Combined Hybridization and Evaluation of High-Lysine Rice: Nutritional and Physicochemical Qualities and Field Performance
Abstract
1. Introduction
2. Results
2.1. Hybrid Breeding of High-Lysine Rice
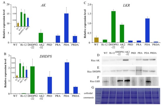
2.2. Molecular Identification of High-Lysine Pyramiding Lines
2.3. Rice AK2/DHDPS1 Significantly Increased the Lysine Content and Was Superior to Bacterial lysc/dapA in the Rice Endosperm
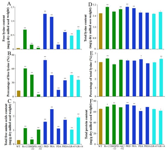
2.4. Effects of Lysine Enrichment on Other Amino Acids
2.5. Effect of Lysine Enrichment on the Physicochemical Quality of Milled Rice
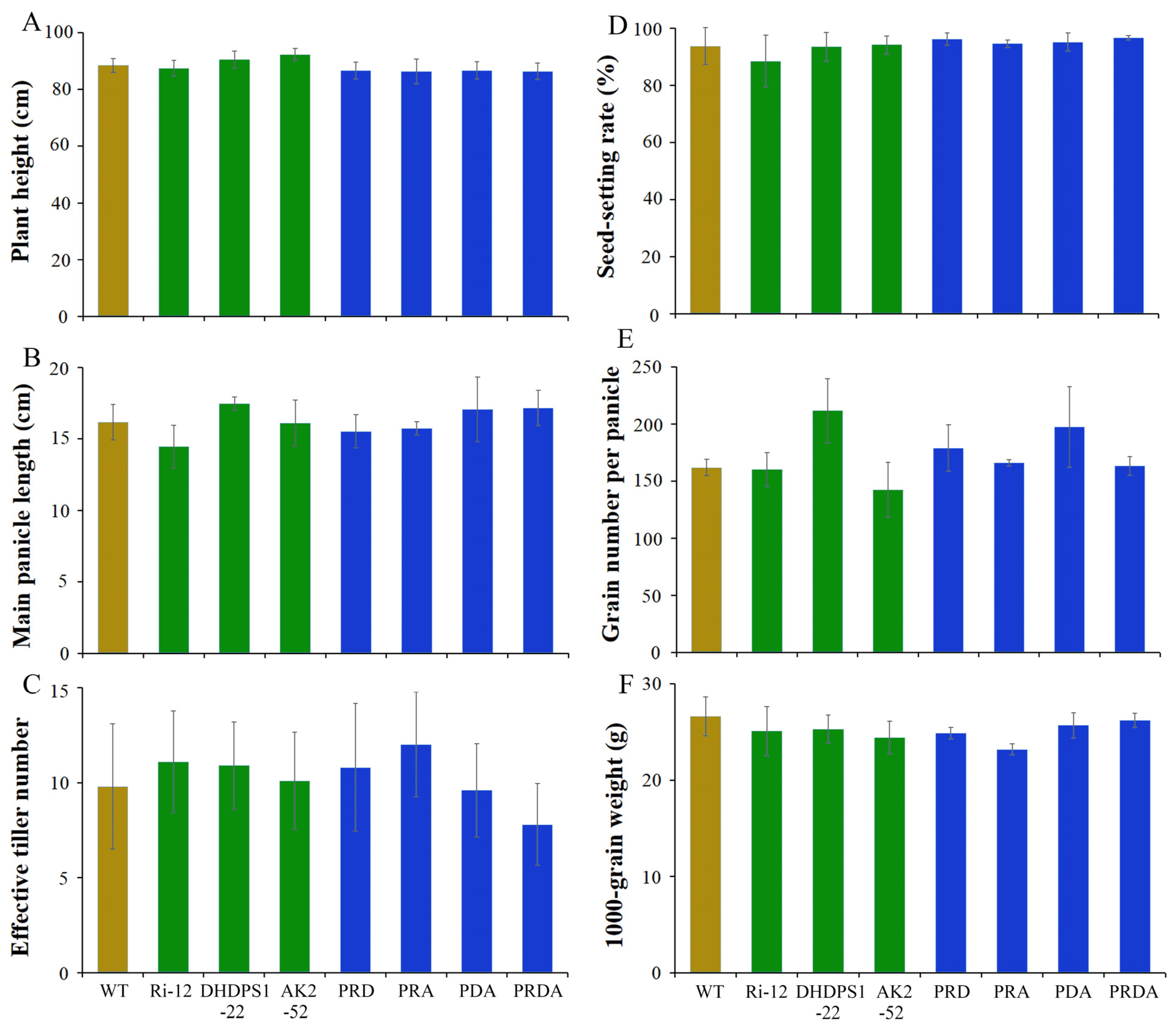
2.6. Field Agronomic Traits in the Transgenic Rice
3. Discussion
4. Materials and Methods
4.1. Experimental Materials
4.2. Quantitative RT-PCR and Western Blot Analysis
4.3. Composition and Quality Analysis of Seed Endosperm Compounds
4.4. Investigation of Field Agronomic Traits
4.5. Statistical Analysis
Supplementary Materials
Author Contributions
Funding
Institutional Review Board Statement
Informed Consent Statement
Data Availability Statement
Conflicts of Interest
References
- James, C. Global Status of Commercialized Biotech Crops for 2019 ISAAA; ISAAA: Ithaca, NY, USA, 2020; Available online: http://www.isaaa.org/resources/publications/briefs/55/default.asp (accessed on 30 November 2020).
- Kusano, M.; Yang, Z.; Okazaki, Y.; Nakabayashi, R.; Fukushima, A.; Saito, K. Using metabolomic approaches to explore chemical diversity in rice. Mol. Plant 2015, 8, 58–67. [Google Scholar] [CrossRef]
- Toride, Y. Lysine and other amino acids for feed: Production and contribution to protein utilization in animal feeding. In Proceedings of the Protein Sources for the Animal Feed Industry Fao Expert Consultation and Workshop, Bangkok, Thailand, 29 April–3 May 2002. [Google Scholar]
- Yang, Q.; Zhao, D.; Zhang, C.; Sreenivasulu, N.; Sun, S.-S.; Liu, Q. Lysine biofortification of crops to promote sustained human health in the 21st century. J. Exp. Bot. 2022, 73, 1258–1267. [Google Scholar] [CrossRef] [PubMed]
- Azevedo, R.-A.; Lea, P.-J. Lysine metabolism in higher plants. Amino Acids 2001, 20, 261–279. [Google Scholar] [CrossRef] [PubMed]
- Shaul, O.; Galili, G. Threonine overproduction in transgenic tobacco plants expressing a mutant desensitized aspartate kinase of Escherichia coli. Plant Physiol. 1992, 100, 1157–1163. [Google Scholar] [CrossRef] [PubMed]
- Galili, G.; Amir, R. Fortifying plants with the essential amino acids lysine and methionine to improve nutritional quality. Plant Biotechnol. J. 2013, 11, 211–222. [Google Scholar] [CrossRef]
- Matthews, B.-F. Lysine, threonine and methionine biosynthesis. In Plant Amino Acids: Biochemistry and Biotechnology; Singh, B.K., Ed.; Marcel Dekker Inc.: Ney York, NY, USA, 1999; pp. 205–225. [Google Scholar]
- Yang, Q.-Q.; Yu, W.-H.; Wu, H.-Y.; Zhang, C.-Q.; Sun, S.-S.; Liu, Q.-Q. Lysine biofortification in rice by modulating feedback inhibition of aspartate kinase and dihydrodipicolinate synthase. Plant Biotechnol. J. 2021, 19, 490–501. [Google Scholar] [CrossRef]
- Houmard, N.-M.; Mainville, J.-L.; Bonin, C.-P.; Huang, S.; Luethy, M.-H.; Malvar, T.-M. High-lysine corn generated by endosperm-specific suppression of lysine catabolism using RNAi. Plant Biotechnol. J. 2007, 5, 605–614. [Google Scholar] [CrossRef]
- Yang, Q.-Q.; Zhang, C.-Q.; Chan, M.-L.; Zhao, D.-S.; Chen, J.-Z.; Wang, Q.; Li, Q.-F.; Yu, H.-Y.; Gu, M.-H.; Sun, S.-S.-M.; et al. Biofortification of rice with the essential amino acid lysine: Molecular characterization, nutritional evaluation, and field performance. J. Exp. Bot. 2016, 67, 4285–4296. [Google Scholar] [CrossRef]
- Frizzi, A.; Huang, S.; Gilbertson, L.; Armstrong, T.; Luethy, M.; Malvar, T. Modifying lysine biosynthesis and catabolism in corn with a single bifunctional expression/silencing transgene cassette. Plant Biotechnol. J. 2008, 6, 13–21. [Google Scholar] [CrossRef]
- Lee, S.-I.; Kim, H.-U.; Lee, Y.; Suh, S.; Lim, Y.-P.; Lee, H.; Kim, H. Constitutive and seed-specific expression of a maize lysine-feed-back-insensitive dihydrodipicolinate synthase gene leads to increased free lysine levels in rice seeds. Mol. Breed. 2001, 8, 75–84. [Google Scholar] [CrossRef]
- Zhu, X.; Galili, G. Lysine metabolism is concurrently regulated by synthesis and catabolism in both reproductive and vegetative tissues. Plant Physiol. 2004, 135, 129–136. [Google Scholar] [CrossRef]
- Yang, Q.; Zhao, D.; Liu, Q. Connections between amino acid metabolisms in plants: Lysine as an example. Front. Plant Sci. 2020, 11, 928. [Google Scholar] [CrossRef]
- Stepansky, A.; Yao, Y.; Tang, G.; Galili, G. Regulation of lysine catabolism in Arabidopsis through concertedly regulated synthesis of the two distinct gene products of the composite AtLKR/SDH locus. J. Exp. Bot. 2005, 56, 525–536. [Google Scholar] [CrossRef]
- Hartmann, M.; Zeier, J. L-lysine metabolism to N-hydroxypipecolic acid: An integral immune-activating pathway in plants. Plant J. 2018, 96, 5–21. [Google Scholar] [CrossRef] [PubMed]
- Yang, Q.-Q.; Zhao, D.-S.; Zhang, C.-Q.; Wu, H.Y.; Li, Q.-F.; Gu, M.-H.; Sun, S.-S.; Liu, Q.-Q. A connection between lysine and serotonin metabolism in rice endosperm. Plant Physiol. 2018, 176, 1965–1980. [Google Scholar] [CrossRef] [PubMed]
- Xu, Y.; Jian, C.; Li, K.; Tian, Y.; Zhu, K.; Zhang, W.; Wang, W.; Wang, Z.; Yang, J. High ethylene level impedes amino acid biosynthesis in rice grains. Plant Growth Regul. 2022, 96, 51–65. [Google Scholar] [CrossRef]
- Zaheer, I.-E.; Ali, S.; Rizwan, M.; Bareen, F.; Abbas, Z.; Bukhari, S.-A.-H.; Wijaya, L.; Alyemeni, M.-N.; Ahmad, P. Zinc-lysine prevents chromium-induced morphological, photosynthetic, and oxidative alterations in spinach irrigated with tannery wastewater. Environ. Sci. Pollut. Res. Int. 2019, 26, 28951–28961. [Google Scholar] [CrossRef]
- Zaheer, I.E.; Ali, S.; Saleem, M.-H.; Imran, M.; Alnusairi, G.; Alharbi, B.-M.; Riaz, M.; Abbas, Z.; Rizwan, M.; Soliman, M.-H. Role of iron-lysine on morpho-physiological traits and combating chromium toxicity in rapeseed (Brassica napus L.) plants irrigated with different levels of tannery wastewater. Plant Physiol. Biochem. 2020, 155, 70–84. [Google Scholar] [CrossRef]
- Ali, S.; Mfarrej, M.-F.-B.; Hussain, A.; Akram, N.-A.; Rizwan, M.; Wang, X.; Maqbool, A.; Nafees, M.; Ali, B. Zinc fortification and alleviation of cadmium stress by application of lysine chelated zinc on different varieties of wheat and rice in cadmium stressed soil. Chemosphere 2022, 295, 133829. [Google Scholar] [CrossRef]
- Jeong, H.-J.; Jung, K.-H. Rice tissue-specific promoters and condition-dependent promoters for effective translational application. J. Integr. Plant Biol. 2015, 57, 913–924. [Google Scholar] [CrossRef]
- Long, X.; Liu, Q.; Chan, M.; Wang, Q.; Sun, S.-S. Metabolic engineering and profiling of rice with increased lysine. Plant Biotechnol. J. 2013, 11, 490–501. [Google Scholar] [CrossRef]
- Wang, W.; Xu, M.; Wang, G.; Galili, G. New insights into the metabolism of aspartate-family amino acids in plant seeds. Plant Reprod. 2018, 31, 203–211. [Google Scholar] [CrossRef]
- Azevedo, R.-A.; Arruda, P. High-lysine maize: The key discoveries that have made it possible. Amino Acids 2010, 39, 979–989. [Google Scholar] [CrossRef]
- Falco, S.-C.; Guida, T.; Locke, M.; Mauvais, J.; Sanders, C.; Ward, R.-T.; Webber, P. Transgenic canola and soybean seeds with increased lysine. Bio/Technology 1995, 13, 577–582. [Google Scholar] [CrossRef] [PubMed]
- Mahmoud, A.-A.; Sukumar, S.; Krishnan, H.-B. Interspecific rice hybrid of Oryza sativa x Oryza nivara reveals a significant increase in seed protein content. J. Agric. Food Chem. 2008, 56, 476–482. [Google Scholar] [CrossRef] [PubMed]
- Tonosaki, K.; Ono, A.; Kunisada, M.; Nishino, M.; Nagata, H.; Sakamoto, S.; Kijima, S.-T.; Furuumi, H.; Nonomura, K.-I.; Sato, Y.; et al. Mutation of the imprinted gene OsEMF2a induces autonomous endosperm development and delayed cellularization in rice. Plant Cell 2021, 33, 85–103. [Google Scholar] [CrossRef] [PubMed]
- Ghosh, D.; Brahmachari, K.; Skalický, M.; Roy, D.; Das, A.; Sarkar, S.; Moulick, D.; Brestič, M.; Hejnak, V.; Vachova, P.; et al. The combination of organic and inorganic fertilizers influence the weed growth, productivity and soil fertility of monsoon rice. PLoS ONE 2022, 17, e0262586. [Google Scholar] [CrossRef]
- Zhu-Shimoni, J.-X.; Galili, G. Expression of an arabidopsis aspartate Kinase/Homoserine dehydrogenase gene is metabolically regulated by photosynthesis-related signals but not by nitrogenous compounds. Plant Physiol. 1998, 116, 1023–1028. [Google Scholar] [CrossRef][Green Version]
- Schulze, S.; Westhoff, P.; Gowik, U. Glycine decarboxylase in C3, C4 and C3-C4 intermediate species. Curr. Opin. Plant Biol. 2016, 31, 29–35. [Google Scholar] [CrossRef]
- Wong, H.-W.; Liu, Q.; Sun, S.-S. Biofortification of rice with lysine using endogenous histones. Plant Mol. Biol. 2015, 87, 235–248. [Google Scholar] [CrossRef]
- Livak, K.-J.; Schmittgen, T.-D. Analysis of relative gene expression data using real-time quantitative PCR and the 2(-Delta Delta C(T)) Method. Methods 2001, 25, 402–408. [Google Scholar] [CrossRef]
- Zhu, L.-J.; Liu, Q.-Q.; Sang, Y.-J.; Gu, M.-H.; Shi, Y.-C. Underlying reasons for waxy rice flours having different pasting properties. Food Chem. 2010, 120, 94–100. [Google Scholar] [CrossRef]
- Zhang, C.; Zhu, L.; Shao, K.; Gu, M.; Liu, Q. Toward underlying reasons for rice starches having low viscosity and high amylose: Physiochemical and structural characteristics. J. Sci. Food Agric. 2013, 93, 1543–1551. [Google Scholar] [CrossRef] [PubMed]






Publisher’s Note: MDPI stays neutral with regard to jurisdictional claims in published maps and institutional affiliations. |
© 2022 by the authors. Licensee MDPI, Basel, Switzerland. This article is an open access article distributed under the terms and conditions of the Creative Commons Attribution (CC BY) license (https://creativecommons.org/licenses/by/4.0/).
Share and Cite
Ye, Y.; Tan, Y.; Meng, Y.; You, Q.; Zhao, D.; Yang, Q. Combined Hybridization and Evaluation of High-Lysine Rice: Nutritional and Physicochemical Qualities and Field Performance. Int. J. Mol. Sci. 2022, 23, 12166. https://doi.org/10.3390/ijms232012166
Ye Y, Tan Y, Meng Y, You Q, Zhao D, Yang Q. Combined Hybridization and Evaluation of High-Lysine Rice: Nutritional and Physicochemical Qualities and Field Performance. International Journal of Molecular Sciences. 2022; 23(20):12166. https://doi.org/10.3390/ijms232012166
Chicago/Turabian StyleYe, Ying, Yan Tan, Yuquan Meng, Qi You, Dongsheng Zhao, and Qingqing Yang. 2022. "Combined Hybridization and Evaluation of High-Lysine Rice: Nutritional and Physicochemical Qualities and Field Performance" International Journal of Molecular Sciences 23, no. 20: 12166. https://doi.org/10.3390/ijms232012166
APA StyleYe, Y., Tan, Y., Meng, Y., You, Q., Zhao, D., & Yang, Q. (2022). Combined Hybridization and Evaluation of High-Lysine Rice: Nutritional and Physicochemical Qualities and Field Performance. International Journal of Molecular Sciences, 23(20), 12166. https://doi.org/10.3390/ijms232012166
