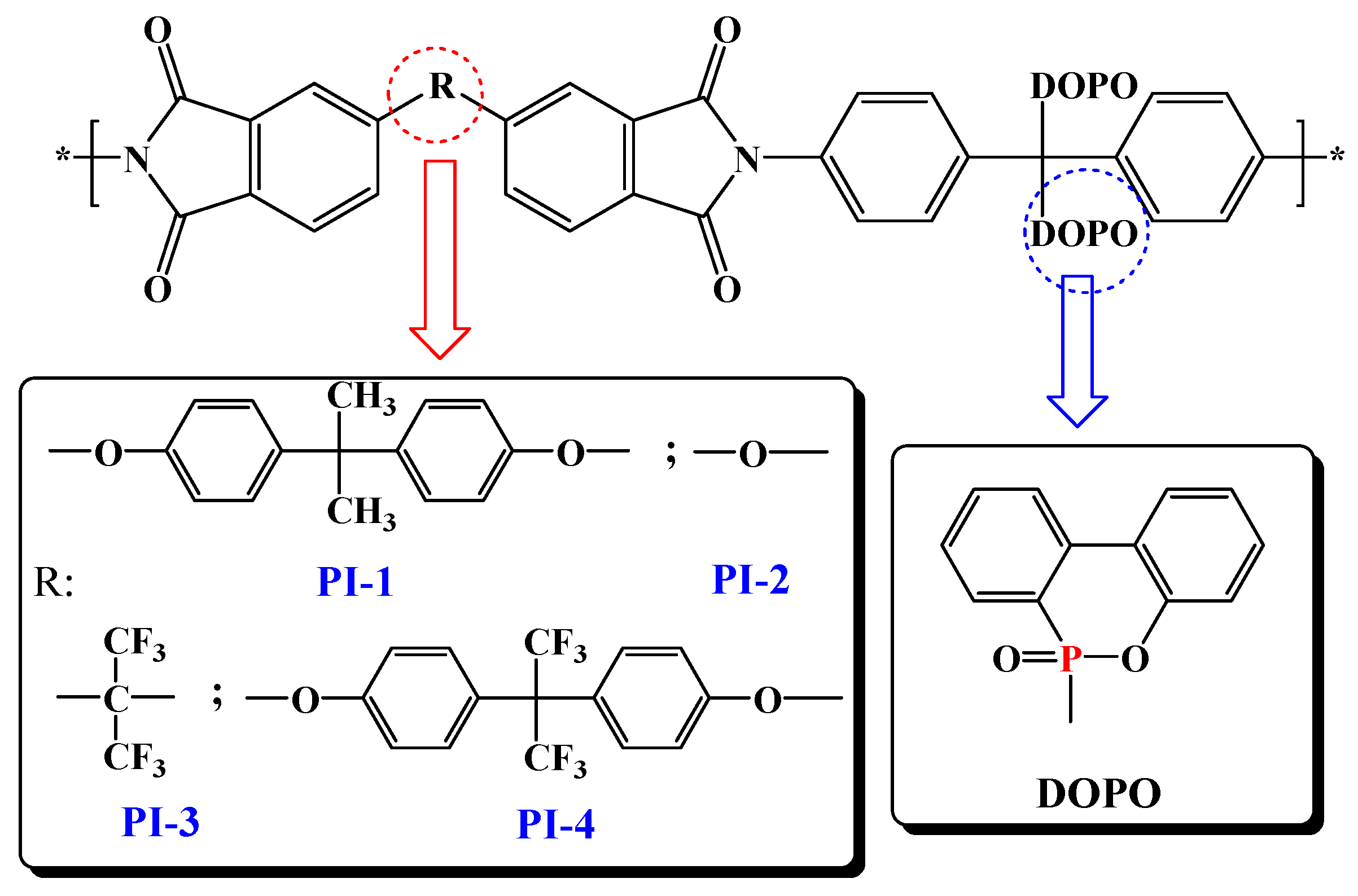
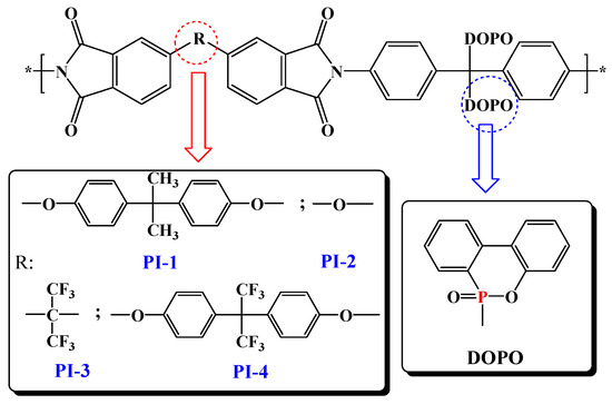
3.1. Materials
- Yield: 75%.
- 1H NMR (DMSO-d6, ppm): δ = 4.9 (s, 4H, NH2), 5.9 (d, 4H, CHar-NH2), 8.5–6.9 (m, 20H, aromatic protons);
- 31P NMR (DMSO-d6, ppm): δ = 31.10 and 29.41.
3.2. Synthesis of Phosphorus-Containing Polyimides and Preparation of DOPO-Containing Polyimide Films
3.3. Methods
4. Conclusions
Supplementary Materials
Author Contributions
Funding
Institutional Review Board Statement
Informed Consent Statement
Data Availability Statement
Acknowledgments
Conflicts of Interest
References
- Wu, Z.; He, J.; Yang, H.; Yang, S. Progress in Aromatic Polyimide Films for Electronic Applications: Preparation, Structure and Properties. Polymers 2022, 14, 1269. [Google Scholar] [CrossRef] [PubMed]
- Ma, P.; Dai, C.; Wang, H.; Li, Z.; Liu, H.; Li, W.; Yang, C. A review on high temperature resistant polyimide films: Heterocyclic structures and nanocomposites. Compos. Commun. 2019, 16, 84–93. [Google Scholar] [CrossRef]
- Zhou, Y.; Zhang, S.; Zheng, F.; Lu, Q. Intrinsically Black Polyimide with Retained Insulation and Thermal Properties: A Black Anthraquinone Derivative Capable of Linear Copolymerization. Macromolecules 2021, 54, 9307–9318. [Google Scholar] [CrossRef]
- Xiao, S.; Akinyi, C.; Longun, J.; Iroh, J.O. Polyimide Copolymers and Nanocomposites: A Review of the Synergistic Effects of the Constituents on the Fire-Retardancy Behavior. Energies 2022, 15, 4014. [Google Scholar] [CrossRef]
- Gouzman, I.; Grossman, E.; Verker, R.; Atar, N.; Bolker, A.; Eliaz, N. Advances in Polyimide-Based Materials for Space Applications. Adv. Mater. 2019, 31, 1807738. [Google Scholar] [CrossRef] [PubMed]
- Liu, Z.; Cai, Y.; Song, F.; Li, J.; Zhang, J.; Sun, Y.; Luo, G.; Shen, Q. Study on Chemical Graft Structure Modification and Mechanical Properties of Photocured Polyimide. ACS Omega 2022, 7, 9582–9593. [Google Scholar] [CrossRef] [PubMed]
- Inoue, H.; Sasaki, Y.; Ogawa, T. Properties of copolyimides prepared from different tetracarboxylic dianhydrides and diamines. J. Appl. Polym. Sci. 1996, 62, 2303–2310. [Google Scholar] [CrossRef]
- Xu, Z.; Croft, Z.L.; Guo, D.; Cao, K.; Liu, G. Recent development of polyimides: Synthesis, processing, and application in gas separation. J. Polym. Sci. 2021, 59, 943–962. [Google Scholar] [CrossRef]
- Hasegawa, M.; Ichikawa, K.; Takahashi, S.; Ishii, J. Solution-Processable Colorless Polyimides Derived from Hydrogenated Pyromellitic Dianhydride: Strategies to Reduce the Coefficients of Thermal Expansion by Maximizing the Spontaneous Chain Orientation Behavior during Solution Casting. Polymers 2022, 14, 1131. [Google Scholar] [CrossRef]
- Perret, B.; Schartel, B.; Stöß, K.; Ciesielski, M.; Diederichs, J.; Döring, M.; Krämer, J.; Altstädt, V. Novel DOPO-based flame retardants in high-performance carbon fibre epoxy composites for aviation. Eur. Polym. J. 2011, 47, 1081–1089. [Google Scholar] [CrossRef]
- Jin, S.; Qian, L.; Qiu, Y.; Chen, Y.; Xin, F. High-efficiency flame retardant behavior of bi-DOPO compound with hydroxyl group on epoxy resin. Polym. Degrad. Stab. 2019, 166, 344–352. [Google Scholar] [CrossRef]
- Lin, C.H.; Chang, S.L.; Peng, L.A.; Peng, S.P.; Chuang, Y.H. Organo-soluble phosphinated polyimides from asymmetric diamines. Polymer 2010, 51, 3899–3906. [Google Scholar] [CrossRef]
- Liu, X.-F.; Xiao, Y.-F.; Luo, X.; Liu, B.-W.; Guo, D.-M.; Chen, L.; Wang, Y.-Z. Flame-Retardant multifunctional epoxy resin with high performances. Chem. Eng. J. 2022, 427, 132031. [Google Scholar] [CrossRef]
- Ai, Y.-F.; Pang, F.-Q.; Xu, Y.-L.; Jian, R.-K. Multifunctional Phosphorus-Containing Triazolyl Amine toward Self-Intumescent Flame-Retardant and Mechanically Strong Epoxy Resin with High Transparency. Ind. Eng. Chem. Res. 2020, 59, 11918–11929. [Google Scholar] [CrossRef]
- Sun, Y.-M.; Wang, C.-S. Synthesis and luminescent characteristics of novel phosphorus containing light-emitting polymers. Polymer 2001, 42, 1035–1045. [Google Scholar] [CrossRef]
- He, L.; Chen, T.; Zhang, Y.; Hu, L.; Wang, T.; Han, R.; He, J.-L.; Luo, W.; Liu, Z.-G.; Deng, J.-N.; et al. Imide-DOPO derivative endows epoxy resin with excellent flame retardancy and fluorescence without losing glass transition temperature. Compos. Part B Eng. 2022, 230, 109553. [Google Scholar] [CrossRef]
- Chatterjee, R.; Bisoi, S.; Kumar, A.G.; Padmanabhan, V.; Banerjee, S. Polyimides Containing Phosphaphenanthrene Skeleton: Gas-Transport Properties and Molecular Dynamics Simulations. ACS Omega 2018, 3, 13510–13523. [Google Scholar] [CrossRef]
- Bisoi, S.; Mandal, A.K.; Singh, A.; Padmanabhan, V.; Banerjee, S. Soluble, optically transparent polyamides with a phosphaphenanthrene skeleton: Synthesis, characterization, gas permeation and molecular dynamics simulations. Polym. Chem. 2017, 8, 4220–4232. [Google Scholar] [CrossRef]
- Shi, Q.; Huo, S.; Wang, C.; Ye, G.; Yu, L.; Fang, Z.; Wang, H.; Liu, Z. A phosphorus/silicon-based, hyperbranched polymer for high-performance, fire-safe, transparent epoxy resins. Polym. Degrad. Stab. 2022, 203, 110065. [Google Scholar] [CrossRef]
- Liu, X.; Salmeia, K.A.; Rentsch, D.; Hao, J.; Gaan, S. Thermal decomposition and flammability of rigid PU foams containing some DOPO derivatives and other phosphorus compounds. J. Anal. Appl. Pyrolysis 2017, 124, 219–229. [Google Scholar] [CrossRef]
- Xie, C.; Leng, F.; Dong, Z.; Xu, W.; Zhu, M.; Xie, K.; Du, J.; Zhao, L. Synthesis of 9,10-dihydro-9-oxa-10-phosphaphenanthrene-10-oxide derivative grafted polyethylene films for improving the flame retardant and anti-dripping properties. Polym. Eng. Sci. 2020, 60, 2804–2813. [Google Scholar] [CrossRef]
- Wang, S.; Wang, S.; Shen, M.; Xu, X.; Liu, H.; Wang, D.; Wang, H.; Shang, S. Biobased Phosphorus Siloxane-Containing Polyurethane Foam with Flame-Retardant and Smoke-Suppressant Performances. ACS Sustain. Chem. Eng. 2021, 9, 8623–8634. [Google Scholar] [CrossRef]
- Jiang, X.; Chu, F.; Luo, X.; Hu, Y.; Hu, W. Exploring the effects of cardanol-based co-curing agents with different phosphorus structures on the mechanical and flame-retardant properties of bismaleimide resin. Compos. Part B Eng. 2022, 241, 110047. [Google Scholar] [CrossRef]
- Wu, C.S.; Liu, Y.L.; Chiu, Y.-S. Synthesis and characterization of new organosoluble polyaspartimides containing phosphorus. Polymer 2002, 43, 1773–1779. [Google Scholar] [CrossRef]
- Liu, Y.-L.; Hsu, C.-Y.; Wu, C.-S. Polyimides possessing bulky phosphorus groups: Synthesis and characterization. J. Appl. Polym. Sci. 2003, 89, 791–796. [Google Scholar] [CrossRef]
- Liu, Y.-L.; Tsai, S.-H. Synthesis and properties of new organosoluble aromatic polyamides with cyclic bulky groups containing phosphorus. Polymer 2002, 43, 5757–5762. [Google Scholar] [CrossRef]
- Serbezeanu, D.; Vlad-Bubulac, T.; Hamciuc, E.; Hamciuc, C.; Lisa, G.; Anghel, I.; Șofran, I.-E.; Preda, D.-M. Study on thermal and flame retardant properties of phosphorus-containing polyimides. Rev. Chim. 2021, 72, 13–21. [Google Scholar] [CrossRef]
- Hajibeygi, M.; Habibnejad, N.; Shabanian, M.; Khonakdar, H.A.J.P.I. Fabrication and study of thermal and combustion resistance of DOPO-functionalized polyamide reinforced with organo-modified Mg(OH)2 nanoparticles. Polym. Int. 2021, 70, 317–330. [Google Scholar] [CrossRef]
- Huang, Y.; Cheng, T.; Li, F.; Luo, C.; Huang, C.-H.; Cai, Z.; Zeng, X.; Zhou, J. Photophysical Studies on the Mono- and Dichromophoric Hemicyanine Dyes II. Solvent Effects and Dynamic Fluorescence Spectra Study in Chloroform and in LB Films. J. Phys. Chem. B 2002, 106, 10031–10040. [Google Scholar] [CrossRef]
- Guo, W.; Chuang, T.-H.; Huang, S.-T.; Leu, W.-T.; Hsiao, S.-H. Thermal degradation behaviour of aromatic poly(ester–imide) investigated by pyrolysis–GC/MS. J. Polym. Res. 2007, 14, 401–409. [Google Scholar] [CrossRef]
- Gong, C.; Pinatti, L.; Lavigne, G.; Shaw, M.T.; Scola, D.A. Thermal stability of end-capped and linear sulfonated polyimides, sulfonated polystyrene, and Nafion 117. J. Appl. Polym. Sci. 2018, 135, 45694. [Google Scholar] [CrossRef]
- Xie, W.; Pan, W.P.; Chuang, K.C. Thermal Degradation Study of Polymerization of Monomeric Reactants (PMR) Polyimides. J. Therm. Anal. Calorim. 2001, 64, 477–485. [Google Scholar] [CrossRef]
- Hatori, H.; Yamada, Y.; Shiraishi, M.; Yoshihara, M.; Kimura, T. The mechanism of polyimide pyrolysis in the early stage. Carbon 1996, 34, 201–208. [Google Scholar] [CrossRef]
- Ma, B.; Lii, J.-H.; Schaefer, H.F.; Allinger, N.L. Systematic Comparison of Experimental, Quantum Mechanical, and Molecular Mechanical Bond Lengths for Organic Molecules. J. Phys. Chem. 1996, 100, 8763–8769. [Google Scholar] [CrossRef]
- Chen, H.-B.; Dong, X.; Schiraldi, D.A.; Chen, L.; Wang, D.-Y.; Wang, Y.-Z. Phosphorus-containing poly(trimethylene terephthalate) derived from 2-(6-oxido-6H-dibenz<c,e><1,2>oxaphosphorin-6-yl)-1,4-hydroxyethoxy phenylene: Synthesis, thermal degradation, combustion and pyrolysis behavior. J. Anal. Appl. Pyrolysis 2013, 99, 40–48. [Google Scholar] [CrossRef]
- Butnaru, I.; Varganici, C.-D.; Pinteala, M.; Lehner, S.; Bruma, M.; Gaan, S. Thermal decomposition of polyimides containing phosphine-oxide units. J. Anal. Appl. Pyrolysis 2018, 134, 254–264. [Google Scholar] [CrossRef]
- Wei, P.; Yan, J.; Li, L.; Lou, H.; Zhang, Y.; Hao, K.; Xia, Y.; Wang, Y.; Wang, Y. Thermal degradation and pyrolysis behavior of wholly aromatic phosphorus-containing thermotropic liquid crystal copolyesters. J. Anal. Appl. Pyrolysis 2022, 164, 105524. [Google Scholar] [CrossRef]











| Data | CHCl3 | DMF | NMP | DMAc | Films | |
|---|---|---|---|---|---|---|
| , nm | PI-1 | 274 sh, 312 | 306 | 273 sh, 311 | 310 sh | - |
| PI-2 | 274 sh, 309 | 306 | 273 sh, 311 | 307 sh | - | |
| PI-3 | 274 sh, 304 | 302 | 273 sh, 303 | 311 | - | |
| PI-4 | 274 sh, 309 | 311 | 273 sh, 310 | 300 sh | - | |
| , nm | PI-1 | 362, 481 | * 357, ** 368 | * 365, ** 395 | * 373, ** 384 | 400 |
| PI-2 | 357, 493 | * 359, ** 368 | * 364, ** 394 | * 363, ** 384 | 515 | |
| PI-3 | 354, 470 | * 356, ** 369 | * 372, ** 382 | * 370, ** 383 | 481 | |
| PI-4 | 359, 382 | * 357, ** 369 | * 364, ** 395 | * 369, ** 383 | 487 | |
Publisher’s Note: MDPI stays neutral with regard to jurisdictional claims in published maps and institutional affiliations. |
© 2022 by the authors. Licensee MDPI, Basel, Switzerland. This article is an open access article distributed under the terms and conditions of the Creative Commons Attribution (CC BY) license (https://creativecommons.org/licenses/by/4.0/).
Share and Cite
Homocianu, M.; Serbezeanu, D.; Lisa, G.; Brebu, M.; Vlad-Bubulac, T. Optical and Flame-Retardant Properties of a Series of Polyimides Containing Side Chained Bulky Phosphaphenanthrene Units. Int. J. Mol. Sci. 2022, 23, 13174. https://doi.org/10.3390/ijms232113174
Homocianu M, Serbezeanu D, Lisa G, Brebu M, Vlad-Bubulac T. Optical and Flame-Retardant Properties of a Series of Polyimides Containing Side Chained Bulky Phosphaphenanthrene Units. International Journal of Molecular Sciences. 2022; 23(21):13174. https://doi.org/10.3390/ijms232113174
Chicago/Turabian StyleHomocianu, Mihaela, Diana Serbezeanu, Gabriela Lisa, Mihai Brebu, and Tăchiță Vlad-Bubulac. 2022. "Optical and Flame-Retardant Properties of a Series of Polyimides Containing Side Chained Bulky Phosphaphenanthrene Units" International Journal of Molecular Sciences 23, no. 21: 13174. https://doi.org/10.3390/ijms232113174
APA StyleHomocianu, M., Serbezeanu, D., Lisa, G., Brebu, M., & Vlad-Bubulac, T. (2022). Optical and Flame-Retardant Properties of a Series of Polyimides Containing Side Chained Bulky Phosphaphenanthrene Units. International Journal of Molecular Sciences, 23(21), 13174. https://doi.org/10.3390/ijms232113174

