Leaf Cell Morphology Alternation in Response to Environmental Signals in Rorippa aquatica
Abstract
1. Introduction
2. Results
2.1. Leaf Thickness Is Affected by Submergence via Cell Size Regulation
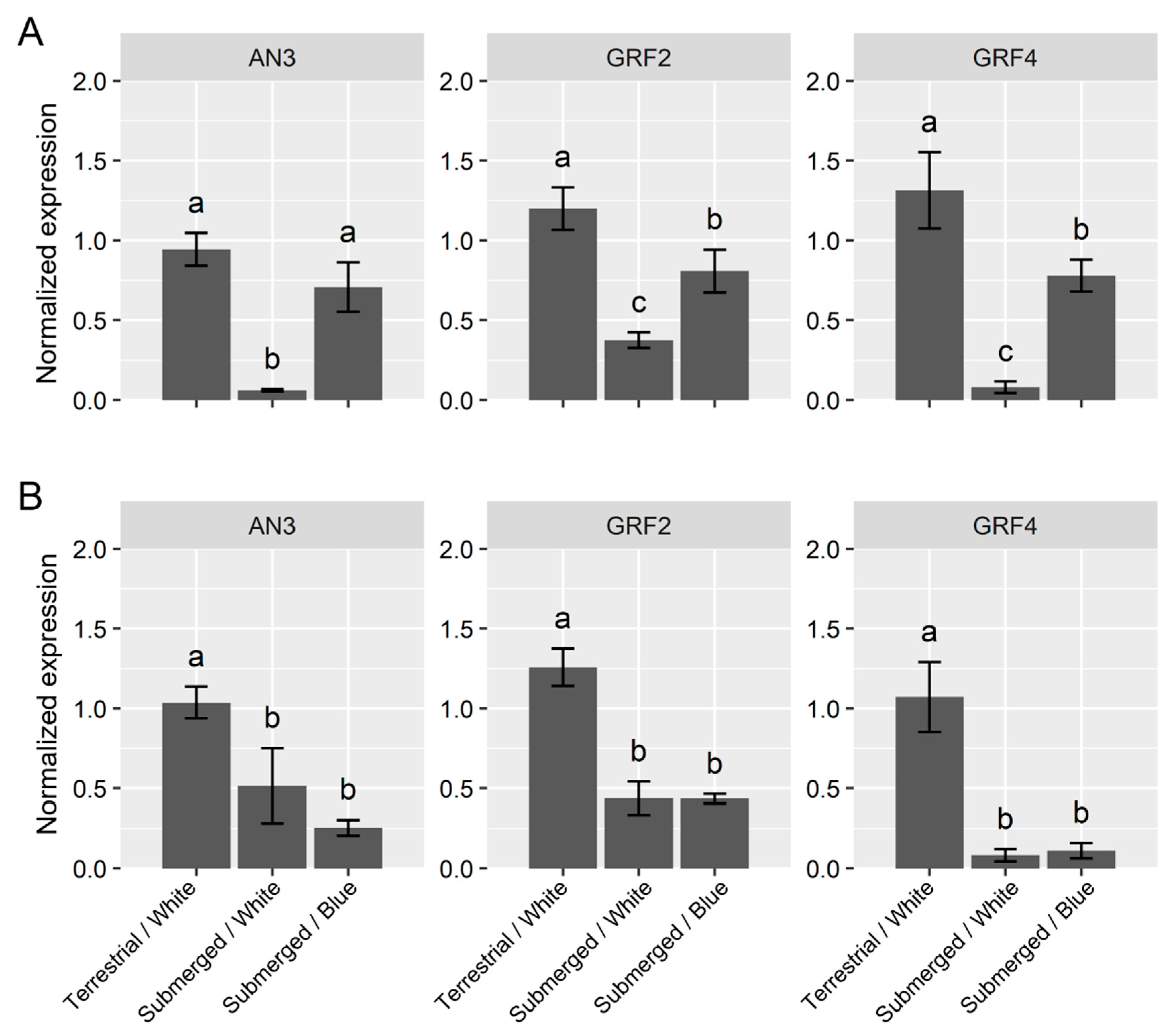
2.2. Cell Size Expansion upon Submergence Is Regulated through the AN3/GRF Pathway
2.3. Submergence Did Not Induce Polarization to Adaxial or Abaxial
3. Discussion
4. Materials and Methods
4.1. Plant Materials
4.2. Microscopic Morphological Observations
4.3. RNA Extraction and RT-qPCR Analysis
Supplementary Materials
Author Contributions
Funding
Institutional Review Board Statement
Informed Consent Statement
Conflicts of Interest
References
- Zotz, G.; Wilhelm, K.; Becker, A. Heteroblasty—A Review. Bot. Rev. 2011, 77, 109–151. [Google Scholar] [CrossRef]
- Li, G.; Hu, S.; Hou, H.; Kimura, S. Heterophylly: Phenotypic Plasticity of Leaf Shape in Aquatic and Amphibious Plants. Plants 2019, 8, 420. [Google Scholar] [CrossRef] [PubMed]
- Wells, C.L.; Pigliucci, M. Adaptive Phenotypic Plasticity: The Case of Heterophylly in Aquatic Plants. Perspect. Plant Ecol. Evol. Syst. 2000, 3, 1–18. [Google Scholar] [CrossRef]
- Nakayama, H.; Nakayama, N.; Nakamasu, A.; Sinha, N.; Kimura, S. Toward Elucidating the Mechanisms That Regulate Heterophylly. Plant Morphol. 2012, 24, 57–63. [Google Scholar] [CrossRef][Green Version]
- Nakayama, H.; Nakayama, N.; Seiki, S.; Kojima, M.; Sakakibara, H.; Sinha, N.; Kimura, S. Regulation of the KNOX-GA Gene Module Induces Heterophyllic Alteration in North American Lake Cress. Plant Cell 2014, 26, 4733–4748. [Google Scholar] [CrossRef]
- Amano, R.; Nakayama, H.; Morohoshi, Y.; Kawakatsu, Y.; Ferjani, A.; Kimura, S. A Decrease in Ambient Temperature Induces Post-Mitotic Enlargement of Palisade Cells in North American Lake Cress. PLoS ONE 2015, 10, e0141247. [Google Scholar] [CrossRef] [PubMed]
- Tsukaya, H. Interpretation of Mutants in Leaf Morphology: Genetic Evidence for a Compensatory System in Leaf Morphogenesis That Provides a New Link between Cell and Organismal Theories. Int. Rev. Cytol. 2002, 217, 1–39. [Google Scholar] [CrossRef] [PubMed]
- Beemster, G.T.S.; Fiorani, F.; Inzé, D. Cell Cycle: The Key to Plant Growth Control? Trends Plant Sci. 2003, 8, 154–158. [Google Scholar] [CrossRef]
- Koga, H.; Kojima, M.; Takebayashi, Y.; Sakakibara, H.; Tsukaya, H. Identification of the Unique Molecular Framework of Heterophylly in the Amphibious Plant Callitriche palustris L. Plant Cell 2021, 33, 3272–3292. [Google Scholar] [CrossRef]
- Li, G.; Hu, S.; Yang, J.; Schultz, E.A.; Clarke, K.; Hou, H. Water-Wisteria as an Ideal Plant to Study Heterophylly in Higher Aquatic Plants. Plant Cell Rep. 2017, 36, 1225–1236. [Google Scholar] [CrossRef]
- Lin, B.L.; Yang, W.J. Blue Light and Abscisic Acid Independently Induce Heterophyllous Switch in Marsilea quadrifolia. Plant Physiol. 1999, 119, 429–434. [Google Scholar] [CrossRef] [PubMed]
- Sakamoto, T.; Ikematsu, S.; Nakayama, H.; Mandáková, T.; Gohari, G.; Sakamoto, T.; Li, G.; Hou, H.; Matsunaga, S.; Lysak, M.A.; et al. Chromosome-Level Genome Assembly of Rorippa aquatica Revealed Its Allotetraploid Origin and Mechanisms of Heterophylly upon Submergence. bioRxiv 2022. [Google Scholar] [CrossRef]
- Omidbakhshfard, M.A.; Proost, S.; Fujikura, U.; Mueller-Roeber, B. Growth-Regulating Factors (GRFs): A Small Transcription Factor Family with Important Functions in Plant Biology. Mol. Plant 2015, 8, 998–1010. [Google Scholar] [CrossRef] [PubMed]
- Horiguchi, G.; Kim, G.-T.; Tsukaya, H. The Transcription Factor AtGRF5 and the Transcription Coactivator AN3 Regulate Cell Proliferation in Leaf Primordia of Arabidopsis thaliana. Plant J. 2005, 43, 68–78. [Google Scholar] [CrossRef]
- Horiguchi, G.; Ferjani, A.; Fujikura, U.; Tsukaya, H. Coordination of Cell Proliferation and Cell Expansion in the Control of Leaf Size in Arabidopsis thaliana. J. Plant Res. 2006, 119, 37–42. [Google Scholar] [CrossRef] [PubMed]
- Kim, J.; Joo, Y.; Kyung, J.; Jeon, M.; Park, J.Y.; Lee, H.G.; Chung, D.S.; Lee, E.; Lee, I. A Molecular Basis behind Heterophylly in an Amphibious Plant, Ranunculus trichophyllus. PLoS Genet. 2018, 14, e1007208. [Google Scholar] [CrossRef]
- Kim, J.H.; Kende, H. A Transcriptional Coactivator, AtGIF1, Is Involved in Regulating Leaf Growth and Morphology in Arabidopsis. Proc. Natl. Acad. Sci. USA 2004, 101, 13374–13379. [Google Scholar] [CrossRef]
- Fujikura, U.; Horiguchi, G.; Ponce, M.R.; Micol, J.L.; Tsukaya, H. Coordination of Cell Proliferation and Cell Expansion Mediated by Ribosome-Related Processes in the Leaves of Arabidopsis thaliana. Plant J. 2009, 59, 499–508. [Google Scholar] [CrossRef] [PubMed]
- Cheng, M.-C.; Kathare, P.K.; Paik, I.; Huq, E. Phytochrome Signaling Networks. Annu. Rev. Plant Biol. 2021, 72, 217–244. [Google Scholar] [CrossRef]
- Pierik, R.; Whitelam, G.C.; Voesenek, L.A.C.J.; de Kroon, H.; Visser, E.J.W. Canopy Studies on Ethylene-Insensitive Tobacco Identify Ethylene as a Novel Element in Blue Light and Plant-Plant Signalling. Plant J. 2004, 38, 310–319. [Google Scholar] [CrossRef]
- Sharma, P.; Chatterjee, M.; Burman, N.; Khurana, J.P. Cryptochrome 1 Regulates Growth and Development in Brassica through Alteration in the Expression of Genes Involved in Light, Phytohormone and Stress Signalling. Plant Cell Environ. 2014, 37, 961–977. [Google Scholar] [CrossRef] [PubMed]
- Nakayama, H.; Sakamoto, T.; Okegawa, Y.; Kaminoyama, K.; Fujie, M.; Ichihashi, Y.; Kurata, T.; Motohashi, K.; Al-Shehbaz, I.; Sinha, N.; et al. Comparative Transcriptomics with Self-Organizing Map Reveals Cryptic Photosynthetic Differences between Two Accessions of North American Lake Cress. Sci. Rep. 2018, 8, 3302. [Google Scholar] [CrossRef] [PubMed]
- Amano, R.; Nakayama, H.; Momoi, R.; Omata, E.; Gunji, S.; Takebayashi, Y.; Kojima, M.; Ikematsu, S.; Ikeuchi, M.; Iwase, A.; et al. Molecular Basis for Natural Vegetative Propagation via Regeneration in North American Lake Cress, Rorippa aquatica (Brassicaceae). Plant Cell Physiol. 2020, 61, 353–369. [Google Scholar] [CrossRef] [PubMed]
- Hothorn, T.; Bretz, F.; Westfall, P. Simultaneous Inference in General Parametric Models. Biom. J. 2008, 50, 346–363. [Google Scholar] [CrossRef] [PubMed]
- Hadley, W. Ggplot2: Elegant Graphics for Data Analysis; Springer: New York, NY, USA, 2016. [Google Scholar]




Publisher’s Note: MDPI stays neutral with regard to jurisdictional claims in published maps and institutional affiliations. |
© 2022 by the authors. Licensee MDPI, Basel, Switzerland. This article is an open access article distributed under the terms and conditions of the Creative Commons Attribution (CC BY) license (https://creativecommons.org/licenses/by/4.0/).
Share and Cite
Sakamoto, T.; Ikematsu, S.; Namie, K.; Hou, H.; Li, G.; Kimura, S. Leaf Cell Morphology Alternation in Response to Environmental Signals in Rorippa aquatica. Int. J. Mol. Sci. 2022, 23, 10401. https://doi.org/10.3390/ijms231810401
Sakamoto T, Ikematsu S, Namie K, Hou H, Li G, Kimura S. Leaf Cell Morphology Alternation in Response to Environmental Signals in Rorippa aquatica. International Journal of Molecular Sciences. 2022; 23(18):10401. https://doi.org/10.3390/ijms231810401
Chicago/Turabian StyleSakamoto, Tomoaki, Shuka Ikematsu, Kazuki Namie, Hongwei Hou, Gaojie Li, and Seisuke Kimura. 2022. "Leaf Cell Morphology Alternation in Response to Environmental Signals in Rorippa aquatica" International Journal of Molecular Sciences 23, no. 18: 10401. https://doi.org/10.3390/ijms231810401
APA StyleSakamoto, T., Ikematsu, S., Namie, K., Hou, H., Li, G., & Kimura, S. (2022). Leaf Cell Morphology Alternation in Response to Environmental Signals in Rorippa aquatica. International Journal of Molecular Sciences, 23(18), 10401. https://doi.org/10.3390/ijms231810401

