Abstract
The enzymes in the chalcone synthase family, also known as type-III polyketide synthases (PKSs), play important roles in the biosynthesis of various plant secondary metabolites and plant adaptation to environmental stresses. There have been few detailed reports regarding the gene and tissue expression profiles of the PKS (TaPKS) family members in wheat (Triticum aestivum L.). In this study, 81 candidate TaPKS genes were identified in the wheat genome, which were designated as TaPKS1–81. Phylogenetic analysis divided the TaPKS genes into two groups. TaPKS gene family expansion mainly occurred via tandem duplication and fragment duplication. In addition, we analyzed the physical and chemical properties, gene structures, and cis-acting elements of TaPKS gene family members. RNA-seq analysis showed that the expression of TaPKS genes was tissue-specific, and their expression levels differed before and after infection with Rhizoctonia cerealis. The expression levels of four TaPKS genes were also analyzed via qRT-PCR after treatment with methyl jasmonate, salicylic acid, abscisic acid, and ethylene. In the present study, we systematically identified and analyzed TaPKS gene family members in wheat, and our findings may facilitate the cloning of candidate genes associated with resistance to sheath blight in wheat.
1. Introduction
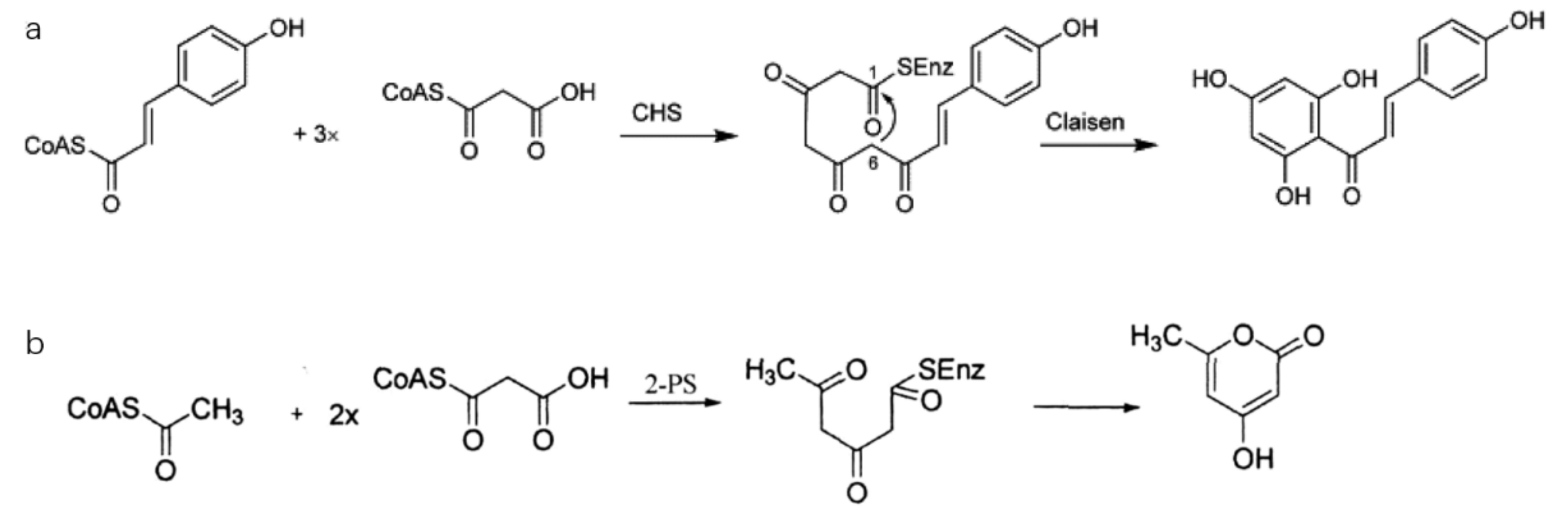
Plants resist environmental pressures by producing corresponding secondary metabolites after interacting with the environment. Polyketide-derived compounds such as flavonoids, anthrone, resorcinol, quinolones, and chromones are natural secondary metabolites in plants with diverse biological functions [1]. Polyketides are usually produced via the action of polyketide synthases (PKSs). According to the protein structure, PKSs can be divided into types I, II, and III [2,3,4,5,6]. Type-I and -II PKSs exist in microorganisms. Type-III PKSs in the chalcone synthase (CHS) superfamily are mainly distributed in plants, but also in microorganisms. Type-III PKSs in the CHS superfamily comprise 40–45 kDa dimer polypeptides, which can complete repeated condensation reactions. The coding gene usually comprises two exons and one intron. The highly conserved catalytic active center (the combined structure of Cys–His–Asn) is exactly the same in all known type-III PKS genes, and it is responsible for catalyzing the formation of the main chains of various polyketide compounds [1,7]. The functional differences in plant type-III PKSs are mainly characterized by the choice of initial substrate and the number of condensation reactions (polyketone chain extension length) [8,9,10]. In particular, CHS catalyzes the condensation of p-coumaroyl-CoA and three molecules of malonyl-CoA through three enzymatic reactions to produce enzyme-bound tetrakis ketone compound intermediates, before undergoing Claisen-type cyclization to form naringenin chalcone (Figure 1a); this is an important intermediate in the biosynthesis of plant flavonoids and isoflavones [1]. In addition, 2-pyrone synthase uses acetyl-coenzyme A as the starting substrate and condenses with two malonyl-CoA molecules to produce triacetic acid lactone [11,12] (Figure 1b). Plant type-III PKSs are responsible for synthesizing important secondary metabolites in plant defense and signal transduction processes. The expression of PKS genes can be induced by various biotic and abiotic stimuli, including ultraviolet radiation, hormones, or a pathogen attack [13,14]. For example, the expression of the CHS gene increased in Plagiochasma appendiculatum after treatment with hormones comprising abscisic acid, salicylic acid, and methyl jasmonate [1]. The induced expression of the stilbene synthase gene also varied in grapes with different degrees of resistance to Plasmopara viticola infection [15].
Figure 1.
Reaction catalyzed by type-III PKSs.
Wheat is the third most important cereal crop in the world after rice and corn, and about 35% of the world’s population is reliant on wheat [16]. Wheat sheath-blight caused by the necrotrophic fungus Rhizoctonia cerealis is highly destructive. This disease has become an important limiting factor that affects wheat yields in China, and the yield losses can even exceed 50% in severe cases [17]. Rhizoctonia cerealis is a soil-borne fungal disease that can damage the leaf sheath and stem tissues of plants during interaction with the host, thereby affecting the transport of nutrients and reducing the yield [18,19]. PKS family genes play key roles in plant resistance and signal transduction, but little is known about the PKS gene family in wheat.
In this study, we conducted a systematic and comprehensive analysis of the wheat PKS gene family members for the first time; this included identifying the TaPKS family members and their phylogenetic relationships with those in other representative species, as well as assessing the structure and evolution of TaPKS genes, gene duplications, gene localizations, and gene promoters. In addition, we combined RNA-seq data for Rhizoctonia cerealis infection-resistant and -susceptible wheat materials to analyze the trends in the expression of TaPKS genes, and verified the expression of differentially expressed TaPKS genes via qRT-PCR. Moreover, qRT-PCR was conducted to analyze the expression patterns of differentially expressed TaPKS genes following treatment with salicylic acid, methyl jasmonate, abscisic acid, and ethylene. Our results provide an important reference for further evolutionary and functional studies of PKS genes in wheat, as well as facilitating the selection of suitable candidate genes associated with resistance to wheat sheath-blight.
2. Results
2.1. Genome-Wide Identification of PKS Genes in Wheat
In total, 98 wheat PKS genes were identified by searching the Ensembl Plants database using Pfam ID (PF00195 and PF02797), but 17 were rejected due to a lack of complete conserved domains, or duplicates. The numbers of amino acids in the gene are in the range of 334–478 and their molecular weights are 36.05–52.04 kDa. The isoelectric points calculated for the TaPKS gene products range from 5.25 to 6.9. Most TaPKS family genes are hydrophobic. Details of the predicted physical and chemical properties of the gene products are listed in Supplementary Table S1.
2.2. Phylogenetic Analysis of PKS Genes in Wheat
In order to systematically analyze the evolutionary relationships among wheat PKS family genes in different species, we constructed a phylogenetic tree by combining 81 wheat PKSs and 12 previously reported plant PKS superfamily polypeptide sequences (Figure 2). Previous studies have shown that members of the PKS superfamily do not form a species-specific cluster, but instead, fall into two subfamilies comprising chalcone and non-chalcone subfamilies based on their function. The evolutionary tree in Figure 2 shows that the wheat PKS family genes were divided into CHS and non-CHS groups, with 25 PKS genes in the CHS group and 56 in the non-CHS group (Figure 2).
Figure 2.
Evolutionary tree constructed based on PKS family genes in wheat and other species. The CHS superfamily includes CHS and a series of chalcone synthase-like (CHSL, also called non-CHS) genes [20,21]. Their functional differences are mainly reflected in the selection of initial substrates and the number of condensation reactions (polyketide chain extension length) [8,9,10].
2.3. Chromosome Locations, Gene Duplications, and Synteny Analysis for TaPKS Genes
The chromosome mapping results showe that TaPKS family genes were distributed on all chromosomes, except for chromosomes 3A and 3B, and most were distributed at the ends of chromosomes in the form of gene clusters (Figure 3).
Figure 3.
Chromosome locations of PKS family genes in wheat. Black font indicates tandem duplication genes, which are connected by red arcs. The scale on the left indicates the length of the chromosome in millions of bases (Mb).
Tandem duplication and fragment duplication are essential for the evolution of gene families. Eight pairs of tandem duplication genes were identified in this study. In addition to three pairs of tandem gene clusters on Chr1B (TaPKS04 and TaPKS05, TaPKS05 and TaPKS06, and TaPKS06 and TaPKS07), one pair is present on each of Chr2B (TaPKS28 and TaPKS29), Chr2D (TaPKS36 and TaPKS37), Chr4A (TaPKS51 and TaPKS52), Chr5A (TaPKS56 and TaPKS57), and Chr5D (TaPKS63 and TaPKS64). Thirty-three pairs of segmental duplication genes were identified, whereby 30 segmental duplications occurred between partially homologous chromosomes and three between non-homologous chromosomes (Figure 4).
Figure 4.
Chromosomal distribution of PKS segmental duplication genes in wheat. The gray lines in the background represent the segmental duplication in the whole wheat genome. Red lines represent PKS gene pairs with segmental duplication.
In addition, we analyzed the Ka/Ks ratios for PKS gene pairs with tandem and fragment duplications to explore the evolutionary selection of PKS family genes in wheat (Supplementary Table S2). The Ka/Ks ratios determined for all duplicated genes were less than 1, thereby indicating that the PKS family genes in wheat have been subjected to strong purifying selection pressure to maintain their functional stability during the evolutionary process.
The collinearity coverage of the genome is greater when species are more closely related. To further infer the evolutionary origin and orthologous relationships among wheat PKS gene family members, we performed synteny analysis between wheat and the representative species comprising Triticum dicoccoides, maize, and rice (Figure 5). Figure 5 shows that the numbers of orthologous gene pairs in T. dicoccoides, maize, and rice were determined as 49, 4, and 3, respectively. The TaPKS genes are distantly related to the PKS genes in maize and rice, and only four and three PKS genes are in the syntenic segments of their genomes, respectively. By contrast, the PKS genes in wheat share a higher level of synteny with the PKS genes in T. dicoccoides, i.e., more genes are in synteny (49). Thus, the PKS genes in wheat and T. dicoccoides are closely related.
Figure 5.
Synteny analysis for PKS genes in wheat and representative species comprising T. dicoccoides, maize, and rice. The gray lines in the background represent the synteny regions in wheat and the genomes of other species, and the blue lines represent the PKS gene pairs with synteny in wheat and other species.
2.4. Structure and Conserved Domains in TaPKS Genes
Gene structure analysis can identify gene functions and evolutionary relationships, so we used CDS and DNA genome sequences to predict the structures of the TaPKS genes. As shown in Figure 6, most PKS genes contain 1–3 exons; 47 genes contain two exons and one intron (i.e., 58% of the total TaPKS genes), 13 genes contain a single exon (i.e., 16% of the total number of TaPKS genes), and six genes (TaPKS22, TaPKS22, TaPKS24, TaPKS28, TaPKS71, and TaPKS76) contain three exons, whereby TaPKS76 contains three introns and the other five TaPKS genes contain two introns. Only TaPKS56 contains five exons. Most of the genes contain an intron. Analysis of the protein motifs in the TaPKS genes (Figure 6) detected 10 conserved motifs designated as motif 1 to motif 10. Motif 1, motif 3, motif 5, motif 7, and motif 10 are conserved motifs found in all TaPKS gene family members, whereas several other motifs are relatively conserved and do not occur in all PKS family members. The TaPKS genes with close evolutionary relationships usually have similar compositions and numbers of motifs, thereby indicating that the TaPKS gene family is evolutionarily conserved, and this structural stability may be closely related to the involvement of PKS genes in many important biological processes in plants.
Figure 6.
Gene structure and conserved domains in TaPKS family genes. The structural composition of the gene is shown on the left. The yellow boxes represent exons, the green boxes represent untranslated regions, and the gray lines connecting the two colored boxes represent introns. The distribution of conserved domains is shown on the right and the boxes with different colors represent different motifs. The scale bar at the bottom of the figure shows the gene length in base pairs.
2.5. Promoter Analysis in 81 TaPKS Genes
We also analyzed the promoter regions upstream of the gene CDS regions. In total, 52 cis-acting elements were identified in the 2000 bp region upstream of the CDS for each TaPKS gene (Supplementary Table S3). According to their functions, these cis-acting elements can be divided into the following four categories (Figure 7): development-related elements with six types of elements; environmental-stress-related elements with four types of elements; hormone-responsive elements with nine types of elements; and light-responsive elements with thirty-three types of elements. Among the hormone-responsive-elements (TGA-element, AuxRR-core, GARE-motif, P-box, TATC-box, CGTCA-motif, TGACG-motif, TCA-element, and ABA-responsive element (ABRE)), excluding the TaPKS12, TaPKS13, TaPKS44, TaPKS62, TaPKS66, and TaPKS72 genes, the remaining 75 genes contain an MeJA-responsive element (CGTCA-motif and TGACG-motif), i.e., 92.6% of all genes. The promoter regions of six TaPKS genes (TaPKS16/17/24/55/66/68) do not contain an ABRE. The light-responsive elements comprise most of the types of elements, and 76 genes contain G-box elements, i.e., 93.8% of all TaPKS family genes. In addition, the number of G-box elements present in different TaPKS family genes ranges from 0 to 12. Fifty and forty-eight genes contain a CAT-box element and Box 4 element, respectively. These findings indicate that members of this family play important roles in the plant hormone response and light response processes. In addition, the numbers, types, and locations of cis-acting elements vary among the different gene promoter regions, which may be related to the specific functions of the genes. The promoter elements in each gene are shown in Supplementary Table S3.
Figure 7.
Predicted cis-acting elements in promoters of PKS genes in wheat. The ellipses with different colors represent different promoter elements and the scale at the bottom shows the length of the promoter.
2.6. Expression Profiles of TaPKS Genes
The data used to analyze the tissue-specific expression patterns of TaPKS genes were obtained from published RNA-Seq data. We analyzed the expression profiles for 81 TaPKS genes in root, leaf, seedling, spike, and anther tissues from wheat. Figure 8 shows that 69 TaPKS genes were differentially expressed in various tissues. The spike, anther, root, seeding, and leaf tissues contained 42, 16, 8, 9, and 4 TaPKS family genes, respectively, with relatively high expression levels. These results indicate that the expression of TaPKS genes is tissue-specific. Ten TaPKS genes (TaPKS48, TaPKS10, TaPKS03, TaPKS13, TaPKS49, TaPKS47, TaPKS74, TaPKS16, TaPKS72, and TaPKS66) were highly expressed in all tissues, whereas the other 59 TaPKS genes were highly expressed only in a single tissue, and mostly not in other tissues. Twelve other genes were not expressed in any of the five tissues evaluated.
Figure 8.
Cluster analysis of TaPKS gene expression in different tissues from Chinese Spring wheat. The tissue expression data used for mapping were obtained from Plant Public RNA-seq Database [22]. The change in the color of the box from green to red indicates that the gene expression level changes from low to high.
2.7. TaPKS Gene Expression Pattern under Rhizoctonia Cerealis Stress
In order to understand the responses of TaPKS genes to infection by Rhizoctonia cerealis, we used RNA-seq data for the resistant wheat material H83 and moderately susceptible wheat material 7182, inoculated with Rhizoctonia cerealis in the adult stage, to analyze the expression levels of TaPKS family genes at different inoculation time points (Figure 9). According to the results, the TaPKS gene expression profiles differed greatly between the resistant and susceptible materials (Figure 9A). When the two materials were not inoculated with Rhizoctonia cerealis, the expression patterns of the TaPKS genes were generally consistent in the two materials. At 36 h after inoculation, the expression levels of the three TaPKS family genes differed significantly in the susceptible material 7182 compared with the uninfected control. In particular, the expression level of TaPKS31 was upregulated, whereas the expression levels of TaPKS68, TaPKS33, and TaPKS71 were downregulated. At this time, eight TaPKS family genes were differentially expressed in the disease-resistant material H83 compared with the susceptible material; TaPKS70, TaPKS72, and TaPKS66 were significantly downregulated, whereas TaPKS68, TaPKS71, TaPKS31, TaPKS29, and TaPKS33 were significantly upregulated. At 72 h after inoculation, TaPKS33 and TaPKS31 were upregulated in the susceptible material 7182, whereas the other six genes were downregulated (TaPKS68, TaPKS71, TaPKS72, TaPKS66, TaPKS70, and TaPKS29). At this time, TaPKS68 and TaPKS71 were upregulated in the resistant material H83, whereas the remaining six genes (TaPKS31, TaPKS72, TaPKS60, TaPKS70, TaPKS29, and TaPKS33) were downregulated (Figure 9B).
Figure 9.
Expression profiles of TaPKS genes after infection by Rhizoctonia cerealis: (A) expression profiles of TaPKS genes in the resistant material H83 and susceptible material 7182 after inoculation; (B) expression profiles of eight differentially expressed TaPKS genes in the resistant material H83 and susceptible material 7182 after inoculation. Values of fragments per kilobase of transcripts per million mapped reads (FPKMs) are represented by a color gradient from low (green) to high (red).
At the two time points after inoculation, only the expression profile of TaPKS31 was exactly the same in the two materials, whereby its expression was upregulated at both time points. The expression patterns of TaPKS33, TaPKS68, and TaPKS71 were the opposite in the two materials; the expression of TaPKS33 was upregulated initially and then downregulated in the susceptible material 7182, whereas it was downregulated initially and then upregulated in the resistant material H83. TaPKS68 and TaPKS71 were continuously downregulated in the susceptible material but upregulated in the resistant material. Therefore, we suggest that these eight TaPKS family genes are involved in the response to wheat sheath-blight and the regulation of disease resistance. The differences in the expression and regulation of some PKS genes in the two materials may explain the differences in their resistance to Rhizoctonia cerealis.
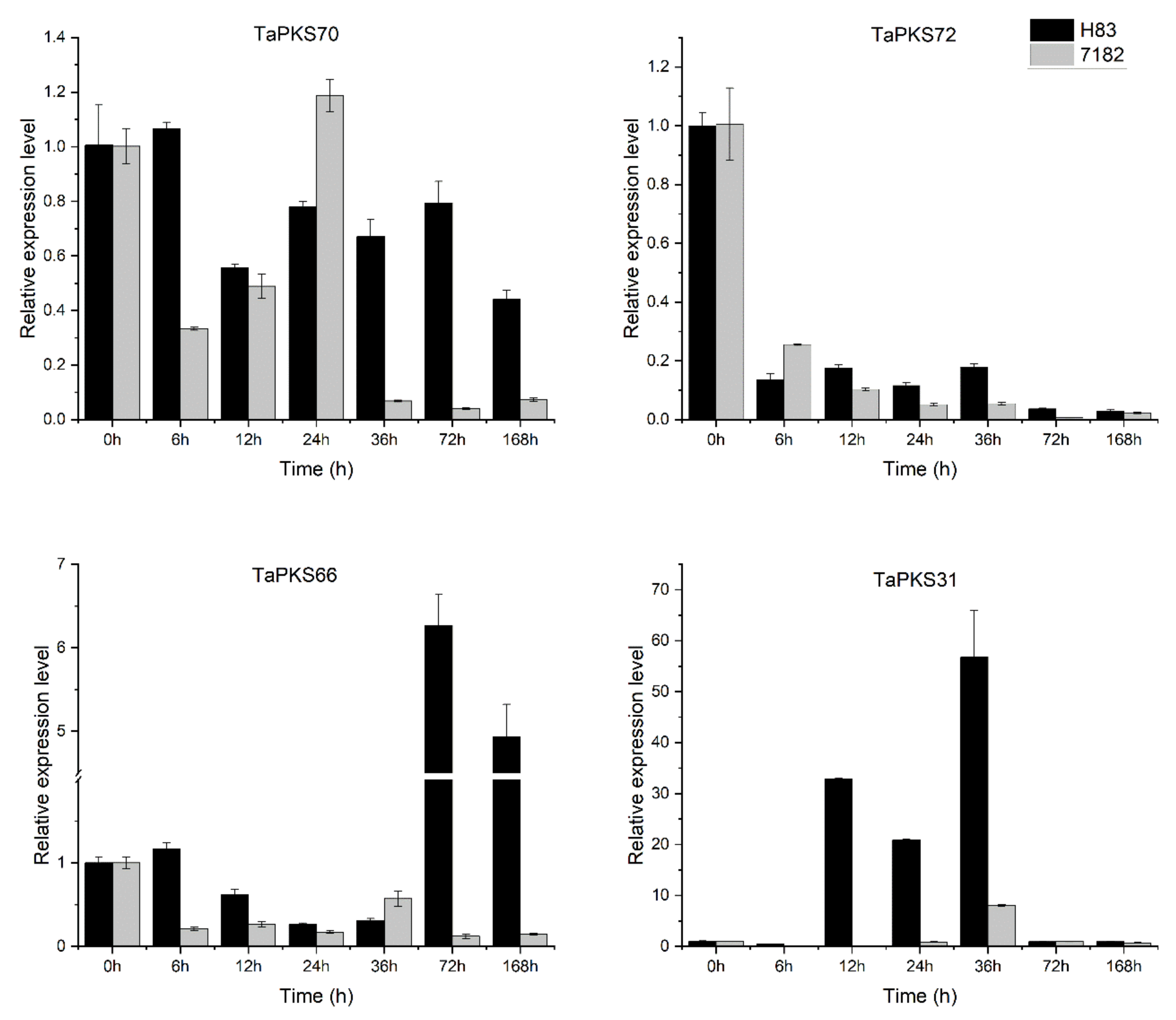
2.8. Expression Profiles of Four TaPKS Genes Analyzed via qRT-PCR
Based on the RNA-seq data, we screened eight TaPKS genes with significant differences in expression. In order to further understand the TaPKS gene expression patterns in wheat with differences in sheath-blight resistance, qRT-PCR was used to detect the TaPKS gene expression levels at 6 h, 12 h, 24 h, 36 h, 72 h, and 7 days after inoculating resistant and susceptible wheat with Rhizoctonia cerealis (Figure 10). Specific primers could not be designed for the TaPKS68, TaPKS29, TaPKS33, and TaPKS68 genes, so they were not analyzed. Finally, we performed qRT-PCR analysis for four TaPKS genes. At 36 h after inoculation, the TaPKS70, TaPKS72, and TaPKS66 genes were downregulated in both materials compared with their respective controls, whereas TaPKS31 was upregulated in both materials; however, the times with upregulated expression were much higher in the disease-resistant material than the susceptible material. At 72 h after inoculation, TaPKS70, TaPKS72, and TaPKS31 were downregulated in both materials, but TaPKS66 was upregulated in the resistant material and downregulated in the susceptible material. These results confirm the reliability of the RNA-seq data. In addition, we detected the expression of TaPKS genes at other time points after inoculation (6 h, 12 h, 24 h, and 7 days). TaPKS70 was upregulated at 6 h after inoculation in the resistant material and at 24 h after inoculation in the susceptible material. TaPKS72 was downregulated in both materials after inoculation. TaPKS66 was upregulated in the resistant material at 6 h and 7 days after inoculation, but downregulated in the susceptible material at all time points after inoculation (6 h, 12 h, 24 h, and 7 days). TaPKS31 was upregulated in the resistant material at 12 h and 24 h after inoculation, but downregulated in the susceptible material at all time points (6 h, 12 h, 24 h, and 7 days). Therefore, we suggest that the response times and expression patterns of these TaPKS genes in the different materials may explain their differences in resistance.
Figure 10.
Expression analysis for four TaPKS genes in resistant wheat (H83) and susceptible wheat (7182) at different times after inoculation with Rhizoctonia cerealis. The average expression values were calculated based on three independent replicates. The error bars on the columns represent standard deviations.
2.9. Response Patterns of Four TaPKS Family Genes after Hormone Treatment
Plant hormones such as salicylic acid, jasmonic acid, abscisic acid, and ethylene are signaling molecules that play important roles in plant resistance to biotic and abiotic stresses. Wheat plants were sprayed with these hormones at the third leaf stage, and the changes in TaPKS gene transcription under different hormone treatments were analyzed in order to understand the responses of TaPKS genes to different hormones (Figure 11). The results showe that TaPKS gene expression was significantly induced by hormone treatment, especially TaPKS72. Under salicylic acid treatment, the first peak occurred 1 h after treatment, before decreasing and then increasing again from 3 h to 12 h (Figure 11A). Under treatment with methyl jasmonate and ethylene, the first peak occurred 1 h after treatment, before gradually decreasing (Figure 11B,C). Under abscisic acid treatment, the response of TaPKS72 was more complex, with two peak values at 1 h and 6 h after treatment (Figure 11D). In addition, TaPKS70 and TaPKS66 were significantly induced by the hormones, whereas TaPKS31 was weakly induced. These results further show that the expression of TaPKS genes was regulated by salicylic acid, methyl jasmonate, ethylene, and abscisic acid. The response of TaPKS genes to hormonal induction may be related to the presence of hormonal response elements in their promoter. Therefore, we speculate that TaPKS genes may participate in the process of wheat sheath-blight resistance by mediating hormonal changes in response to Rhizoctonia cerealis infection.
Figure 11.
Expression patterns of four TaPKS genes in resistant materials after treatment with salicylic acid (SA), methyl jasmonate (MeJA), ethylene (ET), and abscisic acid (ABA). A–D represent the expression trend of four TaPKS genes treated with salicylic acid, jasmonic acid, ethylene and abscisic acid respectively. The average expression values were calculated based on three independent replicates. Error bars represent standard errors.
3. Discussion
Plants are often attacked by various pathogens, and they have evolved various defense mechanisms. In particular, previous studies have focused on plant disease resistance mediated by the PR gene, NBS-LRR gene, and Ser/Thr protein kinase [23,24,25]. In recent years, great progress has been made in understanding plant disease resistance, particularly the plant disease resistance signal-transduction pathway; however, some issues still need to be clarified. When a host plant is infected by a pathogen, various mechanisms can help it to resist the infection. In particular, plants have specialized structures such as stomata, thickened cell walls, and callose, and they can secrete antibacterial substances [26,27]. Moreover, plants can resist infection by pathogens via responses such as hypersensitivity, programmed cell death, and hormone-induced resistance. Any link in this regulatory network is indispensable. Plant PKS genes belong to a polygenic family [28] with important roles in physiological activities, such as plant anthocyanins [29], plant fertility [30], and plant defense responses [29,31].
3.1. PKS Family in Plants
In plants, CHS is the key rate-limiting enzyme in polyketide metabolism, whereby it catalyzes the production of flavonoids to participate in plant development and resist infection by pathogens [32]. The functions and regulation of PKS family genes have been investigated in many plants. For example, 5 PKS genes were identified in tobacco [33], 8 in Petunia hybrida [34], 6 in common morning glory (Ipomea purpurea) [35], 9 in flax (Linum usitatissimum L.) [36], 3 in Aquilaria sinensis calli [37], 14 in soybean (Glycine max) and corn (Zea mays L.) [38,39], 8 in pea [40], and 27 in rice [41,42]. In the present study, we identified 81 TaPKS genes with complete domains, which is three times the number of PKS genes present in rice. This difference may have been caused by genomic duplication events during wheat evolution. According to the PKS genes previously identified in other species, TaPKS genes can be divided into two categories (Figure 2), which is consistent with the classification in rice [41].
3.2. Intraspecific and Interspecific Relationships of TaPKS Genes
Tandem duplication and segmental duplication are the main routes for gene family expansion in the genome evolution process. Studies have shown that gene duplication has occurred in 70–80% of angiosperms [43]. Gene duplication is the basis of species evolution. Our analysis of gene duplication events showed that the 81 TaPKS genes contain 8 pairs of tandem duplicated genes and 33 pairs of segmental duplicated genes, thereby indicating that tandem duplication and segmental duplication events accelerated the expansion of the TaPKS gene family. We analyzed the homologous relationships between PKS genes in wheat and other species, and identified 49 pairs of syntenic PKS genes in wheat and T. dicoccoides, 4 pairs in wheat and maize, and 3 pairs in wheat and rice. Thus, more homologous events were detected between wheat and T. dicoccoides, which is consistent with the closer evolutionary distance between wheat and T. dicoccoides. In addition, the Ka/Ks values calculated for TaPKS genes in wheat were less than 1, and thus, this gene family has experienced strong purifying selection in the evolutionary process. This purification selection has eliminated harmful mutations at duplicated loci to maintain the important biological functions of the members of this gene family.
3.3. Structures and Conserved Motifs in TaPKS Genes in Wheat
The structures of genes affect their functions. The evolution of gene families is accompanied by the gain and loss of introns [44]. Introns function by regulating gene expression, and they can increase transcription levels by affecting the transcription rate, nuclear output, and stability of transcription [45]. Introns can also improve the efficiency of mRNA transcription [46]. In the present study, we showed that most of the 81 TaPKS have one–three exons and zero–three introns. In particular, 47 TaPKS with one intron and two exons comprise the highest proportion, whereby they account for 58% of the total TaPKS genes, which is consistent with a previous report stating that most CHS genes contain one intron and two exons [47]. Some wheat PKS family genes also have no introns and multiple introns, as found in other plants, but the specific mechanism involved is still unclear [47,48,49,50]. Ten conserved motifs are found in the TaPKS family, wherein motif 1, motif 3, motif 5, motif 7, and motif 10 are conserved in all members. However, some genes also have unique motifs, which can be used as the basis for gene classification and functional differentiation.
3.4. Cis-Acting Elements and Hormone Response Analysis
The expression of genes is mostly determined by upstream promoters. Specific combinations of cis-acting elements and transcription factors in promoters are most important for biological signal transduction, and they are also important for synergy with other genes [51]. Many cis-acting elements related to disease resistance have been found in the promoters of plant pathogenesis-related genes, such as a the GCC-box element that specifically binds to ERF transcription factors [52], and W-box elements that bind to WRKY transcription factors [53]. In addition, many elements related to hormone responses have been identified [54]. In the present study, we found that all 81 TaPKS genes contain hormone-response-related elements, whereby methyl jasmonate and abscisic acid responsive elements comprise the highest proportion. Thus, we suggest that the expression of TaPKS genes may be regulated by hormones. Previous studies have shown that the expression of CHS genes in soybean, parsley, and Picea glauca is induced by JA and its esters, including methyl jasmonate [55,56,57], and the expression of PaCHS in Plagiochasma appendiculatum is increased via treatment with methyl jasmonate, abscisic acid, or salicylic acid [1]. In addition, AsCHS is regulated by methyl jasmonate, abscisic acid, and salicylic acid in Aquilaria sinensis [37]. We found that the expression levels of TaPKS genes were induced and regulated by hormones comprising ethylene, methyl jasmonate, salicylic acid, and abscisic acid, and the TaPKS genes responded differently to each hormone. Similarly, differences have previously been found in the expression of PKS genes under induction by methyl jasmonate in wheat, soybean, parsley, spruce, and Plagiochasma appendiculatum. In conclusion, we suggest that PKS genes may be necessary to protect plants via hormone-dependent signaling pathways.
3.5. Transcriptome Analysis Combined with qRT-PCR to Determine the Expression Profiles of TaPKS Family Members
Each type-III PKS can be regulated in different ways, such as tissue-specific expression, transcription induced by light treatment or pathogen infection, and transcription controlled by other regulatory genes. For example, CHS genes are mainly expressed in flower tissues in mature plants [58]. The expression of the stilbene synthase gene is mainly concentrated in the fruit in grape and peanut, but in the root tissue in Polygonum cuspidatum and rhubarb [9,16]. In the present study, RNA-seq data showed that most TaPKS genes were specifically expressed in the anthers and panicles, which is consistent with a previous report in which PKS was mainly expressed in the flowers in gentian (Gentiana triflora) [58]; thus, we suggest that TaPKS may be related to anther development [47]. In addition, type-III polyketide is part of the plant defense mechanism, so many plants express different types of type-III PKS genes when stimulated by stresses such as pathogen infection, ultraviolet radiation, ozone, and trauma [59,60]. In this study, many TaPKS genes were induced via infection with Rhizoctonia cerealis. Therefore, we suggest that TaPKS may play a role in wheat sheath-blight resistance by regulating the synthesis of flavonoids. Further research is needed to understand how TaPKS genes play roles in plant disease resistance by regulating the synthesis of polyketones.
4. Materials and Methods
4.1. Material Planting and Treatments
Sheath blight-resistant wheat material H83 and moderately susceptible wheat material 7182 were used as test materials, which were cultured in an artificial climate room. First, the seeds were germinated in Petri dishes covered with absorbent paper, before transferring them to pots containing soil for vernalization treatment in a vernalization incubator for 30 days. Finally, the plants were moved into an artificial climate chamber until the jointing stage. The day/night temperatures and photoperiod settings in the artificial climate chamber were 18 °C/16 °C and 14 h/10 h, respectively, and the humidity was set to 70%. Sheath blight strain R0301 used in this study was provided by Jiangsu Academy of Agricultural Sciences. The toothpick method was used to inoculate the wheat material at the jointing stage. A toothpick covered with mycelium was placed in the gap between the sheath and stem of the penultimate leaf at the base of a wheat plant, before wrapping with sterilized wet absorbent cotton. Only the main stem of each wheat plant was inoculated. The day/night temperatures in the artificial climate chamber after inoculation were adjusted to 24 °C/20 °C and the humidity was 80%. R0301 was grown on potato dextrose agar medium covered with radial toothpicks for about two weeks before inoculation, and the toothpicks were covered with the white mycelium of Rhizoctonia cerealis. The penultimate leaves at the base were collected at 0 h, 36 h, and 72 h after inoculation, with three biological replicates at each time point.
In the third leaf stage, the resistant material H83 was treated with 1 mM salicylic acid, 0.1 mM ethylene, 0.2 mM abscisic acid, or 0.1 mM methyl jasmonate, and the control was treated with 0.1% Tween-20. This treatment referred to previous studies [61]. Leaf samples were collected after 0 h, 1 h, 6 h, and 12 h. The collected leaf samples were rinsed with distilled water and then placed in a 5 mL cryopreservation tube before rapid freezing in liquid nitrogen, and then stored at –80 °C. All of the materials used in this study were planted in parallel.
4.2. Identification of PKS Family Members in Wheat Genome
Pfam PF00195 and PF02797, corresponding to conserved protein domains Chal_sti_synt_N and Chal_sti_synt_C, respectively, were used to extract wheat PKS family members from the Ensembl Plants database [62]. Protein sequences without a complete PKS domain (Chal_sti_synt_N and Chal_sti_synt_C) were removed after their identification in NCBI-CDD, and redundant transcripts were also removed [63].
4.3. Physicochemical Properties, Chromosomal Localizations, and Gene Duplication in TaPKS Family Genes
The ProtParam tool in ExPASY [64] was used to predict the number of amino acids, molecular weight, isoelectric point, and grand average of hydropathicity (GRAVY) for TaPKS family genes. TaPKS family genes were named according to the order of their positions on chromosomes. Chromosome location information for TaPKS family genes was determined using the Ensembl Plants database and via mapping with TBtools software [65]. MCScanX was used to analyze gene replication events in the wheat genome and homology between PKS family genes in wheat and other selected species [66]. The Ka/Ks ratio was calculated using the online tools MEGA7.0 and DnaSP 6.
4.4. Gene Structure, Conserved Domains, and Phylogenetic Analysis of TaPKS Family Genes
The GFF3 file containing the TaPKS gene structures in wheat was downloaded from Ensembl Plants, and gene structures were drawn using TBtools. MEME tool was used to analyze the motifs in wheat TaPKS protein sequences, whereby the motif length was set to 10–100 and the number of motifs was set to 10 [67]. The PKS gene family protein sequences in Arabidopsis, rice, barley, maize, alfalfa, woodland tobacco, white campion, Phalaenopsis sp., and Bromheadia finlaysoniana were downloaded from UniProt. Multiple-sequence alignment was conducted for PKS proteins with Jalview to analyze their evolutionary relationships. The phylogenetic tree was constructed using the neighbor-joining method in MEGA11 software with 1000 bootstrap tests. The evolutionary tree was edited and refined using FigTree v1.4.4.
4.5. Analysis of Cis-Acting Elements in PKS Gene Promoter in Wheat
PlantCARE was used to predict cis-acting elements in the 2000 bp upstream region of the gene initiation codon [68] and visualized using TBtools.
4.6. qRT-PCR Analysis of TaPKS Gene Expression Levels
Total RNA was extracted from the plant materials using an RNA extraction kit supplied by Tiangen Biotech (Beijing) Co. Ltd., cDNA was then synthesized using an RNA reverse transcription kit. The specific primers were designed using Oligo 7 software and submitted to Beijing Qingke Biotechnology Co. Ltd. for synthesis. We quantified the gene expression levels by using actin as an internal reference gene. qRT-PCR was performed using the Applied Biosystems 7500 Real-Time PCR system. The 20 μL reaction mixture contained 10 μL 2× SuperReal PreMix Plus, 0.6 μL forward primer, 0.6 μL reverse primer, 1.8 μL cDNA, 0.4 μL 50×ROX Reference Dye, and 6.6 μL double-distilled H2O. The PCR cycle conditions comprised 15 min at 95 °C, followed by 40 cycles at 95 °C for 10 s and 60 °C for 32 s. Data were expressed as the mean ± standard error based on three independent replicates. Relative quantification levels of TaPKS genes were calculated using the 2−ΔΔCT method. The primers used for qRT-PCR are listed in Supplementary Table S4.
4.7. RNA-Seq Data Analysis
Wheat transcriptome data for different tissues were downloaded from the Plant Public RNA-seq database [22]. RNA-seq data were obtained for five different tissues in Chinese Spring Wheat under normal growth conditions. In order to study the regulatory mechanism associated with TaPKS genes in wheat infected with sheath blight, we analyzed transcriptome data for resistant and susceptible wheat infected with Rhizoctonia cerealis at different time points [69]. The transcriptome data are available from the following website: https://www.ncbi.nlm.nih.gov/sra/PRJNA749387 (accessed on 1 December 2021). Genes with an adjusted p-value < 0.01 and|log2foldchange (FC)|> 1 according to DESeq2 were designated as differentially expressed genes. A heat map was prepared using the OmicShare tools.
5. Conclusions
In this study, we systematically identified members of the type-III PKS gene family in the wheat genome for the first time. The family contains 81 members. Similar to those found in other species, the PKS genes in wheat can be divided into two categories comprising CHS and non-CHS genes. Expansion of the wheat PKS gene family mainly occurred via tandem duplication and segmental duplication events. Synteny analysis showed that the PKS genes in wheat and T. dicoccoides are closely related. In addition, by predicting the promoter elements of the TaPKS gene, it was found that the promoter region of the TaPKS gene contains many hormone regulatory elements. Therefore, we speculate that TaPKS genes may be regulated by hormones. After that, we analyzed the expression pattern of TaPKS genes in the resistant material H83 treated with salicylic acid, methyl-jasmonate, abscisic acid, and ethylene via qRT-PCR; this verified the hypothesis that the expression of TaPKS genes is regulated by hormones (salicylic acid, methyl-jasmonate, abscisic acid, and ethylene), indicating that TaPKS genes may participate in the process of wheat sheath-blight resistance by mediating hormonal changes in response to Rhizoctonia cerealis infection. Previous RNA-seq data showed that the expression of TaPKS genes was tissue-specific and induced by Rhizoctonia cerealis. The results of qRT-PCR confirmed that the expression of TaPKS was induced by Rhizoctonia cerealis. In addition, we believe that that the response times and expression patterns of these TaPKS genes in the different materials were related to the resistance of these materials to wheat sheath-blight. In conclusion, wheat PKS genes play important roles in plant resistance to pathogens. Our results provide an important and comprehensive reference framework for further study of the wheat PKS gene family, and a useful basis for screening candidate Rhizoctonia cerealis-resistance genes.
Supplementary Materials
The following supporting information can be downloaded at: https://www.mdpi.com/article/10.3390/ijms23137187/s1.
Author Contributions
X.C. and X.G. conceived the original screening and research plans; X.C. and J.W. supervised the experiments; X.G. performed most of the experiments; X.G. and Y.C. analyzed the data and prepared the figures and tables; S.Z., Z.G., J.W., Q.Y. and S.L. provided technical assistance to X.G. and Y.C.; X.G. wrote the article with contributions from all the authors. All authors have read and agreed to the published version of the manuscript.
Funding
This research is partially supported by the National Natural Science Foundation of China (31771785), the National Key Research and Development Program of China (2017YFD0100701), and the Key Research and Development Program of the Yangling Seed Industry Innovation Center (Ylzy-xm-02). The funder, Xinhong Chen, conceived and designed this research. The funding bodies did not play a role in the design of the study; in the collection, analysis, or interpretation of the data; or in the writing of the manuscript.
Institutional Review Board Statement
Not applicable.
Informed Consent Statement
Not applicable.
Data Availability Statement
Not applicable.
Conflicts of Interest
The authors declare no conflict of interest.
References
- Abe, I.; Morita, H. Structure and function of the chalcone synthase superfamily of plant type III polyketide synthases. Nat. Prod. Rep. 2010, 27, 809–838. [Google Scholar] [CrossRef] [PubMed]
- Staunton, J.; Weissman, K.J. Polyketide biosynthesis: A millennium review. Nat. Prod. Rep. 2001, 18, 380–416. [Google Scholar] [CrossRef] [PubMed]
- Hopwood, D.A. Genetic Contributions to Understanding Polyketide Synthases. Chem Rev. 1997, 97, 2465–2498. [Google Scholar] [CrossRef] [PubMed]
- Staunton, J.; Wilkinson, B. The Biosynthesis of Aliphatic Polyketides. In Biosynthesis: Polyketides and Vitamins; Leeper, F.J., Vederas, J.C., Eds.; Springer: Berlin/Heidelberg, Germany, 1998; pp. 49–92. [Google Scholar]
- Funa, N.; Ohnishi, Y.; Fujii, I.; Shibuya, M.; Ebizuka, Y.; Horinouchi, S. A new pathway for polyketide synthesis in microorganisms. Nature 1999, 400, 897–899. [Google Scholar] [CrossRef]
- Jez, J.M.; Bowman, M.E.; Dixon, R.A.; Noel, J.P. Structure and mechanism of the evolutionarily unique plant enzyme chalcone isomerase. Nat. Struct. Biol. 2000, 7, 786–791. [Google Scholar]
- Austin, M.B.; Noel, J.P. The chalcone synthase superfamily of type III polyketide synthases. Nat. Prod. Rep. 2003, 20, 79–110. [Google Scholar] [CrossRef]
- Beerhues, L.; Liu, B. Biosynthesis of biphenyls and benzophenones—Evolution of benzoic acid-specific type III polyketide synthases in plants. Phytochemistry 2009, 70, 1719–1727. [Google Scholar] [CrossRef]
- Katsuyama, Y.; Kita, T.; Funa, N.; Horinouchi, S. Curcuminoid biosynthesis by two type III polyketide synthases in the herb Curcuma longa. J. Biol. Chem. 2009, 284, 11160–11170. [Google Scholar] [CrossRef] [Green Version]
- Mizuuchi, Y.; Shi, S.-P.; Wanibuchi, K.; Kojima, A.; Morita, H.; Noguchi, H.; Abe, I. Novel type III polyketide synthases from Aloe arborescens. FEBS J. 2009, 276, 2391–2401. [Google Scholar] [CrossRef]
- Helariutta, Y.; Elomaa, P.; Kotilainen, M.; Griesbach, R.J.; Schröder, J.; Teeri, T.H. Chalcone synthase-like genes active during corolla development are differentially expressed and encode enzymes with different catalytic properties in Gerbera hybrida (Asteraceae). Plant. Mol. Biol. 1995, 28, 47–60. [Google Scholar] [CrossRef]
- Eckermann, S.; Schröder, G.; Schmidt, J.; Strack, D.; Edrada, R.A.; Helariutta, Y.; Elomaa, P.; Kotilainen, M.; Kilpeläinen, I.; Proksch, P.; et al. New pathway to polyketides in plants. Nature 1998, 396, 387–390. [Google Scholar] [CrossRef]
- Dao, T.T.; Linthorst, H.J.; Verpoorte, R. Chalcone synthase and its functions in plant resistance. Phytochem. Rev. 2011, 10, 397–412. [Google Scholar] [CrossRef] [Green Version]
- Lijuan, C.; Huiming, G.; Yi, L.; Hongmei, C. Chalcone synthase EaCHS1 from Eupatorium adenophorum functions in salt stress tolerance in tobacco. Plant. Cell Rep. 2015, 34, 885–894. [Google Scholar] [CrossRef]
- Ciaffi, M.; Paolacci, A.R.; Paolocci, M.; Alicandri, E.; Bigini, V.; Badiani, M.; Muganu, M. Transcriptional regulation of stilbene synthases in grapevine germplasm differentially susceptible to downy mildew. BMC Plant. Biol. 2019, 19, 404. [Google Scholar] [CrossRef]
- Scofield, S.R.; Huang, L.; Brandt, A.S.; Gill, B.S. Development of a virus-induced gene-silencing system for hexaploid wheat and its use in functional analysis of the Lr21-mediated leaf rust resistance pathway. Plant. Physiol. 2005, 138, 2165–2173. [Google Scholar] [CrossRef] [Green Version]
- Chen, L.; Zhang, Z.; Liang, H.; Liu, H.; Du, L.; Xu, H.; Xin, Z. Overexpression of TiERF1 enhances resistance to sharp eyespot in transgenic wheat. J. Exp. Bot. 2008, 59, 4195–4204. [Google Scholar] [CrossRef] [Green Version]
- Zhu, X.; Yang, K.; Wei, X.; Zhang, Q.; Rong, W.; Du, L.; Ye, X.; Qi, L.; Zhang, Z. The wheat AGC kinase TaAGC1 is a positive contributor to host resistance to the necrotrophic pathogen Rhizoctonia cerealis. J. Exp. Bot. 2015, 66, 6591–6603. [Google Scholar] [CrossRef] [Green Version]
- Hamada, M.S.; Yin, Y.; Chen, H.; Ma, Z. The escalating threat of Rhizoctonia cerealis, the causal agent of sharp eyespot in wheat. Pest. Manag. Sci. 2011, 67, 1411–1419. [Google Scholar] [CrossRef]
- Han, Y.; Zhao, W.; Wang, Z.; Zhu, J.; Liu, Q. Molecular evolution and sequence divergence of plant chalcone synthase and chalcone synthase-Like genes. Genetica 2014, 142, 215–225. [Google Scholar] [CrossRef]
- Yang, J.; Gu, H. Duplication and divergent evolution of the CHS and CHS-like genes in the chalcone synthase (CHS) superfamily. Chin. Sci. Bull. 2006, 51, 505–509. [Google Scholar] [CrossRef]
- Yu, Y.; Zhang, H.; Long, Y.; Shu, Y.; Zhai, J. Plant Public RNA-seq Database: A comprehensive online database for expression analysis of ~45 000 plant public RNA-Seq libraries. Plant. Biotechnol. J. 2022, 20, 806–808. [Google Scholar] [CrossRef]
- Hamamouch, N.; Li, C.; Seo, P.J.; Park, C.-M.; Davis, E.L. Expression of Arabidopsis pathogenesis-related genes during nematode infection. Mol. Plant. Pathol. 2011, 12, 355–364. [Google Scholar] [CrossRef]
- DeYoung, B.J.; Innes, R.W. Plant NBS-LRR proteins in pathogen sensing and host defense. Nat. Immunol. 2006, 7, 1243–1249. [Google Scholar] [CrossRef]
- Zhang, Y.; Wang, X.; Li, Y.; Wu, L.; Zhou, H.; Zhang, G.; Ma, Z. Ectopic expression of a novel Ser/Thr protein kinase from cotton (Gossypium barbadense), enhances resistance to Verticillium dahliae infection and oxidative stress in Arabidopsis. Plant. Cell Rep. 2013, 32, 1703–1713. [Google Scholar] [CrossRef]
- Godiard, L.; Grant, M.R.; Dietrich, R.A.; Kiedrowski, S.; Dangl, J.L. Perception and response in plant disease resistance. Curr. Opin. Genet. Dev. 1994, 4, 662–671. [Google Scholar] [CrossRef]
- Chan, C.; Panzeri, D.; Okuma, E.; Tõldsepp, K.; Wang, Y.Y.; Louh, G.Y.; Chin, T.C.; Yeh, Y.H.; Yeh, H.L.; Yekondi, S.; et al. Stress Induced Factor 2 Regulates Arabidopsis Stomatal Immunity through Phosphorylation of the Anion Channel SLAC1. Plant. Cell 2020, 32, 2216–2236. [Google Scholar] [CrossRef]
- Radhakrishnan, E.K.; Sivakumar, K.C.; Soniya, E.V. Molecular Characterization of Novel form of Type III Polyketide Synthase from Zingiber Officinale Rosc. and its Analysis using Bioinformatics Method. J. Proteom. Bioinform. 2009, 2, 310–315. [Google Scholar]
- Meyer, P.; Heidmann, I.; Forkmann, G.; Saedler, H. A new petunia flower colour generated by transformation of a mutant with a maize gene. Nature 1987, 330, 677–678. [Google Scholar] [CrossRef]
- Taylor, P.E.; Glover, J.A.; Lavithis, M.; Craig, S.; Singh, M.B.; Knox, R.B.; Dennis, E.S.; Chaudhury, A.M. Genetic control of male fertility in Arabidopsis thaliana: Structural analyses of postmeiotic developmental mutants. Planta 1998, 205, 492–505. [Google Scholar] [CrossRef]
- Wanner, L.A.; Li, G.; Ware, D.; Somssich, I.E.; Davis, K.R. The phenylalanine ammonia-lyase gene family in Arabidopsis thaliana. Plant. Mol. Biol. 1995, 27, 327–338. [Google Scholar] [CrossRef]
- Mierziak, J.; Kostyn, K.; Kulma, A. Flavonoids as important molecules of plant interactions with the environment. Molecules 2014, 19, 16240–16265. [Google Scholar] [CrossRef] [PubMed]
- Chen, S.; Pan, X.; Li, Y.; Cui, L.; Zhang, Y.; Zhang, Z.; Pan, G.; Yang, J.; Cao, P.; Yang, A. Identification and Characterization of Chalcone Synthase Gene Family Members in Nicotiana tabacum. J. Plant. Growth Regul. 2017, 36, 374–384. [Google Scholar] [CrossRef]
- Koes, R.E.; Spelt, C.E.; Van den Elzen, P.J.; Mol, J.N. Cloning and molecular characterization of the chalcone synthase multigene family of Petunia hybrida. Gene 1989, 81, 245–257. [Google Scholar] [CrossRef]
- Durbin, M.L.; McCaig, B.; Clegg, M.T. Molecular evolution of the chalcone synthase multigene family in the morning glory genome. Plant. Mol. Biol. 2000, 42, 79–92. [Google Scholar] [CrossRef]
- Eom, S.H.; Hyun, T.K. Genome-wide identification and transcriptional expression analysis of chalcone synthase in flax (Linum usitatissimum L.). Gene Rep. 2016, 5, 51–56. [Google Scholar] [CrossRef]
- Wang, X.; Zhang, Z.; Dong, X.; Feng, Y.; Liu, X.; Gao, B.; Wang, J.; Zhang, L.; Wang, J.; Shi, S.; et al. Identification and functional characterization of three type III polyketide synthases from Aquilaria sinensis calli. Biochem. Biophys. Res. Commun. 2017, 486, 1040–1047. [Google Scholar] [CrossRef]
- Vadivel, A.K.A.; Krysiak, K.; Tian, G.; Dhaubhadel, S. Genome-wide identification and localization of chalcone synthase family in soybean (Glycine max [L]Merr). BMC Plant. Biol 2018, 18, 325. [Google Scholar]
- Han, Y.; Ding, T.; Su, B.; Jiang, H. Genome-Wide Identification, Characterization and Expression Analysis of the Chalcone Synthase Family in Maize. Int. J. Mol. Sci. 2016, 17, 161. [Google Scholar] [CrossRef] [Green Version]
- Ito, M.; Ichinose, Y.; Kato, H.; Shiraishi, T.; Yamada, T. Molecular evolution and functional relevance of the chalcone synthase genes of pea. Mol. Amp Gen. Genet. MGG 1997, 255, 28–37. [Google Scholar] [CrossRef]
- Hu, L.; He, H.; Zhu, C.; Peng, X.; Fu, J.; He, X.; Chen, X.; Ouyang, L.; Bian, J.; Liu, S. Genome-wide identification and phylogenetic analysis of the chalcone synthase gene family in rice. J. Plant. Res. 2017, 130, 95–105. [Google Scholar] [CrossRef]
- Han, Y.; Cao, Y.; Jiang, H.; Ding, T. Genome-wide dissection of the chalcone synthase gene family in Oryza sativa. Mol. Breed. 2017, 37, 119. [Google Scholar] [CrossRef]
- Bowers, J.E.; Chapman, B.A.; Rong, J.; Paterson, A.H. Unravelling angiosperm genome evolution by phylogenetic analysis of chromosomal duplication events. Nature 2003, 422, 433–438. [Google Scholar] [CrossRef]
- Roy, S.W.; Penny, D. Patterns of intron loss and gain in plants: Intron loss-dominated evolution and genome-wide comparison of O. sativa and A. thaliana. Mol. Biol. Evol. 2007, 24, 171–181. [Google Scholar] [CrossRef] [Green Version]
- Shaul, O. How introns enhance gene expression. Int. J. Biochem. Cell Biol. 2017, 91 Pt B, 145–155. [Google Scholar] [CrossRef]
- Hirose, T.; Ideue, T.; Nagai, M.; Hagiwara, M.; Shu, M.-D.; Steitz, J.A. A Spliceosomal Intron Binding Protein, IBP160, Links Position-Dependent Assembly of Intron-Encoded Box C/D snoRNP to Pre-mRNA Splicing. Mol. Cell 2006, 23, 673–684. [Google Scholar] [CrossRef]
- Glagoleva, A.Y.; Ivanisenko, N.V.; Khlestkina, E.K. Organization and evolution of the chalcone synthase gene family in bread wheat and relative species. BMC Genet. 2019, 20 (Suppl. S1), 30. [Google Scholar] [CrossRef] [Green Version]
- Koduri, P.K.; Gordon, G.S.; Barker, E.I.; Colpitts, C.C.; Ashton, N.W.; Suh, D.Y. Genome-wide analysis of the chalcone synthase superfamily genes of Physcomitrella patens. Plant. Mol. Biol. 2010, 72, 247–263. [Google Scholar] [CrossRef]
- Guo, Y.-W.; Guo, H.-L.; Li, X.; Huang, L.-L.; Zhang, B.-N.; Pang, X.-B.; Liu, B.-Y.; Ma, L.-Q.; Wang, H. Two type III polyketide synthases from Polygonum cuspidatum: Gene structure, evolutionary route and metabolites. Plant. Biotechnol. Rep. 2013, 7, 371–381. [Google Scholar] [CrossRef]
- Ma, L.Q.; Pang, X.B.; Shen, H.Y.; Pu, G.B.; Wang, H.H.; Lei, C.Y.; Wang, H.; Li, G.F.; Liu, B.Y.; Ye, H.C. A novel type III polyketide synthase encoded by a three-intron gene from Polygonum cuspidatum. Planta 2009, 229, 457–469. [Google Scholar] [CrossRef]
- Ho, C.-L.; Geisler, M. Genome-Wide Computational Identification of Biologically Significant Cis-Regulatory Elements and Associated Transcription Factors from Rice. Plants 2019, 8, 441. [Google Scholar] [CrossRef] [Green Version]
- Zarei, A.; Körbes, A.P.; Younessi, P.; Montiel, G.; Champion, A.; Memelink, J. Two GCC boxes and AP2/ERF-domain transcription factor ORA59 in jasmonate/ethylene-mediated activation of the PDF1.2 promoter in Arabidopsis. Plant. Mol. Biol. 2011, 75, 321–331. [Google Scholar] [CrossRef] [PubMed] [Green Version]
- Cheng, X.; Zhao, Y.; Jiang, Q.; Yang, J.; Zhao, W.; Taylor, I.A.; Peng, Y.L.; Wang, D.; Liu, J. Structural basis of dimerization and dual W-box DNA recognition by rice WRKY domain. Nucleic Acids Res. 2019, 47, 4308–4318. [Google Scholar] [CrossRef] [PubMed] [Green Version]
- Ni, P.-Y.; Ji, X.-R.; Guo, D.-L. Genome-wide identification, characterization, and expression analysis of GDSL-type esterases/lipases gene family in relation to grape berry ripening. Sci. Hortic. 2020, 264, 109162. [Google Scholar] [CrossRef]
- Grab, D.; Loyal, R.; Ebel, J. Elicitor-induced phytoalexin synthesis in soybean cells: Changes in the activity of chalcone synthase mRNA and the total population of translatable mRNA. Arch. Biochem. Biophys. 1985, 243, 523–529. [Google Scholar] [CrossRef]
- Richard, S.; Lapointe, G.; Rutledge, R.G.; Séguin, A. Induction of chalcone synthase expression in white spruce by wounding and jasmonate. Plant. Cell Physiol. 2000, 41, 982–987. [Google Scholar] [CrossRef]
- Creelman, R.A.; Tierney, M.L.; Mullet, J.E. Jasmonic acid/methyl jasmonate accumulate in wounded soybean hypocotyls and modulate wound gene expression. Proc. Natl. Acad. Sci. USA 1992, 89, 4938–4941. [Google Scholar] [CrossRef] [Green Version]
- Nakatsuka, T.; Nishihara, M.; Mishiba, K.; Yamamura, S. Temporal expression of flavonoid biosynthesis-related genes regulates flower pigmentation in gentian plants. Plant. Sci. 2005, 168, 1309–1318. [Google Scholar] [CrossRef]
- Yu, C.K.Y.; Springob, K.; Schmidt, J.; Nicholson, R.L.; Chu, I.K.; Yip, W.K.; Lo, C. A stilbene synthase gene (SbSTS1) is involved in host and nonhost defense responses in sorghum. Plant. Physiol. 2005, 138, 393–401. [Google Scholar] [CrossRef] [Green Version]
- Jeandet, P.; Douillet-Breuil, A.-C.; Bessis, R.; Debord, S.; Sbaghi, M.; Adrian, M. Phytoalexins from the Vitaceae: Biosynthesis, Phytoalexin Gene Expression in Transgenic Plants, Antifungal Activity, and Metabolism. J. Agric. Food Chem. 2002, 50, 2731–2741. [Google Scholar] [CrossRef]
- Zhu, X. Functional and Mechanism Analysis of Wheat Genes TaRCR1 and TaAGC1 in Defense Response to Sharp Eyespot. Ph.D. Thesis, Chinese Academy of Agricultural Sciences, Beijing, China, 2016. [Google Scholar]
- Bolser, D.M.; Staines, D.M.; Perry, E.; Kersey, P.J. Ensembl Plants: Integrating Tools for Visualizing, Mining, and Analyzing Plant Genomic Data. Methods Mol. Biol. 2017, 1533, 1–31. [Google Scholar]
- Marchler-Bauer, A.; Bo, Y.; Han, L.; He, J.; Lanczycki, C.J.; Lu, S.; Chitsaz, F.; Derbyshire, M.K.; Geer, R.C.; Gonzales, N.R.; et al. CDD/SPARCLE: Functional classification of proteins via subfamily domain architectures. Nucleic Acids Res. 2017, 45, D200–D203. [Google Scholar] [CrossRef] [Green Version]
- Duvaud, S.; Gabella, C.; Lisacek, F.; Stockinger, H.; Ioannidis, V.; Durinx, C. Expasy, the Swiss Bioinformatics Resource Portal, as designed by its users. Nucleic Acids Res. 2021, 49, W216–W227. [Google Scholar] [CrossRef]
- Chen, C.; Chen, H.; Zhang, Y.; Thomas, H.R.; Frank, M.H.; He, Y.; Xia, R. TBtools: An Integrative Toolkit Developed for Interactive Analyses of Big Biological Data. Mol. Plant 2020, 13, 1194–1202. [Google Scholar] [CrossRef]
- Wang, Y.; Tang, H.; Debarry, J.D.; Tan, X.; Li, J.; Wang, X.; Lee, T.H.; Jin, H.; Marler, B.; Guo, H.; et al. MCScanX: A toolkit for detection and evolutionary analysis of gene synteny and collinearity. Nucleic Acids Res. 2012, 40, e49. [Google Scholar] [CrossRef] [Green Version]
- Bailey, T.L.; Boden, M.; Buske, F.A.; Frith, M.; Grant, C.E.; Clementi, L.; Ren, J.; Li, W.W.; Noble, W.S. MEME SUITE: Tools for motif discovery and searching. Nucleic Acids Res. 2009, 37, W202–W208. [Google Scholar] [CrossRef]
- Rombauts, S.; Déhais, P.; Van Montagu, M.; Rouzé, P. PlantCARE, a plant cis-acting regulatory element database. Nucleic Acids Res. 1999, 27, 295–296. [Google Scholar] [CrossRef] [Green Version]
- Geng, X.; Gao, Z.; Zhao, L.; Zhang, S.; Wu, J.; Yang, Q.; Liu, S.; Chen, X. Comparative transcriptome analysis of resistant and susceptible wheat in response to Rhizoctonia cerealis. BMC Plant. Biol. 2022, 22, 235. [Google Scholar] [CrossRef]
Publisher’s Note: MDPI stays neutral with regard to jurisdictional claims in published maps and institutional affiliations. |
© 2022 by the authors. Licensee MDPI, Basel, Switzerland. This article is an open access article distributed under the terms and conditions of the Creative Commons Attribution (CC BY) license (https://creativecommons.org/licenses/by/4.0/).










