Combined Application of Aminoglycosides and Ascorbic Acid in the Elimination of Proteus mirabilis Rods Responsible for Causing Catheter-Associated Urinary Tract Infections (CAUTIs)—A Molecular Approach
Abstract
1. Introduction
2. Results
2.1. Bacterial Growth and Catheter Colonization by the P. mirabilis Cells in the Presence of Aminoglycosides and/or Ascorbic Acid
2.2. Concentration and Stability of the Tested Substances during the Experiments
2.3. Changes of pH Values in P. mirabilis Cultures Supplemented with AA
2.4. Effect of Aminoglycosides and Ascorbic Acid on the P. mirabilis Urease Activity
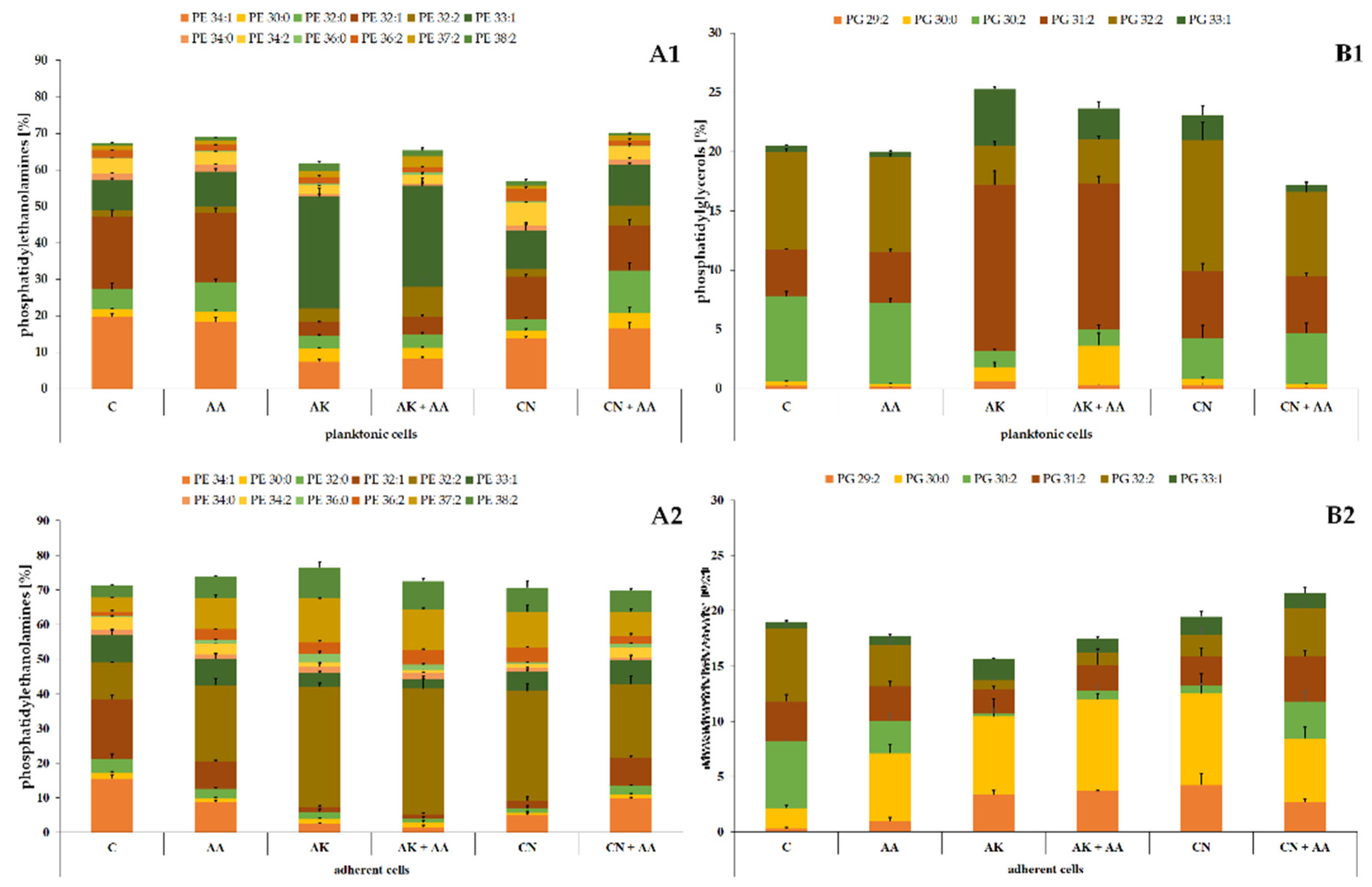
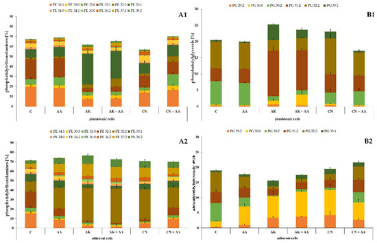
2.5. Modification of the P. mirabilis Phospholipid Profile Induced by AA, AK, or CN Treatment
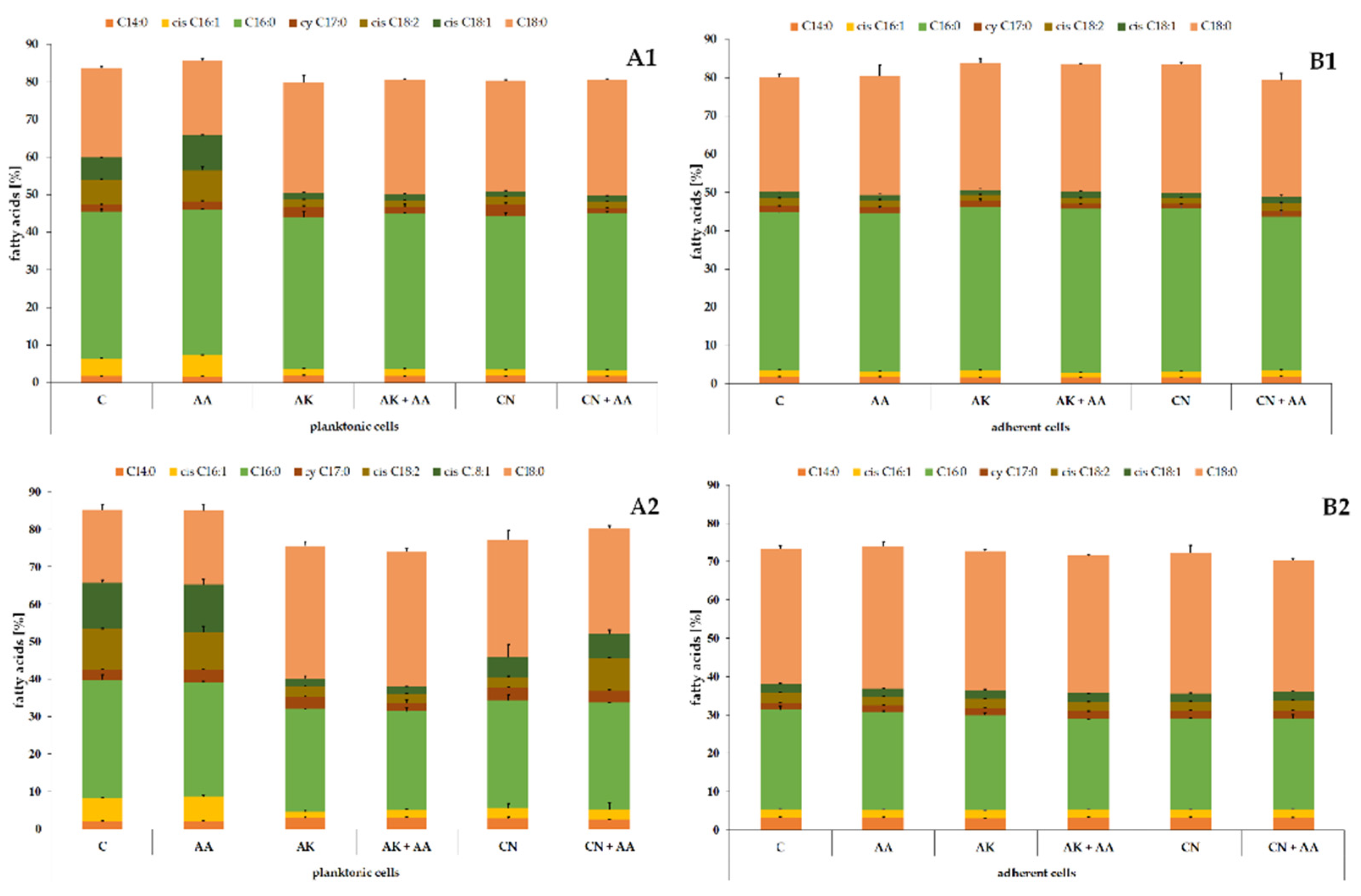
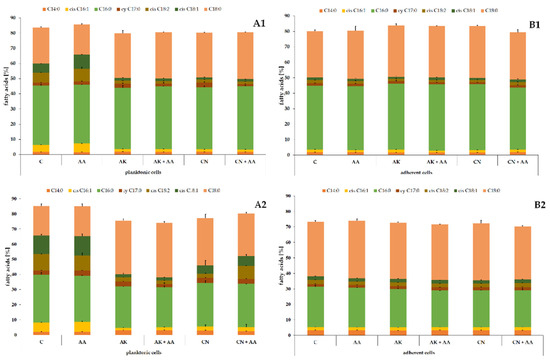
2.6. Quantitative Changes in Fatty Acids of the Uropathogenic Cells Caused by the Antibiotics and/or Ascorbic Acid Presence
2.7. Quantification of Reactive Oxygen Species in the Bacterial Cells Exposed to the Antibiotics and/or Ascorbic Acid
2.8. Influence of AA, AK, or CN on the P. mirabilis Membrane Permeability
3. Discussion
4. Materials and Methods
4.1. Microorganisms and Growth Conditions
4.2. Growth and Culture pH Values and Urease Activity of P. mirabilis
4.3. Catheter Surface Colonization by P. mirabilis
4.4. HPLC−MS2 Methods for Quantitative Analyses of AK, CN, and AA in the Post-Culture Supernatants
4.5. Bacterial Lipid Extraction Procedure
4.6. HPLC–MS2 Method for Determination of P. mirabilis PLs
4.7. Bacterial Fatty Acid Isolation Procedure
4.8. GC–MS Method for P. mirabilis Fatty Acid Identification
4.9. Fluorescent Estimation of HO• Level
4.10. Fluorescent Studies on the Bacterial Membrane Permeability
4.11. Statistical Analyses
5. Conclusions
Supplementary Materials
Author Contributions
Funding
Institutional Review Board Statement
Informed Consent Statement
Data Availability Statement
Conflicts of Interest
References
- Yuan, F.; Huang, Z.; Yang, T.; Wang, G.; Li, P.; Yang, B.; Li, J. Pathogenesis of Proteus mirabilis in catheter-associated urinary tract infections. Urol. Int. 2021, 105, 354–361. [Google Scholar] [CrossRef] [PubMed]
- Persu, C.; Braschi, E.; Lavelle, J. A review of prospective clinical trials for neurogenic bladder: The place of surgery, experimental techniques and devices. Cent. Eur. J. Urol. 2014, 67, 270–276. [Google Scholar] [CrossRef] [PubMed]
- Vigil, H.R.; Hickling, D.R. Urinary tract infection in the neurogenic bladder. Transl. Androl. Urol. 2016, 5, 72–87. [Google Scholar] [CrossRef] [PubMed]
- Wasfi, R.; Hamed, S.M.; Amer, M.A.; Fahmy, L. Proteus mirabilis biofilm: Development and therapeutic strategies. Front. Cell Infect. Microbiol. 2020, 10, 414. [Google Scholar] [CrossRef] [PubMed]
- Sharma, D.; Misba, L.; Khan, A.U. Antibiotics versus biofilm: An emerging battleground in microbial communities. Antimicrob. Resist. Infect. Control. 2019, 8, 76. [Google Scholar] [CrossRef]
- Plate, A.; Kronenberg, A.; Risch, M.; Mueller, Y.; Gangi, S.D.; Rosemann, T.; Senn, O. Treatment of urinary tract infections in Swiss primary care: Quality and determinants of antibiotic prescribing. BMC Fam. Pract. 2020, 21, 125. [Google Scholar] [CrossRef]
- Wang, J.-T.; Chen, P.-C.; Chang, S.-C.; Shiau, Y.-R.; Wang, H.-Y.; Lai, J.-F.; Huang, I.-W.; Tan, M.-C.; Lauderdale, T.-L.Y.; TSAR Hospitals. Antimicrobial susceptibilities of Proteus mirabilis: A longitudinal nationwide study from the Taiwan surveillance of antimicrobial resistance (TSAR) program. BMC Infect. Dis. 2014, 5, 486. [Google Scholar] [CrossRef]
- Pérez, R.P.; Ortega, M.J.C.; Álvarez, J.A.; Baquero-Artigao, F.; Rico, J.C.S.; Zúñiga, R.V.; Campos, L.M.; Gallego, B.C.; Fernández, A.J.C.; Calvoa, C.; et al. Recommendations on the diagnosis and treatment of urinary tract infection. An. Pediatr. Engl. Ed. 2019, 90, 400.e1–400.e9. [Google Scholar] [CrossRef]
- Jancel, T.; Dudas, V. Management of uncomplicated urinary tract infections. West J. Med. 2002, 176, 51–55. [Google Scholar] [CrossRef]
- Sader, H.S.; Farrell, D.J.; Flamm, R.K.; Jones, R.N. Antimicrobial susceptibility of Gram-negative organisms isolated from patients hospitalized in intensive care units in United States and European hospitals (2009-2011). Diagn. Microbiol. Infect. Dis. 2014, 78, 443–448. [Google Scholar] [CrossRef]
- Shakil, S.; Khan, R.; Zarrilli, R.; Khan, A.U. Aminoglycosides versus bacteria—A description of the action, resistance mechanism, and nosocomial battleground. J. Biomed Sci. 2008, 15, 5–14. [Google Scholar] [CrossRef] [PubMed]
- Goodlet, K.J.; Benhalima, F.Z.; Nailor, M.D. A systematic review of single-dose aminoglycoside therapy for urinary tract infection: Is it time to resurrect an old strategy? Antimicrob. Agents Chemother. 2018, 21, e02165-18. [Google Scholar] [CrossRef] [PubMed]
- Traxer, O.; Huet, B.; Poindexter, J.; Pak, C.Y.C.; Pearle, M.S. Effect of ascorbic acid consumption on urinary stone risk factors. J. Urol. 2003, 170, 397–401. [Google Scholar] [CrossRef]
- Ochoa-Brust, G.J.; Fernández, R.A.; Villanueva-Ruiz, G.J.; Velasco, R.; Trujillo-Hernández, B.; Vásquez, C. Daily intake of 100 mg ascorbic acid as urinary tract infection prophylactic agent during pregnancy. Acta Obstet. Gynecol. Scand. 2007, 86, 783–787. [Google Scholar] [CrossRef]
- Yousefichaijan, P.; Goudarzi, A.A.; Rezagholizamenjany, M.; Kahbazi, M.; Rafeie, M.; Arjmand, S.A.; Shariatmadari, F.; Taherahmadi, H. Efficacy of ascorbic acid supplementation in relief of symptoms due to febrile upper urinary tract infection in children, a clinical trial and hospital based study. Arch. Pediatr. Infect. Dis. 2018, 6, e57071. [Google Scholar] [CrossRef]
- Castelló, T.; Girona, L.; Gómez, M.R.; Mur, A.M.; Grcía, L. The possible value of ascorbic acid as a prophylactic agent for urinary tract infection. Spinal Cord. 1996, 34, 592–593. [Google Scholar] [CrossRef]
- Baxmann, A.C.; Mendonca, C.; De, O.G.; Heilberg, I.P. Effect of vitamin C supplements on urinary oxalate and pH in calcium stone-forming patients. Kidney Int. 2003, 63, 1066–1071. [Google Scholar] [CrossRef] [PubMed]
- Borran, M.; Dashti-Khavidaki, S.; Alamdari, A.; Naderi, N.; Gatmiri, S.M. High-dose intravenous vitamin C reduces urinary tract infection post-kidney transplantation. Afr. J. Urol. 2020, 26, 37. [Google Scholar] [CrossRef]
- Mumtaz, S.; Mumtaz, S.; Ali, S.; Tahir, H.M.; Kazmi, S.A.R.; Mughal, T.A.; Younas, M. Evaluation of antibacterial activity of vitamin C against human bacterial pathogens. Braz. J. Biol. 2021, 83, e247165. [Google Scholar] [CrossRef]
- Verghese, R.J.; Mathew, S.K.; David, A. Antimicrobial activity of vitamin C demonstrated on uropathogenic Escherichia coli and Klebsiella pneumonia. J. Curr. Res. Sci. Med. 2020, 3, 88. [Google Scholar] [CrossRef]
- Pandit, S.; Ravikumar, V.; Abdel-Haleem, A.M.; Derouiche, A.; Mokkapati, V.R.S.S.; Sihlbom, C.; Mineta, K.; Gojobori, T.; Gao, X.; Westerlund, F.; et al. Low concentrations of vitamin C reduce the synthesis of extracellular polymers and destabilize bacterial biofilms. Front. Microbiol. 2017, 8, 2599. [Google Scholar] [CrossRef] [PubMed]
- Shivaprasad, D.P.; Tanej, N.K.; Lakra, A.; Sachdev, D. In vitro and in situ abrogation of biofilm formation in E. coli by vitamin C through ROS generation, disruption of quorum sensing and exopolysaccharide production. Food Chem. 2021, 341, 128171. [Google Scholar] [CrossRef] [PubMed]
- Xu, C.; Dong, N.; Chen, K.; Yang, X.; Zeng, P.; Hou, C.; Wai, E.; Chan, C.; Yao, C.; Chen, S. Bactericidal, anti-biofilm, and anti-virulence activity of vitamin C against carbapenem-resistant hypervirulent Klebsiella pneumonia. iScience 2022, 25, 103894. [Google Scholar] [CrossRef] [PubMed]
- El-Gebaly, E.; Essam, T.; Hashem, S.; El-Baky, R.A. Effect of levofloxacin and vitamin C on bacterial adherence and preformed biofilm on urethral catheter surfaces. J. Microb. Biochem. Technol. 2012, 4, 6. [Google Scholar] [CrossRef]
- Stolarek, P.; Bernat, P.; Szczerbiec, D.; Różalski, A. Phospholipids and fatty acids affect the colonization of urological catheters by Proteus mirabilis. Int. J. Mol. Sci. 2021, 22, 8452. [Google Scholar] [CrossRef] [PubMed]
- Moryl, M.; Torzewska, A.; Jałmużna, P.; Różalski, A. Analysis of Proteus mirabilis distribution in multi-species biofilms on urinary catheters and determination of bacteria resistance to antimicrobial agents. Pol. J. Microbiol. 2013, 62, 377–384. [Google Scholar] [CrossRef]
- Ibrahim, H.H.; Aljeburi, N.R.; Jebar, M.S.; Gayeb, M.A.; Mahdi, S.S.; Kudder, H.A.; Naseer, M.M. Effect of sub MIC for imipenem, amikacin and cefixime on growth and swarming of Proteus mirabilis. J. Pure Appl. Microbiol. 2018, 12, 2241–2244. [Google Scholar] [CrossRef]
- Bi, Y.; Xia, G.; Shi, C.; Wan, J.; Liu, L.; Chen, Y.; Wu, Y.; Zhang, W.; Zhou, M.; He, H.; et al. Therapeutic strategies against bacterial biofilms. Fundam. Res. 2021, 1, 193–212. [Google Scholar] [CrossRef]
- Sahal, G.; Bilkay, I.S. Multidrug resistance by biofilm-forming clinical strains of Proteus mirabilis. Asian Biomed. 2015, 9, 535–541. [Google Scholar] [CrossRef]
- Shaaban, M.; Abd El-Rahman, O.A.; Al-Qaidi, B.; Ashour, H.M. Antimicrobial and antibiofilm activities of probiotic Lactobacilli on antibiotic-resistant Proteus mirabilis. Microorganisms 2020, 8, 960. [Google Scholar] [CrossRef] [PubMed]
- Vašková, S.; Slobodníková, L.; Fajtl, D.; Blažíčková, S.; Botek, R.; Melicháčová, V. Biofilm-producing potential of urinary pathogens isolated from chronic and recurrent urinary tract infections and impact of biofilm on gentamicin and colistin in vitro efficacy. Epidemiol. Mikrobiol. Imunol. 2020, 69, 3–9. [Google Scholar]
- Wasfi, R.; Abd El-Rahman, O.A.; Mansour, L.E.; Hanora, A.S.; Hashem, A.M.; Ashour, M.S. Antimicrobial activities against biofilm formed by Proteus mirabilis isolates from wound and urinary tract infections. Indian J. Med. Microbiol. 2012, 30, 76–80. [Google Scholar] [CrossRef]
- Maszewska, A.; Moryl, M.; Wu, J.; Liu, B.; Feng, L.; Różalski, A. Amikacin and bacteriophage treatment modulates outer membrane proteins composition in Proteus mirabilis biofilm. Sci. Rep. 2021, 11, 1522. [Google Scholar] [CrossRef] [PubMed]
- Kwiecińska-Piróg, J.; Skowron, K.; Bogiel, T.; Białucha, A.; Przekwas, J.; Gospodarek-Komkowska, E. Vitamin C in the presence of sub-inhibitory concentration of aminoglycosides and fluoroquinolones alters Proteus mirabilis biofilm inhibitory rate. Antibiotics 2019, 8, 116. [Google Scholar] [CrossRef] [PubMed]
- Brigden, M.L.; Edgell, D.; McPherson, M.; Leadbeater, A.; Hoag, G. High incidence of significant urinary ascorbic acid concentrations in a west coast population-implications for routine urinalysis. Clin. Chem. 1992, 38, 426–431. [Google Scholar] [CrossRef] [PubMed]
- Rose, C.; Parker, A.; Jefferson, B.; Cartmell, E. The characterization of feces and urine: A review of the literature to inform advanced treatment technology. Crit. Rev. Environ. Sci. Technol. 2015, 45, 1827–1879. [Google Scholar] [CrossRef] [PubMed]
- Yew, W.S.; Gerlt, J.A. Utilization of L-ascorbate by Escherichia coli K-12: Assignments of functions to products of the yjf-sga and yia-sgb operons. J. Bacteriol. 2002, 184, 302–306. [Google Scholar] [CrossRef] [PubMed]
- Campos, E.; Baldoma, L.; Aguilar, J.; Badia, J. Regulation of expression of the divergent ulaG and ulaABCDEF operons involved in L-ascorbate dissimilation in Escherichia coli. J. Bacteriol. 2004, 186, 1720–1728. [Google Scholar] [CrossRef]
- Campos, E.; de la Riva, L.; Garces, F.; Gimenez, R.; Aguilar, J.; Baldoma, L.; Badia, J. The yiaKLX1X2PQRS and ulaABCDEFG gene systems are required for the aerobic utilization of L-ascorbate in Klebsiella pneumoniae strain 13882 with L-ascorbate-6-phosphate as the inducer. J. Bacteriol. 2008, 190, 6615–6624. [Google Scholar] [CrossRef] [PubMed][Green Version]
- Mehmeti, I.; Solheim, M.; Nes, I.F.; Holo, H. Enterococcus faecalis grows on ascorbic acid. Appl. Environ. Microbiol. 2013, 79, 4756–4758. [Google Scholar] [CrossRef] [PubMed]
- Bidossi, A.; Mulas, L.; Decorosi, F.; Colomba, L.; Ricci, S.; Pozzi, G.; Deutscher, J.; Viti, C.; Oggioni, M.R. A functional genomics approach to establish the complement of carbohydrate transporters in Streptococcus pneumoniae. PLoS ONE 2012, 7, e33320. [Google Scholar] [CrossRef]
- von Gagyi, J. Ueber die bactericide und antitoxische Wirkung des Vitamin C. Klin. Wochenschr. 1936, 15, 190–195. [Google Scholar] [CrossRef]
- Axelrod, D.R. Ascorbic acid and urinary pH. JAMA 1985, 254, 1310–1311. [Google Scholar] [CrossRef]
- Noureldin, Y.A.; da Silva, A.; Fahmy, N.; Andonian, S. Is it safe to describe ascorbic acid for urinary acidification in stone-forming patients with alkaline urine? Turk. J. Urol. 2017, 43, 183–188. [Google Scholar] [CrossRef]
- Torrecilla, C.; Fernández-Concha, J.; Cansino, J.R.; Mainez, J.A.; Amón, J.H.; Costas, S.; Angerri, O.; Emiliani, E.; Martín, M.A.A.; Polo, M.A.A.; et al. Reduction of ureteral stent encrustation by modulating the urine pH and inhibiting the crystal film with a new oral composition: A multicenter, placebo controlled, double blind, randomized clinical trial. BMC Urol. 2020, 5, 65. [Google Scholar] [CrossRef]
- Jacobs, D.; Heimbach, D.; Hesse, A. Chemolysis of struvite stones by acidification of artificial urine. An in vitro study. Scand. J. Urol. Nephrol. 2001, 35, 345–349. [Google Scholar] [CrossRef]
- Siener, R.; Struwe, F.; Hesse, A. Effect of L-methionine on the risk of phosphate stone formation. Urology 2016, 98, 39–43. [Google Scholar] [CrossRef]
- Sabiote, L.; Emiliani, E.; Kanashiro, A.K.; Balañà, J.; Mosquera, L.; Sánchez-Martín, F.M.; Millán, F.; Alonso, C.; Palou, J.; Angerri, O. Oral acidification with L-methionine as a noninvasive treatment for encrusted uropathy. J. Endourol. Case Rep. 2020, 17, 143–146. [Google Scholar] [CrossRef]
- Njus, D.; Kelley, P.M.; Tu, Y.-J.; Schlegel, H.-B. Ascorbic acid: The chemistry underlying its antioxidant properties. Free Radic. Biol. Med. 2020, 159, 37–43. [Google Scholar] [CrossRef]
- Elson, L.A. Inhibition of urease activity by ascorbic acid. Nature 1943, 152, 49. [Google Scholar] [CrossRef]
- Krajewska, B.; Brindell, M. Urease activity and L-ascorbic acid. J. Enzyme Inhib. Med. Chem. 2011, 26, 309–318. [Google Scholar] [CrossRef]
- Jacobsen, S.M.; Shirtlif, M.E. Proteus mirabilis biofilms and catheter-associated urinary tract infections. Virulence 2011, 2, 460–465. [Google Scholar] [CrossRef]
- Agha, A.; Opekun, A.R.; Abudayyeh, S.; Graham, D.Y. Effect of different organic acids (citric, malic and ascorbic) onintragastric urease activity. Aliment. Pharmacol. Ther. 2005, 21, 1145–1148. [Google Scholar] [CrossRef]
- Afzal, S.; Ashraf, M.; Bukhsh, A.; Akhtar, S.; Rasheed, A.D. Efficacy of anti-microbial agents with ascorbic acid in catheter associated urinary tract infection. J. Infect. Dis. Prev. Med. 2017, 5, 3. [Google Scholar] [CrossRef]
- Verghese, R.J.; Ramya, S.R.; Kanungo, R. In vitro antibacterial activity of vitamin C and in combination with ciprofloxacin against uropathogenic Escherichia coli. J. Clin. Diagn. Res. 2017, 11, DC01–DC05. [Google Scholar] [CrossRef]
- Masadeh, M.M.; Mhaidat, N.M.; Alzoubi, K.H.; Al-Azzam, S.I.; Shaweesh, A.I. Ciprofloxacin-induced antibacterial activity is reversed by vitamin E and vitamin C. Curr. Microbiol. 2012, 64, 457–462. [Google Scholar] [CrossRef]
- Lin, T.-Y.; Weibel, D.B. Organization and function of anionic phospholipids in bacteria. Appl. Microbiol. Biotechnol. 2016, 100, 4255–4267. [Google Scholar] [CrossRef]
- Kaloyanides, G.J. Drug-phospholipid interactions: Role in aminoglycoside nephrotoxicity. Ren. Fail. 1992, 14, 351–537. [Google Scholar] [CrossRef]
- Yu, E.W.; Aires, J.R.; Nikaido, H. AcrB multidrug efflux pump of Escherichia coli: Composite substrate-binding cavity of exceptional flexibility generates its extremely wide substrate specificity. J. Bacteriol. 2003, 185, 5657–5664. [Google Scholar] [CrossRef]
- Bermingham, M.A.C.; Deol, B.S.; Still, J.L. Effect of streptomycin on lipid composition with particular reference to cyclic depsipeptide biosynthesis in Serratia marcescens and other microorganisms. Biochem. J. 1970, 119, 861–869. [Google Scholar] [CrossRef]
- Bishop, E.A.; Bermingham, M.A. Lipid composition of gram-negative bacteria, sensitive and resistant to streptomycin. Antimicrob. Agents Chemother. 1973, 4, 378–379. [Google Scholar] [CrossRef] [PubMed]
- Hussein, M.; Han, M.-L.; Zhu, Y.; Zhou, Q.; Lin, Y.-W.; Hancock, R.E.W.; Hoyer, D.; Creek, D.J.; Li, J.; Velkov, T. Metabolomics study of the synergistic killing of polymyxin B in combination with amikacin against polymyxin-susceptible and -resistant Pseudomonas aeruginosa. Antimicrob. Agents Chemother. 2019, 64, e01587-19. [Google Scholar] [CrossRef] [PubMed]
- Tao, Y.; Acket, S.; Beaumont, E.; Galez, H.; Duma, L.; Rossez, Y. Colistin treatment affects lipid composition of Acinetobacter baumannii. Antibiotics 2021, 10, 528. [Google Scholar] [CrossRef]
- Palusińska-Szysz, M.; Jurak, M.; Gisch, N.; Waldow, F.; Zehethofer, N.; Nehls, C.; Schwudke, D.; Koper, P.; Mazur, A. The human LL-37 peptide exerts antimicrobial activity against Legionella micdadei interacting with membrane phospholipids. Biochim. Biophys. Acta Mol. Cell Biol. Lipids 2022, 1867, 159138. [Google Scholar] [CrossRef]
- Khondker, A.; Bider, R.C.; Passos-Gastaldo, I.; Wright, G.D.; Rheinstädter, M.C. Membrane interactions of non-membrane targeting antibiotics: The case of aminoglycosides, macrolides, and fluoroquinolones. Biochim. Biophys. Acta Biomembr. 2021, 1863, 183448. [Google Scholar] [CrossRef] [PubMed]
- Cronan, J.E.; Thomas, J. Bacterial fatty acid synthesis and its relationships with polyketide synthetic pathways. Methods Enzymol. 2009, 459, 395–433. [Google Scholar] [CrossRef]
- Nowak, A.; Greń, I.; Mrozik, A. Changes in fatty acid composition of Stenotrophomonas maltophilia KB2 during co-metabolic degradation of monochlorophenols. World J. Microbiol. Biotechnol. 2016, 32, 198. [Google Scholar] [CrossRef]
- Mrozik, A.; Labuzek, S.; Piotrowska-Seget, Z. Whole cell-derived fatty acid profiles of Pseudomonas sp. JS150 during naphthalene degradation. Pol. J. Microbiol. 2005, 54, 137–144. [Google Scholar]
- Heipieper, H.J.; Weber, F.J.; Sikkema, J.; Keweloh, H.; de Bont, J.A.M. Mechanisms of resistance of whole cells to toxic organic solvents. Trends Biotechnol. 1994, 12, 409–415. [Google Scholar] [CrossRef]
- Kim, I.S.; Shim, J.H.; Suh, Y.T. Changes in membrane fluidity and fatty acid composition of Pseudomonas putida CN-T19 in response to toluene. Biosci. Biotechnol. Biochem. 2002, 66, 1945–1950. [Google Scholar] [CrossRef]
- Kumariya, R.; Sood, S.K.; Rajput, Y.S.; Saini, N.; Garsa, A.K. Increased membrane surface positive charge and altered membrane fluidity leads to cationic antimicrobial peptide resistance in Enterococcus faecalis. Biochim. Biophys. Acta Biomembr. 2015, 1848, 1367–1375. [Google Scholar] [CrossRef] [PubMed]
- Dunnick, J.K.; O’Leary, W.M. Correlation of bacterial lipid composition with antibiotic resistance. J. Bacteriol. 1970, 101, 892–900. [Google Scholar] [CrossRef] [PubMed]
- Bernat, P.; Siewiera, P.; Soboń, A.; Długoński, J. Phospholipids and protein adaptation of Pseudomonas sp. to the xenoestrogen tributyltin chloride (TBT). World J. Microbiol. Biotechnol. 2014, 30, 2343–2350. [Google Scholar] [CrossRef] [PubMed][Green Version]
- Bernat, P.; Nykiel-Szymańska, J.; Stolarek, P.; Słaba, M.; Szewczyk, R.; Różalska, S. 2,4-dichlorophenoxyacetic acid-induced oxidative stress: Metabolome and membrane modifications in Umbelopsis isabellina, a herbicide degrader. PLoS ONE 2018, 13, e0199677. [Google Scholar] [CrossRef]
- Stolarek, P.; Różalska, S.; Bernat, P. Lipidomic adaptations of the Metarhizium robertsii strain in response to the presence of butyltin compounds. Biochim. Biophys. Acta Biomembr. 2019, 1861, 316–326. [Google Scholar] [CrossRef]
- Słaba, M.; Gajewska, E.; Bernat, P.; Fornalska, M.; Długoński, J. Adaptive alterations in the fatty acids composition under induced oxidative stress in heavy metal-tolerant filamentous fungus Paecilomyces marquandii cultured in ascorbic acid presence. Environ. Sci. Pollut Res. 2013, 20, 3423–3434. [Google Scholar] [CrossRef]
- Kaźmierczak-Barańska, J.; Boguszewska, K.; Adamus-Grabicka, A.; Karwowski, B.T. Two faces of vitamin C-antioxidative and pro-oxidative agent. Nutrients 2020, 12, 1501. [Google Scholar] [CrossRef]
- Higson, F.K.; Kohen, R.; Chevion, M. Iron enhancement of ascorbate toxicity. Free Radic Res. Commun. 1988, 5, 107–115. [Google Scholar] [CrossRef]
- McCormick, M.L.; Buettner, G.R.; Britigan, B.E. Endogenous superoxide dismutase levels regulate iron-dependent hydroxyl radical formation in Escherichia coli exposed to hydrogen peroxide. J. Bacteriol. 1998, 180, 622–625. [Google Scholar] [CrossRef]
- Cross, J.B.; Currier, R.P.; Torraco, D.J.; Vanderberg, L.A.; Wagner, G.L.; Gladen, P.D. Killing of Bacillus spores by aqueous dissolved oxygen, ascorbic acid, and copper ions. Appl. Environ. Microbiol. 2003, 69, 2245–2252. [Google Scholar] [CrossRef]
- Zhuang, Q.-Q.; Deng, Q.; Bi, S.-B.; Chen, Q.-Q.; Peng, H.-P.; Deng, H.-H.; Xia, X.-H.; Chen, W. Bifunctional cupric oxide nanoparticle-catalyzed self-cascade oxidation reactions of ascorbic acid for bacterial killing and wound disinfection. Compos. B Eng. 2021, 222, 109074. [Google Scholar] [CrossRef]
- Kohanski, M.A.; Dwyer, D.J.; Collins, J.J. How antibiotics kill bacteria: From targets to networks. Nat. Rev. Microbiol. 2010, 8, 423–435. [Google Scholar] [CrossRef] [PubMed]
- Ye, J.-Z.; Su, Y.-B.; Lin, X.-M.; Lai, S.-S.; Li, W.-X.; Ali, F.; Zheng, J.; Peng, B. Alanine enhances aminoglycosides-induced ROS production as revealed by proteomic analysis. Front. Microbiol. 2018, 9, 29. [Google Scholar] [CrossRef] [PubMed]
- Kozłowski, H.; Kowalik-Jankowska, T.; Jeżowska-Bojczuk, M. Chemical and biological aspects of Cu2+ interactions with peptides and aminoglycosides. Coord. Chem. Rev. 2005, 249, 2323–2334. [Google Scholar] [CrossRef]
- Wang, A.-M.; Sha, S.-H.; Lesniak, W.; Schacht, J. Tanshinone (Salviae miltiorrhizae extract) preparations attenuate aminoglycoside-induced free radical formation in vitro and ototoxicity in vivo. Antimicrob. Agents Chemother. 2003, 47, 1836–1841. [Google Scholar] [CrossRef]
- Keithahn, C.; Lerchl, A. 5-Hydroxytryptophan is a more potent in vitro hydroxyl radical scavenger than melatonin or vitamin C. J. Pineal Res. 2005, 38, 62–66. [Google Scholar] [CrossRef]
- Koskimäki, J.J.; Kajula, M.; Hokkanen, J.; Ihantola, E.-L.; Kim, J.H.; Hautajärvi, H.; Hankala, E.; Suokas, M.; Pohjanen, J.; Podolich, O.; et al. Methyl-esterified 3-hydroxybutyrate oligomers protect bacteria from hydroxyl radicals. Nat. Chem. Biol. 2016, 12, 332–338. [Google Scholar] [CrossRef]
- Bennion, B.J.; Be, N.A.; McNerney, M.W.; Lao, V.; Carlson, E.M.; Valdez, C.A.; Malfatti, M.A.; Enright, H.A.; Nguyen, T.H.; Lightstone, F.C.; et al. Predicting a drug’s membrane permeability: A computational model validated with in vitro permeability assay data. J. Phys. Chem. B 2017, 121, 5228–5237. [Google Scholar] [CrossRef]
- Au, S.; Weiner, N.D.; Schacht, J. Aminoglycoside antibiotics preferentially increase permeability in phosphoinositide-containing membranes: A study with carboxyfluorescein in liposomes. Biochim. Biophys. Acta 1987, 902, 80–86. [Google Scholar] [CrossRef]
- Bambeke, F.V.; Mingeot-Leclercq, M.P.; Schanck, A.; Brasseur, R.; Tulkens, P.M. Alterations in membrane permeability induced by aminoglycoside antibiotics: Studies on liposomes and cultured cells. Eur. J. Pharmacol. 1993, 247, 155–168. [Google Scholar] [CrossRef]
- Hancock, R.E.; Farmer, S.W.; Li, Z.S.; Poole, K. Interaction of aminoglycosides with the outer membranes and purified lipopolysaccharide and OmpF porin of Escherichia coli. Antimicrob. Agents Chemother. 1991, 35, 1309–1314. [Google Scholar] [CrossRef] [PubMed]
- Bruni, G.N.; Kralj, J.M. Membrane voltage dysregulation driven by metabolic dysfunction underlies bactericidal activity of aminoglycosides. eLife 2020, 9, e58706. [Google Scholar] [CrossRef] [PubMed]
- Maloney, J.; Rimland, D.; Stephens, D.S.; Terry, P.; Whitney, A.M. Analysis of amikacin-resistant Pseudomonas aeruginosa developing in patients receiving amikacin. Arch. Intern. Med. 1989, 149, 630–634. [Google Scholar] [CrossRef] [PubMed]
- Hannesschlaeger, C.; Pohl, P. Membrane permeabilities of ascorbic acid and ascorbate. Biomolecules 2018, 8, 73. [Google Scholar] [CrossRef] [PubMed]
- EMC. Available online: https://www.medicines.org.uk/emc/product/3784/smpc (accessed on 27 June 2022).
- Labovitz, E.; Levison, M.E.; Kaye, D. Single-dose daily gentamicin therapy in urinary tract infection. Antimicrob. Agents Chemother. 1974, 6, 465–470. [Google Scholar] [CrossRef] [PubMed]
- Weatherburn, M.W. Phenol-hypochlorite reaction for determination of ammonia. Anal. Chem. 1967, 39, 971–973. [Google Scholar] [CrossRef]
- Lowry, O.H.; Rosenbrough, N.J.; Farr, A.L.; Randall, R.J. Protein measurement with the Folin phenol reagent. J. Biol. Chem. 1951, 193, 260–265. [Google Scholar] [CrossRef]
- Chan, K.; Wang, W.; Ledesma, K.R.; Yin, T.; Tam, V.H. A robust LC–MS/MS method for amikacin: Application to cellular uptake and pharmacokinetic studies. Bioanalysis 2020, 12, 445–454. [Google Scholar] [CrossRef]
- Sun, X.; Yang, Y.; Tian, Q.; Shang, D.; Xing, J.; Zhai, Y. Determination of gentamicin C components in fish tissues through SPEHypercarb-HPLC-MS/MS. J. Chromatogr. B 2018, 1093–1094, 167–173. [Google Scholar] [CrossRef]
- Słaba, M.; Różalska, S.; Bernat, P.; Szewczyk, R.; Piątek, M.A.; Długoński, J. Efficient alachlor degradation by the filamentous fungus Paecilomyces marquandii with simultaneous oxidative stress reduction. Bioresour. Technol. 2015, 197, 404–409. [Google Scholar] [CrossRef]
- Bligh, E.G.; Dyer, W.J. A rapid method of total lipid extraction and purification. Can. J. Biochem. 1959, 37, 911–917. [Google Scholar] [PubMed]
- Ichihara, K.; Fukubayashi, Y. Preparation of fatty acid methyl esters for gas-liquid chromatography. J. Lipid Res. 2010, 51, 635–640. [Google Scholar] [CrossRef] [PubMed]






| Strain | Culture | Quantified Compound | Concentration * | ||
|---|---|---|---|---|---|
| 0 h | 6 h | 24 h | |||
| Abiotic control | AK | 559.81 ± 5.53 | |||
| CN | 601.32 ± 2.51 | ||||
| AA | 3.40 ± 0.05 | 2.31 ± 0.01 | 0.020 ± 0.011 | ||
| ATCC 29906 | AA | AA | 3.41 ± 0.40 | 1.30 ± 0.03 | 0.003 ± 0.003 |
| AK + AA | AA | 0.98 ± 0.06 | 0.001 ± 0.001 | ||
| CN + AA | AA | 0.58 ± 0.03 | 0.005 ± 0.002 | ||
| C12 | AA | AA | 3.44 ± 0.18 | 1.97 ± 0.06 | BDL ** |
| AK + AA | AA | 0.37 ± 0.01 | BDL ** | ||
| CN + AA | AA | 1.16 ± 0.03 | BDL ** | ||
| ATCC 29906 Strain | C12 Strain | |||||||||||
|---|---|---|---|---|---|---|---|---|---|---|---|---|
| Phospholipid | Planktonic Cells | Adherent Cells | Planktonic Cells | Adherent Cells | ||||||||
| AA | AK | CN | AA | AK | CN | AA | AK | CN | AA | AK | CN | |
| PE 34:1 | * | * | * | * | ||||||||
| PE 30:0 | * | * | ||||||||||
| PE 32:0 | * | * | * | * | ||||||||
| PE 32:1 | * | * | ** | ** | * | * | ** | ** | ||||
| PE 32:2 | * | * | ||||||||||
| PE 33:1 | * | * | ** | * | * | ** | ||||||
| PE 34:0 | * | * | ** | * | * | ** | ||||||
| PE 34:2 | * | * | ||||||||||
| PE 36:0 | * | * | ** | ** | * | * | ** | ** | ||||
| PE 36:2 | ** | ** | ** | ** | ||||||||
| PE 37:2 | * | * | ||||||||||
| PE 38:2 | ||||||||||||
| PG 29:2 | ** | ** | ||||||||||
| PG 30:0 | * | * | ** | ** | ** | * | * | ** | ** | ** | ||
| PG 30:2 | * | * | ** | ** | * | * | ** | ** | ||||
| PG 31:2 | * | * | * | * | ||||||||
| PG 32:2 | * | * | ||||||||||
| PG 33:1 | * | * | ** | ** | * | * | ** | ** | ||||
| Phospholipid | ATCC 29906 Strain | C12 Strain | ||||||
|---|---|---|---|---|---|---|---|---|
| Planktonic Cells | Adherent Cells | Planktonic Cells | Adherent Cells | |||||
| AK +AA | CN +AA | AK +AA | CN +AA | AK +AA | CN +AA | AK +AA | CN +AA | |
| PE 34:1 | ||||||||
| PE 30:0 | ** | ** | ||||||
| PE 32:0 | ** | ** | ||||||
| PE 32:1 | * | ** | * | ** | ||||
| PE 32:2 | * | * | ||||||
| PE 33:1 | ** | ** | ||||||
| PE 34:0 | ||||||||
| PE 34:2 | * | ** | * | ** | ||||
| PE 36:0 | ** | ** | ||||||
| PE 36:2 | ||||||||
| PE 37:2 | * | ** | * | ** | ||||
| PE 38:2 | * | * | ||||||
| PG 29:2 | ||||||||
| PG 30:0 | ||||||||
| PG 30:2 | ** | ** | ||||||
| PG 31:2 | ||||||||
| PG 32:2 | * | ** | * | ** | ||||
| PG 33:1 | * | * | ||||||
| ATCC 29906 Strain | C12 Strain | |||||||||||
|---|---|---|---|---|---|---|---|---|---|---|---|---|
| Fatty Acid | Planktonic Cells | Adherent Cells | Planktonic Cells | Adherent Cells | ||||||||
| AA | AK | CN | AA | AK | CN | AA | AK | CN | AA | AK | CN | |
| C14:0 | ||||||||||||
| cis C16:1 | * | * | * | * | ||||||||
| C16:0 | ||||||||||||
| cy C17:0 | * | * | * | * | ||||||||
| cis C18:2 | * | * | * | * | ||||||||
| cis C18:1 | * | * | * | * | ||||||||
| C18:0 | ||||||||||||
| Fatty Acid | ATCC 29906 Strain | C12 Strain | ||||||
|---|---|---|---|---|---|---|---|---|
| Planktonic Cells | Adherent Cells | Planktonic Cells | Adherent Cells | |||||
| AK +AA | CN +AA | AK +AA | CN +AA | AK +AA | CN +AA | AK +AA | CN +AA | |
| C14:0 | ||||||||
| cis C16:1 | ||||||||
| C16:0 | ||||||||
| cy C17:0 | ||||||||
| cis C18:2 | ||||||||
| cis C18:1 | ||||||||
| C18:0 | ||||||||
Publisher’s Note: MDPI stays neutral with regard to jurisdictional claims in published maps and institutional affiliations. |
© 2022 by the authors. Licensee MDPI, Basel, Switzerland. This article is an open access article distributed under the terms and conditions of the Creative Commons Attribution (CC BY) license (https://creativecommons.org/licenses/by/4.0/).
Share and Cite
Stolarek, P.; Bernat, P.; Różalski, A. Combined Application of Aminoglycosides and Ascorbic Acid in the Elimination of Proteus mirabilis Rods Responsible for Causing Catheter-Associated Urinary Tract Infections (CAUTIs)—A Molecular Approach. Int. J. Mol. Sci. 2022, 23, 13069. https://doi.org/10.3390/ijms232113069
Stolarek P, Bernat P, Różalski A. Combined Application of Aminoglycosides and Ascorbic Acid in the Elimination of Proteus mirabilis Rods Responsible for Causing Catheter-Associated Urinary Tract Infections (CAUTIs)—A Molecular Approach. International Journal of Molecular Sciences. 2022; 23(21):13069. https://doi.org/10.3390/ijms232113069
Chicago/Turabian StyleStolarek, Paulina, Przemysław Bernat, and Antoni Różalski. 2022. "Combined Application of Aminoglycosides and Ascorbic Acid in the Elimination of Proteus mirabilis Rods Responsible for Causing Catheter-Associated Urinary Tract Infections (CAUTIs)—A Molecular Approach" International Journal of Molecular Sciences 23, no. 21: 13069. https://doi.org/10.3390/ijms232113069
APA StyleStolarek, P., Bernat, P., & Różalski, A. (2022). Combined Application of Aminoglycosides and Ascorbic Acid in the Elimination of Proteus mirabilis Rods Responsible for Causing Catheter-Associated Urinary Tract Infections (CAUTIs)—A Molecular Approach. International Journal of Molecular Sciences, 23(21), 13069. https://doi.org/10.3390/ijms232113069

