Analysis of Amino Acids in the Roots of Tamarix ramosissima by Application of Exogenous Potassium (K+) under NaCl Stress
Abstract
:1. Introduction
2. Results
2.1. Effect of Exogenous Potassium Application on the Proline Content of T. ramosissima Roots under NaCl Stress
2.2. Analysis of the Log2 Fold-Change of the Proline’s Relative Quantification
2.3. Analysis of Metabolic Pathways Associated with Amino Acids in T. ramosissima Roots under NaCl Stress
2.4. Analysis of the Arginine and Proline Metabolic Pathway in T. ramosissima Roots with Exogenous Potassium Applied under NaCl Stress
2.5. Phylogenetic Tree Analysis of Key Amino Acid Candidate Genes in T. ramosissima
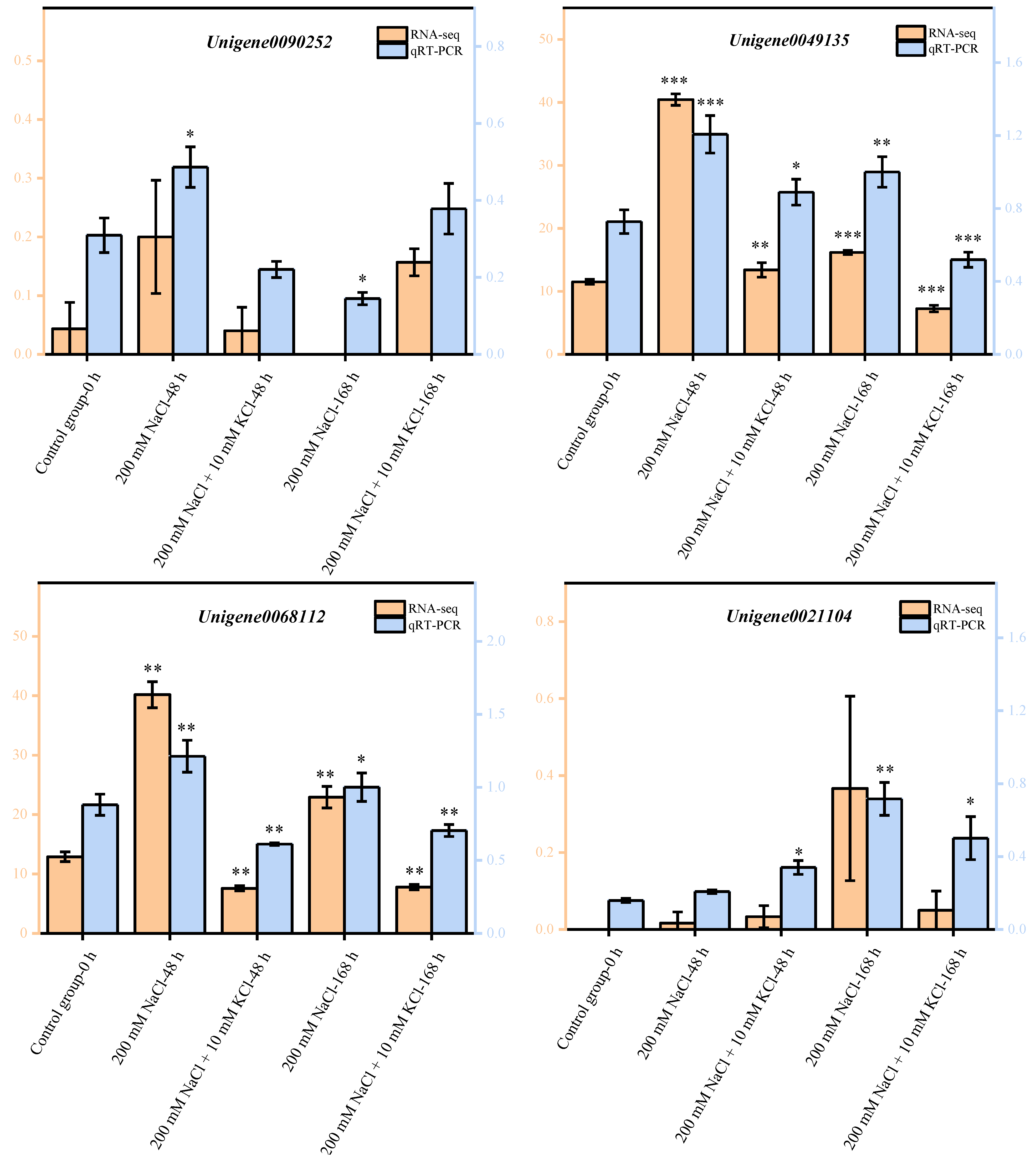
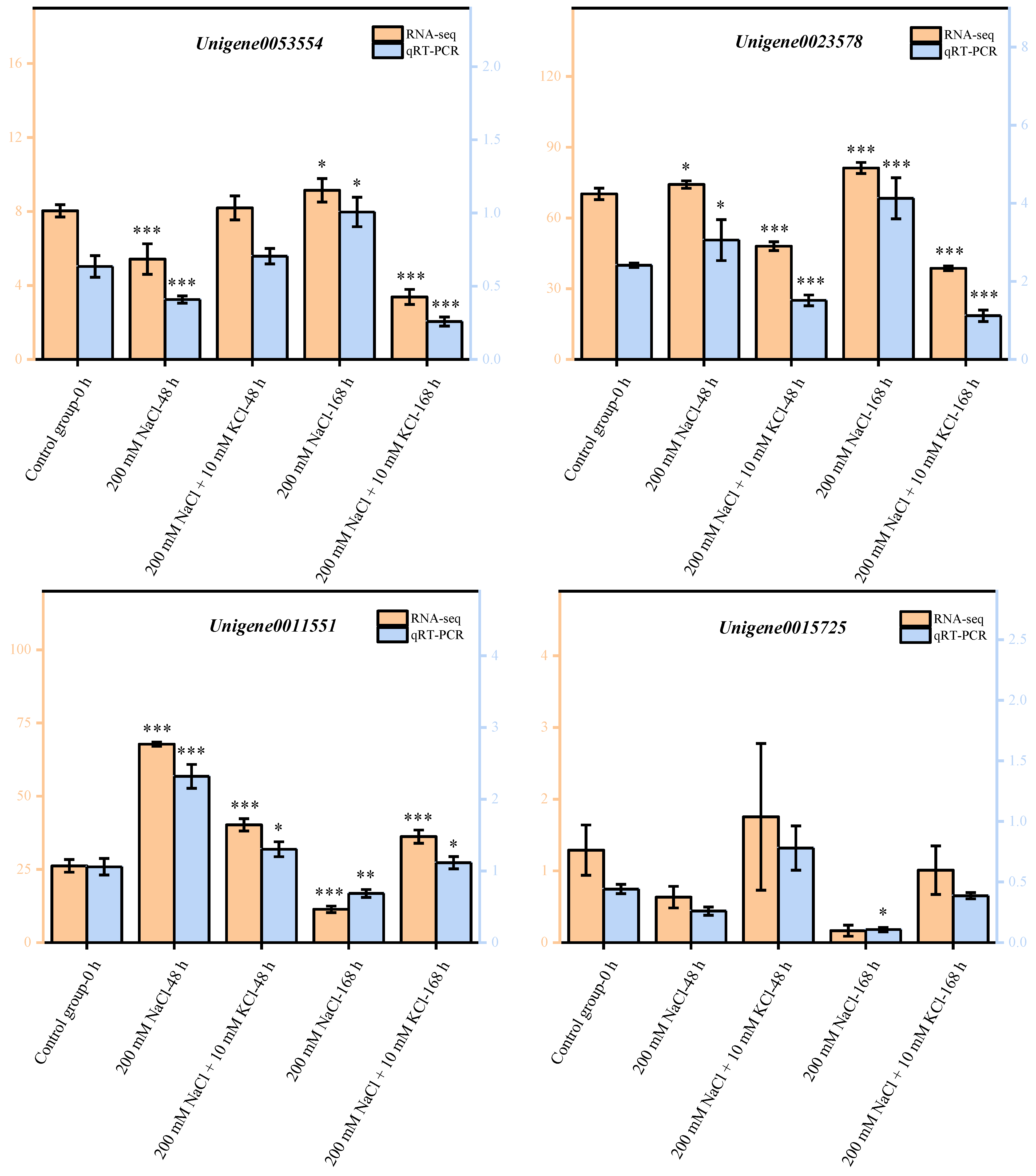
2.6. Quantitative Real-Time PCR (qRT-PCR) Validation of DEGs
3. Discussion
4. Materials and Methods
4.1. Plant Materials
4.2. Plant Materials’ Treatment
4.3. Determination of Proline Content in the Roots of T. ramosissima under Different Treatments
4.4. Transcriptome Sequencing and Screening of DEGs
4.5. Metabolic Extraction, Detection, and Differential Metabolite Screening
4.6. Phylogenetic Tree Construction of Key Candidate Genes
4.7. Quantitative Real-Time PCR (qRT-PCR) Validation of DEGs
4.8. Experimental Data Processing
5. Conclusions
Supplementary Materials
Author Contributions
Funding
Institutional Review Board Statement
Informed Consent Statement
Data Availability Statement
Acknowledgments
Conflicts of Interest
References
- Munns, R.; Tester, M. Mechanisms of salinity tolerance. Annu. Rev. Plant Biol. 2008, 59, 651–681. [Google Scholar] [CrossRef] [PubMed]
- Boyer, J.S. Plant productivity and environment. Science 1982, 218, 443–448. [Google Scholar] [CrossRef] [PubMed]
- Ismail, A.M.; Horie, T. Genomics, Physiology, and Molecular Breeding Approaches for Improving Salt Tolerance. Annu. Rev. Plant Biol. 2017, 68, 405–434. [Google Scholar] [CrossRef]
- Parmar, S.; Gharat, S.A.; Tagirasa, R.; Chandra, T.; Behera, L.; Dash, S.K.; Shaw, B.P. Identification and expression analysis of miRNAs and elucidation of their role in salt tolerance in rice varieties susceptible and tolerant to salinity. PLoS ONE 2020, 15, e230958. [Google Scholar] [CrossRef] [PubMed]
- Hildebrandt, T.M. Synthesis versus degradation: Directions of amino acid metabolism during Arabidopsis abiotic stress response. Plant Mol. Biol. 2018, 98, 121–135. [Google Scholar] [CrossRef]
- Batista-Silva, W.; Heinemann, B.; Rugen, N.; Nunes-Nesi, A.; Araujo, W.L.; Braun, H.P.; Hildebrandt, T.M. The role of amino acid metabolism during abiotic stress release. Plant Cell Environ. 2019, 42, 1630–1644. [Google Scholar] [CrossRef]
- Planchet, E.; Limami, A.M. Amino Acid Synthesis under Abiotic Stress. In Amino Acids in Higher Plants; D’Mello, J.P.F., Ed.; CAB International: Wallingford, UK, 2015; pp. 262–276. [Google Scholar] [CrossRef]
- Silveira, J.A.; Viegas, R.A.; Da, R.I.; Moreira, A.C.; Moreira, R.A.; Oliveira, J.T. Proline accumulation and glutamine synthetase activity are increased by salt-induced proteolysis in cashew leaves. J. Plant Physiol. 2003, 160, 115–123. [Google Scholar] [CrossRef]
- Kishor, P.; Hong, Z.; Miao, G.H.; Hu, C.; Verma, D. Overexpression of [delta]-Pyrroline-5-Carboxylate Synthetase Increases Proline Production and Confers Osmotolerance in Transgenic Plants. Plant Physiol. 1995, 108, 1387–1394. [Google Scholar] [CrossRef]
- Lopez-Gomez, M.; Hidalgo-Castellanos, J.; Munoz-Sanchez, J.R.; Marin-Pena, A.J.; Lluch, C.; Herrera-Cervera, J.A. Polyamines contribute to salinity tolerance in the symbiosis Medicago truncatula-Sinorhizobium meliloti by preventing oxidative damage. Plant Physiol. Biochem. 2017, 116, 9–17. [Google Scholar] [CrossRef]
- Garg, A.K.; Kim, J.K.; Owens, T.G.; Ranwala, A.P.; Choi, Y.D.; Kochian, L.V.; Wu, R.J. Trehalose accumulation in rice plants confers high tolerance levels to different abiotic stresses. Proc. Natl. Acad. Sci. USA 2002, 99, 15898–15903. [Google Scholar] [CrossRef]
- Liang, W.; Ma, X.; Wan, P.; Liu, L. Plant salt-tolerance mechanism: A review. Biochem. Biophys. Res. Commun. 2018, 495, 286–291. [Google Scholar] [CrossRef]
- Rajendrakumar, C.S.; Suryanarayana, T.; Reddy, A.R. DNA helix destabilization by proline and betaine: Possible role in the salinity tolerance process. FEBS Lett. 1997, 410, 201–205. [Google Scholar] [CrossRef]
- Smirnoff, N.; Cumbes, Q.J. Hydroxyl radical scavenging activity of compatible solutes. Phytochemistry 1989, 28, 1057–1060. [Google Scholar] [CrossRef]
- Matysik, J.; Alia; Bhalu, B.; Mohanty, P. Molecular mechanisms of quenching of reactive oxygen species by proline under stress in plants. Curr. Sci. 2002, 82, 525–532. [Google Scholar] [CrossRef]
- Sobahan, M.A.; Arias, C.R.; Okuma, E.; Shimoishi, Y.; Nakamura, Y.; Hirai, Y.; Mori, I.C.; Murata, Y. Exogenous proline and glycinebetaine suppress apoplastic flow to reduce Na(+) uptake in rice seedlings. Biosci. Biotechnol. Biochem. 2009, 73, 2037–2042. [Google Scholar] [CrossRef] [PubMed]
- Ben, A.C.; Ben, R.B.; Sensoy, S.; Boukhriss, M.; Ben, A.F. Exogenous proline effects on photosynthetic performance and antioxidant defense system of young olive tree. J. Agric. Food Chem. 2010, 58, 4216–4222. [Google Scholar] [CrossRef]
- Yan, Z.M.; Feng, Y.N.; Han, Y.L.; Wei, Y.; Guo, S.R. Effects of Exogenous Proline on Proline Metabolism of Cucumis melo under Salt Stress. Acta Bot. Boreali-Occident. Sin. 2015, 35, 2035–2041. [Google Scholar] [CrossRef]
- Yan, Z.M.; Sun, J.; Guo, S.R. Effects of exogenous proline on seedling growth, photosynthesis and photosynthetic fluorescence characteristics in leaves of melon under salt stress. Jiangsu J. Agric. Sci. 2013, 29, 1125–1130. [Google Scholar] [CrossRef]
- Yan, Z.M.; Wei, Y.; De, L.H.; Wang, Q.; Guo, S.R. Effects of exogenous proline on contents of K+, Na+, Ca2+, Mg2+ and Cl− and their distribution in musk melon seedling under salt stress. Jiangsu J. Agric. Sci. 2014, 30, 612–618. [Google Scholar] [CrossRef]
- Schachtman, D.P.; Schroeder, J.I. Structure and transport mechanism of a high-affinity potassium uptake transporter from higher plants. Nature 1994, 370, 655–658. [Google Scholar] [CrossRef]
- Demidchik, V.; Straltsova, D.; Medvedev, S.S.; Pozhvanov, G.A.; Sokolik, A.; Yurin, V. Stress-induced electrolyte leakage: The role of K+-permeable channels and involvement in programmed cell death and metabolic adjustment. J. Exp. Bot. 2014, 65, 1259–1270. [Google Scholar] [CrossRef] [PubMed]
- Wang, C.M.; Zhang, J.L.; Liu, X.S.; Li, Z.; Wu, G.Q.; Cai, J.; Flowers, T.J.; Wang, S.M. Puccinellia tenuiflora maintains a low Na+ level under salinity by limiting unidirectional Na+ influx resulting in a high selectivity for K+ over Na+. Plant Cell Environ. 2009, 32, 486–496. [Google Scholar] [CrossRef] [PubMed]
- Rao, K.M.; Raghavendra, A.S.; Reddy, K.J. Physiology and Molecular Biology of Stress Tolerance in Plants; Springer: Dordrecht, The Netherlands, 2006. [Google Scholar]
- Velarde-Buendia, A.M.; Shabala, S.; Cvikrova, M.; Dobrovinskaya, O.; Pottosin, I. Salt-sensitive and salt-tolerant barley varieties differ in the extent of potentiation of the ROS-induced K(+) efflux by polyamines. Plant Physiol. Biochem. 2012, 61, 18–23. [Google Scholar] [CrossRef]
- Song, Z.Z.; Su, Y.H. Distinctive potassium-accumulation capability of alligatorweed (Alternanthera philoxeroides) links to high-affinity potassium transport facilitated by K+-uptake systems. Weed Sci. 2012, 61, 77–84. [Google Scholar] [CrossRef]
- Yuan, F.; Xu, Y.; Leng, B.; Wang, B. Beneficial Effects of Salt on Halophyte Growth: Morphology, Cells, and Genes. Open Life Sci. 2019, 14, 191–200. [Google Scholar] [CrossRef] [PubMed]
- Duan, Q.; Zhu, Z.; Wang, B.; Chen, M. Recent Progress on the Salt Tolerance Mechanisms and Application of Tamarisk. Int. J. Mol. Sci. 2022, 23, 3325. [Google Scholar] [CrossRef]
- Lu, Y.; Lei, J.Q.; Zeng, F.J.; Xu, L.S.; Peng, S.L.; Gao, H.H.; Liu, G.J. Effects of NaCl treatment on growth and Ec-ophysiology Characteristics of Tamarix ramossisma. J. Des. Res. 2014, 34, 1509–1515. (In Chinese) [Google Scholar] [CrossRef]
- Chen, Y.; Wang, G.; Zhang, H.; Zhang, N.; Jiang, J.; Song, Z. Transcriptome analysis of Tamarix ramosissima leaves in response to NaCl stress. PLoS ONE 2022, 17, e265653. [Google Scholar] [CrossRef]
- Guo, R.; Shi, L.; Yang, C.; Yan, C.; Zhong, X.; Liu, Q.; Xia, X.; Li, H. Comparison of Ionomic and Metabolites Response under Alkali Stress in Old and Young Leaves of Cotton (Gossypium hirsutum L.) Seedlings. Front. Plant Sci. 2016, 7, 1785. [Google Scholar] [CrossRef]
- Urano, K.; Kurihara, Y.; Seki, M.; Shinozaki, K. ‘Omics’ analyses of regulatory networks in plant abiotic stress responses. Curr. Opin. Plant Biol. 2010, 13, 132–138. [Google Scholar] [CrossRef]
- Willmitzer, L.; Jozefczuk, S.; Klie, S.; Catchpole, G.; Szymanski, J.; Cuadros-Inostroza, A.; Steinhauser, D.; Selbig, J. Metabolomic and transcriptomic stress response of Escherichia coli. Mol. Syst. Biol. 2010, 6, 364. [Google Scholar] [CrossRef]
- Kusuda, H.; Koga, W.; Kusano, M.; Oikawa, A.; Saito, K.; Hirai, M.Y.; Yoshida, K.T. Ectopic expression of myo-inositol 3-phosphate synthase induces a wide range of metabolic changes and confers salt tolerance in rice. Plant Sci. 2015, 232, 49–56. [Google Scholar] [CrossRef] [PubMed]
- Abbasi, H.; Jamil, M.; Haq, A.; Ali, S.; Ahmad, R.; Malik, Z. Parveen Salt stress manifestation on plants, mechanism of salt tolerance and potassium role in alleviating it: A review. Zemdirbyste 2016, 103, 229–238. [Google Scholar] [CrossRef]
- Hyun, D.; Lee, I.; Kim, D.; Lee, S.; Seo, Y.; Lee, Y. Selection of azetidine-2-carboxylic acid resistant cell lines by in vitro mutagenesis in rice (Oryza sativa L.). J. Plant Biotechnol. 2003, 5, 43–49. [Google Scholar]
- Ashraf, M.; Foolad, M.R. Roles of glycine betaine and proline in improving plant abiotic stress resistance. Environ. Exp. Bot. 2007, 59, 206–216. [Google Scholar] [CrossRef]
- Kumar, S.; Dhingra, A.; Daniell, H. Plastid-ExpressedBetaine Aldehyde Dehydrogenase Gene in Carrot Cultured Cells, Roots, and Leaves Confers Enhanced Salt Tolerance. Plant Physiol. 2004, 136, 2843–2854. [Google Scholar] [CrossRef]
- Liao, Y.; Cui, R.; Yuan, T.; Xie, Y.; Gao, Y. Cysteine and methionine contribute differentially to regulate alternative oxidase in leaves of poplar (Populus deltoides × Populus euramericana ‘Nanlin 895′) seedlings exposed to different salinity. J. Plant Physiol. 2019, 240, 153017. [Google Scholar] [CrossRef]
- Orozco-Mosqueda, M.D.C.; Glick, B.R.; Santoyo, G. ACC deaminase in plant growth-promoting bacteria (PGPB): An efficient mechanism to counter salt stress in crops. Microbiol. Res. 2020, 235, 126439. [Google Scholar] [CrossRef]
- Arshad, M.; Frankenberger, W.T. Microbial production of plant hormones. Plant Soil 1991, 133, 1–8. [Google Scholar] [CrossRef]
- Singh, G.; Jain, S. Effect of some growth regulators on certain biochemical parameters during seed development in chickpea under salinity. Indian J. Plant Physiol. 1982, 2, 167–179. [Google Scholar]
- Zahir, Z.A.; Shah, M.K.; Naveed, M.; Akhter, M.J. Substrate-dependent auxin production by Rhizobium phaseoli improves the growth and yield of Vigna radiata L. under salt stress conditions. J. Microbiol. Biotechnol. 2010, 20, 1288–1294. [Google Scholar] [CrossRef] [PubMed]
- Abrahám, E.; Hourton-Cabassa, C.; Erdei, L.; Szabados, L. Methods for Determination of Proline in Plants. Methods Mol. Biol. 2015, 639, 317–331. [Google Scholar]
- Chen, Y.; Zhang, S.; Du, S.; Jiang, J.; Wang, G. Transcriptome and Metabonomic Analysis of Tamarix ramosissima Potassium (K+) Channels and Transporters in Response to NaCl Stress. Genes 2022, 13, 1313. [Google Scholar] [CrossRef] [PubMed]
- Love, M.I.; Huber, W.; Anders, S. Moderated estimation of fold change and dispersion for RNA-seq data with DESeq2. Genome Biol. 2014, 15, 550. [Google Scholar] [CrossRef] [PubMed]
- Conesa, A.; Gotz, S.; Garcia-Gomez, J.M.; Terol, J.; Talon, M.; Robles, M. Blast2GO: A universal tool for annotation, visualization and analysis in functional genomics research. Bioinformatics 2005, 21, 3674–3676. [Google Scholar] [CrossRef]
- Ashburner, M.; Ball, C.A.; Blake, J.A.; Botstein, D.; Butler, H.; Cherry, J.M.; Davis, A.P.; Dolinski, K.; Dwight, S.S.; Eppig, J.T.; et al. Gene Ontology: Tool for the unification of biology. Nat. Genet. 2000, 25, 25–29. [Google Scholar] [CrossRef]
- Ernst, J.; Bar-Joseph, Z. STEM: A tool for the analysis of short time series gene expression data. BMC Bioinform. 2006, 7, 191. [Google Scholar] [CrossRef]
- Saccenti, E.; Hoefsloot, H.C.J.; Smilde, A.K.; Westerhuis, J.A.; Heniks, M.M.W.B. Reflections on univariate and multivariate analysis of metabolomics data. Metabolomics 2014, 10, 361–374. [Google Scholar] [CrossRef]



: Numerical value is shown on the right side of the Y axis;
: Numerical value is shown on the left side of the Y axis.
: Numerical value is shown on the right side of the Y axis;
: Numerical value is shown on the left side of the Y axis.

| Number | Pathway | Candidate Genes with Pathway Annotation | Gene p-Value | Candidate Metabolites with Pathway Annotation | Metabolite p-Value | Pathway ID |
|---|---|---|---|---|---|---|
| 200 mM NaCl 48 h vs. 200 mM NaCl + 10 mM KCl 48 h | ||||||
| 24 | Arginine and proline metabolism | 33 | 0.757413 | 2 | 0.474945 | ko00330 |
| 200 mM NaCl 168 h vs. 200 mM NaCl + 10 mM KCl 168 h | ||||||
| 7 | Arginine and proline metabolism | 37 | 0.112464 | 2 | 0.564616 | ko00330 |
| Family | Species | Description | Protein ID | CDS (bp) | ORF Length (aa) |
|---|---|---|---|---|---|
| Amaranthaceae | Spinacia oleracea | Aldehyde dehydrogenase family 3 member F1 | XP_021849540.1 | 1467 | 488 |
| Vitaceae | Vitis riparia | Aldehyde dehydrogenase family 3 member F1 | XP_034682258.1 | 1488 | 495 |
| Rosaceae | Prunus avium | Aldehyde dehydrogenase family 3 member F1 | XP_021815051.1 | 1464 | 487 |
| Cucurbitaceae | Cucurbita maxima | Aldehyde dehydrogenase family 3 member F1 | XP_022984451.1 | 1434 | 477 |
| Solanaceae | Datura stramonium | Aldehyde dehydrogenase 3 member F1 | MCD7447503.1 | 1461 | 486 |
| Rhamnaceae | Ziziphus jujuba var. spinosa | Aldehyde dehydrogenase family 3 member F1 | XP_048335012.1 | 1455 | 484 |
| Fagaceae | Quercus suber | Aldehyde dehydrogenase family 3 member F1-like | XP_023880319.1 | 1443 | 480 |
| Rosaceae | Prunus persica | Aldehyde dehydrogenase family 3 member F1 isoform X2 | XP_020423669.1 | 1503 | 500 |
| Malvaceae | Gossypium hirsutum | Aldehyde dehydrogenase family 3 member F1 isoform X1 | XP_016692426.1 | 1452 | 483 |
| Rubiaceae | Coffea eugenioides | Aldehyde dehydrogenase family 3 member F1-like isoform X1 | XP_027178566.1 | 1467 | 488 |
| Celastraceae | Tripterygium wilfordii | Aldehyde dehydrogenase family 3 member F1 isoform X1 | XP_038697178.1 | 1473 | 490 |
| Fabaceae | Senna tora | Aldehyde dehydrogenase family 3 member F1 | KAF7828920.1 | 1458 | 485 |
| Myricaceae | Morella rubra | Aldehyde dehydrogenase family 3 member F1 | KAB1204492.1 | 1443 | 480 |
| Rubiaceae | Coffea arabica | Aldehyde dehydrogenase family 3 member F1 isoform X1 | XP_027074002.1 | 1467 | 488 |
| Myrtaceae | Syzygium oleosum | Aldehyde dehydrogenase family 3 member F1 | XP_030469961.1 | 1443 | 480 |
| Rosaceae | Pyrus × bretschneideri | Aldehyde dehydrogenase family 3 member F1 | XP_009378224.2 | 1494 | 497 |
| Solanaceae | Solanum pennellii | Aldehyde dehydrogenase family 3 member F1 isoform X1 | XP_015066806.1 | 1470 | 489 |
| Euphorbiaceae | Jatropha curcas | Aldehyde dehydrogenase family 3 member F1 | XP_012078389.1 | 1449 | 482 |
| Malvaceae | Hibiscus syriacus | Aldehyde dehydrogenase family 3 member F1 | XP_038994791.1 | 1440 | 479 |
Publisher’s Note: MDPI stays neutral with regard to jurisdictional claims in published maps and institutional affiliations. |
© 2022 by the authors. Licensee MDPI, Basel, Switzerland. This article is an open access article distributed under the terms and conditions of the Creative Commons Attribution (CC BY) license (https://creativecommons.org/licenses/by/4.0/).
Share and Cite
Chen, Y.; Zhang, S.; Du, S.; Zhang, X.; Jiang, J.; Wang, G. Analysis of Amino Acids in the Roots of Tamarix ramosissima by Application of Exogenous Potassium (K+) under NaCl Stress. Int. J. Mol. Sci. 2022, 23, 9331. https://doi.org/10.3390/ijms23169331
Chen Y, Zhang S, Du S, Zhang X, Jiang J, Wang G. Analysis of Amino Acids in the Roots of Tamarix ramosissima by Application of Exogenous Potassium (K+) under NaCl Stress. International Journal of Molecular Sciences. 2022; 23(16):9331. https://doi.org/10.3390/ijms23169331
Chicago/Turabian StyleChen, Yahui, Shiyang Zhang, Shanfeng Du, Xiaomian Zhang, Jiang Jiang, and Guangyu Wang. 2022. "Analysis of Amino Acids in the Roots of Tamarix ramosissima by Application of Exogenous Potassium (K+) under NaCl Stress" International Journal of Molecular Sciences 23, no. 16: 9331. https://doi.org/10.3390/ijms23169331
APA StyleChen, Y., Zhang, S., Du, S., Zhang, X., Jiang, J., & Wang, G. (2022). Analysis of Amino Acids in the Roots of Tamarix ramosissima by Application of Exogenous Potassium (K+) under NaCl Stress. International Journal of Molecular Sciences, 23(16), 9331. https://doi.org/10.3390/ijms23169331

