Molecular Traits Underlying the Growth Promotion and Metabolite Accumulation in Rheum palmatum Inoculated with Endophytic Trichoderma citrinoviride HT-1
Abstract
1. Introduction
2. Results
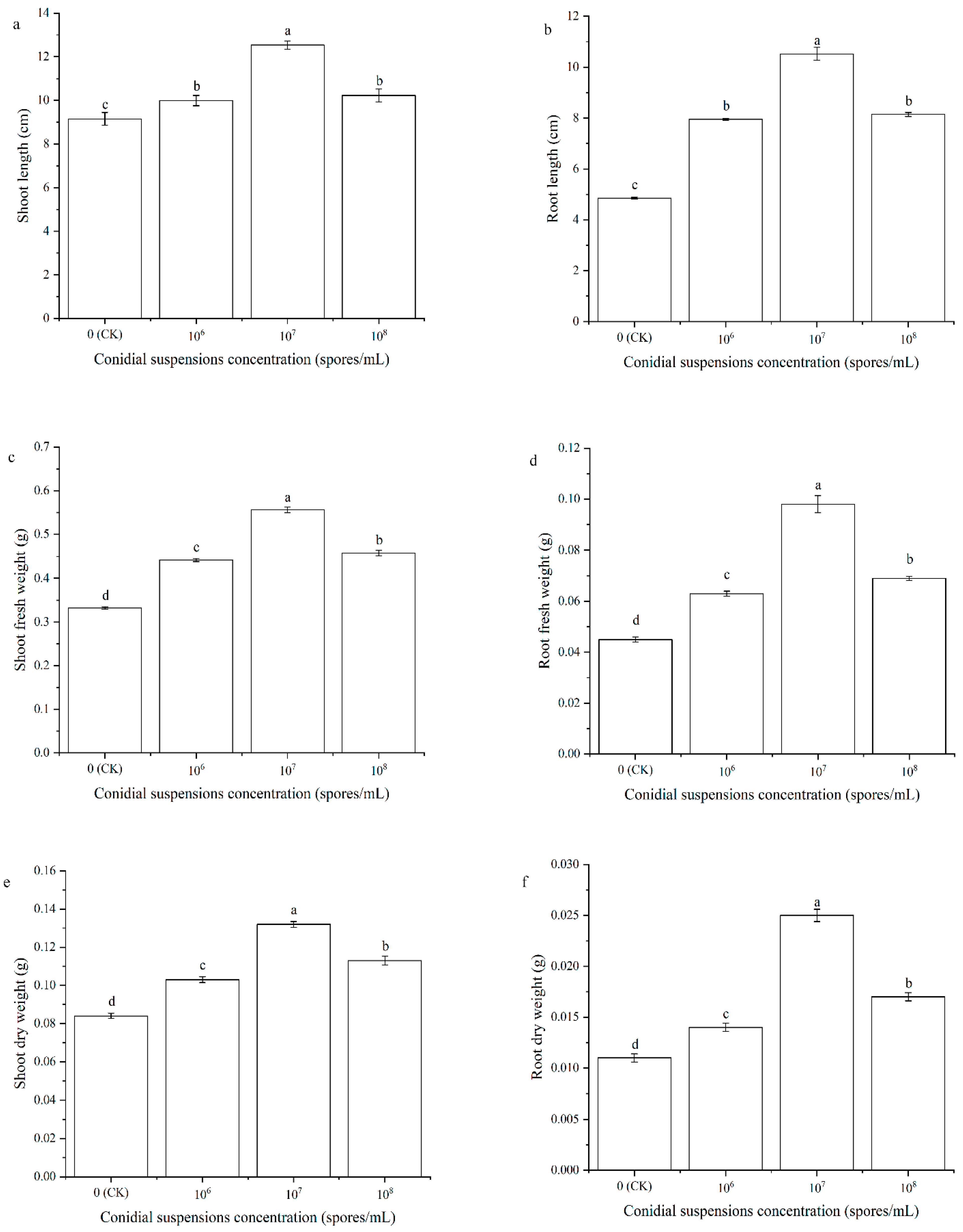
2.1. Effect of T. citrinoviride HT-1 on Growth of Seedlings
2.2. Effect of T. citrinoviride HT-1 on Root Activity of Seedlings
2.3. Effect of T. citrinoviride HT-1 on Metabolites of Seedlings
2.4. Unigene Annotation and Identification of DEGs
2.5. GO Function and KEGG Pathway Enrichment Analysis of the DEGs
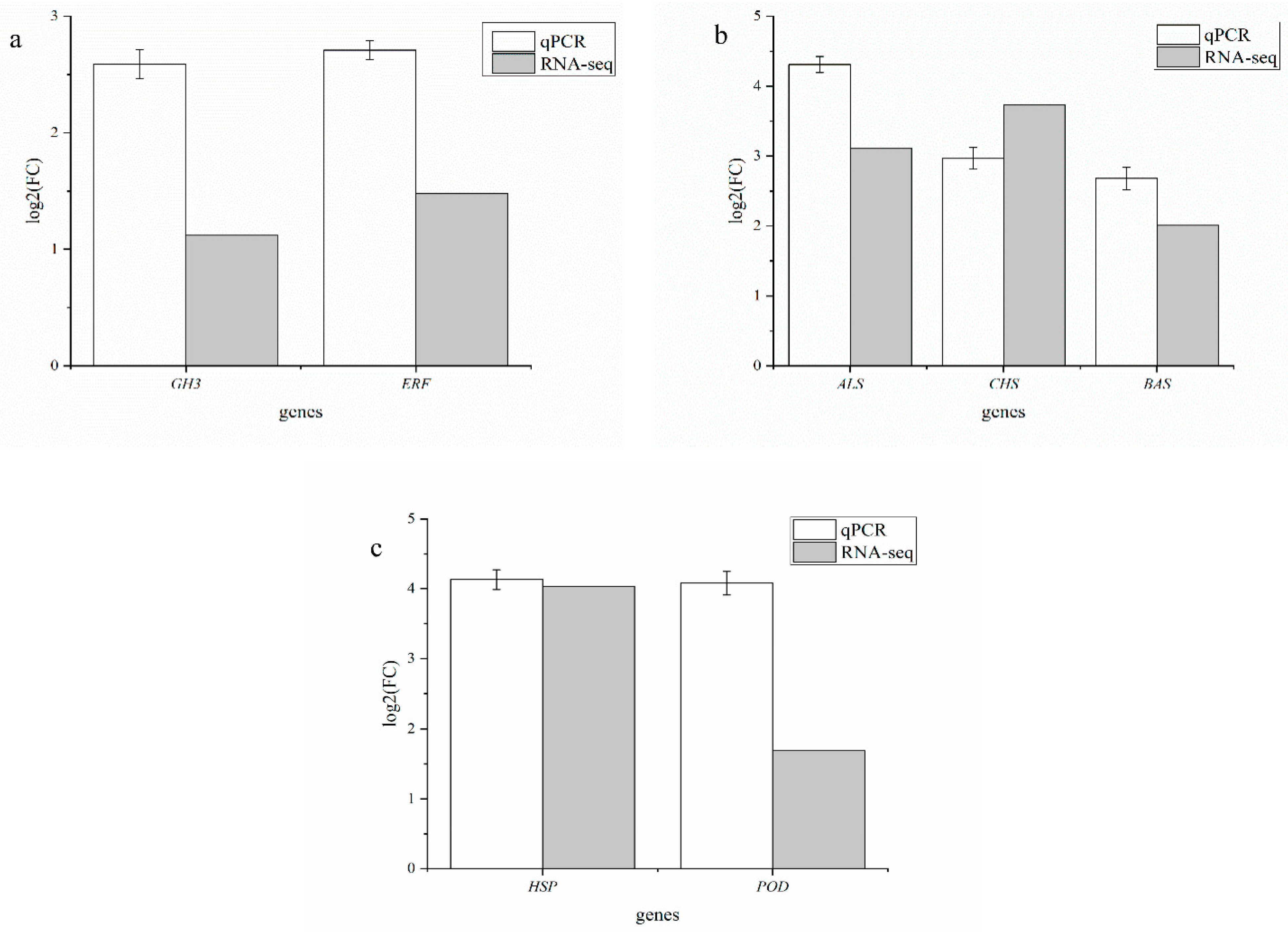
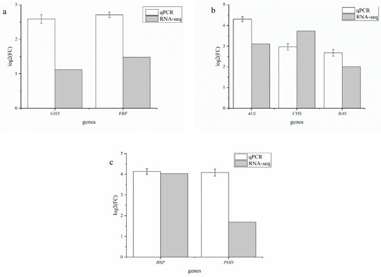
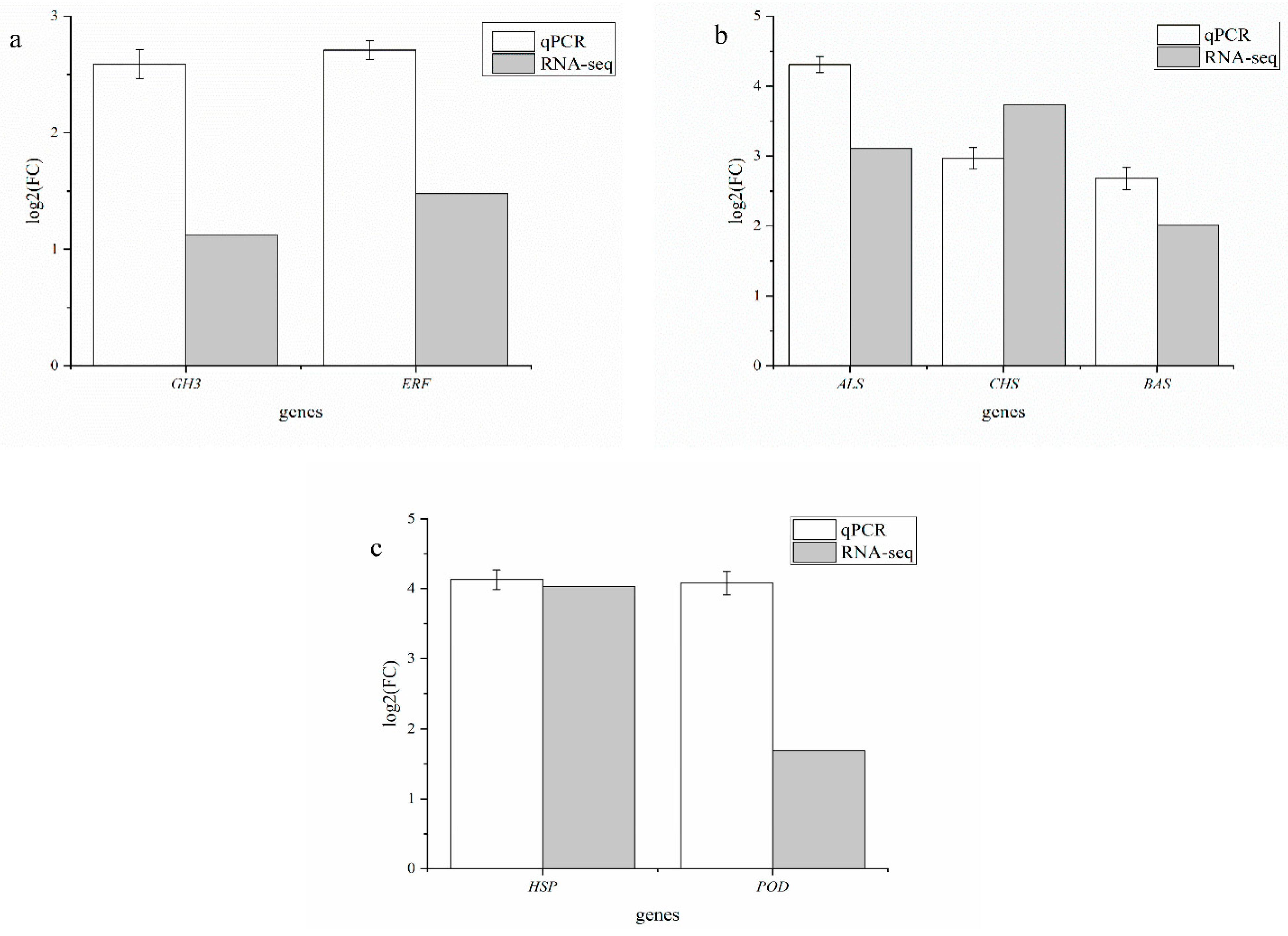
2.6. Verification of Partial DEGs Using RT-qPCR
3. Discussion
4. Materials and Methods
4.1. Plant Samples and Fungi Culture
4.2. Test for Capacity to Promote Plant Growth (Pot Experiment)
4.3. Plant Growth Measurement
4.4. Metabolites of R. palmatum Quantitative Analysis
4.5. Total RNA Extraction and Transcriptomic Analysis
4.6. qRT-PCR Assay for DEGs in RNA-Seq
4.7. Statistical Analysis
5. Conclusions
Author Contributions
Funding
Institutional Review Board Statement
Informed Consent Statement
Data Availability Statement
Conflicts of Interest
References
- El-Esawi, M.A.; Elkelish, A.; Soliman, M.; Elansary, H.O.; Zaid, A.; Wani, S.H. Serratia Marcescens BM1 Enhances Cadmium Stress Tolerance and Phytoremediation Potential of Soybean through Modulation of Osmolytes, Leaf Gas Exchange, Antioxidant Machinery, and Stress-Responsive Genes Expression. Antioxidants 2020, 9, 43. [Google Scholar] [CrossRef]
- Majeed, A.; Abbasi, M.K.; Hameed, S.; Imran, A.; Rahim, N. Isolation and characterization of plant growth-promoting rhizobacteria from wheat rhizosphere and their effect on plant growth promotion. Front. Microbiol. 2020, 6, 198. [Google Scholar] [CrossRef]
- Elkelish, A.; Qari, S.H.; Mazrou, Y.S.A.; Abdelaal, K.A.A.; Hafez, Y.M.; Abu-Elsaoud, A.M.; Batiha, G.E.-S.; El-Esawi, M.A.; El Nahhas, N. Exogenous Ascorbic Acid Induced Chilling Tolerance in Tomato Plants through Modulating Metabolism, Osmolytes, Antioxidants, and Transcriptional Regulation of Catalase and Heat Shock Proteins. Plants 2020, 9, 431. [Google Scholar] [CrossRef] [PubMed]
- Rafi, M.M.; Krishnaveni, M.S.; Charyulu, P.B.B.N. Phosphate-Solubilizing Microorganisms and Their Emerging Role in Sustainable Agriculture. Recent Dev. Appl. Microbiol. Biochem. 2019, 223–233. [Google Scholar] [CrossRef]
- Gouda, S.; Das, G.; Sen, S.K.; Shin, H.S.; Patra, J.K. Endophytes: A Treasure House of Bioactive Compounds of Medicinal Importance. Front. Microbiol. 2016, 7, 1538. [Google Scholar] [CrossRef]
- Park, Y.H.; Mishra, R.C.; Yoon, S.; Kim, H.; Park, C.; Seo, S.T.; Bae, H. Endophytic Trichoderma citrinoviride isolated from mountain-cultivated ginseng (Panax ginseng) has great potential as a biocontrol agent against ginseng pathogens. J. Ginseng Res. 2018, 43, 408–420. [Google Scholar] [CrossRef]
- González-Teuber, M.; Urzúa, A.; Morales, A.; Ibáñez, C.; Bascuñán-Godoy, L. Benefits of a root fungal endophyte on physiological processes and growth of the vulnerable legume tree Prosopis chilensis (Fabaceae). J. Plant Ecol. 2019, 12, 264–271. [Google Scholar] [CrossRef]
- Kusari, P.; Kusari, S.; Sezgin, S.; Lamshöft, M.; Spiteller, M.; Kayser, O. Quorum quenching is an antivirulence strategy employed by endophytic bacteria. Appl. Microbiol. Biotechnol. 2014, 98, 7173–7183. [Google Scholar] [CrossRef] [PubMed]
- Stierle, A.; Strobel, G.; Stierle, D. Taxol and taxane production by Taxomyces andreanae, an endophytic fungus of Pacific yew. Science 1993, 260, 214. [Google Scholar] [CrossRef] [PubMed]
- Wu, Y.C.; Wu, P.; Li, Y.B.; Liu, T.C.; Zhang, L.; Zhou, Y.H. Natural deep eutectic solvents as new green solvents to extract anthraquinones from Rheum palmatum L. Rsc Adv. 2018, 8, 1569–1577. [Google Scholar] [CrossRef] [PubMed]
- Chen, Y.-Y.; Hsieh, M.-J.; Hsieh, Y.-S.; Chang, Y.-C.; Chen, P.-N.; Yang, S.-F.; Ho, H.-Y.; Chou, Y.-E.; Lin, C.-W. Antimetastatic effects of Rheum palmatum L. extract on oral cancer cells. Environ. Toxicol. 2017, 32, 2287–2294. [Google Scholar] [CrossRef] [PubMed]
- Chen, T.; Yang, X.; Wang, N.; Li, H.; Zhao, J.; Li, Y. Separation of six compounds including twon-butyrophenone isomers and two stibene isomers from Rheum tanguticum Maxim by recycling high speed counter-current chromatography and preparative high-performance liquid chromatography. J. Sep. Sci. 2018, 41, 3660–3668. [Google Scholar] [CrossRef] [PubMed]
- Asanuma, M.; Zhu, S.; Okura, N.; Cai, S.Q.; Yoshimatsu, K.; Komatsu, K. Genetic polymorphism of Japanese cultivated Rheum species in the internal transcribed spacer region of nuclear ribosomal DNA. J. Nat. Med. 2019, 73, 541–554. [Google Scholar] [CrossRef]
- Chen, D.; Hou, Q.; Jia, L.; Sun, K. Combined Use of Two Trichoderma Strains to Promote Growth of Pakchoi (Brassica chinensis L.). Agronomy 2021, 11, 726. [Google Scholar] [CrossRef]
- Wu, Q.; Ni, M.; Liu, W.C.; Ren, J.H.; Rao, Y.H.; Chen, J.; Lu, C.G. Omics for understanding the mechanisms of Streptomyces lydicus A01 promoting the growth of tomato seedlings. Plant Soil 2018, 431, 129–141. [Google Scholar] [CrossRef]
- Stewart, A.; Hill, R. Applications of Trichoderma in Plant Growth Promotion. Biotechnol. Biol. Trichoderma 2014, 415–428. [Google Scholar] [CrossRef]
- Kauffmann, A.; Huber, W. Microarray data quality control improves the detection of differentially expressed genes. Genomics 2010, 95, 138–142. [Google Scholar] [CrossRef] [PubMed]
- Hu, R.; Yu, C.; Wang, X.; Jia, C.; Pei, S.; He, K.; He, G.; Kong, Y.; Zhou, G. De Novo transcriptome analysis of Miscanthus lutarioriparius identifies candidate genes in rhizome Development. Front. Plant Sci. 2017, 8, 492. [Google Scholar] [CrossRef] [PubMed]
- Maeda, H.; Dudareva, N. The Shikimate pathway and aromatic amino acid biosynthesis in plants. Ann. Rev. Plant Biol. 2012, 63, 73–105. [Google Scholar] [CrossRef]
- Wang, H.; Tian, C.E.; Duan, J.; Wu, K. Research progresses on GH3s, one family of primary auxin-responsive genes. Plant Growth Regul. 2008, 56, 225–232. [Google Scholar] [CrossRef]
- Li, W.; Geng, Z.; Zhang, C.; Wang, K.; Jiang, X. Whole-genome characterization of Rosa chinensis AP2/ERF transcription factors and analysis of negative regulator RcDREB2B in Arabidopsis. BMC Genom. 2021, 22, 90. [Google Scholar] [CrossRef]
- Liu, H.; Wang, J.; Sun, H.; Han, X.; Peng, Y.; Liu, J.; Liu, K.; Ding, Y.; Wang, C.; Du, B. Transcriptome Profiles Reveal the Growth-Promoting Mechanisms of Paenibacillus polymyxa YC0136 on Tobacco (Nicotiana tabacum L.). Front. Microbiol. 2020, 11, 584174. [Google Scholar] [CrossRef]
- Liu, J.; Leng, L.; Liu, Y.; Gao, H.; Yang, W.; Chen, S.; Liu, A. Identification and quantification of target metabolites combined with transcriptome of two rheum species focused on anthraquinone and flavonoids biosynthesis. Sci. Rep. 2020, 10, 20241. [Google Scholar] [CrossRef] [PubMed]
- Zhang, Y.H.; Zheng, L.L.; Zheng, Y.; Zhou, C.; Huang, P.; Xiao, X.; Zhao, Y.; Hao, X.; Hu, Z.; Chen, Q.; et al. Assembly and annotation of a draft genome of the medicinal plant Polygonum cuspidatum. Front. Plant Sci. 2019, 10, 1274. [Google Scholar] [CrossRef] [PubMed]
- Hao, D.C.; Ma, P.; Mu, J.; Chen, S.L.; Xiao, P.G.; Peng, Y.; Huo, L.; Xu, L.; Sun, C. De Novo characterization of the root transcriptome of a traditional Chinese medicinal plant Polygonum cuspidatum. Sci. China Life Sci. 2012, 55, 452–466. [Google Scholar] [CrossRef]
- Wang, X.; Hu, H.; Wu, Z.; Fan, H.; Wang, G.; Chai, T.; Wang, H. Tissue-specific transcriptome analyses reveal candidate genes for stilbene, flavonoid and anthraquinone biosynthesis in the medicinal plant Polygonum cuspidatum. BMC Genom. 2021, 22, 353. [Google Scholar] [CrossRef] [PubMed]
- Morita, H.; Shimokawa, Y.; Tanio, M.; Kato, R.; Noguchi, H.; Sugio, S.; Kohno, T.; Abe, I. A structure-based mechanism for benzalacetone synthase from Rheum palmatum. Proc. Natl. Acad. Sci. USA 2010, 107, 669–673. [Google Scholar] [CrossRef] [PubMed]
- Abe, I.; Watanabe, T.; Lou, W.; Noguchi, H. Active site residues governing substrate selectivity and polyketide chain length in aloesone synthase. FEBS J. 2010, 273, 208–218. [Google Scholar] [CrossRef]
- Hussain, I.; Ashraf, M.A.; Rasheed, R.; Iqbal, M.; Ibrahim, M.; Zahid, T.; Thind, S.; Saeed, F. Cadmium-induced Perturbations in Growth, Oxidative Defense System, Catalase Gene Expression and Fruit Quality in Tomato. Int. J. Agric. Biol. 2017, 19, 61–68. [Google Scholar] [CrossRef]
- Guo, H.; Zhang, H.; Wang, G.; Wang, C.; Wang, Y.; Liu, X.; Ji, W. Identification and expression analysis of heat-shock proteins in wheat infected with powdery mildew and stripe rust. Plant Genome 2021, 14, e20092. [Google Scholar] [CrossRef]
- Ji, W.; Leng, X.; Jin, Z.; Li, H. Plant growth promoting bacteria increases biomass, effective constituent, and modifies rhizosphere bacterial communities of Panax ginseng. Acta Agric. Scand. 2019, 69, 1651–1913. [Google Scholar] [CrossRef]
- Chen, D.; Jia, L.; Hou, Q.; Zhao, X.; Sun, K. Analysis of Endophyte Diversity of Rheum palmatum from Different Production Areas in Gansu Province of China and the Association with Secondary Metabolite. Microorganisms 2021, 9, 978. [Google Scholar] [CrossRef] [PubMed]
- Chen, C.; Fu, Z.; Zhou, W.; Chen, Q.; Wang, C.; Xu, L.; Wang, Z.; Zhang, H. Ionic liquid-immobilized NaY zeolite-based matrix solid phase dispersion for the extraction of active constituents in Rheum palmatum L. Microchem. J. 2020, 152, 104245. [Google Scholar] [CrossRef]
- Grabherr, M.G.; Haas, B.J.; Yassour, M.; Levin, J.Z.; Thompson, D.A.; Amit, I.; Adiconis, X.; Fan, L.; Raychowdhury, R.; Zeng, Q.; et al. Full-length transcriptome assembly from RNA-Seq data without a reference genome. Nat. Biotechnol. 2011, 29, 644–652. [Google Scholar] [CrossRef]
- Simon, A.; Theodor, P.P.; Wolfgang, H. HTSeq—A Python framework to work with high-throughput sequencing data. Bioinformatics 2015, 31, 166–169. [Google Scholar] [CrossRef]
- Love, M.I.; Huber, W.; Anders, S. Moderated estimation of fold change and dispersion for RNA-seq data with DESeq2. Genome Biol. 2014, 15, 550. [Google Scholar] [CrossRef]
- Song, W.Q.; Gu, W.Q.; Qian, Y.B.; Ma, X.; Mao, Y.J.; Liu, W.J. Identification of long non-coding RNA involved in osteogenic differentiation from mesenchymal stem cells using RNA-Seq data. Genet. Mol. Res. Gmr. 2015, 14, 18268–18279. [Google Scholar] [CrossRef]
- Malviya, M.K.; Li, C.N.; Solanki, M.K.; Singh, R.K.; Htun, R.; Singh, P.; Verma, K.K.; Yang Li Li, Y.a. Comparative analysis of sugarcane root transcriptome in response to the plant growth-promoting burkholderia anthina MYSP113. PLoS ONE 2020, 15, e0231206. [Google Scholar] [CrossRef] [PubMed]
- Kenneth, J.L.; Thomas, D.S. Analysis of relative gene expression data using real-time quantitative PCR and the 2−ΔΔCT method. Methods 2001, 25, 402–408. [Google Scholar] [CrossRef]








| Sample | Raw_Reads | Clean_Reads |
|---|---|---|
| CK-1 | 67,794,322.00 | 66,127,198.00 |
| CK-2 | 99,675,100.00 | 97,372,554.00 |
| CK-3 | 65,050,582.00 | 63,202,954.00 |
| HT-1-1 | 97,036,064.00 | 94,274,502.00 |
| HT-1-2 | 84,968,252.00 | 82,706,638.00 |
| HT-1-3 | 104,515,580.00 | 101,852,522.00 |
| Gene Name | Gene ID | NR Annotation |
|---|---|---|
| GH3 | TR2359_c0_g1 | Indole-3-acetic acid-amido synthetase GH3 |
| ERF | TR6369_c0_g1 | Ethylene-responsive transcription factor 1B |
| BAS | TR407_c2_g2 | Polyketide synthase BAS, benzalacetone synthase |
| CHS | TR134901_c0_g1 | Chalcone synthase |
| ALS | TR407_c0_g1 | Aloesone synthase |
| HSP | TR61073_c0_g1 | Heat shock protein |
| POD | TR21_c0_g2 | Peroxidase |
| Gene | Primer Name | Primer Sequence |
|---|---|---|
| actin | actin-F | 5′-GACAGTCGTTCTCAGGCAAGGC-3′ |
| actin-R | 5′-GACGAGAAGAAACGGGAGGTTGTG-3′ | |
| HSP | HSP-F | 5′-CGATTGGGAAGATCATTTGGCTGT-3′ |
| HSP-R | 5′-TCAAATGGTGCACGTTTTGGTACA-3′ | |
| POD | POD-F | 5′-TCCTCGGCGGCATAACCTACTC-3′ |
| POD-R | 5′-TGGAGAAGCTCGATTGGAGTTGTTG-3′ | |
| ALS | ALS-F | 5′-TAGCCCTTGTGCCTTCTCCGATAG-3′ |
| ALS-R | 5′-GAGCGAGAGCATGGCAGATTGG-3′ | |
| CHS | CHS-F | 5′-AGGAAGTCGGTGGAGGAAGGTATG-3′ |
| CHS-R | 5′-CTTCGCAGCACAACGGTTTCAAC-3′ | |
| BAS | BAS-F | 5′-CAACCACTGGAGAAGGGCTTGAG-3′ |
| BAS-R | 5′-GGTACACTGCGTAGCACCACAG-3′ | |
| GH3 | GH3-F | 5′-CCAGACAACAACTCCTCAACACCTC-3′ |
| GH3-R | 5′-GCTACGCTGACACCAAGACCATC-3′ | |
| ERF | ERF-F | 5′-CAACCACCGCATCCTACAACTCC-3′ |
| ERF-R | 5′-CTTGACACGCACCTCCGATTCC-3′ |
Publisher’s Note: MDPI stays neutral with regard to jurisdictional claims in published maps and institutional affiliations. |
© 2022 by the authors. Licensee MDPI, Basel, Switzerland. This article is an open access article distributed under the terms and conditions of the Creative Commons Attribution (CC BY) license (https://creativecommons.org/licenses/by/4.0/).
Share and Cite
Chen, D.; Shi, W.; Wang, Y.; Zhao, J.; Zhang, H.; Jia, L.; Sun, K. Molecular Traits Underlying the Growth Promotion and Metabolite Accumulation in Rheum palmatum Inoculated with Endophytic Trichoderma citrinoviride HT-1. Int. J. Mol. Sci. 2022, 23, 13132. https://doi.org/10.3390/ijms232113132
Chen D, Shi W, Wang Y, Zhao J, Zhang H, Jia L, Sun K. Molecular Traits Underlying the Growth Promotion and Metabolite Accumulation in Rheum palmatum Inoculated with Endophytic Trichoderma citrinoviride HT-1. International Journal of Molecular Sciences. 2022; 23(21):13132. https://doi.org/10.3390/ijms232113132
Chicago/Turabian StyleChen, Dawei, Wenjing Shi, Yihan Wang, Jing Zhao, Hui Zhang, Lingyun Jia, and Kun Sun. 2022. "Molecular Traits Underlying the Growth Promotion and Metabolite Accumulation in Rheum palmatum Inoculated with Endophytic Trichoderma citrinoviride HT-1" International Journal of Molecular Sciences 23, no. 21: 13132. https://doi.org/10.3390/ijms232113132
APA StyleChen, D., Shi, W., Wang, Y., Zhao, J., Zhang, H., Jia, L., & Sun, K. (2022). Molecular Traits Underlying the Growth Promotion and Metabolite Accumulation in Rheum palmatum Inoculated with Endophytic Trichoderma citrinoviride HT-1. International Journal of Molecular Sciences, 23(21), 13132. https://doi.org/10.3390/ijms232113132
