Novel Synthesis Methods of New Imidazole-Containing Coordination Compounds Tc(IV, V, VII)—Reaction Mechanism, Xrd and Hirshfeld Surface Analysis
Abstract
:1. Introduction
2. Results and Discussion
2.1. Structural Description of Tc(V) Complexes
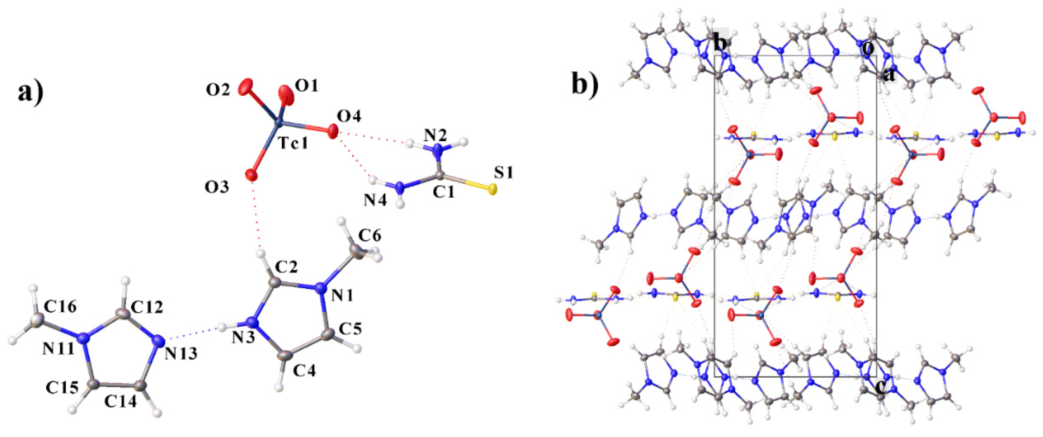
2.2. Structural Description of By-Products
2.3. Hirshfeld Surface Analysis
2.4. Ir-Spectroscopy
2.5. Proposed Mechanism for the Formation of Complexes [Tco2(Im)4]+
3. Materials and Methods
3.1. Synthesis [TcO2(Im)4]Cl·2H2O (I), [TcO2(Im)4]Br·2H2O (II), [TcO2(2-MeIm)4]Cl·2H2O (III)
3.1.1. Method 1
3.1.2. Method 2
3.2. Synthesis [TcO2(2-MeIm)4]TcO4 (IV)
3.3. Selection and Synthesis (MeIm)(HMeIm)(Tu)TcO4 (V)
3.4. Selection and Synthesis HIm2TcCl6 (VI), Him2TcBr6 (VII) (HMeIm)4Tc/SnCl6Cl2 (VIII)
3.5. Selection Tu2Cl2 (IX) and Tu2Br2 (X)
3.6. FTIR-Analysis
3.7. Single-Crystal XRD Analysis
3.8. Elemental Analysis
4. Conclusions
Supplementary Materials
Author Contributions
Funding
Institutional Review Board Statement
Informed Consent Statement
Data Availability Statement
Acknowledgments
Conflicts of Interest
References
- Volkov, M.A.; Fedoseev, A.M.; Krivoborodov, E.G.; Toropygin, I.Y.; German, K.E.; Grigoriev, M.S.; Kuznetsov, V.V.; Budantseva, N.A.; Novikov, A.P.; Mezhuev, Y.O. A new method for the synthesis of polynuclear carboxylate complexes of technetium (II, III). J. Organomet. Chem. 2022, 957, 122146. [Google Scholar] [CrossRef]
- Alberto, R. From oxo to carbonyl and arene complexes; A journey through technetium chemistry. J. Organomet. Chem. 2018, 869, 264–269. [Google Scholar] [CrossRef]
- Sidorenko, G.V.; Miroslavov, A.E. Higher Technetium(I) Carbonyls and Possibility of Using Them in Nuclear Medicine: Problems and Prospects. Radiochemistry 2021, 63, 253–262. [Google Scholar] [CrossRef]
- Zegke, M.; Grödler, D.; Roca Jungfer, M.; Haseloer, A.; Kreuter, M.; Neudörfl, J.M.; Sittel, T.; James, C.M.; Rothe, J.; Altmaier, M.; et al. Ammonium Pertechnetate in Mixtures of Trifluoromethanesulfonic Acid and Trifluoromethanesulfonic Anhydride. Angew. Chem. Int. Ed. 2022, 61, e202113777. [Google Scholar] [CrossRef] [PubMed]
- German, K.E.; Fedoseev, A.M.; Grigoriev, M.S.; Kirakosyan, G.A.; Dumas, T.; Den Auwer, C.; Moisy, P.; Lawler, K.V.; Forster, P.M.; Poineau, F. A 70-Year-Old Mystery in Technetium Chemistry Explained by the New Technetium Polyoxometalate [H7O3]4[Tc20O68] ⋅ 4H2O. Chem. Eur. J. 2021, 27, 13624–13631. [Google Scholar] [CrossRef] [PubMed]
- Abram, U.; Beyer, R.; Münze, R.; Stach, J.; Kaden, L.; Lorenz, B.; Findeisen, M. Mixed-ligand complexes of technetium-III. Synthesis and characterization of [bis(diphenylphosphino)ethane]tetrakis(trimethylphosphite)technetium(I) hexafluorophosphate, [Tc(DPPE)(TMP)4]PF6. Polyhedron 1989, 8, 1201–1204. [Google Scholar] [CrossRef]
- Duatti, A. Review on 99mTc radiopharmaceuticals with emphasis on new advancements. Nucl. Med. Biol. 2021, 92, 202–216. [Google Scholar] [CrossRef]
- Jürgens, S.; Herrmann, W.A.; Kühn, F.E. Rhenium and technetium based radiopharmaceuticals: Development and recent advances. J. Organomet. Chem. 2014, 751, 83–89. [Google Scholar] [CrossRef]
- Melent’ev, A.B.; Mashkin, A.N.; German, K.E. The influence of deviations in process parameters on the purification of uranium from different radionuclides. Theor. Found. Chem. Eng. 2016, 50, 554–561. [Google Scholar] [CrossRef]
- Daolio, A.; Pizzi, A.; Terraneo, G.; Frontera, A.; Resnati, G. Anion⋅⋅⋅Anion Interactions Involving σ-Holes of Perrhenate, Pertechnetate and Permanganate Anions. ChemPhysChem 2021, 22, 2281–2285. [Google Scholar] [CrossRef]
- Xie, R.; Shen, N.; Chen, X.; Li, J.; Wang, Y.; Zhang, C.; Xiao, C.; Chai, Z.; Wang, S. 99TcO4−Separation through Selective Crystallization Assisted by Polydentate Benzene-Aminoguanidinium Ligands. Inorg. Chem. 2021, 60, 6463–6471. [Google Scholar] [CrossRef] [PubMed]
- Zhu, L.; Sheng, D.; Xu, C.; Dai, X.; Silver, M.A.; Li, J.; Li, P.; Wang, Y.; Wang, Y.; Chen, L.; et al. Identifying the Recognition Site for Selective Trapping of 99TcO4− in a Hydrolytically Stable and Radiation Resistant Cationic Metal-Organic Framework. J. Am. Chem. Soc. 2017, 139, 14873–14876. [Google Scholar] [CrossRef] [PubMed]
- Zhu, L.; Xiao, C.; Dai, X.; Li, J.; Gui, D.; Sheng, D.; Chen, L.; Zhou, R.; Chai, Z.; Albrecht-Schmitt, T.E.; et al. Exceptional perrhenate/pertechnetate uptake and subsequent immobilization by a low-dimensional cationic coordination polymer: Overcoming the hofmeister bias selectivity. Environ. Sci. Technol. Lett. 2017, 4, 316–322. [Google Scholar] [CrossRef]
- Sheng, D.; Zhu, L.; Dai, X.; Xu, C.; Li, P.; Pearce, C.I.; Xiao, C.; Chen, J.; Zhou, R.; Duan, T.; et al. Successful Decontamination of 99TcO4− in Groundwater at Legacy Nuclear Sites by a Cationic Metal-Organic Framework with Hydrophobic Pockets. Angew. Chem. 2019, 131, 5022–5026. [Google Scholar] [CrossRef]
- Chotkowski, M.; Wrzosek, B.; Grdeń, M. Intermediate oxidation states of technetium in concentrated sulfuric acid solutions. J. Electroanal. Chem. 2018, 814, 83–90. [Google Scholar] [CrossRef]
- Li, J.; Li, B.; Shen, N.; Chen, L.; Guo, Q.; Chen, L.; He, L.; Dai, X.; Chai, Z.; Wang, S. Task-Specific Tailored Cationic Polymeric Network with High Base-Resistance for Unprecedented 99TcO4−Cleanup from Alkaline Nuclear Waste. ACS Cent. Sci. 2021, 7, 1441–1450. [Google Scholar] [CrossRef]
- Fackler, P.H.; Lindsay, M.J.; Clarke, M.J.; Kastner, M.E. Synthesis and structure of trans-[O2(Im)4Tc]Cl·2H2O, trans-[O2(1-meIm)4Tc]Cl·3H2O and related compounds. Inorg. Chim. Acta 1985, 109, 39–49. [Google Scholar] [CrossRef]
- Louis-Jean, J.; George, J.; Poineau, F. From ammonium Hexahalorhenates(IV) to nanocrystalline rhenium metal: A combined thermal, diffraction and microscopic analysis. Int. J. Refract. Met. Hard Mater. 2022, 105, 105840. [Google Scholar] [CrossRef]
- Louis-Jean, J.; Swift, A.J.; Hatchett, D.W.; Poineau, F. Conversion of (NH4)2[ReF6] into ReO2 mixed phases: A thermal analysis study. Inorg. Chem. Commun. 2022, 140, 109482. [Google Scholar] [CrossRef]
- Baldas, J.; Colmanet, S.F.; Ivanov, Z.; Williams, G.A. Preparation and structure of [{Tc(V)N(thiourea)}4(edta)2]·6H2O: The first example of a cyclic nitrido-bridged tetrameric technetium complex. J. Chem. Soc. Chem. Commun. 1994, 2153. [Google Scholar] [CrossRef]
- Abrams, M.J.; Davison, A.; Faggiani, R.; Jones, A.G.; Lock, C.J.L. Chemistry and Structure of Hexakis (thiourea-S) technetium (III) Trichloride Tetrahydrate, [Tc(SC(NH2)2)6]Cl3 * 4H2O. Inorg. Chem. 1984, 23, 3284–3288. [Google Scholar] [CrossRef]
- Omori, T. Substitution reactions of technetium compounds. In Technetium and Rhenium Their Chemistry and Its Applications; Yoshihara, K., Omori, T., Eds.; Springer: Berlin/Heidelberg, Germany, 1996; pp. 253–273. ISBN 978-3-540-49273-3. [Google Scholar]
- Welch, M.J.; Redvanly, C.S. Handbook of Radiopharmaceuticals: Radiochemistry and Applications; John Wiley & Sons: Hoboken, NJ, USA, 2003; ISBN 978-0-470-84638-4. [Google Scholar]
- Abram, U.; Alberto, R. Technetium and rhenium: Coordination chemistry and nuclear medical applications. J. Braz. Chem. Soc. 2006, 17, 1486–1500. [Google Scholar] [CrossRef]
- Liu, S. The role of coordination chemistry in the development of target-specific radiopharmaceuticals. Chem. Soc. Rev. 2004, 33, 445–461. [Google Scholar] [CrossRef] [PubMed]
- Maruk, A.Y.; Bruskin, A.B.; Kodina, G.E. Novel 99mTc radiopharmaceuticals with bifunctional chelating agents. Radiochemistry 2011, 53, 341–353. [Google Scholar] [CrossRef]
- Sergienko, V.S.; Churakov, A.V. Specific features of technetium mononuclear octahedral oxo complexes: A review. Crystallogr. Reports 2013, 58, 1–25. [Google Scholar] [CrossRef]
- Novikov, A.P.; Volkov, M.A.; Safonov, A.V.; Grigoriev, M.S. Synthesis, Crystal Structure, and Hirshfeld Surface Analysis of Hexachloroplatinate and Tetraclorouranylate of 3-Carboxypyridinium—Halogen Bonds and π-Interactions vs. Hydrogen Bonds. Crystals 2022, 12, 271. [Google Scholar] [CrossRef]
- Alvarez, S. A cartography of the van der Waals territories. Dalton Trans. 2013, 42, 8617–8636. [Google Scholar] [CrossRef] [Green Version]
- Spiwok, V. CH/π Interactions in Carbohydrate Recognition. Molecules 2017, 22, 1038. [Google Scholar] [CrossRef] [Green Version]
- Wang, L.; Hao, J.; Zhai, L.X.; Zhang, Y.; Dong, W.K. Synthesis, Crystal Structure, Luminescence, Electrochemical and Antimicrobial Properties of Bis(salamo)-Based Co(II) Complex. Crystals 2017, 7, 277. [Google Scholar] [CrossRef] [Green Version]
- Nishio, M. The CH/π hydrogen bond in chemistry. Conformation, supramolecules, optical resolution and interactions involving carbohydrates. Phys. Chem. Chem. Phys. 2011, 13, 13873–13900. [Google Scholar] [CrossRef]
- Nishio, M. CH/π hydrogen bonds in organic reactions. Tetrahedron 2005, 61, 6923–6950. [Google Scholar] [CrossRef]
- Kiessling, L.L.; Diehl, R.C. CH-π Interactions in Glycan Recognition. ACS Chem. Biol. 2021, 16, 1884–1893. [Google Scholar] [CrossRef]
- Houser, J.; Kozmon, S.; Mishra, D.; Hammerová, Z.; Wimmerová, M.; Koča, J. The CH–π Interaction in Protein–Carbohydrate Binding: Bioinformatics and In Vitro Quantification. Chem. A Eur. J. 2020, 26, 10769–10780. [Google Scholar] [CrossRef] [PubMed]
- Novikov, A.P.; Volkov, M.A.; Safonov, A.V.; Grigoriev, M.S.; Abkhalimov, E.V. Synthesis and Characterization of New Guanine Complexes of Pt(IV) and Pd(II) by X-Ray Diffraction and Hirshfeld Surface Analysis. Crystals 2021, 11, 1417. [Google Scholar] [CrossRef]
- Savastano, M.; García, C.; López de la Torre, M.D.; Pichierri, F.; Bazzicalupi, C.; Bianchi, A.; Melguizo, M. Interplay between salt bridge, hydrogen bond and anion-π interactions in thiocyanate binding. Inorg. Chim. Acta 2018, 470, 133–138. [Google Scholar] [CrossRef]
- Bombicz, P.; Mutikainen, I.; Krunks, M.; Leskelä, T.; Madarász, J.; Niinistö, L. Synthesis, vibrational spectra and X-ray structures of copper(I) thiourea complexes. Inorg. Chim. Acta 2004, 357, 513–525. [Google Scholar] [CrossRef]
- Spackman, M.A.; Jayatilaka, D. Hirshfeld surface analysis. CrystEngComm 2009, 11, 19–32. [Google Scholar] [CrossRef]
- Piña, J.J.; Gil, D.M.; Pérez, H. Revealing new non-covalent interactions in polymorphs and hydrates of Acyclovir: Hirshfeld surface analysis, NCI plots and energetic calculations. Comput. Theor. Chem. 2021, 1197, 113133. [Google Scholar] [CrossRef]
- Marek, P.H.; Urban, M.; Madura, I.D. The study of interactions with a halogen atom: Influence of NH2 group insertion on the crystal structures of meta-bromonitrobenzene derivatives. Acta Crystallogr. Sect. C Struct. Chem. 2018, 74, 1509–1517. [Google Scholar] [CrossRef]
- Novikov, A.P.; Bezdomnikov, A.A.; Grigoriev, M.S.; German, K.E. Synthesis, crystal structure and Hirshfeld surface analysis of 2-(perfluorophenyl)acetamide in comparison with some related compounds. Acta Crystallogr. Sect. E Crystallogr. Commun. 2022, 78, 80–83. [Google Scholar] [CrossRef]
- Psycharis, V.; Dermitzaki, D.; Raptopoulou, C.P. The Use of Hirshfeld Surface Analysis Tools to Study the Intermolecular Interactions in Single Molecule Magnets. Crystals 2021, 11, 1246. [Google Scholar] [CrossRef]
- Tan, S.L.; Jotani, M.M.; Tiekink, E.R.T. Utilizing Hirshfeld surface calculations, non-covalent inter action (NCI) plots and the calculation of inter action energies in the analysis of mol ecular packing. Acta Crystallogr. Sect. E Crystallogr. Commun. 2019, 75, 308–318. [Google Scholar] [CrossRef] [PubMed] [Green Version]
- Spackman, P.R.; Turner, M.J.; McKinnon, J.J.; Wolff, S.K.; Grimwood, D.J.; Jayatilaka, D.; Spackman, M.A. CrystalExplorer: A program for Hirshfeld surface analysis, visualization and quantitative analysis of molecular crystals. J. Appl. Crystallogr. 2021, 54, 1006–1011. [Google Scholar] [CrossRef] [PubMed]
- Du Preez, J.G.H.; Gerber, T.I.A.; Fourie, P.J.; Van Wyk, A.J. The Chemistry of rhenium and technetium. Part 1. Syntheses and characterisation of new dioxo technetium(V) complexes with schiff base type ligands. Inorg. Chim. Acta 1984, 82, 201–205. [Google Scholar] [CrossRef]
- Kastner, M.E.; Lindsay, M.J.; Clarke, M.J. Synthesis and Structure of trans-[O2(en)2Tc(V)]+. Inorg. Chem. 1982, 21, 2037–2040. [Google Scholar] [CrossRef]
- Zuckman, S.A.; Freeman, G.M.; Troutner, D.E.; Volkert, W.A.; Holmes, R.A.; Van Derveer, D.G.; Barefield, E.K. Preparation and X-ray Structure of trans-Dioxo(1,4,8,11-tetraazacyclotetradecane)technetium(V) Perchlorate Hydrate. Inorg. Chem. 1981, 20, 2386–2389. [Google Scholar] [CrossRef]
- Bykov, A.V.; Starokurov, Y.V.; Saletsky, A.M. IR Spectroscopy of Bidistilled and Deuterium Water under Conditions of Geometric Limitation in Glass Nanopores. Opt. Spectrosc. 2020, 128, 114–118. [Google Scholar] [CrossRef]
- Wang, X.; Wang, D.; Guo, Y.; Yang, C.; Iqbal, A.; Liu, W.; Qin, W.; Yan, D.; Guo, H. Imidazole derivative-functionalized carbon dots: Using as a fluorescent probe for detecting water and imaging of live cells. Dalton Trans. 2015, 44, 5547–5554. [Google Scholar] [CrossRef]
- 1H-Imidazole. Available online: https://webbook.nist.gov/cgi/cbook.cgi?ID=C288324&Mask=80 (accessed on 30 July 2022).
- Handbook of Radioactivity Analysis: Volume 2. Radioanalytical Applications; L’Annunziata, M.F., Ed.; Academic Press: Cambridge, MA, USA, 2020; ISBN 978-0-12-814395-7. [Google Scholar]
- Ggor, A.; Piecha, A.; Jakubas, R.; Miniewicz, A. Crystal structure and characterization of a novel acentric imidazolium analog [C3N2H5+][Br−]. Chem. Phys. Lett. 2011, 503, 134–138. [Google Scholar] [CrossRef]
- SAINT V8. 40B; Bruker AXS Inc.: Madison, WI, USA, 2020. [Google Scholar]
- Krause, L.; Herbst-Irmer, R.; Sheldrick, G.M.; Stalke, D. Comparison of silver and molybdenum microfocus X-ray sources for single-crystal structure determination. J. Appl. Crystallogr. 2015, 48, 3–10. [Google Scholar] [CrossRef] [Green Version]
- Sheldrick, G.M. SHELXT—Integrated space-group and crystal-structure determination. Acta Crystallogr. Sect. A Found. Crystallogr. 2015, 71, 3–8. [Google Scholar] [CrossRef] [Green Version]
- Sheldrick, G.M. Crystal structure refinement with SHELXL. Acta Crystallogr. Sect. C Struct. Chem. 2015, 71, 3–8. [Google Scholar] [CrossRef] [PubMed]
- Dolomanov, O.V.; Bourhis, L.J.; Gildea, R.J.; Howard, J.A.K.; Puschmann, H. OLEX2: A complete structure solution, refinement and analysis program. J. Appl. Crystallogr. 2009, 42, 339–341. [Google Scholar] [CrossRef]
- Groom, C.R.; Bruno, I.J.; Lightfoot, M.P.; Ward, S.C. The Cambridge Structural Database. Acta Crystallogr. Sect. B Struct. Sci. Cryst. Eng. Mater. 2016, 72, 171–179. [Google Scholar] [CrossRef] [PubMed]












| Structure | Rings | Angle | Centroid–Centroid Distance | Shift Distance | |
|---|---|---|---|---|---|
| II | N1C3C2N2C1 | N3C5C6N4C4 (symmetry code: −1/2+x, 1/2+y, z) | 6.503 | 3.749 | 1.175 |
| N3C5C6N4C4 (symmetry code: −1/2+x, 1/2−y, −1/2+z) | 5.351 | 3.979 | 1.718 | ||
| III | C10N7C12C11N8 | C7N5C8C9N6 (symmetry code: 1+x, y, z) | 1.325 | 3.569 | 1.269 |
| V | C5N1C2N3C4 | C15N11C12N13C14 (symmetry code: 1−x, 1−y, 1−z) | 4.667 | 3.437 | 1.153 |
| C15N11C12N13C14 | C15N11C12N13C14 (symmetry code: 1−x, 2−y,1−z) | 0.000 | 3.342 | 0.572 | |
| VI | C1N5C4C3N2 | C1N5C4C3N2 (symmetry code: 2−x, 1−y, 2−z) | 0.000 | 3.461 | 0.937 |
| VII | C1N5C4C3N2 | C1N5C4C3N2 (symmetry code: −x, 1−y, −z) | 0.000 | 3.536 | 0.960 |
| VIII | C6N2C7C11N1 | C17N9C21C19N4 (symmetry code: x, 5/2−y, −1/2+z) | 3.045 | 3.446 | 1.102 |
| C13N8C23C20N3 | C14N12C18C15N5 (symmetry code: x, 1+y, z) | 7.555 | 3.532 | 0.892 | |
| C14N12C18C15N5 (symmetry code: x, 3/2−y, 1/2+z) | 6.556 | 3.481 | 1.136 | ||
| Peak Position | Intensity | Peak Position | Intensity |
|---|---|---|---|
| 661.82 | 0.915 | 1264.79 | 0.689 |
| 659.95 | 1.070 | 1330.65 | 0.883 |
| 739.93 | 1.045 | 1434.10 | 0.834 |
| 775.83 | 1.104 | 1500.61 | 0.934 |
| 809.79 | 1.134 | 1537.21 | 1.012 |
| 847.68 | 0.979 | 1655.87 | 0.867 |
| 1065.58 | 1.221 | 2856.37 | 1.192 |
| 1094.15 | 0.912 | 2961.85 | 1.282 |
| 1137.11 | 0.864 | 3151.49 | 1.605 |
| Identification Code | II | III | IV | V | VI | VII | VIII |
|---|---|---|---|---|---|---|---|
| Empirical formula | C12H20BrN8O4Tc | C16H28ClN8O4Tc | C16H24N8O6Tc2 | C9H17N6O4STc | C6H10Cl6N4Tc | C6H10Br6N4Tc | C16H28Cl8N8Sn0.73Tc0.27 |
| Formula weight | 518.27 | 529.91 | 620.43 | 403.34 | 448.88 | 715.64 | 729.22 |
| Temperature/K | 100 (2) | 296 (2) | 100 (2) | ||||
| Crystal system | monoclinic | triclinic | monoclinic | monoclinic | monoclinic | monoclinic | monoclinic |
| Space group | Cc | P-1 | C2/c | P21/n | C2/m | P21/c | P21/c |
| a/Å | 13.0113(11) | 8.2324(7) | 14.8088(9) | 10.5966(3) | 12.4407(5) | 7.6991(9) | 14.7536(5) |
| b/Å | 11.3064(9) | 9.4890(8) | 13.1343(8) | 8.6220(3) | 7.9932(4) | 8.3979(9) | 15.0790(5) |
| c/Å | 14.2554(16) | 15.2946(13) | 12.9484(8) | 17.2476(6) | 7.4078(3) | 12.8406(16) | 13.4854(5) |
| α/° | 90 | 107.160(3) | 90 | 90 | 90 | 90 | 90 |
| β/° | 114.312(4) | 95.947(3) | 115.911(2) | 94.804(1) | 97.352(3) | 98.166(7) | 102.729(1) |
| γ/° | 90 | 96.731(3) | 90 | 90 | 90 | 90 | 90 |
| Volume/Å3 | 1911.1(3) | 1121.63(17) | 2265.3(2) | 1570.27(9) | 730.58(6) | 821.81(17) | 2926.36(18) |
| Z | 4 | 2 | 4 | 4 | 2 | 2 | 4 |
| ρcalcg/cm3 | 1.801 | 1.569 | 1.819 | 1.706 | 2.041 | 2.892 | 1.655 |
| μ/mm−1 | 2.879 | 0.800 | 1.270 | 1.073 | 2.065 | 15.447 | 1.524 |
| F(000) | 1032.0 | 544.0 | 1240.0 | 816.0 | 438.0 | 654.0 | 1457.0 |
| Crystal size/mm3 | 0.4 × 0.12 × 0.1 | 0.3 × 0.27 × 0.25 | 0.18 × 0.1 × 0.06 | 0.36 × 0.22 × 0.18 | 0.4 × 0.23 × 0.19 | 0.22 × 0.12 × 0.1 | 0.18 × 0.12 × 0.1 |
| Radiation | MoKα (λ = 0.71073) | ||||||
| 2Θ range for data collection/° | 9.316 to 59.996 | 8.264 to 59.992 | 8.336 to 59.998 | 8.374 to 70 | 8.508 to 49.91 | 8.204 to 64.974 | 8.224 to 70 |
| Index ranges | −15 ≤ h ≤ 18, −15 ≤ k ≤ 15, −20 ≤ l ≤ 20 | −11 ≤ h ≤ 11, −13 ≤ k ≤ 11, −21 ≤ l ≤ 21 | −20 ≤ h ≤ 20, −18 ≤ k ≤ 18, −18 ≤ l ≤ 18 | −17 ≤ h ≤ 17, −13 ≤ k ≤ 13, −27 ≤ l ≤ 27 | −14 ≤ h ≤ 14, −9 ≤ k ≤ 9, −8 ≤ l ≤ 8 | −11 ≤ h ≤ 10, −12 ≤ k ≤ 12, −19 ≤ l ≤ 19 | −23 ≤ h ≤ 21, −23 ≤ k ≤ 22, −21 ≤ l ≤ 21 |
| Reflections collected | 13375 | 19898 | 23979 | 72747 | 2927 | 18418 | 44345 |
| Independent reflections | 4644 [Rint = 0.0376, Rsigma = 0.0435] | 6537 [Rint = 0.0425, Rsigma = 0.0557] | 3283 [Rint = 0.0547, Rsigma = 0.0371] | 6875 [Rint = 0.0488, Rsigma = 0.0254] | 685 [Rint = 0.0336, Rsigma = 0.0279] | 2960 [Rint = 0.0400, Rsigma = 0.0293] | 12760 [Rint = 0.0370, Rsigma = 0.0389] |
| Data/restraints/parameters | 4644/8/248 | 6537/0/281 | 3283/0/149 | 6875/0/192 | 685/30/58 | 2960/0/79 | 12760/0/315 |
| Goodness-of-fit on F2 | 1.030 | 1.039 | 1.049 | 1.051 | 1.065 | 1.052 | 1.020 |
| Final R indexes [I ≥ 2σ (I)] | R1 = 0.0223, wR2 = 0.0470 | R1 = 0.0487, wR2 = 0.1090 | R1 = 0.0320, wR2 = 0.0676 | R1 = 0.0238, wR2 = 0.0510 | R1 = 0.0259, wR2 = 0.0591 | R1 = 0.0415, wR2 = 0.0877 | R1 = 0.0296, wR2 = 0.0557 |
| Final R indexes (all data) | R1 = 0.0235, wR2 = 0.0474 | R1 = 0.0665, wR2 = 0.1204 | R1 = 0.0444, wR2 = 0.0729 | R1 = 0.0310, wR2 = 0.0539 | R1 = 0.0306, wR2 = 0.0612 | R1 = 0.0665, wR2 = 0.0966 | R1 = 0.0477, wR2 = 0.0605 |
| Largest diff. peak/hole/e Å−3 | 0.34/−0.37 | 3.81/−1.88 | 0.65/−0.90 | 0.59/−0.51 | 0.47/−0.46 | 1.76/−1.03 | 1.50/−0.51 |
| Flack parameter | 0.588(7) | ||||||
Publisher’s Note: MDPI stays neutral with regard to jurisdictional claims in published maps and institutional affiliations. |
© 2022 by the authors. Licensee MDPI, Basel, Switzerland. This article is an open access article distributed under the terms and conditions of the Creative Commons Attribution (CC BY) license (https://creativecommons.org/licenses/by/4.0/).
Share and Cite
Volkov, M.A.; Novikov, A.P.; Grigoriev, M.S.; Fedoseev, A.M.; German, K.E. Novel Synthesis Methods of New Imidazole-Containing Coordination Compounds Tc(IV, V, VII)—Reaction Mechanism, Xrd and Hirshfeld Surface Analysis. Int. J. Mol. Sci. 2022, 23, 9461. https://doi.org/10.3390/ijms23169461
Volkov MA, Novikov AP, Grigoriev MS, Fedoseev AM, German KE. Novel Synthesis Methods of New Imidazole-Containing Coordination Compounds Tc(IV, V, VII)—Reaction Mechanism, Xrd and Hirshfeld Surface Analysis. International Journal of Molecular Sciences. 2022; 23(16):9461. https://doi.org/10.3390/ijms23169461
Chicago/Turabian StyleVolkov, Mikhail Alexandrovich, Anton Petrovich Novikov, Mikhail Semenovich Grigoriev, Alexander Mikhailovich Fedoseev, and Konstantin Eduardovich German. 2022. "Novel Synthesis Methods of New Imidazole-Containing Coordination Compounds Tc(IV, V, VII)—Reaction Mechanism, Xrd and Hirshfeld Surface Analysis" International Journal of Molecular Sciences 23, no. 16: 9461. https://doi.org/10.3390/ijms23169461
APA StyleVolkov, M. A., Novikov, A. P., Grigoriev, M. S., Fedoseev, A. M., & German, K. E. (2022). Novel Synthesis Methods of New Imidazole-Containing Coordination Compounds Tc(IV, V, VII)—Reaction Mechanism, Xrd and Hirshfeld Surface Analysis. International Journal of Molecular Sciences, 23(16), 9461. https://doi.org/10.3390/ijms23169461

