Abstract
Triterpenic compounds stand as a widely investigated class of natural compounds due to their remarkable therapeutic potential. However, their use is currently being hampered by their low solubility and, subsequently, bioavailability. In order to overcome this drawback and increase the therapeutic use of triterpenes, cyclodextrins have been introduced as water solubility enhancers; cyclodextrins are starch derivatives that possess hydrophobic internal cavities that can incorporate lipophilic molecules and exterior surfaces that can be subjected to various derivatizations in order to improve their biological behavior. This review aims to summarize the most recent achievements in terms of triterpene:cyclodextrin inclusion complexes and bioconjugates, emphasizing their practical applications including the development of new isolation and bioproduction protocols, the elucidation of their underlying mechanism of action, the optimization of triterpenes’ therapeutic effects and the development of new topical formulations.
1. Introduction
According to the World Health Organization (WHO) [1,2], chronic, non-transmittable conditions, such as cancer, hypertension, diabetes, stroke, chronic obstructive pulmonary disease, Alzheimer’s disease, renal abnormalities [3], etc., account for over 60% of deaths worldwide; the other 40% are represented by transmissible conditions such as lower tract respiratory pathologies, diarrheal diseases, tuberculosis and neonatal conditions. Despite the vast existing therapeutic arsenal, there are several diseases [4,5] without an efficient cure available as well as patients who do not respond to current therapies.
Plants or plant organs have been employed since ancestral times as treatment for various diseases, with mixtures of various medicinal plants being the primordial medicines used by humans. This approach has not undergone substantial changes over the years and today, according to WHO, around 80% of the earth’s population still mainly uses plant-derived remedies despite the massive advance in chemically synthetic drugs [6]. Nowadays, medicinal plants are extensively investigated for the development of new therapeutic agents due to their complex composition. However, current drug development requires the use of purified active compounds in order to ensure the reproducibility of the therapeutic outcome [7]. Secondary metabolites, such as triterpenes and their derivatives, are frequently used in drug development due to their proven biological activities with potential applications in the treatment of several diseases, including cancer [8].
Cyclodextrins (CDs) are compounds of natural origin, derived from starch and frequently used in the pharmaceutical field as drug carriers and excipients for the formulations of numerous bioactive compounds [9]. Their high biocompatibility and low toxicity has allowed for the development of several available formulations aimed for the topical, nasal, oral and parenteral delivery of active drugs, and even more formulations are currently undergoing the development process [10].
The literature regarding the use of cyclodextrins associated with triterpenic compounds is vast and complex; however, to the best of our knowledge, there are a limited number of reviews [11,12] dedicated to the applications of cyclodextrins-triterpenes inclusion complexes or conjugates in drug development. This paper aims to summarize the most important achievements made in the last decade in this field, emphasizing the main practical applications.
2. Triterpenic Compounds—Classification and Biological Activities
Triterpenes form a versatile class of compounds with over 30,000 representatives that have been isolated from both prokaryotic and eukaryotic cells, in particular from vegetal sources. The terms “triterpenes” and “triterpenoids” are both used to describe the same class of isoprene derivatives with 30 carbon atoms; however, the term “triterpene” generally refers to natural compounds isolated from plants, while “triterpenoids” indicate the compounds obtained through triterpenes’ natural degradation or semisynthetic structural modulation [13].
Triterpenes can be classified as acyclic and cyclic compounds, according to the presence of cycles in their structure; cyclic triterpenes are in turn classified according to the number of cycles in monocyclic, bicyclic, tricyclic, tetracyclic and pentacyclic compounds [14]. Of these, pentacyclic triterpenes are the most thoroughly investigated due to their multitude of biological actions such as anticancer, anti-inflammatory, antioxidant, antiviral and antidiabetic effects [15].
Studies conducted on pentacyclic triterpenes have shown their low absorption from plant products at the intestinal level [16] caused by their hydrophobic structure that significantly reduces their bioavailability and therapeutic effect [17]. Many formulation strategies have been developed to overcome this drawback, including the use of cyclodextrins, liposomes, nano-emulsions and nanoparticles [12]. Several biologically relevant triterpenic compounds included in CDs formulations in the last decade as well as their previously reported therapeutic effects are presented in Table 1. The previously and ongoing large body of work undertaken for the investigation of triterpenes has highlighted several biological activities related to these compounds, including anticancer, anti-inflammatory, antioxidant and antimicrobial effects, while new biological activities including antidiabetic, antiosteoporotic and neuroprotective activities are currently under evaluation.
Table 1.
Biological activities of triterpenic compounds.
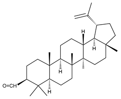
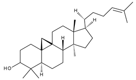
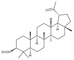
Triterpenic saponins are natural amphiphilic compounds that possess a lipophilic aglycon with triterpenic structure and a hydrophilic component consisting of two to five sugar units in their structure; the two components are linked by one or two glycosidic bonds [60]. The saponin derivatives discussed in this paper are depicted in Figure 1.
Figure 1.
The chemical structure of several triterpenic saponins: Asiaticoside (24), Madecassoside (25), Pedunculoside (26), Azukisaponin V (27), Momordicoside K (28), Momordicoside L (29), Soyasaponin I (30), Saikosaponin-D (31), Bersimoside I (32), Bersimoside II (33) and Glycyrrhizic acid (34).
3. Cyclodextrins—Classification and Physicochemical Properties
Cyclodextrins (CDs) are a class of natural compounds, obtained through the enzymatic hydrolysis of starch, intensely used in recent decades in the development of new therapeutic, cosmetic and nutraceutical formulations. Their structure consists of several glucose units connected by α-(1–4)-glycosidic bonds, which induce the formation of a hydrophobic internal cavity and a hydrophilic outer surface, in the form of a truncated cone. The internal cavity of CDs allows for the incorporation of hydrophobic compounds with a suitable molecular size [61].
CDs can be divided into two main classes: natural CDs, namely α, β and γ-CD (Figure 2), and semisynthetic CDs obtained through the derivatization of the hydroxyl residues using various groups. Depending on the groups grafted to the CDs surface, the obtained derivatives possess several advantages such as increased inclusion capacity for certain compounds, superior water solubility (HP-β-CD) or lipophilicity (Methyl-β-CD) [62].
Figure 2.
Structures of native cyclodextrins.
When administered orally, native cyclodextrins are absorbed in small amounts from the gastrointestinal tract and are eliminated unchanged through the urinary tract, resulting in low toxicity at low-to-moderate doses. Following parenteral administration, β-CD induces nephrotoxicity due to its low water solubility, which hampers its parenteral use. As a rule, hydrophilic CDs derivatives are generally well tolerated after oral and parenteral administration, producing only minor side effects such as diarrhea; in contrast, lipophilic CDs have been shown to have toxic effects due to their increased gastrointestinal absorption; therefore, their administration being currently limited [63].
Because CDs are versatile structures, industrially obtained through simple processes that allow for the synthesis of products with superior analytical purity, they have been successfully used in multiple fields, including the pharmaceutical practice in order to obtain complexes with plant extracts [64], essential oils [65] and also pure compounds of natural or synthetic origin [66]. The incorporation of lipophilic compounds into CDs is the most frequent approach to improve the solubility and bioavailability of such compounds [67].
The inclusion complexes formed by CDs with various drugs possess several advantages over the original compound, such as the following: improved solubility (Table 2), stability and bioavailability; the reduction of unpleasant organoleptic characteristics; the prevention of interactions with other drugs or excipients; and the modified or controlled release of the compound [68]. Recently, a new strategy designed to improve drug bioavailability and biological activity is the synthesis of new CDs’ active compound bioconjugates by the chemical modulation of the hydroxyl groups situated on the CDs’ exterior surface [69].
Table 2.
Physicochemical and toxicological properties of CDs.
4. Inclusion Complexes with Triterpenes—Methods of Preparation and Characterization
The literature describes numerous techniques that can be used to form inclusion complexes, the selected procedure depending firstly on the available equipment (i.e., mortar and pestle, grinder, mill) and secondly on the process parameters such as temperature, water amount in the environment, mixing time and drying conditions [76]. The preparation methods of inclusion complexes can be classified into three main categories according to the components’ state of aggregation at the time of preparation: solid state (physical mixing and grinding), semi-solid state (kneading, slurry-complexation) and liquid state methods (coprecipitation, spray drying, lyophilization) [77].
Several preparation methods were used in the development of CD inclusion complexes with triterpenic compounds or plant extracts containing triterpenic compounds, as displayed in Table 3 and Table 4. The most commonly used complexation method is the low-cost and simple kneading procedure, consisting in the treatment of suitable mixed amounts of the guest molecule and CD with a small quantity of water and/or ethanol; at the laboratory scale, this method can be easily applied using a mortar and pestle, while at a larger industrial scale, extruders are required [78]. However, the most advantageous methods for the solvent removal used in the liquid and semi-solid state preparation of CDs are the lyophilization and spray-drying methods. Lyophilization consists of mixing the CD and guest compound in a liquid medium followed by a freeze-drying process and can be successfully employed for thermosensitive guests with a good yield of complexation. The spray-drying method can also be applied to a liquid mixture of CD and guest compound by using a spray-dryer; because temperatures of 50–70 °C can be reached inside the equipment, this method is only appropriate for thermostable compounds [79].
Table 3.
Methods of preparation for cyclodextrin inclusion complexes with triterpenic compounds.
Table 4.
Methods of preparation of cyclodextrin inclusion complexes with plant extracts containing triterpenic compounds.
The validation of the inclusion phenomenon together with the determination of the complex stability constant, Kc, represent important steps in the development and characterization of new inclusion complexes with therapeutic value. A multitude of analytical methods can be employed in the characterization of such complexes, mainly depending on the state of aggregation, solid or liquid, of the analyzed sample. Recently, two well-documented papers regarding the techniques used in the characterization of solid [96] and liquid (aqueous) [97] CD inclusion complexes were published; Figure 3 displays an overview of the most frequently used analytical methods in the assessment of inclusion complexes.
Figure 3.
An overview of the methods used to characterize inclusion complexes in solid and liquid state (differential scanning calorimetry (DSC), thermogravimetric analysis (TGA), hot-stage microscopy (HSM), single-crystal X-ray diffraction (SCXRD), powder X-ray diffraction (PXRD), Fourier-transform infrared (FT-IR) spectroscopy, attenuated total reflectance (ATR)-FTIR spectroscopy, nuclear magnetic resonance (NMR) and electron spin resonance (ESR)).
A method that is gaining popularity in this field is represented by Density Functional Theory (DFT), a computational method used to predict the structure of the inclusion complex by enabling the calculation of Gibbs free energy, enthalpy and entropy [98]. This method offers a more efficient alternative to determine the optimal CD for a particular triterpenic compound by saving valuable material resources and time.
As an example, the affinity capillary electrophoresis was used for the determination of the Kc values for three inclusion complexes (1:1 molar ratio) between HP-γ-CD and several hydrosoluble Bet derivatives: betulin 3,28-diphthalate (DPhB), betulin 3,28-disuccinate (DScB), betulin 3,28-disulfate (DSB) and betulin 3-acetate-28-sulfate (ASB), respectively; the results showed superior water solubility and stability to the inclusion complexes formed with pure Bet, as quantified by the increased log Kc values as shown in Table 5 [24,25].
Table 5.
Kc values of inclusion complexes between HP-γ-CD and Bet derivatives.
An interesting strategy to highly improve the solubility of triterpenic compounds is the use of Nicotiana tabacum (Solanaceae) and Catharanthus roseus (Apocynaceae) cells as biotransformation centers; thus, three BoA derivatives with therapeutic potential were metabolized into compounds with superior water solubility. However, inclusion complexes with HP-γ-CD had to be obtained in order to solubilize the initial compounds in the hydrophilic culture medium (50).
There are various types of CDs available for the entrapment of triterpenic compounds, including β-CD derivatives (Figure 4); finding the optimal CD for the incorporation of a particular biologically active triterpene is essential in the design and development of new effective therapeutic alternatives. Following the complexation of compound K, a triterpenoid isolated from Panax ginseng, with β-CD and γ-CD, respectively, it was found that γ-CD is the most suitable host for its incorporation, leading to much higher solubility and stability enhancement compared to β-CD [100]. Ramos et al. studied the complexes formed by aescin, a mixture of triterpenic saponins extracted from the seeds of Aesculus hippocastanum (Hippocastanaceae), where β-aescin is the main component and represents a mixture of aescin Ia and Ib; its inclusion in β-CD and γ-CD was hypothesized to increase the bioavailability of the active compounds. Aescin formed 1:1 and 1:2 complexes with γ-CD and β-CD, respectively, thus suggesting that the larger γ-CD cavity may better accommodate the aescin molecule [101].
Figure 4.
Chemical structure of β-CD derivatives: “n” denominates the glucopyranose ring/rings where the indicated functional groups are grafted.
A number of factors can influence the process of formation as well as the stability of triterpene inclusion complexes with various CDs. The study conducted by Lopez-Miranda et al. showed that for OA and MA, complexes formed with native β-CD, exhibit superior stability to those obtained with HP-β-CD, γ-CD and HP-γ-CD, respectively. Additionally, the temperature increase during preparation (t = 65 °C) together with an alkaline pH (pH = 9), which favors acid ionization, thus promoting bond formation with the CD hydrophobic cavity, induce an increased stability of the formed complexes [83].
The inclusion of a compound inside CDs is not necessarily the optimal formulation for all compounds and cannot guarantee an increased bioavailability. For instance, complexation of koetjapic acid with HP-β-CD in various molar ratios (1:2, 1:4, 1:6) only slightly improved the water solubility of the compound; by contrast, the conversion of the compound in its potassium salt led to a 65-fold higher aqueous solubility compared to the CD complexation (30). Modified CDs were synthesized in order to improve the stability of various inclusion complexes; however, they can also exert a negative influence on the complex formation and stability. The presence of the hydroxypropyl group is not always beneficial in the formation of triterpene complexes, as in the case of BA and BoA, which were not able to form inclusion complexes with HP-β-CD, probably due to the reduced size of the β-CD hydrophobic cavity caused by the hydroxypropyl group [102].
5. Applications of Triterpene: Cyclodextrin Inclusion Complexes in the Pharmaceutical Field
The main goal in pharmaceutical research is the development of effective and well-tolerated drugs; a current strategy in this field is the use of natural-origin compounds, such as triterpenes, as scaffolds for the development of new therapeutic alternatives [103]. Many research groups are currently working towards this goal [104], starting from the early stages of drug development—identification, isolation, structural optimization and in vitro/in vivo testing of the active drug—to the more advanced stages of establishing the underlying mechanism of action and developing clinical trials. CDs have been successfully employed in several stages of this process for the development of new therapeutic agents with triterpenic structure as illustrated below (Figure 5).
Figure 5.
An overview of the applications of CD–triterpenic compounds’ inclusion complexes and conjugates in the pharmaceutical field.
5.1. Development of New Protocols for the Separation and Isolation of Triterpenic Compounds
Plants contain a great diversity of compounds with different physicochemical properties and therapeutic potential [105]. The separation of compounds with similar structures or properties from the total extract is generally difficult and requires a complex working protocol [106]; therefore, the development of new, fast and efficient separation techniques continues to be highly relevant.
The development of a HPLC protocol allowed for the separation of the two triterpenic isomers, OA and UA, that differ from one another by the position of a single methyl group, which makes their separation very difficult. The addition of γ-CD to the mobile phase increased the solubility of the triterpenic acids in the eluent and reduced the column retention time, thus increasing their separation selectivity. Following the use of α-CD and β-CD, the separation of the compounds did not occur, presumably due to either the small size of the CD cavity that does not allow for the incorporation of such molecules or the low stability of the formed complexes, which prevents their detection in solution [107]. A significant issue is the selection of native or semisynthetic CDs to be used as additives to the mobile phase in order to achieve the best separation parameters; Wang et al. [108,109] assessed the effectiveness of several CDs, both native and semisynthetic, in the separation of five triterpenic compounds with anti-inflammatory and antioxidant properties extracted from Centella asiatica (Apiaceae). The authors developed a HPLC protocol with isocratic dilution where various CDs were added to the mobile phase, which allowed for the simultaneous separation in a time-effective manner of two triterpenic acids, madecassic and asiatic acid, and three triterpenic glycosides, asiaticoside B, madecassoside and asiaticoside. The significant difference in polarity between triterpenic acids and triterpene glycosides makes their separation highly difficult; the addition of CDs in the mobile phase induced the formation of inclusion complexes, which significantly altered triterpenes’ retention time. However, the nature of the cyclodextrin was revealed as essential: while γ-CD was able to achieve the separation of all five triterpenoids, α-CD, β-CD and β-CD derivatives were effective only for the elution of triterpene glycosides, which can form hydrogen bonds with the glucose residues of the cyclodextrins. The triterpenic acids could be eluated only in the presence of γ-CD, which not only enabled their separation, but also sharply decreased their retention times presumably due to the formation of inclusion complexes. These findings were corroborated with the determination of the apparent formation constants, which depend on the nature of both triterpene and cyclodextrin; for the triterpene glycosides, larger values were recorded for native CDs compared to their hydrophilic semisynthetic derivatives presumably due to the presence of substituent groups on the CD’s chain, which might prevent the formation of inclusion complexes. For the two triterpenic acids, large formation constants were reported with γ-CD due to their fitted accommodation inside the CD’s cavity and the formation of a stable inclusion complex. Capillary electrophoresis (CE) is a separation technique conducted in a capillary tube and based on the differentiated migration of the ionic charged components of a mixture under the influence of an electric field [110]. This method exhibits a series of advantages that support its wide use, such as time effectiveness, low solvent consumption and high-resolution separation even for stereoisomers [111]. Using the CE method, the simultaneous separation of two pairs of diastereomers triterpenic saponins from Trifolium alexandrinum, namely soyasaponin I, azukisaponin V, bersimoside I and bersimoside II, was achieved by using a dual mechanism that involves the addition of β-CD to the borate buffer solution [112]; saponins were included in the CD cavity, thus achieving a very effective separation characterized by high resolution, repeatability and detection limits.
The CE method also allowed for the simultaneous identification of three isomers with pentacyclic triterpenic structure, BA, OA and UA, from the Forsythia suspensa fruit, a plant commonly used in traditional Chinese medicine, by adding CDs to the buffer solution in order to act as isomer modifiers. However, the study reported that of all tested CDs, namely α-CD, β-CD, γ-CD and methyl-β-CD, the separation of the three isomers was achieved only in the presence of β-CD; moreover, the resolution highly depended on the β-CD concentration as well as the stability constants of the resulting inclusion complexes [113].
High-speed countercurrent chromatography (HSCCC) is a separation method based on the principle of liquid–liquid partition, which has been used in multiple separations of natural compounds since 1898 [114]. β-CD was added to the mobile phase in an HSCCC protocol in order to separate two isomeric triterpenes, MA and corosolic acid, extracted from the leaves of Eriobotrya japonica (Rosaceae) and differentiated by the position of a single methyl group. The addition of β-CD allowed for the recovery of the two triterpenes in a yield of over 90% from the plant extract [115]. Another study reported the high-resolution separation by HSCCC of the two isomeric triterpenes, OA and UA, extracted from Eriobotrya japonica, by adding HP-β-CD to the mobile phase in order to form inclusion complexes with the two compounds, respectively. [116].
Molecularly Imprinted Solid-Phase Extraction is a technique that consists in creating a polymer template for compounds of interest from a complex mixture, such as plant extracts. This is a highly selective separation method that can be customized for the isolation of a unique compound of interest [117]. The method was successfully used to isolate glycyrrhizic acid (GA) from a licorice roots aqueous extract by using a polymeric matrix formed of methacrylic acid and a modified CD, bismethacryloyl-β-CD (BM-β-CD), both acting as functional monomers [118]. The authors reported that the aromatic rings of the phytocompound were accommodated inside the CD monomer, leaving the polar carboxylic group outside the cavity; the addition of the second monomer, methacrylic acid, lead to the formation of hydrogen bonds with the free carboxylic moiety. Overall, the polymer matrix exhibited high-adsorption ability and fast binding kinetics for the phytocompound, thus enabling its extraction from licorice roots with optimized yields in an aqueous environment.
Collectively, multiple techniques including HPLC, CE, HSCC and Molecularly Imprinted Solid-Phase Extraction can be successfully employed in the isolation and separation of triterpenic compounds from vegetal mixtures; the addition of various CDs, both native and semisynthetic, may lead to improved yields in a time-efficient manner and may allow for the separation of isomeric compounds, a goal difficult to achieve by conventional procedures. The successful outcome of the applied analytical protocol greatly depends on several parameters including the nature and concentration of both active compounds and cyclodextrins. Future research should focus on the feasibility of applying these techniques on a larger scale in order to contribute to the development of pharmaceutical analysis.
5.2. Increasing the Bioproduction of Triterpenic Compounds
Nowadays, one can notice an increasing interest in the development of new sustainable and environment-friendly production methods of valuable secondary metabolites from plants and modified microorganisms that can be used as new therapeutic alternatives [119]. Some methods involve the use of elicitors, substances that can stimulate the biosynthesis of certain secondary metabolites. CDs are considered true elicitors as a result of their ability to facilitate the biosynthesis of bioactive compounds such as silymarin [120], trans-resveratrol [121] and taxol [122]; they also can favor the excretion of hydrophobic compounds, such as triterpenic compounds, through cell membranes.
A culture of Saccharomyces cerevisiae has been genetically modified in order to produce an antitumor triterpenoid derived from ganoderic acid, namely ganoderic acid 3-hydroxy-lanosta-8,24-dien-26-oic acid (GAN-HLDOA). The yeast cells are not naturally able to excrete the newly synthesized triterpenoid; this drawback was solved by the addition of cyclodextrins to the culture medium, which were able to capture the triterpenoid through the pores of the cell membrane without penetrating and influencing the intracellular environment. Of the five tested cyclodextrins, the three native cyclodextrins, α, β and γ, and the two β-CD derivatives, 2-hydroxypropyl-b-cyclodextrin (HP-β-CD) and 2,6-dimethyl-b-cyclodextrin (DM-β-CD), the β-CD derivatives achieved superior results probably due to the larger size of their hydrophobic cavities as well as to the positive influence of the hydroxypropyl and dimethyl groups on the stability of the formed complexes [123]. Similar results that emphasize the superior effect of semisynthetic CDs over native CDs on the bioproduction of triterpenic compounds were obtained from the evaluation of a genetically optimized culture of Saccharomyces cerevisiae able to produce β-hydroxy-amyrin. In brief, the three native CDs and the semisynthetic methyl-β-CD derivative, respectively, were added to the culture medium, in order to facilitate the triterpenoid excretion from the yeast cells without altering their cell membranes. As previously reported for GAN-HLDOA, the highest amount of β-hydroxy-amyrin was obtained by using methyl-β-CD, which exhibited optimal size and lipophilicity of the inner cavity, thus allowing for the formation of a stable inclusion complex [124].
Taraxasterol and taraxerol are two oleane-type pentacyclic triterpenes with well-recognized anticancer properties; it was reported that β-CD proved to be more effective than methyl jasmonate as a stimulating agent for the production of the two triterpenes by a plant cell culture obtained from the root of Taraxacum officinale (Asteraceae), thus providing a suitable alternative to the current production methods [125]. These findings were endorsed by several other studies; as such, Briceño et al. reported the superior elicitor properties of CDs (Cavasol®) over methyl jasmonate for the production of taraxasterol by a Solanum lycopersicum (Solanaceae) cell culture [126], while Commault et al. developed a method to isolate triterpenic compounds with therapeutic potential from Chlamydomonas reinhardtii (Chlamydomonadaceae), a single-cell green alga, by adding methyl jasmonate and methyl-β-CD, respectively, to the culture medium; the authors reported the accumulation of cycloartenol in the intracellular environment as a result of methyl-β-CD addition. In addition, the β-CD derivative did not influence the growth of algae cells; moreover, when methyl-β-CD and methyl jasmonate were added together to the culture medium, the CD simultaneously reduced the side effects produced by methyl jasmonate, such as increased oxidative stress, inhibition of cell growth and alteration of the photosynthesis process [127].
Collectively, although plant sources are currently considered the etalon of renewable resources for now, the use of genetically modified bacteria and plant cell cultures has started to gain the attention of the scientific community due to optimized time effectiveness and reproducibility. However, this area is rather poorly explored at the moment for triterpenic compounds; therefore, future research should be carried out in order to develop methods for the biosynthesis of other triterpenic compounds, in particular those in high demand for the development of new therapeutic alternatives such as BA and OA.
5.3. Increasing the Therapeutic Effect of Triterpenic Compounds
CDs are usually considered inert excipients that enhance the biological activities of associated compounds by increasing their water solubility and bioavailability and protecting them from the degrading effects exerted by external factors such as oxygen, heat and visible and ultra-violet light; all these mechanisms increase the quantity of compounds that reach their biologic target, thus increasing their therapeutic effects (Table 6 and Table 7) [128].
A frequently mentioned hypothesis regarding the activity of medicinal plants is that total or partial vegetal extracts exert superior biological effects to individual compounds [129] due to the synergism of action between the various mixed compounds. This hypothesis was validated for the Hypericum perforatum (Hypericaceae) extract [130] and also tested for numerous medicinal plants [131,132], including plants containing triterpenic compounds.
As such, the synergism of action was tested for mistletoe, which contains two classes of compounds with proven cytotoxic action, namely lipophilic triterpenic acids (OA and BA) and hydrophilic lectins. Due to the different solubilities of these compounds, in order to assess the presence of their in vitro synergistic effects, the incorporation of the triterpenic acids into an aqueous solution was conducted by using 2-HP-β-CD as a solubility enhancer. The cytotoxicity of the mistletoe extracts, both simple (containing either triterpenes or lectins, respectively) and combined (containing a mixture of triterpenes and lectins in the presence of HP-β-CD) was tested on three cell lines, NALM-6 (Acute Lymphoblastic Leukemia) [90], HL-60 (Acute Myelogenous Leukemia) [91] and TC-71 (Ewing’s Sarcoma) [133]; when compared to simple extracts, all studies reported superior synergistic cytotoxic effects for the combined active compounds, the combination being enabled by the presence of the hydrophilic CD, which allowed for the water solubilization of the lipophilic triterpenes.
In a similar study, OA was combined with its isomer, UA, in order to assess their synergistic in vitro and in vivo cytotoxic activity against melanoma as well as the influence of cyclodextrin complexation on the cytotoxicity of both individual compounds as well as their combination; the results validated the occurrence of synergistic effects between the two acids and a slight improvement of cytotoxicity in the presence of HP-γ-CD, presumably due to its ability to increase the aqueous solubility of the two triterpenic compounds, [86] thus endorsing the previously reported study in terms of using CDs as solubility enhancers. The cytotoxicity assessment of several cyclodextrin inclusion complexes of OA and UA on melanoma cells identified 2-HP-β-CD and 2-HP-γ-CD as the optimal CDs for the incorporation of OA and UA, respectively, with the resulting complexes displaying increased cytotoxicity as well [85]. By contrast, a study that evaluated the cytotoxicity of a mistletoe extract rich in OA against two types of melanoma cells revealed that cyclodextrin complexation of the extract with 2-HP-β-CD did not achieve improved cytotoxicity [92]; therefore, the authors concluded that the increased stability of an inclusion complex cannot always be correlated with enhanced biological activity. However, the literature study emphasizes that, in most cases, the presence of CDs is beneficial for the increase of biological effects; as such, by including a mixture of α-amyrin and β-amyrin, two triterpenes with anti-inflammatory properties isolated from Protium heptaphyllum (Burseraceae), in β-CD and HP-β-CD, respectively, complexes with superior anti-inflammatory activity that reduced the cellular proliferation of J774 macrophages were obtained [87].
The inclusion of saikosaponin-d in HP-β-CD using various molar ratios (1:1, 1:5 and 1:10 phytocompound:cyclodextrin) increased its water solubility up to 1074-fold, simultaneously improving its cytotoxicity against the skin cancer cell line HSC-1; the 1:5 complex was revealed as the most effective in increasing both the solubility and cytotoxicity of the phytocompound [134].
The inclusion complex of BA, extracted from the juice of Ziziphus jujuba (Rhamnaceae) with β-CD revealed superior cytotoxic effects against breast cancer cells (MCF-7) compared to pure BA [82]. A much larger increase in cytotoxicity increase was, however, noticed for the inclusion complex of BA with a modified semi-synthetic γ-CD, (octakis-[6-deoxy-6-(2-sulfanyl ethane sulfonic acid)]-γ-cyclodextrin) when tested against melanoma, both in vitro, on cell cultures, and in vivo, on murine models; the effect can be attributed to the very high stability of the inclusion complex achieved due to the hydrophobic chains attached to the CD ring, which greatly contributed to the entrapment of the guest molecule. In addition, the semisynthetic γ-CD derivative displayed significantly higher water solubility compared to native CDs and led to highly aqueous soluble complexes, thus allowing for higher concentrations of BA to reach its target [81]. Therefore, the selection of the most suitable CD in terms of water solubility and complexation capability is a very important step in the development of CD-based drug carriers. In light of these findings, the development of new semisynthetic CDs, which display superior properties compared to natural CDs, represents a great opportunity for the pharmaceutical research. As such, Ren et al. developed, characterized and used amino-appended-β-CDs (Figure 4) to enhance the cytotoxicity of OA in vitro against three cancer cell lines, HepG2 (Hepatocellular Carcinoma), HT29 (adenocarcinoma) and HCT116 (adenocarcinoma), as well as one non-cancer cell line, MRC-5 (human fetal lung fibroblast). Among the evaluated complexes, -β-CD was selected as a potential candidate for the development of a new therapeutic agent, with values ranging from 0.67 to 2.06 µM against the cancer cell lines tested. Simultaneously, all of the evaluated inclusion complexes proved to be less cytotoxic against the non-cancerous MRC-5 cell line compared to pure OA, thus indicating higher selectivity and the improvement of the phytocompound’s safety profile [84].
GA is the aglycone of glycyrrhizin, a phytocompound extracted from the licorice root with anti-inflammatory and hepatoprotective effects; its triterpenic nature leads to a diminished oral bioavailability and biological activity. This drawback was overcome by the inclusion into HP-γ-CD, which proved to be more efficient in vivo in a rat model than the singular components in reducing the intestinal lesions produced by indomethacin, a non-steroidal anti-inflammatory drug known for its severe gastrointestinal side effects. The identified underlying mechanism consists in the suppression of several pro-inflammatory markers, namely tumor necrosis factor alpha (TNF-α), interleukin-1 beta (IL-1β) and interleukin-6 (IL-6) [135]. A distinct research group achieved the improvement the anticancer effect of GA, coupled the inclusion complex formed between GA and β-CD with a new type of fluorescent nanomaterials, quantum dots, in order to increase GA cytotoxicity and selectivity against HepG2 (hepatocellular carcinoma), HeLa (cervical cancer) and ECV-304 (urinary bladder carcinoma) cell lines. The formulations proved to be more effective against the HepG2 cell line compared to GA against the cell lines, where it induced apoptosis in a dose- and time-dependent manner through an alteration in the ROS-mediated pathway [136], thus showing that CDs can be successfully used in combination with other carriers for the enhancement of triterpenic compounds’ therapeutic properties.
Table 6.
In vitro activity of triterpene:cyclodextrin inclusion complexes against cancer cell lines.
Table 6.
In vitro activity of triterpene:cyclodextrin inclusion complexes against cancer cell lines.
| Cyclodextrin Type | Type of Formulation | Cell Line Type | In Vitro Cell Model | In Vitro Antiproliferative Results for Extracts/Triterpenic Compounds | In Vitro Antiproliferative Results for Inclusion Complexes/Conjugates | Time of Incubation | References | |
|---|---|---|---|---|---|---|---|---|
| Plant Extracts | ||||||||
| A Viscum album extract containing Oleanolic acid (69.4%) and Betulinic acid (6.9%) | HP-β-CD | complex | Murine melanoma | B16.F10 | ≈ 13.7 µg/mL (OA in DMSO) | ≈ 16.8 µg/ml | 20 h | [92] |
| Acute Lymphoblastic Leukemia | NALM-6 | Inhibition ≈ 40% (Viscum extract) | Inhibition ≈ 80% | 24 h | [90] | |||
| Leukemia | U937 | Inhibition ≈ 20% (Viscum extract) | Inhibition ≈ 42% | 18 h | [91] | |||
| HL-60 | Inhibition ≈ 32% (Viscum extract) | Inhibition ≈ 90% | ||||||
| Ewings Sarcoma | TC-71 | Inhibition ≈ 78% (Viscum extract) | Inhibition ≈ 80% | 24 h | [133] | |||
| MHH-ES-1 | Inhibition ≈ 45% (Viscum extract) | Inhibition ≈ 50% | ||||||
| Triterpenes | ||||||||
| BA | HP-β-CD | complex | Human breast cancer | MCF-7 | ≈ 25.3 µM | = 11.6 µM | 24 h | [82] |
| octakis-[6-deoxy-6-(2-sulfanyl ethanesulfonic acid)] -γ-cyclodextrin | Murine melanoma | metastatic B164A5 | Inhibition ≈ 42.1% | Inhibition ≈ 57.7% | 72 h | [81] | ||
| non-metastatic B164A5 | Inhibition ≈ 38.2% | Inhibition ≈ 49.7% | 72 h | |||||
| UA | HP-β-CD (1:2) | complex | Melanoma | A375 | ≈ 68.2 µM | ≈ 51.7 µM | 48 h | [85] |
| Murine melanoma | B16 4A5 | ≈ 43.6 µM | ≈ 40.9 µM | |||||
| Melanoma | SK-Mel 2 | ≈ 58.4 µM | - | |||||
| HP-γ-CD (1:2) | A375 | ≈ 68.2 µM | ≈ 31.4 µM | |||||
| Murine melanoma | B16 4A5 | ≈ 43.6 µM | ≈ 16.1 µM | |||||
| Melanoma | SK-Mel 2 | ≈ 58.4 µM | ≈ 9.3 µM | |||||
| OA | HP-β-CD (1:2) | complex | A375 | Inhibition ≈ 50% | - | 4 h | [84] | |
| Murine melanoma | B16 4A5 | Inhibition ≈ 20.7% | Inhibition ≈ 48.7% | |||||
| Melanoma | SK-Mel 2 | Inhibition ≈ 5% | - | |||||
| HP-γ-CD (1:2) | A375 | Inhibition ≈ 50% | - | |||||
| Murine melanoma | B16 4A5 | Inhibition ≈ 20.7% | Inhibition ≈ 45.7% | |||||
| Melanoma | SK-Mel 2 | Inhibition ≈ 5% | - | |||||
| OA | -β-CD | conjugate | Hepatocellular Carcinoma | HepG2 | ≈ 66.3 µM | ≈ 0.7 µM | 4 h | [84] |
| Adenocarcinoma | HT29 | ≈ 37.5 µM | ≈ 2.0 µM | |||||
| HCT116 | ≈ 27.9 µM | ≈ 0.9 µM | ||||||
| -β-CD | Hepatocellular Carcinoma | HepG2 | ≈ 66.3 µM | ≈ 12.4 µM | ||||
| Adenocarcinoma | HT29 | ≈ 37.5 µM | ≈ 18.6 µM | |||||
| HCT116 | ≈ 27.9 µM | ≈ 11.4 µM | ||||||
| -β-CD | Hepatocellular Carcinoma | HepG2 | ≈ 66.3 µM | ≈ 23.0 µM | ||||
| Adenocarcinoma | HT29 | ≈ 37.5 µM | ≈ 18.9 µM | |||||
| HCT116 | ≈ 27.9 µM | ≈ 9.6 µM | ||||||
| -β-CD | Hepatocellular Carcinoma | HepG2 | ≈ 66.3 µM | ≈ 26.2 µM | ||||
| Adenocarcinoma | HT29 | ≈ 37.5 µM | ≈ 22.4 µM | |||||
| HCT116 | ≈ 27.9 µM | ≈ 21.7 µM | ||||||
| Triterpenic saponins | ||||||||
| GA | β-CD | Complex, coupled with functionalized quantum dots | Hepatocellular Carcinoma | HepG2 | ≈ 423.2 µM | ≈ 0.9–1.7 µM | 48 h | [136] |
| Cervical Cancer | HeLa | ≈ 556.4 µM | ≈ 1.8–2.9 µM | |||||
| Urinary bladder carcinoma | ECV-304 | ≈ 673.6 µM | ≈ 1.9–3.6 µM | |||||
| Saikosaponin-d | HP-β-CD (1:1) | complex | Squamous Cell Carcinoma | HSC-1 | Inhibition ≈ 45% | Inhibition ≈ 50% | 8 h | [134] |
| Inhibition ≈ 65% | Inhibition ≈ 75% | 24 h | ||||||
| HP-β-CD (1:5) | Inhibition ≈ 45% | Inhibition ≈ 40% | 8 h | |||||
| Inhibition ≈ 65% | Inhibition ≈ 60% | 24 h | ||||||
| HP-β-CD (1:10) | Inhibition ≈ 45% | Inhibition ≈ 60% | 8 h | |||||
| Inhibition ≈ 65% | Inhibition ≈ 75% | 24 h | ||||||
The binding of triterpenes to the surface of CDs using a triazole linker may increase the stability and water solubility of the resulting conjugates, as shown by Xiao et al., who linked a series of triterpenic acids, namely BA, OA, echinocystic acid (EA) and UA to native β-CD and methyl-β-CD using a 1,2,3-triazole moiety; bioconjugates with superior water solubility compared to the single compounds were obtained. The linkers were prepared in situ by a click chemistry reaction between the 6-azide-6-deoxy-β-CD or 6-azide-6-deoxyper-O-methylated-β-CD and alkynyl-functionalized triterpenic acids. Subsequently, the anti-entry action against the HCV virus of these bioconjugates was evaluated on four cell lines, namely HeLa (cervical cancer), HepG2 (hepatocellular carcinoma), MDCK (Madin–Darby canine kidney) and 293T (human kidney). The per-O-methylated β-CD–pentacyclic triterpenic acids conjugates showed superior cytotoxicity to both active drugs alone and their conjugates with native cyclodextrin, thus indicating that β-CD methylation can increase the cytotoxicity of the conjugates [137]. GA was subjected to a similar chemical modulation following conjugation with β-CD by using ethylene glycol linkers of variable length bearing a 1,2,3-triazole moiety; the antiviral activity of the obtained bioconjugates against the H1N1 strain in MDCK cells was subsequently evaluated and revealed six compounds with promising biological activity [138].
Currently, it is well recognized that α-CD is not able to form inclusion complexes with BA, due to the large size of the phytocompound, which cannot be accommodated inside the narrow CD cavity; however, this obstacle was overcome by the synthesis of a hexavalent conjugate of BA with α-CD using 1,2,3-triazole moieties, via a click chemistry reaction between an amydic BA derivative and the azidic α-CD derivative. The resulting bioconjugate exhibited antiviral action against the A/WSN/33 (H1N1) strain in MDCK cells, with an IC50 value of approximately 5.20 μM [139]. Similarly, Tian et al. synthesized bioconjugates between BA, UA and EA with α-, β- and γ-CD using 1,2,3-triazole moiety as a linker and evaluated their anti-entry effect against the HCV virus. Among the tested products, the bioconjugate of a heptavalent derivative of OA with β-CD proved to be more efficient than oseltamivir, which is generally used as a standard antiviral [140].
Although most studies approach the anticancer and/or anti-inflammatory effects of triterpenes, there are several reports regarding other biological activities that can be improved by the use of CDs. Ilexgenin A is a pentacyclic triterpene extracted from the leaves of Ilex hainanensis (Aquifoliaceae), which possesses several biological effects such as anti-inflammatory, anti-ischemic, antithrombotic and anti-lipidemic. The anti-lipidemic activity of ilexgenin A, quantified by the LDL and total cholesterol serum levels, was enhanced in vivo on a murine model as a result of its complexation with a highly hydrophilic β-CD polymer synthesized by using epichlorohydrin as cross-linking agent [89]; the water solubility of the inclusion complex obtained with the β-CD polymer far exceeded that of the inclusion complex formed between the phytocompound and the native β-CD, thus allowing for two to three times increased efficacy and potency compared to the pure compound. The same β-CD polymer was used to increase the solubility, bioavailability and, subsequently, the anti-inflammatory effect of pedunculoside during its in vivo assessment on a murine model [141]; the β-CD polymer exhibits advantages over the native the β-CD, such as the ability to provide multiple cavities as hosts and higher water solubility, which contributes to an optimized in vivo absorption and bioavailability.
Undoubtedly, the most explored application of CDs in the pharmaceutical field is their use as solubility enhancers in order to increase the bioavailability and therapeutical effect of numerous compounds. Despite the extensive research in the area, obstacles still exist such as the low stability of some inclusion complexes, which hampers the long-distance drug transportation in the organism or, conversely, the high stability of other inclusion complexes that could impede the release of the triterpenic compound at the target sites. Future research is needed in order to establish the most suitable CDs for triterpenes’ complexation so as to enable the use of triterpenes as therapeutic agents.
Table 7.
In vivo anticancer activity of triterpene:cyclodextrin inclusion complexes.
Table 7.
In vivo anticancer activity of triterpene:cyclodextrin inclusion complexes.
| Plant Extract/ Triterpenes | Cyclodextrin Type | Animal Model | Tumor Type | Tumor Cell Lines Injected | The Concentration of the Complex | Conclusion/ Observations | References |
|---|---|---|---|---|---|---|---|
| A Viscum album extract containing OA (69.4%) and BA (6.9%) | HP-β-CD | CB17/Icr-Prkdcscid/IcrCrl mice | Leukemia | NALM-6 | 40 mg/kg | non-significant anti-leukemic effects of the extract | [90] |
| Female NOD/SCID/IL2rg mice | Leukemia | HL-60 | 20/40/60/mg/kg | Reduced the tumor weight | [91] | ||
| female NOD/SCID IL2rγ null mice | Ewings Sarcoma | TC-71 | 40/60/ 80 mg/kg | Induced apoptosis and reduced the tumor dimension | [133] | ||
| female NMRI-nu/nu mice | |||||||
| male C57BL/6 mice | Murine melanoma | B16.F10 | cells per mouse | Reduced tumor dimension Inhibition of angiogenesis | [142] | ||
| BA | octakis-[6-deoxy-6-(2-sulfanyl ethanesulfonic acid)]- γ-cyclodextrin | 8-week-old C57BL/6J female mice | Murine melanoma | B164A5 | 100 mg/kg | Reduced tumor dimension and weight | [81] |
5.4. Identification of the Mechanism of Action for Triterpenic Compounds
The complexation of triterpenes with cyclodextrins can also be used in order to elucidate their mechanism of action; due to the increased bioavailability of the inclusion complexes, changes of certain biological parameters can be identified, including parameters that could not be assessed for pure triterpenes, due to their poor bioavailability. Such a study highlighted a potential mechanism of action at the mitochondrial level for Bet, following its complexation with γ-CD. The inclusion complex increased the basal respiration and oxidative phosphorylation in mitochondria isolated from senescent rats, resulting in a potential hepatoprotective effect [80].
Another study in which the complexation of triterpenes with cyclodextrins was applied in order to gain an insight into their presumable mechanism of action was conducted by Mulsow et al.; they obtained a complex aqueous extract from mistletoe, with hydrophilic (lectins, ML) and lipophilic components (OA and BA) and studied the influence of triterpenes on the penetration of ML inside several cancer cell lines, namely THP-1 (acute myelogenous leukemia), HL-60 (acute myelogenous leukemia), 143B (osteosarcoma) and TC-71 (Ewing’s sarcoma). The addition of HP-β-CD in the extraction process was essential in order to solubilize the lipophilic triterpenic acids contained in the mistletoe sprouts into the aqueous extract. Although the triterpenes did not enhance the ML uptake into the THP-1 and HL-60 cell line, in the case of the 143B cell line, ML was intracellularly detected only in the presence of triterpenes, thus emphasizing their role as a permeation enhancer. The possible underlying mechanism for this specific result may consist in the fact that, due to their lipophilic structure, triterpenes can cause structural alterations to the cell membrane, allowing for the penetration of other hydrophilic compounds into the cancer cells [143].
The inhibitory effect of MA on the aberrant crypt foci and mucin-depleted foci, two biomarkers synthesized in the early stages of colon cancer, was highlighted in a murine model in the presence of HP-β-CD, which increased MA solubility and bioavailability [144].
Another area of research in which CDs have started to be employed is the elucidation of the underlying mechanism of action of triterpenic compounds mainly due to their solubility enhancer properties. Although currently there are a limited number of studies on the subject, further research on this area could offer insightful knowledge about the molecular targets and mechanisms of triterpenic compounds that will enable the development of new therapeutic agents and prevent different interactions with other active pharmaceutical ingredients.
5.5. New Topical Formulations
Cyclodextrins can also be successfully used in the development of new topical treatments with superior biocompatibility following gel incorporation or the formulation of new hydrogels with polymeric supramolecular structure. Such a hydrogel was obtained after the formation of 1:1 complexes between β-CD and GA, with both components being previously attached to polymers of N,N′-dimethyl acrylamide via a free radical polymerization reaction; due to the spontaneous regeneration of the inclusion complex, the obtained hydrogel exhibits the remarkable property of spontaneous self-healing, which allows for its regeneration after mechanical destruction without the intervention of other external factors [145].
Centanella asiatica extract, rich in asiatic acid, madecassic acid, asiaticoside and madecassoside, was included in HP-β-CD in order to increase the solubility and bioavailability of the triterpenic compounds. The resulting complex was later incorporated into a gel, which was then tested on rats for the purpose of wound-healing evaluation. The tested formulations showed suitable local tolerability and stability, the lesions being completely cured within 14 days [93]; in addition, the presence of the hydrophilic CD allowed for a high content of triterpenes in the spray formulation, nearly 100% compared to the total extract. A stable gel containing asiaticoside and HP-β-CD was formulated; asiaticoside is a compound that promotes the synthesis of type I collagen, which is essential in curing periodontitis. The inclusion of the phytocompound inside the hydrophilic cyclodextrin favored its prolonged release into the periodontal pocket, thus improving the clinical outcome [146].
The use of CDs in the development of topical treatments has led to formulations with possible use in wound-healing management that possess improved bioavailability, prolonged release of the active ingredients and high biocompatibility. A possible limitation of this type of formulation that remains to be further explored and overcome is the reduced stability that could significantly reduce the shelf life of these formulations.
5.6. Other Applications
Ganoderma lucidum is a mushroom of the Ganodermataceae family used in traditional Chinese medicine for its antitumor, anti-inflammatory, anti-hepatotoxic, antioxidant and immunomodulatory properties. Studies have shown that the spores of this species contain the highest concentration of active compounds, including ganoderic acid A; however, the spores possess an outer hard shell, called sporoderm, which prevents their exterior release. In order to overcome this obstacle, Wang et al. employed a chemical process using substances such as sodium hydroxide, urea and alcohol, followed by ultrasonication and refrigeration to create pores into the sporoderm. Subsequently, β-CD was used in the post-processing stage to seal the pores formed after the removal of the reagents used in the chemical process. β-CD has fulfilled three roles in this process: (1) forms inclusion complexes with the bioactive compounds, thus improving their solubility and stability; (2) seals the holes of the sporoderm, thus ensuring the preservation of the active compounds contained inside the spores against volatilization and oxidation; and (3) modifies the surface of the spores, thus rendering them easily dispersible in water, a significant step in human digestion; thereby, the method works effectively in achieving highly bioactive and stable final product [147].
CDs can be also used to reduce the unpleasant organoleptic characteristics of certain active compounds. One such study was conducted in order to reduce the bitterness of the fruit juice of Momordica charantia (Cucurbitaceae), which contains two triterpenic saponins, momordicoside K and momordicoside L, without reducing its antihyperglycemic effect; β-CD was used as a host molecule for the bitter compounds. The incorporation of the juice into β-CD not only decreased its bitterness, but also determined a small decrease of its antihyperglycemic effect, as reflected by the inhibition of α-glucosidase test; however, by improving its organoleptic properties, it is possible to increase the tolerability and use of the Momordica juice as a complementary treatment in diabetes [94]. In a similar manner, by complexation with β-CD and γ-CD, the sweet taste of GA was reduced. The sweet taste, which can be unpleasant for some people, is attributed to the formation of aggregates between GA molecules and the sweet taste receptors situated on the tongue surface [148].
In this subsection, the application of CDs in improving the preservability and organoleptic properties of certain extracts containing triterpenic compounds or pure compounds such as GA has been highlighted. More information about the stability of the obtained formulations and complexes is required in order to enable their use in the pharmaceutical and food industry.
6. Conclusion and Future Perspectives
Although this year marks 130 years since the discovery of CDs by Villiers, they remain compounds of high value due to their remarkable physicochemical properties, which enable their use in various domains such as food, cosmetic and pharmaceutical development. The capacity to incorporate inside their internal cavity guests with lipophilic properties or to form bioconjugates through derivatization of the outer surface hydroxylic groups triggered their extensive use in drug design, especially in the development of phytochemical-based drugs. Triterpenes are phytocompounds that possess remarkable biological activities and represent one of the most extensively studied class of natural compounds for the development of new effective drugs. The inclusion complexes and bioconjugates obtained between triterpenic compounds and CDs expanded our goals towards the identification of the underlying mechanism of action of triterpenes and the development of environment-friendly bioproduction methods using microorganisms and algae cells as biofactories, new effective isolation and separation protocols from plant sources and the design of potential new drugs and topical formulations with improved bioavailability and activity. Nevertheless, some of the research areas mentioned in this paper, such as bioproduction of triterpenic compounds, are still in the early stages of development and need to identify methods by which these techniques could be used on a larger scale; even the more established research areas need to overcome obstacles such as the low stability of the resulting inclusion complexes.
Author Contributions
Conceptualization, A.P. and A.M. (Alexandra Mioc); writing—original draft preparation: Section 1, A.P. and A.M. (Alexandra Mioc); Section 2, A.M. (Alexandra Mioc) and A.M. (Andreea Milan); Section 3, A.P. and R.R.; Section 4, A.P., A.M. (Alexandra Mioc) and R.G.; Section 5, A.P., A.M. (Alexandra Mioc), M.M. and C.S.; visualization, R.R., M.M. and C.S., supervision, C.S., C.T. and C.B.; project administration, C.S. All authors have read and agreed to the published version of the manuscript.
Funding
This work was supported by an Internal grant at “Victor Babes” University of Medicine and Pharmacy, Grant 1EXP/1233/30.01.2020 LUPSKINPATH, Project Manager: Codruta Soica.
Institutional Review Board Statement
Not applicable.
Informed Consent Statement
Not applicable.
Data Availability Statement
Not applicable.
Conflicts of Interest
The authors declare no conflict of interest.
References
- Bauer, U.E.; Briss, P.A.; Goodman, R.A.; Bowman, B.A. Prevention of chronic disease in the 21st century: Elimination of the leading preventable causes of premature death and disability in the USA. Lancet 2014, 384, 45–52. [Google Scholar] [CrossRef]
- The Top 10 Causes of Death. Available online: https://www.who.int/news-room/fact-sheets/detail/the-top-10-causes-of-death (accessed on 12 December 2021).
- Matusz, P.; Miclăuş, G.D.; Banciu, C.D.; Sas, I.; Joseph, S.C.; Pirtea, L.C.; Tubbs, R.S.; Loukas, M. Congenital solitary kidney with multiple renal arteries: Case report using MDCT angiography. Rom. J. Morphol. Embryol. 2015, 56, 823–826. [Google Scholar] [PubMed]
- Klein, P.; Tyrlikova, I. No prevention or cure of epilepsy as yet. Neuropharmacology 2020, 168, 107762. [Google Scholar] [CrossRef]
- Pace, M.; Frater, J. A cure for HIV: Is it in sight? Expert Rev. Anti. Infect. Ther. 2014, 12, 783–791. [Google Scholar] [CrossRef] [PubMed]
- Sen, T.; Samanta, S.K. Medicinal plants, human health and biodiversity: A broad review. Adv. Biochem. Eng. Biotechnol. 2014, 147, 59–110. [Google Scholar] [CrossRef]
- Thomford, N.E.; Senthebane, D.A.; Rowe, A.; Munro, D.; Seele, P.; Maroyi, A.; Dzobo, K. Natural products for drug discovery in the 21st century: Innovations for novel drug discovery. Int. J. Mol. Sci. 2018, 19, 1578. [Google Scholar] [CrossRef] [PubMed]
- Peron, G.; Marzaro, G.; Dall‘Acqua, S. Known Triterpenes and their Derivatives as Scaffolds for the Development of New Therapeutic Agents for Cancer. Curr. Med. Chem. 2018, 25, 1259–1269. [Google Scholar] [CrossRef] [PubMed]
- Arima, H.; Motoyama, K.; Higashi, T. Potential Use of Cyclodextrins as Drug Carriers and Active Pharmaceutical Ingredients. Chem. Pharm. Bull. 2017, 65, 341–348. [Google Scholar] [CrossRef]
- Garrido, P.F.; Calvelo, M.; Blanco-González, A.; Veleiro, U.; Suárez, F.; Conde, D.; Cabezón, A.; Piñeiro, Á.; Garcia-Fandino, R. The Lord of the NanoRings: Cyclodextrins and the battle against SARS-CoV-2. Int. J. Pharm. 2020, 588, 119689. [Google Scholar] [CrossRef] [PubMed]
- Lima, P.S.S.; Lucchese, A.M.; Araújo-Filho, H.G.; Menezes, P.P.; Araújo, A.A.S.; Quintans-Júnior, L.J.; Quintans, J.S.S. Inclusion of terpenes in cyclodextrins: Preparation, characterization and pharmacological approaches. Carbohydr. Polym. 2016, 151, 965–987. [Google Scholar] [CrossRef]
- Soica, C.; Trandafirescu, C.; Danciu, C.; Muntean, D.; Dehelean, C.; Simu, G. New improved drug delivery technologies for pentacyclic triterpenes: A review. Protein Pept. Lett. 2014, 21, 1137–1145. [Google Scholar] [CrossRef]
- Muffler, K.; Leipold, D.; Scheller, M.C.; Haas, C.; Steingroewer, J.; Bley, T.; Neuhaus, H.E.; Mirata, M.A.; Schrader, J.; Ulber, R. Biotransformation of triterpenes. Process Biochem. 2011, 46, 1–15. [Google Scholar] [CrossRef]
- Garg, A.; Sharma, R.; Dey, P.; Kundu, A.; Kim, H.S.; Bhakta, T.; Kumar, A. Analysis of triterpenes and triterpenoids. In Recent Advances in Natural Products Analysis; Elsevier: Amsterdam, The Netherlands, 2020; pp. 393–426. [Google Scholar]
- Nazaruk, J.; Borzym-Kluczyk, M. The role of triterpenes in the management of diabetes mellitus and its complications. Phytochem. Rev. 2015, 14, 675–690. [Google Scholar] [CrossRef]
- Yin, M.C.; Lin, M.C.; Mong, M.C.; Lin, C.Y. Bioavailability, distribution, and antioxidative effects of selected triterpenes in mice. J. Agric. Food Chem. 2012, 60, 7697–7701. [Google Scholar] [CrossRef]
- Furtado, N.A.J.C.; Pirson, L.; Edelberg, H.; Miranda, L.M.; Loira-Pastoriza, C.; Preat, V.; Larondelle, Y.; André, C.M. Pentacyclic Triterpene Bioavailability: An Overview of In Vitro and In Vivo Studies. Molecules 2017, 22, 400. [Google Scholar] [CrossRef]
- Liu, K.; Zhang, X.; Xie, L.; Deng, M.; Chen, H.; Song, J.; Long, J.; Li, X.; Luo, J. Lupeol and its derivatives as anticancer and anti-inflammatory agents: Molecular mechanisms and therapeutic efficacy. Pharmacol. Res. 2021, 164, 105373. [Google Scholar] [CrossRef] [PubMed]
- Tsai, F.S.; Lin, L.W.; Wu, C.R. Lupeol and its role in chronic diseases. In Advances in Experimental Medicine and Biology. Adv. Exp. Med. Biol. 2016, 929, 145–175. [Google Scholar]
- Chen, X.; Yuan, X.N.; Zhang, Z.; Gong, P.J.; Yin, W.N.; Jiang, Q.; Xu, J.; Xu, X.L.; Gao, Y.; Chen, W.L.; et al. Betulinic acid inhibits cell proliferation and migration in gastric cancer by targeting the NF-κB/VASP pathway. Eur. J. Pharmacol. 2020, 889. [Google Scholar] [CrossRef]
- Zhou, Z.; Zhu, C.; Cai, Z.; Zhao, F.; He, L.; Lou, X.; Qi, X. Betulin induces cytochrome c release and apoptosis in colon cancer cells via NOXA. Oncol. Lett. 2018, 15, 7319–7327. [Google Scholar] [CrossRef]
- Han, Y.H.; Mun, J.G.; Jeon, H.D.; Kee, J.Y. Betulin inhibits lung metastasis by inducing cell cycle arrest, autophagy, and apoptosis of metastatic colorectal cancer cells. Nutrients 2020, 12, 66. [Google Scholar] [CrossRef] [PubMed]
- Scheffler, A. The Wound Healing Properties of Betulin from Birch Bark from Bench to Bedside. Planta Med. 2019, 85, 524–527. [Google Scholar] [CrossRef]
- Sursyakova, V.V.; Levdansky, V.A.; Rubaylo, A.I. Determining stability constants of complexes between ester betulin derivatives and β-cyclodextrin by affinity capillary electrophoresis. J. Sib. Fed. Univ. Chem. 2020, 13, 534–541. [Google Scholar] [CrossRef]
- Sursyakova, V.V.; Levdansky, V.A.; Rubaylo, A.I. Strong complexation of water-soluble betulin derivatives with (2-hydroxypropyl)-γ-cyclodextrin studied by affinity capillary electrophoresis. Electrophoresis 2020, 41, 112–115. [Google Scholar] [CrossRef]
- Loe, M.W.C.; Hao, E.; Chen, M.; Li, C.; Lee, R.C.H.; Zhu, I.X.Y.; Teo, Z.Y.; Chin, W.X.; Hou, X.; Deng, J.G.; et al. Betulinic acid exhibits antiviral effects against dengue virus infection. Antivir. Res. 2020, 184. [Google Scholar] [CrossRef] [PubMed]
- Huang, Q.X.; Chen, H.F.; Luo, X.R.; Zhang, Y.X.; Yao, X.; Zheng, X. Structure and Anti-HIV Activity of Betulinic Acid Analogues. Curr. Med. Sci. 2018, 38, 387–397. [Google Scholar] [CrossRef] [PubMed]
- Ajala-Lawal, R.A.; Aliyu, N.O.; Ajiboye, T.O. Betulinic acid improves insulin sensitivity, hyperglycemia, inflammation and oxidative stress in metabolic syndrome rats via PI3K/Akt pathways. Arch. Physiol. Biochem. 2020, 126, 107–115. [Google Scholar] [CrossRef]
- Ekuadzi, E.; Biney, R.P.; Benneh, C.K.; Osei Amankwaa, B.; Jato, J. Antiinflammatory properties of betulinic acid and xylopic acid in the carrageenan-induced pleurisy model of lung inflammation in mice. Phyther. Res. 2018, 32, 480–487. [Google Scholar] [CrossRef]
- Yi, J.; Xia, W.; Wu, J.; Yuan, L.; Wu, J.; Tu, D.; Fang, J.; Tan, Z. Betulinic acid prevents alcohol-induced liver damage by improving the antioxidant system in mice. J. Vet. Sci. 2014, 15, 141–148. [Google Scholar] [CrossRef] [PubMed]
- Ali-Seyed, M.; Jantan, I.; Vijayaraghavan, K.; Bukhari, S.N.A. Betulinic Acid: Recent Advances in Chemical Modifications, Effective Delivery, and Molecular Mechanisms of a Promising Anticancer Therapy. Chem. Biol. Drug Des. 2016, 87, 517–536. [Google Scholar] [CrossRef]
- Kumar, P.; Bhadauria, A.S.; Singh, A.K.; Saha, S. Betulinic acid as apoptosis activator: Molecular mechanisms, mathematical modeling and chemical modifications. Life Sci. 2018, 209, 24–33. [Google Scholar] [CrossRef]
- Lombrea, A.; Scurtu, A.D.; Avram, S.; Pavel, I.Z.; Turks, M.; Lugiņina, J.; Peipiņš, U.; Dehelean, C.A.; Soica, C.; Danciu, C. Anticancer potential of betulonic acid derivatives. Int. J. Mol. Sci. 2021, 22, 3676. [Google Scholar] [CrossRef]
- Sbârcea, L.; Ledeţi, A.; Udrescu, L.; Văruţ, R.-M.; Barvinschi, P.; Vlase, G.; Ledeţi, I. Betulonic acid—cyclodextrins inclusion complexes. J. Therm. Anal. Calorim. 2019, 138, 2787–2797. [Google Scholar] [CrossRef]
- Ayeleso, T.B.; Matumba, M.G.; Mukwevho, E. Oleanolic Acid and Its Derivatives: Biological Activities and Therapeutic Potential in Chronic Diseases. Molecules 2017, 22, 1915. [Google Scholar] [CrossRef] [PubMed]
- Lozano-Mena, G.; Sánchez-González, M.; Juan, M.E.; Planas, J.M. Maslinic Acid, a Natural Phytoalexin-Type Triterpene from Olives—A Promising Nutraceutical? Molecules 2014, 19, 11538–11559. [Google Scholar] [CrossRef] [PubMed]
- Li, S.; Han, J.; Wang, D.S.; Feng, B.; Deng, Y.T.; Wang, X.S.; Yang, Q.; Zhao, M.G. Echinocystic acid reduces reserpine-induced pain/depression dyad in mice. Metab. Brain Dis. 2016, 31, 455–463. [Google Scholar] [CrossRef] [PubMed]
- Yu, H.; Li, W.; Cao, X.; Wang, X.; Zhao, Y.; Song, L.; Chen, J.; Wang, S.; Chen, B.; Xu, Y. Echinocystic acid, a natural plant extract, alleviates cerebral ischemia/reperfusion injury via inhibiting the JNK signaling pathway. Eur. J. Pharmacol. 2019, 861. [Google Scholar] [CrossRef]
- Chen, B.; Zhao, Y.; Li, W.; Hang, J.; Yin, M.; Yu, H. Echinocystic acid provides a neuroprotective effect via the PI3K/AKT pathway in intracerebral haemorrhage mice. Ann. Transl. Med. 2020, 8, 6. [Google Scholar] [CrossRef] [PubMed]
- Yang, J.H.; Li, B.; Wu, Q.; Lv, J.G.; Nie, H.Y. Echinocystic acid inhibits RANKL-induced osteoclastogenesis by regulating NF-κB and ERK signaling pathways. Biochem. Biophys. Res. Commun. 2016, 477, 673–677. [Google Scholar] [CrossRef]
- Sharma, K.; Zafar, R. Occurrence of taraxerol and taraxasterol in medicinal plants. Pharmacogn. Rev. 2015, 9, 19–23. [Google Scholar]
- Bian, M.; Zhen, D.; Shen, Q.K.; Du, H.H.; Ma, Q.Q.; Quan, Z.S. Structurally modified glycyrrhetinic acid derivatives as anti-inflammatory agents. Bioorg. Chem. 2021, 107, 104598. [Google Scholar] [CrossRef]
- Xu, B.; Wu, G.R.; Zhang, X.Y.; Yan, M.M.; Zhao, R.; Xue, N.N.; Fang, K.; Wang, H.; Chen, M.; Guo, W.B.; et al. An overview of structurally modified glycyrrhetinic acid derivatives as antitumor agents. Molecules 2017, 22, 924. [Google Scholar] [CrossRef] [PubMed]
- Woźniak, Ł.; Skąpska, S.; Marszałek, K. Ursolic Acid—A Pentacyclic Triterpenoid with a Wide Spectrum of Pharmacological Activities. Molecules 2015, 20, 20614–20641. [Google Scholar] [CrossRef] [PubMed]
- Zhao, J.; Zhou, H.; Yanan, A.N.; Shen, K.; Lu, Y.U. Biological effects of corosolic acid as an anti-inflammatory, anti-metabolic syndrome and anti-neoplasic natural compound (Review). Oncol. Lett. 2020, 21, 1. [Google Scholar] [CrossRef]
- Zhang, B.Y.; Zhang, L.; Chen, Y.M.; Qiao, X.; Zhao, S.L.; Li, P.; Liu, J.F.; Wen, X.; Yang, J. Corosolic acid inhibits colorectal cancer cells growth as a novel HER2/HER3 heterodimerization inhibitor. Br. J. Pharmacol. 2021, 178, 1475–1491. [Google Scholar] [CrossRef]
- Jia, M.; Xiong, Y.; Li, M.; Mao, Q. Corosolic Acid Inhibits Cancer Progress through Inactivating YAP in Hepatocellular Carcinoma. Oncol. Res. 2020, 28, 371–383. [Google Scholar] [CrossRef]
- Li, B.; Li, Y.; Wang, Q.; Li, F.; Li, F. Corosolic acid impairs human lung adenocarcinoma a549 cells proliferation by inhibiting cell migration. Oncol. Lett. 2019, 17, 5747–5753. [Google Scholar] [CrossRef]
- Jia, Y.; Yuan, H.; Shan, S.; Xu, G.; Yu, J.; Zhao, C.; Mou, X. Corosolic acid inhibits the proliferation of osteosarcoma cells by inducing apoptosis. Oncol. Lett. 2016, 12, 4187–4194. [Google Scholar] [CrossRef] [PubMed][Green Version]
- Sun, B.; Wu, L.; Wu, Y.; Zhang, C.; Qin, L.; Hayashi, M.; Kudo, M.; Gao, M.; Liu, T. Therapeutic Potential of Centella asiatica and Its Triterpenes: A Review. Front. Pharmacol. 2020, 11, 1373. [Google Scholar] [CrossRef] [PubMed]
- Hsu, Y.M.; Hung, Y.C.; Hu, L.; Lee, Y.J.; Yin, M.C. Anti-Diabetic Effects of Madecassic Acid and Rotundic Acid. Nutrients 2015, 7, 10065–10075. [Google Scholar] [CrossRef]
- Liu, C.; Zhao, J.; Liu, Y.X.; Huang, Y.; Shen, Y.; Wang, J.; Sun, W.; Sun, Y. A novel pentacyclic triterpenoid, Ilexgenin A, shows reduction of atherosclerosis in apolipoprotein E deficient mice. Int. Immunopharmacol. 2016, 40, 115–124. [Google Scholar] [CrossRef] [PubMed]
- Zhu, Y.; Li, M.; Lu, Y.; Li, J.; Ke, Y.; Yang, J. Ilexgenin A inhibits mitochondrial fission and promote Drp1 degradation by Nrf2-induced PSMB5 in endothelial cells. Drug Dev. Res. 2019, 80, 481–489. [Google Scholar] [CrossRef] [PubMed]
- Sun, W.; Liu, C.; Zhang, Y.; Qiu, X.; Zhang, L.; Zhao, H.; Rong, Y.; Sun, Y. Ilexgenin A, a novel pentacyclic triterpenoid extracted from Aquifoliaceae shows reduction of LPS-induced peritonitis in mice. Eur. J. Pharmacol. 2017, 797, 94–105. [Google Scholar] [CrossRef] [PubMed]
- Zhang, L.; Qiao, X.; Chen, M.; Li, P.; Wen, X.; Sun, M.; Ma, X.; Hou, Y.; Yang, J. Ilexgenin A prevents early colonic carcinogenesis and reprogramed lipid metabolism through HIF1α/SREBP-1. Phytomedicine 2019, 63. [Google Scholar] [CrossRef] [PubMed]
- Yang, H.; Liu, C.; Zhang, Y.Q.; Ge, L.T.; Chen, J.; Jia, X.Q.; Gu, R.X.; Sun, Y.; Sun, W.D. Ilexgenin A induces B16-F10 melanoma cell G1/S arrest in vitro and reduces tumor growth in vivo. Int. Immunopharmacol. 2015, 24, 423–431. [Google Scholar] [CrossRef]
- Nogueira, A.O.; Oliveira, Y.I.S.; Adjafre, B.L.; de Moraes, M.E.A.; Aragão, G.F. Pharmacological effects of the isomeric mixture of alpha and beta amyrin from Protium heptaphyllum: A literature review. Fundam. Clin. Pharmacol. 2019, 33, 4–12. [Google Scholar] [CrossRef]
- Zhang, Z.L.; Luo, Z.H.; Shi, H.W.; Zhang, L.X.; Ma, X.J. Research advance of functional plant pharmaceutical cycloartenol about pharmacological and physiological activity. Zhongguo Zhongyao Zazhi 2017, 42, 433–437. [Google Scholar] [CrossRef]
- Lan, X.; Yuan, W.; Wang, M.; Xiao, H. Efficient biosynthesis of antitumor ganoderic acid HLDOA using a dual tunable system for optimizing the expression of CYP5150L8 and a Ganoderma P450 reductase. Biotechnol. Bioeng. 2019, 116, 3301–3311. [Google Scholar] [CrossRef]
- Singh, B.; Singh, J.P.; Singh, N.; Kaur, A. Saponins in pulses and their health promoting activities: A review. Food Chem. 2017, 233, 540–549. [Google Scholar] [CrossRef]
- Silva, F.C.; Rodrigues, V.G.; Duarte, L.P.; Lula, I.S.; Sinisterra, R.D.; Vieira-Filho, S.A.; Rodrigues, R.A.L.; Kroon, E.G.; Oliveira, P.L.; Farias, L.M.; et al. Antidiarrheal activity of extracts from Maytenus Gonoclada and inhibition of Dengue Virus by lupeol. An. Acad. Bras. Cienc. 2017, 89, 1555–1564. [Google Scholar] [CrossRef]
- Dhiman, P.; Bhatia, M. Pharmaceutical applications of cyclodextrins and their derivatives. J. Incl. Phenom. Macrocycl. Chem. 2020, 98, 171–186. [Google Scholar] [CrossRef]
- Jambhekar, S.S.; Breen, P. Cyclodextrins in pharmaceutical formulations I: Structure and physicochemical properties, formation of complexes, and types of complex. Drug Discov. Today 2016, 21, 356–362. [Google Scholar] [CrossRef] [PubMed]
- Tutunchi, P.; Roufegarinejad, L.; Hamishehkar, H.; Alizadeh, A. Extraction of red beet extract with β-cyclodextrin-enhanced ultrasound assisted extraction: A strategy for enhancing the extraction efficacy of bioactive compounds and their stability in food models. Food Chem. 2019, 297, 124994. [Google Scholar] [CrossRef]
- Hill, L.E.; Gomes, C.; Taylor, T.M. Characterization of beta-cyclodextrin inclusion complexes containing essential oils (trans-cinnamaldehyde, eugenol, cinnamon bark, and clove bud extracts) for antimicrobial delivery applications. LWT Food Sci. Technol. 2013, 51, 86–93. [Google Scholar] [CrossRef]
- Franco, P.; De Marco, I. Preparation of non-steroidal anti-inflammatory drug/β-cyclodextrin inclusion complexes by supercritical antisolvent process. J. CO2 Util. 2021, 44, 101397. [Google Scholar] [CrossRef]
- Soe, H.M.S.H.; Chamni, S.; Mahalapbutr, P.; Kongtaworn, N.; Rungrotmongkol, T.; Jansook, P. The investigation of binary and ternary sulfobutylether-β-cyclodextrin inclusion complexes with asiaticoside in solution and in solid state. Carbohydr. Res. 2020, 498, 108190. [Google Scholar] [CrossRef]
- Carneiro, S.B.; Duarte, F.Í.C.; Heimfarth, L.; Quintans, J.D.S.S.; Quintans-Júnior, L.J.; Júnior, V.F.D.V.; De Lima, Á.A.N. Cyclodextrin-drug inclusion complexes: In vivo and in vitro approaches. Int. J. Mol. Sci. 2019, 20, 642. [Google Scholar] [CrossRef]
- Tian, B.; Hua, S.; Liu, J. Cyclodextrin-based delivery systems for chemotherapeutic anticancer drugs: A review. Carbohydr. Polym. 2020, 232, 115805. [Google Scholar] [CrossRef]
- Li, Z.; Chen, S.; Gu, Z.; Chen, J.; Wu, J. Alpha-cyclodextrin: Enzymatic production and food applications. Trends Food Sci. Technol. 2014, 35, 151–160. [Google Scholar] [CrossRef]
- Saokham, P.; Loftsson, T. γ-Cyclodextrin. Int. J. Pharm. 2017, 516, 278–292. [Google Scholar] [CrossRef] [PubMed]
- Lachowicz, M.; Stańczak, A.; Kołodziejczyk, M. Characteristic of Cyclodextrins: Their Role and Use in the Pharmaceutical Technology. Curr. Drug Targets 2020, 21, 1495–1510. [Google Scholar] [CrossRef]
- Malanga, M.; Szemán, J.; Fenyvesi, É.; Puskás, I.; Csabai, K.; Gyémánt, G.; Fenyvesi, F.; Szente, L. “Back to the Future”: A New Look at Hydroxypropyl Beta-Cyclodextrins. J. Pharm. Sci. 2016, 105, 2921–2931. [Google Scholar] [CrossRef]
- Ulloth, J.E.; Almaguel, F.G.; Padilla, A.; Bu, L.; Liu, J.W.; De Leon, M. CHARACTERIZATION OF METHYL-β-CYCLODEXTRIN TOXICITY IN NGF-DIFFERENTIATED PC12 CELL DEATH. Neurotoxicology 2007, 28, 613. [Google Scholar] [CrossRef]
- Wanibuchi, K.; Hosoda, K.; Amgalanbaatar, A.; Hirai, Y.; Shoji, M.; Shimomura, H. A short review, effect of dimethyl-β-cyclodextrin on the interaction between Helicobacter pylori and steroidal compounds. Heliyon 2021, 7, e06767. [Google Scholar] [CrossRef] [PubMed]
- Gharibzahedi, S.M.T.; Jafari, S.M. Nanocapsule Formation by Cyclodextrins; Elsevier Inc.: Amsterdam, The Netherlands, 2017; ISBN 9780128094365. [Google Scholar]
- Conceição, J.; Adeoye, O.; Cabral-Marques, H.M.; Lobo, J.M.S. Cyclodextrins as excipients in tablet formulations. Drug Discov. Today 2018, 23, 1274–1284. [Google Scholar] [CrossRef]
- Kumar, A.; Sahoo, S.K.; Padhee, K.; Pal, P.; Kochar, S.; Satapathy, A.; Pathak, N. Pharmacie Globale International Journal of Comprehensive Pharmacy Review on Solubility Enhancement Techniques for Hydrophobic Drugs. Pharm. Glob. 2011, 3, 1–7. [Google Scholar]
- Cheirsilp, B.; Rakmai, J. Inclusion complex formation of cyclodextrin with its guest and their applications. Rev. Artic. Biol. Eng. Med. Biol. Eng. Med. 2016, 2, 1–6. [Google Scholar] [CrossRef]
- Coricovac, D.; Soica, C.; Muntean, D.; Popovici, R.A.; Dehelean, C.A.; Hogea, E. Assessment of the effects induced by two triterpenoids on liver mitochondria respiratory function isolated from aged rats. Rev. Chim. 2015, 66, 1707–1710. [Google Scholar]
- Soica, C.; Danciu, C.; Savoiu-Balint, G.; Borcan, F.; Ambrus, R.; Zupko, I.; Bojin, F.; Coricovac, D.; Ciurlea, S.; Avram, S.; et al. Betulinic acid in complex with a gamma-cyclodextrin derivative decreases proliferation and in vivo tumor development of non-metastatic and metastatic B164A5 cells. Int. J. Mol. Sci. 2014, 15, 8235–8255. [Google Scholar] [CrossRef]
- Sun, Y.F.; Song, C.K.; Viernstein, H.; Unger, F.; Liang, Z.S. Apoptosis of human breast cancer cells induced by microencapsulated betulinic acid from sour jujube fruits through the mitochondria transduction pathway. Food Chem. 2013, 138, 1998–2007. [Google Scholar] [CrossRef]
- López-Miranda, S.; Guardiola, L.; Hernández-Sánchez, P.; Núñez-Delicado, E. Complexation between oleanolic and maslinic acids with native and modified cyclodextrins. Food Chem. 2018, 240, 139–146. [Google Scholar] [CrossRef]
- Ren, Y.; Liu, Y.; Yang, Z.; Niu, R.; Gao, K.; Yang, B.; Liao, X.; Zhang, J. Solid inclusion complexes of oleanolic acid with amino-appended β-cyclodextrins (ACDs): Preparation, characterization, water solubility and anticancer activity. Mater. Sci. Eng. C 2016, 69, 68–76. [Google Scholar] [CrossRef] [PubMed]
- Oprean, C.; Mioc, M.; Csányi, E.; Ambrus, R.; Bojin, F.; Tatu, C.; Cristea, M.; Ivan, A.; Danciu, C.; Dehelean, C.; et al. Improvement of ursolic and oleanolic acids’ antitumor activity by complexation with hydrophilic cyclodextrins. Biomed. Pharmacother. 2016, 83, 1095–1104. [Google Scholar] [CrossRef] [PubMed]
- Soica, C.; Oprean, C.; Borcan, F.; Danciu, C.; Trandafirescu, C.; Coricovac, D.; Crainiceanu, Z.; Dehelean, C.A.; Dehelean, M.M. The synergistic biologic activity of oleanolic and ursolic acids in complex with hydroxypropyl-γ-cyclodextrin. Molecules 2014, 19, 4924–4940. [Google Scholar] [CrossRef]
- Da Júnior, W.F.S.; de Menezes, D.L.B.; de Oliveira, L.C.; Koester, L.S.; de Almeida, P.D.O.; Lima, E.S.; de Azevedo, E.P.; Júnior, V.F.d.V.; de Lima, Á.A.N. Inclusion complexes of β and HPβ-cyclodextrin with α, β amyrin and in vitro anti-inflammatory activity. Biomolecules 2019, 9, 241. [Google Scholar] [CrossRef] [PubMed]
- Jafari, S.F.; Khadeer Ahamed, M.B.; Iqbal, M.A.; Al Suede, F.S.R.; Khalid, S.H.; Haque, R.A.; Nassar, Z.D.; Umar, M.I.; Abdul Majid, A.M.S. Increased aqueous solubility and proapoptotic activity of potassium koetjapate against human colorectal cancer cells. J. Pharm. Pharmacol. 2014, 66, 1394–1409. [Google Scholar] [CrossRef]
- Liu, C.; Zhang, W.; Wang, Q.; Sun, Y.; Diao, G.W. The water-soluble inclusion complex of ilexgenin A with β-cyclodextrin polymer-a novel lipid-lowering drug candidate. Org. Biomol. Chem. 2013, 11, 4993–4999. [Google Scholar] [CrossRef]
- Delebinski, C.I.; Jaeger, S.; Kemnitz-Hassanin, K.; Henze, G.; Lode, H.N.; Seifert, G.J. A new development of triterpene acid-containing extracts from Viscum album L. displays synergistic induction of apoptosis in acute lymphoblastic leukaemia. Cell Prolif. 2012, 45, 176–187. [Google Scholar] [CrossRef]
- Delebinski, C.I.; Twardziok, M.; Kleinsimon, S.; Hoff, F.; Mulsow, K.; Rolff, J.; Jäger, S.; Eggert, A.; Seifert, G. A natural combination extract of Viscum album L. containing both triterpene acids and lectins is highly effective against AML in Vivo. PLoS ONE 2015, 10, 1–20. [Google Scholar] [CrossRef]
- Strüh, C.M.; Jäger, S.; Schempp, C.M.; Scheffler, A.; Martin, S.F. A novel triterpene extract from mistletoe induces rapid apoptosis in murine B16.F10 melanoma cells. Phyther. Res. 2012, 26, 1507–1512. [Google Scholar] [CrossRef]
- Sawatdee, S.; Choochuay, K.; Chanthorn, W.; Srichana, T. Evaluation of the topical spray containing Centella asiatica extract and its efficacy on excision wounds in rats. Acta Pharm. 2016, 66, 233–244. [Google Scholar] [CrossRef]
- Deshaware, S.; Gupta, S.; Singhal, R.S.; Joshi, M.; Variyar, P.S. Debittering of bitter gourd juice using β-cyclodextrin: Mechanism and effect on antidiabetic potential. Food Chem. 2018, 262, 78–85. [Google Scholar] [CrossRef] [PubMed]
- Tambe, A.; Mokashi, P.; Pandita, N. Ex-vivo intestinal absorption study of boswellic acid, cyclodextrin complexes and poloxamer solid dispersions using everted gut sac technique. J. Pharm. Biomed. Anal. 2019, 167, 66–73. [Google Scholar] [CrossRef] [PubMed]
- Mura, P. Analytical techniques for characterization of cyclodextrin complexes in the solid state: A review. J. Pharm. Biomed. Anal. 2015, 113, 226–238. [Google Scholar] [CrossRef] [PubMed]
- Mura, P. Analytical techniques for characterization of cyclodextrin complexes in aqueous solution: A review. J. Pharm. Biomed. Anal. 2014, 101, 238–250. [Google Scholar] [CrossRef] [PubMed]
- Mazurek, A.H.; Szeleszczuk, Ł.; Pisklak, D.M. Periodic DFT Calculations—Review of Applications in the Pharmaceutical Sciences. Pharmaceutics 2020, 12, 415. [Google Scholar] [CrossRef]
- Sursyakova, V.V.; Maksimov, N.G.; Levdansky, V.A.; Rubaylo, A.I. Combination of phase-solubility method and capillary zone electrophoresis to determine binding constants of cyclodextrins with practically water-insoluble compounds. J. Pharm. Biomed. Anal. 2018, 160, 12–18. [Google Scholar] [CrossRef]
- Igami, K.; Ozawa, M.; Inoue, S.; Iohara, D.; Miyazaki, T.; Shinoda, M.; Anraku, M.; Hirayama, F.; Uekama, K. The formation of an inclusion complex between a metabolite of ginsenoside, compound K and γ-cyclodextrin and its dissolution characteristics. J. Pharm. Pharmacol. 2016, 68, 646–654. [Google Scholar] [CrossRef] [PubMed]
- Ramos, A.I.; Vaz, P.D.; Braga, S.S.; Silva, A.M.S. Association of aescin with β- and γ-cyclodextrins studied by DFT calculations and spectroscopic methods. Beilstein J. Nanotechnol. 2017, 8, 348–357. [Google Scholar] [CrossRef]
- Sursyakova, V.V.; Levdansky, V.A.; Rubaylo, A.I. Thermodynamic parameters for the complexation of water-soluble betulin derivatives with (2-hydroxypropyl)-β-cyclodextrin determined by affinity capillary electrophoresis. J. Mol. Liq. 2019, 283, 325–331. [Google Scholar] [CrossRef]
- Seca, A.M.L.; Pinto, D.C.G.A. Plant secondary metabolites as anticancer agents: Successes in clinical trials and therapeutic application. Int. J. Mol. Sci. 2018, 19, 263. [Google Scholar] [CrossRef]
- Hughes, J.; Rees, S.; Kalindjian, S.; Philpott, K. Principles of early drug discovery. Br. J. Pharmacol. 2011, 162, 1239–1249. [Google Scholar] [CrossRef]
- Dilworth, L.L.; Riley, C.K.; Stennett, D.K. Plant Constituents: Carbohydrates, Oils, Resins, Balsams, and Plant Hormones. In Pharmacognosy; Academic Press: Cambridge, MA, USA, 2017; pp. 61–80. [Google Scholar] [CrossRef]
- Azmir, J.; Zaidul, I.S.M.; Rahman, M.M.; Sharif, K.M.; Mohamed, A.; Sahena, F.; Jahurul, M.H.A.; Ghafoor, K.; Norulaini, N.A.N.; Omar, A.K.M. Techniques for extraction of bioactive compounds from plant materials: A review. J. Food Eng. 2013, 117, 426–436. [Google Scholar] [CrossRef]
- Wang, C.; Liu, H.; Zhang, B.; Guo, H. Determination of oleanolic and ursolic acid in Chinese herbs using HPLC and γ-CD as mobile phase modifier. J. Sep. Sci. 2011, 34, 3023–3028. [Google Scholar] [CrossRef]
- Wang, C.; Zhao, Y.; Yang, R.; Liu, H. Simultaneous analysis of five triterpenes in Centella asiatica by high performance liquid chromatography with cyclodextrins as the mobile phase additives. Sci. Rep. 2020, 10, 1–8. [Google Scholar] [CrossRef]
- Wang, C.; Yang, R.; Zhang, B.; Qiao, R.; Liu, H. The apparent formation constants of asiatic acid and its derivatives existing in Centella asiatica with cyclodextrins by HPLC. J. Incl. Phenom. Macrocycl. Chem. 2020, 98, 261–270. [Google Scholar] [CrossRef]
- Fanali, S.; Chankvetadze, B. Some thoughts about enantioseparations in capillary electrophoresis. Electrophoresis 2019, 40, 2420–2437. [Google Scholar] [CrossRef]
- Sursyakova, V.V.; Levdansky, V.A.; Rubaylo, A.I. Thermodynamic parameters for the complexation of water-insoluble betulin derivatives with (2-hydroxypropyl)-γ-cyclodextrin determined by phase-solubility technique combined with capillary zone electrophoresis. Electrophoresis 2019, 40, 1656–1661. [Google Scholar] [CrossRef]
- Emara, S.; Masujima, T.; Zarad, W.; Mohamed, K.; Kamal, M.; Fouad, M.; EL-Bagary, R. Field-amplified sample stacking β-cyclodextrin modified capillary electrophoresis for quantitative determination of diastereomeric saponins. J. Chromatogr. Sci. 2014, 52, 1308–1316. [Google Scholar] [CrossRef] [PubMed][Green Version]
- Ren, T.; Xu, Z. Study of isomeric pentacyclic triterpene acids in traditional Chinese medicine of Forsythiae Fructus and their binding constants with β-cyclodextrin by capillary electrophoresis. Electrophoresis 2018, 39, 1006–1013. [Google Scholar] [CrossRef] [PubMed]
- Gong, Y.; Huang, X.Y.; Pei, D.; Duan, W.D.; Zhang, X.; Sun, X.; Di, D.L. The applicability of high-speed counter current chromatography to the separation of natural antioxidants. J. Chromatogr. A 2020, 1623, 461150. [Google Scholar] [CrossRef] [PubMed]
- Bao, H.; Sun, W.; Jin, Y.; Wang, C.; Wang, X.; Sun, H.; Chu, C.; Tong, S. Preparative separation of structural isomeric pentacyclic triterpenes from Eriobotrya japonica (Thunb.) leaves by high speed countercurrent chromatography with hydroxypropyl-β-cyclodextrin as additive. J. Chromatogr. A 2021, 1646. [Google Scholar] [CrossRef]
- Wang, C.; Wang, X.; Zhao, S.; Zuo, G.; Xu, M.; Tong, S. Liquid chromatographic and liquid-liquid chromatographic separation of structural isomeric oleanolic acid and ursolic acid using hydroxypropyl-β-cyclodextrin as additive. J. Chromatogr. A 2020, 1625, 461332. [Google Scholar] [CrossRef] [PubMed]
- Madikizela, L.M.; Tavengwa, N.T.; Chimuka, L. Applications of molecularly imprinted polymers for solid-phase extraction of non-steroidal anti-inflammatory drugs and analgesics from environmental waters and biological samples. J. Pharm. Biomed. Anal. 2018, 147, 624–633. [Google Scholar] [CrossRef]
- Tang, W.; Du, W.; Guo, P.; Wu, N.; Du, K.; Xu, C.; Luo, Z.; Chang, R.; Zeng, A.; Jing, W.; et al. Molecularly imprinted solid phase extraction using bismethacryloyl-β-cyclodextrin and methacrylic acid as double functional monomers for selective analysis of glycyrrhizic acid in aqueous media. J. Chromatogr. Sci. 2017, 55, 166–173. [Google Scholar] [CrossRef]
- Moses, T.; Pollier, J.; Thevelein, J.M.; Goossens, A. Bioengineering of plant (tri)terpenoids: From metabolic engineering of plants to synthetic biology in vivo and in vitro. New Phytol. 2013, 200, 27–43. [Google Scholar] [CrossRef]
- Ramirez-Estrada, K.; Vidal-Limon, H.; Hidalgo, D.; Moyano, E.; Golenioswki, M.; Cusidó, R.M.; Palazon, J. Elicitation, an effective strategy for the biotechnological production of bioactive high-added value compounds in plant cell factories. Molecules 2016, 21, 182. [Google Scholar] [CrossRef]
- Belchí-Navarro, S.; Almagro, L.; Lijavetzky, D.; Bru, R.; Pedreño, M.A. Enhanced extracellular production of trans-resveratrol in Vitis vinifera suspension cultured cells by using cyclodextrins and methyljasmonate. Plant Cell Rep. 2012, 31, 81–89. [Google Scholar] [CrossRef] [PubMed]
- Sabater-Jara, A.B.; Onrubia, M.; Moyano, E.; Bonfill, M.; Palazón, J.; Pedreño, M.A.; Cusidó, R.M. Synergistic effect of cyclodextrins and methyl jasmonate on taxane production in Taxus × media cell cultures. Plant Biotechnol. J. 2014, 12, 1075–1084. [Google Scholar] [CrossRef]
- Lan, X.; Xiao, H. Cyclodextrins facilitate the efficient secretion of an anti-tumor triterpenoid ganoderic acid HLDOA by Saccharomyces cerevisiae. J. Biosci. Bioeng. 2020, 130, 142–148. [Google Scholar] [CrossRef]
- Moses, T.; Pollier, J.; Almagro, L.; Buyst, D.; Van Montagu, M.; Pedreño, M.A.; Martins, J.C.; Thevelein, J.M.; Goossens, A. Combinatorial biosynthesis of sapogenins and saponins in Saccharomyces cerevisiae using a C-16α hydroxylase from Bupleurum falcatum. Proc. Natl. Acad. Sci. USA 2014, 111, 1634–1639. [Google Scholar] [CrossRef] [PubMed]
- Sharma, K.; Zafar, R. Optimization of methyl jasmonate and β-cyclodextrin for enhanced production of taraxerol and taraxasterol in (Taraxacum officinale Weber) cultures. Plant Physiol. Biochem. 2016, 103, 24–30. [Google Scholar] [CrossRef]
- Briceño, Z.; Almagro, L.; Sabater-Jara, A.B.; Calderón, A.A.; Pedreño, M.A.; Ferrer, M.A. Enhancement of phytosterols, taraxasterol and induction of extracellular pathogenesis-related proteins in cell cultures of Solanum lycopersicum cv Micro-Tom elicited with cyclodextrins and methyl jasmonate. J. Plant Physiol. 2012, 169, 1050–1058. [Google Scholar] [CrossRef]
- Commault, A.S.; Kuzhiumparambil, U.; Herdean, A.; Fabris, M.; Jaramillo-Madrid, A.C.; Abbriano, R.M.; Ralph, P.J.; Pernice, M. Methyl jasmonate and methyl-β-cyclodextrin individually boost triterpenoid biosynthesis in chlamydomonas reinhardtii uvm4. Pharmaceuticals 2021, 14, 125. [Google Scholar] [CrossRef] [PubMed]
- Pinho, E.; Grootveld, M.; Soares, G.; Henriques, M. Cyclodextrins as encapsulation agents for plant bioactive compounds. Carbohydr. Polym. 2014, 101, 121–135. [Google Scholar] [CrossRef]
- Rasoanaivo, P.; Wright, C.W.; Willcox, M.L.; Gilbert, B. Whole plant extracts versus single compounds for the treatment of malaria: Synergy and positive interactions. Malar. J. 2011, 10, 1–12. [Google Scholar] [CrossRef] [PubMed]
- Schmidt, M.; Butterweck, V. The mechanisms of action of St. John’s wort: An update. Wiener Medizinische Wochenschrift 2015, 165, 229–235. [Google Scholar] [CrossRef]
- Suberu, J.O.; Gorka, A.P.; Jacobs, L.; Roepe, P.D.; Sullivan, N.; Barker, G.C.; Lapkin, A.A. Anti-Plasmodial Polyvalent Interactions in Artemisia annua L. Aqueous Extract – Possible Synergistic and Resistance Mechanisms. PLoS ONE 2013, 8, e80790. [Google Scholar] [CrossRef]
- Chiari, B.G.; Trovatti, E.; Pecoraro, É.; Corrêa, M.A.; Cicarelli, R.M.B.; Ribeiro, S.J.L.; Isaac, V.L.B. Synergistic effect of green coffee oil and synthetic sunscreen for health care application. Ind. Crops Prod. 2014, 52, 389–393. [Google Scholar] [CrossRef]
- Twardziok, M.; Kleinsimon, S.; Rolff, J.; Jäger, S.; Eggert, A.; Seifert, G.; Delebinski, C.I. Multiple active compounds from Viscum album L. synergistically converge to promote apoptosis in Ewing sarcoma. PLoS ONE 2016, 11, 1–18. [Google Scholar] [CrossRef]
- Hu, S.C.S.; Lai, Y.C.; Lin, C.L.; Tzeng, W.S.; Yen, F.L. Inclusion complex of saikosaponin-d with hydroxypropyl-β-cyclodextrin: Improved physicochemical properties and anti-skin cancer activity. Phytomedicine 2019, 57, 174–182. [Google Scholar] [CrossRef]
- Ishida, T.; Miki, I.; Tanahashi, T.; Yagi, S.; Kondo, Y.; Inoue, J.; Kawauchi, S.; Nishiumi, S.; Yoshida, M.; Maeda, H.; et al. Effect of 18β-glycyrrhetinic acid and hydroxypropyl γcyclodextrin complex on indomethacin-induced small intestinal injury in mice. Eur. J. Pharmacol. 2013, 714, 125–131. [Google Scholar] [CrossRef]
- Zhao, M.X.; Ji, L.N.; Mao, Z.W. β-Cyclodextrin/glycyrrhizic acid functionalised quantum dots selectively enter hepatic cells and induce apoptosis. Chem. A Eur. J. 2012, 18, 1650–1658. [Google Scholar] [CrossRef] [PubMed]
- Xiao, S.; Wang, Q.; Si, L.; Shi, Y.; Wang, H.; Yu, F.; Zhang, Y.; Li, Y.; Zheng, Y.; Zhang, C.; et al. Synthesis and anti-HCV entry activity studies of β-cyclodextrin- pentacyclic triterpene conjugates. ChemMedChem 2014, 9, 1060–1070. [Google Scholar] [CrossRef] [PubMed]
- Liang, S.; Li, M.; Yu, X.; Jin, H.; Zhang, Y.; Zhang, L.; Zhou, D.; Xiao, S. Synthesis and structure-activity relationship studies of water-soluble β-cyclodextrin-glycyrrhetinic acid conjugates as potential anti-influenza virus agents. Eur. J. Med. Chem. 2019, 166, 328–338. [Google Scholar] [CrossRef] [PubMed]
- Xiao, S.; Wang, Q.; Si, L.; Zhou, X.; Zhang, Y.; Zhang, L.; Zhou, D. Synthesis and biological evaluation of novel pentacyclic triterpene α-cyclodextrin conjugates as HCV entry inhibitors. Eur. J. Med. Chem. 2016, 124, 1–9. [Google Scholar] [CrossRef] [PubMed]
- Tian, Z.; Si, L.; Meng, K.; Zhou, X.; Zhang, Y.; Zhou, D.; Xiao, S. Inhibition of influenza virus infection by multivalent pentacyclic triterpene-functionalized per-O-methylated cyclodextrin conjugates. Eur. J. Med. Chem. 2017, 134, 133–139. [Google Scholar] [CrossRef] [PubMed]
- Liu, C.; Zhang, W.; Yang, H.; Sun, W.; Gong, X.; Zhao, J.; Sun, Y.; Diao, G. A water-soluble inclusion complex of pedunculoside with the polymer β-cyclodextrin: A novel anti-inflammation agent with low toxicity. PLoS ONE 2014, 9. [Google Scholar] [CrossRef]
- Strüh, C.M.; Jäger, S.; Kersten, A.; Schempp, C.M.; Scheffler, A.; Martin, S.F. Triterpenoids Amplify Anti-Tumoral Effects of Mistletoe Extracts on Murine B16.F10 Melanoma In Vivo. PLoS ONE 2013, 8, 1–10. [Google Scholar] [CrossRef]
- Mulsow, K.; Enzlein, T.; Delebinski, C.; Jaeger, S.; Seifert, G.; Melzig, M.F. Impact of mistletoe triterpene acids on the uptake of mistletoe lectin by cultured tumor cells. PLoS ONE 2016, 11, 1–13. [Google Scholar] [CrossRef][Green Version]
- Juan, M.E.; Lozano-Mena, G.; Sánchez-González, M.; Planas, J.M. Reduction of preneoplastic lesions induced by 1,2-dimethylhydrazine in rat colon by maslinic acid, a pentacyclic triterpene from Olea europaea L. Molecules 2019, 24, 1266. [Google Scholar] [CrossRef] [PubMed]
- Li, Y.; Li, J.; Zhao, X.; Yan, Q.; Gao, Y.; Hao, J.; Hu, J.; Ju, Y. Triterpenoid-Based Self-Healing Supramolecular Polymer Hydrogels Formed by Host–Guest Interactions. Chem. A Eur. J. 2016, 22, 18435–18441. [Google Scholar] [CrossRef] [PubMed]
- Soe, H.M.S.H.; Luckanagul, J.A.; Pavasant, P.; Jansook, P. Development of in situ gel containing asiaticoside/cyclodextrin complexes. Evaluation in culture human periodontal ligament cells (HPLDCs). Int. J. Pharm. 2020, 586, 119589. [Google Scholar] [CrossRef] [PubMed]
- Wang, J.; Ke, R.; Zhang, S. Breaking the sporoderm of Ganoderma lucidum spores by combining chemical reaction with physical actuation. Nat. Prod. Res. 2017, 31, 2428–2434. [Google Scholar] [CrossRef]
- Izutani, Y.; Kanaori, K.; Oda, M. Aggregation property of glycyrrhizic acid and its interaction with cyclodextrins analyzed by dynamic light scattering, isothermal titration calorimetry, and NMR. Carbohydr. Res. 2014, 392, 25–30. [Google Scholar] [CrossRef] [PubMed]
Publisher’s Note: MDPI stays neutral with regard to jurisdictional claims in published maps and institutional affiliations. |
© 2022 by the authors. Licensee MDPI, Basel, Switzerland. This article is an open access article distributed under the terms and conditions of the Creative Commons Attribution (CC BY) license (https://creativecommons.org/licenses/by/4.0/).






















