Pyrolysis Kinetics and Combustion Behaviors of a High-Nitrogen Compound, 4,4′-Azobis(1,2,4-triazole)
Abstract
:1. Introduction
2. Results and Discussion
2.1. Morphology Characterization of ATRZ
2.2. Thermal Decomposition Kinetics of ATRZ
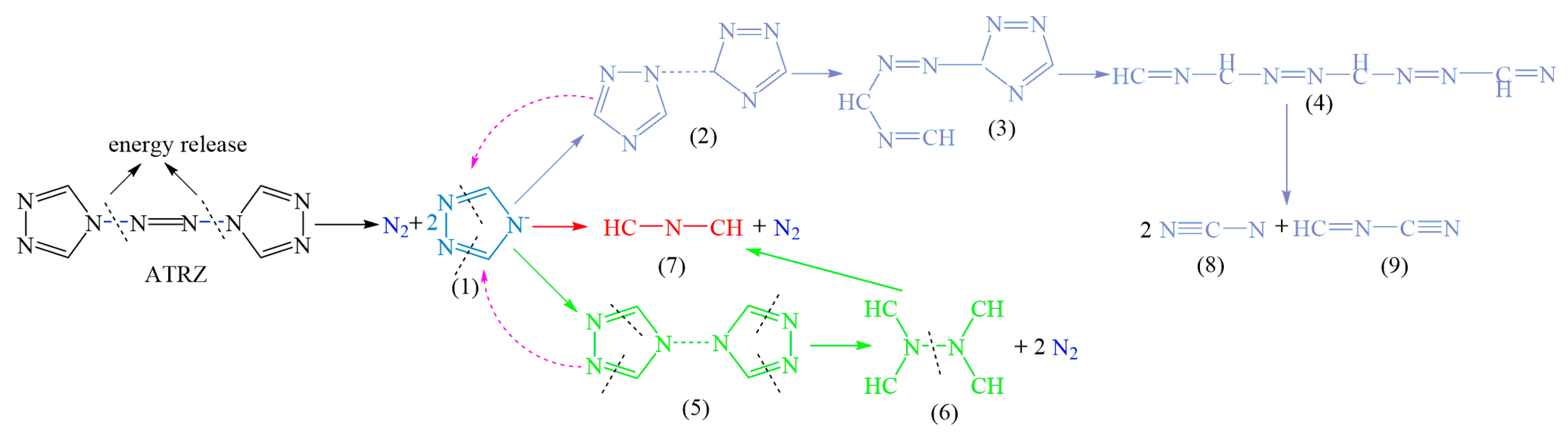
2.3. Thermal Pyrolysis Analysis of ATRZ
2.4. Combustion Measurements
3. Materials and Methods
4. Conclusions
Author Contributions
Funding
Institutional Review Board Statement
Informed Consent Statement
Data Availability Statement
Conflicts of Interest
Abbreviations
| ATRZ | 4,4′-azobis(1,2,4-triazole) |
| TG | Thermogravimetric |
| DSC | Differential scanning calorimetry |
| PY-GC/MS | Pyrolysis-gas chromatography mass spectrometry |
| Tp | Peak temperature |
| β | Heating rate |
| α | Extent of conversion |
| Ea | Activation energy |
| EK | Activation energy for the Kissinger method |
| EO | Activation energy for the Ozawa method |
| ES | Activation energy for the Satava–Sestak method |
| lgA | Pre-exponential factor |
| lgAK | Pre-exponential factor for the Kissinger method |
| lgAO | Pre-exponential factor for the Ozawa method |
| lgAS | Pre-exponential factor for the Satava–Sestak method |
| CL-20 | 2,4,6,8,10,12-hexanitro-2,4,6,8,10,12-hexaazaisowurtzitane |
| SEM | Scanning electron microscope |
| EDS | Energy dispersive spectrometer |
References
- Li, Y.L.; Wu, B.D.; Qiu, H.; Zhang, T.L.; Yang, L. Energetic materials composed of coordination polymers: {[Zn(μ-atrz)3](ClO4)2·2H2O}n and {[Cu(μ-atrz)3](NO3)2·2H2O}n. J. Coord. Chem. 2014, 67, 2016–2027. [Google Scholar] [CrossRef]
- Choi, C.; Yoo, H.W.; Goh, E.M.; Cho, S.G.; Jung, Y. Ti(N5)4 as a Potential Nitrogen-Rich Stable High-Energy Density Material. J. Phys. Chem. A 2016, 120, 4249–4255. [Google Scholar] [CrossRef] [PubMed]
- Zhang, T.; Li, X.; Zhang, C.; Chen, L.; Hu, B.; Chen, J. Thermal Decomposition Mechanism and Energy Release Law of Novel Cyclo-N5(-)-Based Nitrogen-Rich Energetic Salt. J. Phys. Chem. A 2021, 125, 9489–9494. [Google Scholar] [CrossRef] [PubMed]
- Huang, B.; Wang, B.; Wu, S.; Guégan, F.; Hu, W.; Frapper, G. Predicted Polymeric and Layered Covalent Networks in Transition Metal Pentazolate M(cyclo-N5)x Phases at Ambient and High Pressure: Up to 20 Nitrogen Atoms per Metal. Chem. Mater. 2021, 33, 5298–5307. [Google Scholar] [CrossRef]
- Hu, T.; Bi, W.; Hu, X.; Zhao, X.; Sun, D. Construction of Metal−Organic Frameworks with Novel {Zn8O13} SBU or Chiral Channels through in Situ Ligand Reaction. Cryst. Growth Des. 2010, 10, 3324–3326. [Google Scholar] [CrossRef]
- Ye, Y.; Zhang, L.; Peng, Q.; Wang, G.E.; Shen, Y.; Li, Z.; Wang, L.; Ma, X.; Chen, Q.H.; Zhang, Z.; et al. High anhydrous proton conductivity of imidazole-loaded mesoporous polyimides over a wide range from subzero to moderate temperature. J. Am. Chem. Soc. 2015, 137, 913–918. [Google Scholar] [CrossRef] [PubMed]
- Xu, Y.; Wang, Q.; Shen, C.; Lin, Q.; Wang, P.; Lu, M. A series of energetic metal pentazolate hydrates. Nature 2017, 549, 78–81. [Google Scholar] [CrossRef] [PubMed]
- Hirshberg, B.; Gerber, R.B.; Krylov, A.I. Calculations predict a stable molecular crystal of N8. Nat. Chem. 2014, 6, 52–56. [Google Scholar] [CrossRef] [PubMed]
- Christe, K.O. Polynitrogen chemistry enters the ring. Science 2017, 355, 351. [Google Scholar] [CrossRef] [PubMed]
- Pimienta, I.S. Computational Study of Monosubstituted Azo(tetrazolepentazolium)-Based Ionic Dimers. J. Phys. Chem. A 2015, 119, 5826–5841. [Google Scholar] [CrossRef] [PubMed]
- Qi, C.; Li, S.-H.; Li, Y.-C.; Wang, Y.; Chen, X.-K.; Pang, S.-P. A novel stable high-nitrogen energetic material: 4,4′-azobis(1,2,4-triazole). J. Mater. Chem. 2011, 21, 3221–3225. [Google Scholar] [CrossRef]
- Dong, Y.; Peng, P.; Hu, B.; Su, H.; Li, S.; Pang, S. High-Density Energetic Metal-Organic Frameworks Based on the 5,5′-Dinitro-2H,2′H-3,3′-bi-1,2,4-triazole. Molecules 2017, 22, 1068. [Google Scholar] [CrossRef] [PubMed]
- Jia, C.; Li, Y.; Zhang, S.; Fei, T.; Pang, S. Thermogravimetric analysis, kinetic study, and pyrolysis-GC/MS analysis of 1,1′-azobis-1,2,3-triazole and 4,4′-azobis-1,2,4-triazole. Chem. Cent. J. 2018, 12, 22. [Google Scholar] [CrossRef] [PubMed]
- Lu, F.; Dong, Y.; Fei, T.; Liu, J.; Su, H.; Li, S.; Pang, S. Noncovalent Modification of 4,4′-Azo-1,2,4-triazole Backbone via Cocrystallization with Polynitroazoles. Cryst. Growth Des. 2019, 19, 7206–7216. [Google Scholar] [CrossRef]
- Zhang, C.; Fu, X.; Li, J.; Fan, X.; Zhang, G. Desensitizing Effect of Graphene Oxide on Thermolysis Mechanisms of 4,4′-Azo-1,2,4-triazole Studied by Reactive Molecular Dynamics Simulations. J. Phys. Chem. A 2019, 123, 1285–1294. [Google Scholar] [CrossRef] [PubMed]
- Liu, W.; Li, S.-H.; Li, Y.-C.; Yang, Y.-Z.; Yu, Y.; Pang, S.-P. Nitrogen-rich salts based on polyamino substituted N,N′-azo-1,2,4-triazole: A new family of high-performance energetic materials. J. Mater. Chem. A 2014, 2, 15978–15986. [Google Scholar] [CrossRef]
- Naik, N.H.; Gore, G.M.; Gandhe, B.R.; Sikder, A.K. Studies on thermal decomposition mechanism of CL-20 by pyrolysis gas chromatography-mass spectrometry (Py-GC/MS). J. Hazard. Mater. 2008, 159, 630–635. [Google Scholar] [CrossRef] [PubMed]
- Xing, X.; Zhao, S.; Huang, W.; Li, W.; Zhang, W.; Diao, X.; Hu, R. Thermal decomposition behavior of hexanitrohexaazaisowurtzitane and its blending with BTATz (expand) and Al by microcalorimetry. J. Therm. Anal. Calorim. 2015, 120, 1393–1397. [Google Scholar] [CrossRef]
- Zhu, Y.-L.; Shan, M.-X.; Xiao, Z.-X.; Wang, J.-S.; Jiao, Q.-J. Kinetics of thermal decomposition of ε-hexanitrohexaazaisowurtzitane by TG-DSC-MS-FTIR. Korean J. Chem. Eng. 2015, 32, 1164–1169. [Google Scholar] [CrossRef]













| Samples | β/K·min−1 | Tp (°C) | EK (kJ/mol) | lgAK (s−1) |
|---|---|---|---|---|
| ATRZ | 5 | 306.1 | 780.2 | 70.5 |
| 10 | 309.3 | |||
| 15 | 310.1 | |||
| 20 | 310.9 | |||
| CL-20 | 5 | 235.4 | 239.3 | 24.3 |
| 10 | 241.9 | |||
| 15 | 245.8 | |||
| 20 | 247.3 |
| No. | g(α) |
|---|---|
| 1 | |
| 2 | |
| 3 | |
| 4–5 | |
| 6 | |
| 7 | |
| 8 | |
| 9 | |
| 10–16 | |
| 17–22 | |
| 23–27 | |
| 28 | |
| 29 | |
| 30 |
| Methods | Ozawa | Satava–Sestak | Kissinger |
|---|---|---|---|
| Ea (kJ/mol) | 751.1 | 762.1 | 780.2 |
| lgA (s−1) | 71.8 | 71.1 | 70.5 |
Publisher’s Note: MDPI stays neutral with regard to jurisdictional claims in published maps and institutional affiliations. |
© 2022 by the authors. Licensee MDPI, Basel, Switzerland. This article is an open access article distributed under the terms and conditions of the Creative Commons Attribution (CC BY) license (https://creativecommons.org/licenses/by/4.0/).
Share and Cite
Pan, Q.; Zhang, H.; Guo, X.; Sun, S.; Li, S. Pyrolysis Kinetics and Combustion Behaviors of a High-Nitrogen Compound, 4,4′-Azobis(1,2,4-triazole). Int. J. Mol. Sci. 2022, 23, 11313. https://doi.org/10.3390/ijms231911313
Pan Q, Zhang H, Guo X, Sun S, Li S. Pyrolysis Kinetics and Combustion Behaviors of a High-Nitrogen Compound, 4,4′-Azobis(1,2,4-triazole). International Journal of Molecular Sciences. 2022; 23(19):11313. https://doi.org/10.3390/ijms231911313
Chicago/Turabian StylePan, Qi, Honglei Zhang, Xueyong Guo, Sen Sun, and Shenghua Li. 2022. "Pyrolysis Kinetics and Combustion Behaviors of a High-Nitrogen Compound, 4,4′-Azobis(1,2,4-triazole)" International Journal of Molecular Sciences 23, no. 19: 11313. https://doi.org/10.3390/ijms231911313
APA StylePan, Q., Zhang, H., Guo, X., Sun, S., & Li, S. (2022). Pyrolysis Kinetics and Combustion Behaviors of a High-Nitrogen Compound, 4,4′-Azobis(1,2,4-triazole). International Journal of Molecular Sciences, 23(19), 11313. https://doi.org/10.3390/ijms231911313

