Hydroxylation of Progesterone and Its Derivatives by the Entomopathogenic Strain Isaria farinosa KCh KW1.1
Abstract
1. Introduction
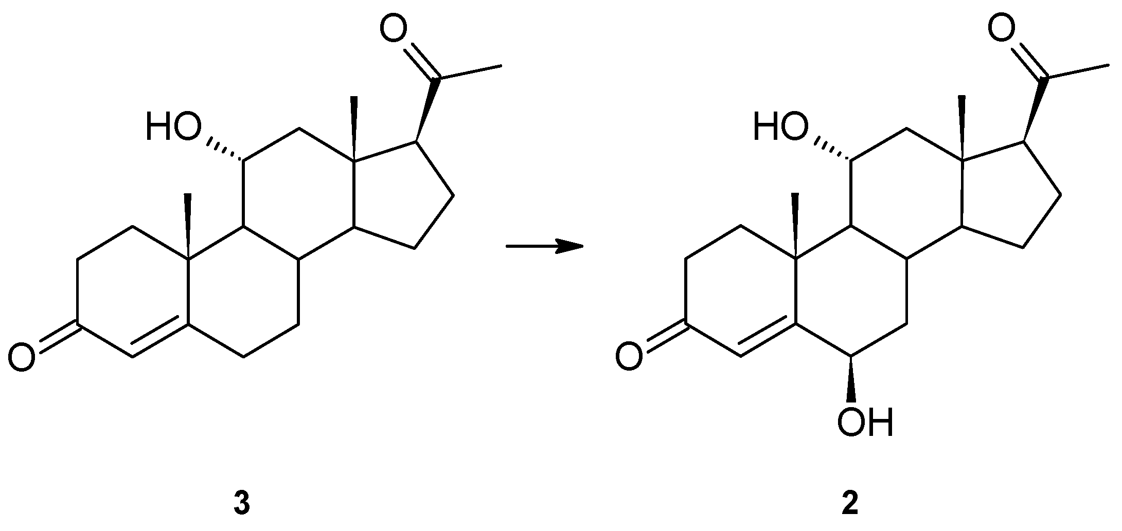
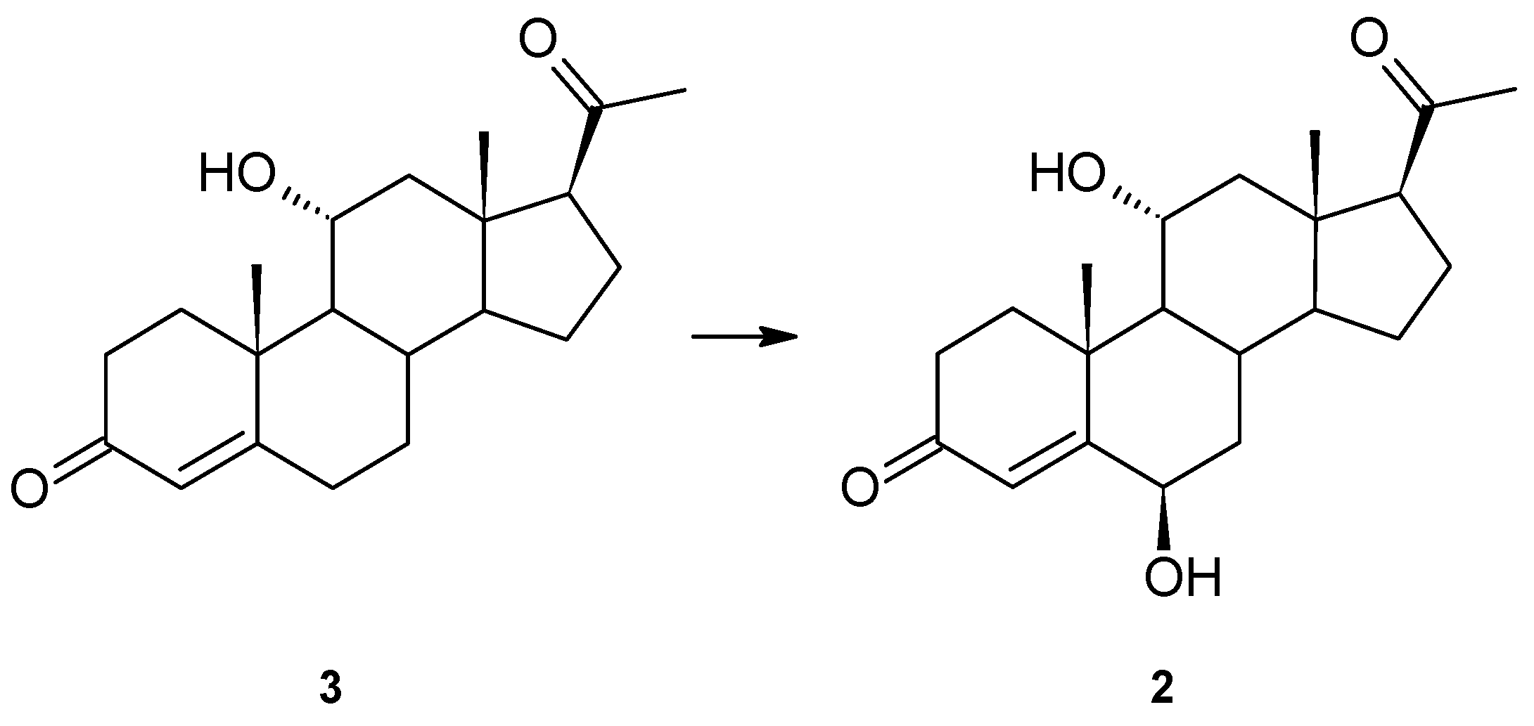
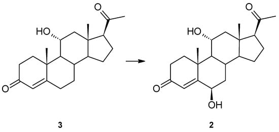
2. Results
3. Discussion
- -
- no more than five hydrogen bond donors (expressed as the sum of OHs and NHs);
- -
- no more than 10 hydrogen bond acceptors (expressed as the sum of Ns and OS);
- -
- a molecular mass less than 500 Da;
- -
- an octanol–water partition coefficient (log P) that does not exceed 5 [56].
4. Materials and Methods
4.1. Materials
4.2. Biotransformation
4.3. Analytical Methods
4.4. Computational Analysis
5. Conclusions
Supplementary Materials
Author Contributions
Funding
Institutional Review Board Statement
Informed Consent Statement
Data Availability Statement
Conflicts of Interest
References
- Savinova, O.S.; Solyev, P.N.; Vasina, D.V.; Tyazhelova, T.V.; Fedorova, T.V.; Savinova, T.S. Biotransformation of Progesterone by the Ascomycete Aspergillus Niger N402. Biochemistry 2018, 83, 26–31. [Google Scholar] [CrossRef] [PubMed]
- Roglič, U.; Plazl, I.; Žnidaršič-Plazl, P. Batch and Continuous Transformation of Progesterone by Rhizopus Nigricans Pellets in the Presence of β-Cyclodextrin. Biocatal. Biotransformation 2007, 25, 16–23. [Google Scholar] [CrossRef]
- Roglič, U.; Žnidaršič-Plazl, P.; Plazl, I. The Influence of β-Cyclodextrin on the Kinetics of Progesterone Transformation by Rhizopus nigricans. Biocatal. Biotransformation 2005, 23, 299–305. [Google Scholar] [CrossRef]
- Žnidaršič, P.; Komel, R.; Pavko, A. Studies of a Pelleted Growth Form of Rhizopus nigricans as a Biocatalyst for Progesterone 11α-Hydroxylation. J. Biotechnol. 1998, 60, 207–216. [Google Scholar] [CrossRef]
- Savinova, O.S.; Solyev, P.N.; Vasina, D.V.; Tyazhelova, T.V.; Fedorova, T.V.; Savinova, T.S. Biotransformation of Progesterone by Aspergillus nidulans VKPM F-1069 (Wild Type). Steroids 2019, 149, 108421. [Google Scholar] [CrossRef]
- Mohamed, S.S.; El-Refai, A.-M.H.; Hashem, A.-G.M.; Ali, H.A. Approaches to Improve the Solubility and Availability of Progesterone Biotransformation by Mucor racemosus. Biocatal. Biotransformation 2014, 32, 141–150. [Google Scholar] [CrossRef]
- Chen, X.; Luo, X.; Cao, F.; Zhu, T.; Fan, Y.; Jia, X.; Shen, Y. Molecular Cloning, Expression of CPR Gene from Rhizopus oryzae into Rhizopus nigericans and Its Application in the 11α-Hydroxylation of 16α,17-Epoxy-progesterone. Enzym. Microb. Technol. 2014, 66, 28–34. [Google Scholar] [CrossRef]
- Morlock, L.K.; Grobe, S.; Balke, K.; Mauersberger, S.; Böttcher, D.; Bornscheuer, U.T. Protein Engineering of the Progesterone Hydroxylating P450-Monooxygenase CYP17A1 Alters its Regioselectivity. ChemBioChem 2018, 19, 1954–1958. [Google Scholar] [CrossRef]
- Kozłowska, E.; Hoc, N.; Sycz, J.; Urbaniak, M.; Dymarska, M.; Grzeszczuk, J.; Kostrzewa-Susłow, E.; Stępień, Ł.; Pląskowska, E.; Janeczko, T. Biotransformation of Steroids by Entomopathogenic Strains of Isaria farinosa. Microb. Cell Factories 2018, 17, 71. [Google Scholar] [CrossRef]
- Kozłowska, E.; Dymarska, M.; Kostrzewa-Susłow, E.; Janeczko, T. Isaria Fumosorosea KCh J2 Entomopathogenic Strain as an Effective Biocatalyst for Steroid Compound Transformations. Molecules 2017, 22, 1511. [Google Scholar] [CrossRef]
- Kozłowska, E.; Dymarska, M.; Kostrzewa-Susłow, E.; Janeczko, T. Cascade Biotransformation of Estrogens by Isaria Fumosorosea KCh J2. Sci. Rep. 2019, 9, 10734. [Google Scholar] [CrossRef] [PubMed]
- Kozłowska, E.; Urbaniak, M.; Hoc, N.; Grzeszczuk, J.; Dymarska, M.; Stępień, Ł.; Pląskowska, E.; Kostrzewa-Susłow, E.; Janeczko, T. Cascade Biotransformation of Dehydroepiandrosterone (DHEA) by Beauveria Species. Sci. Rep. 2018, 8, 13449. [Google Scholar] [CrossRef] [PubMed]
- Hu, Q.; Liu, S.; Yin, F.; Cai, S.; Zhong, G.; Ren, S. Diversity and Virulence of Soil-Dwelling Fungi Isaria spp. and Paecilomyces spp. against Solenopsis invicta (Hymenoptera: Formicidae). Biocontrol Sci. Technol. 2011, 21, 225–234. [Google Scholar] [CrossRef]
- Da Lopes, R.S.; de Lima, G.; dos Correia, M.T.S.; da Costa, A.F.; Lima, E.Á.D.L.A.; de Lima, V.L.M. The Potential of Isaria spp. as a Bioinsecticide for the Biological Control of Nasutitermes corniger. Biocontrol Sci. Technol. 2017, 27, 1038–1048. [Google Scholar] [CrossRef]
- Weng, Q.; Zhang, X.; Chen, W.; Hu, Q. Secondary Metabolites and the Risks of Isaria fumosorosea and Isaria farinosa. Molecules 2019, 24, 664. [Google Scholar] [CrossRef]
- Kozłowska, E.; Matera, A.; Sycz, J.; Kancelista, A.; Kostrzewa-Susłow, E.; Janeczko, T. New 6,19-Oxidoandrostan Derivatives Obtained by Biotransformation in Environmental Filamentous Fungi Cultures. Microb. Cell Factories 2020, 19, 37. [Google Scholar] [CrossRef]
- Dymarska, M.; Janeczko, T.; Kostrzewa-Susłow, E. Biotransformations of Flavones and an Isoflavone (Daidzein) in Cultures of Entomopathogenic Filamentous Fungi. Molecules 2018, 23, 1356. [Google Scholar] [CrossRef]
- Dymarska, M.; Grzeszczuk, J.; Urbaniak, M.; Janeczko, T.; Pląskowska, E.; Stępień, Ł.; Kostrzewa-Susłow, E. Glycosylation of 6-Methylflavone by the Strain Isaria fumosorosea KCH J2. PLoS ONE 2017, 12, e0184885. [Google Scholar] [CrossRef]
- Łużny, M.; Tronina, T.; Kozłowska, E.; Dymarska, M.; Popłoński, J.; Łyczko, J.; Kostrzewa-Susłow, E.; Janeczko, T. Biotransformation of Methoxyflavones by Selected Entomopathogenic Filamentous Fungi. Int. J. Mol. Sci. 2020, 21, 6121. [Google Scholar] [CrossRef]
- Krawczyk-łebek, A.; Dymarska, M.; Janeczko, T.; Kostrzewa-Susłow, E. New Glycosylated Dihydrochalcones Obtained by Biotransformation of 2′-Hydroxy-2-Methylchalcone in Cultures of Entomopathogenic Filamentous Fungi. Int. J. Mol. Sci. 2021, 22, 9619. [Google Scholar] [CrossRef]
- Łużny, M.; Tronina, T.; Kozłowska, E.; Kostrzewa-Susłow, E.; Janeczko, T. Biotransformation of 5,7-Methoxyflavones by Selected Entomopathogenic Filamentous Fungi. J. Agric. Food Chem. 2021, 69, 3879–3886. [Google Scholar] [CrossRef] [PubMed]
- Daina, A.; Michielin, O.; Zoete, V. Swiss. ADME: A Free Web Tool to Evaluate Pharmacokinetics, Drug-Likeness and Medicinal Chemistry Friendliness of Small Molecules. Sci. Rep. 2017, 7, 1–13. [Google Scholar] [CrossRef] [PubMed]
- Al-Awadi, S.; Afzal, M.; Oommen, S. Studies on Geobacillus Stearothermophilus-Part V1: Transformation of 17α-Hydroxyprogesterone and 21-Hydroxyprogesterone. Biocatal. BioTransform. 2007, 25, 43–50. [Google Scholar] [CrossRef]
- Farooq, A.; Hanson, J.R.; Iqbal, Z. Hydroxylation of Progesterone by Cephalosporium aphidicola. Phytochemistry 1994, 37, 723–726. [Google Scholar] [CrossRef]
- Kołek, T.; Świzdor, A. Biotransformation XLV. Transformations of 4-Ene-3-Oxo Steroids in Fusarium culmorum Culture. J. Steroid Biochem. Mol. Biol. 1998, 67, 63–69. [Google Scholar] [CrossRef]
- Liu, B.; Chen, Y.; Yu, C.-Z.; Shen, Z.-W. Highly Chemical and Regio-Selective Catalytic Oxidation with a Novel Manganese Catalyst. Chin. J. Chem. 2003, 21, 833–838. [Google Scholar] [CrossRef]
- Cheng, T.; Zhao, Y.; Li, X.; Lin, F.; Xu, Y.; Zhang, X.; Li, Y.; Wang, R.; Lai, L. Computation of Octanol-Water Partition Coefficients by Guiding an Additive Model with Knowledge. J. Chem. Inf. Modeling 2007, 47, 2140–2148. [Google Scholar] [CrossRef]
- Delaney, J.S. ESOL: Estimating Aqueous Solubility Directly from Molecular Structure. J. Chem. Inf. Comput. Sci. 2004, 44, 1000–1005. [Google Scholar] [CrossRef] [PubMed]
- Yousefi, M.; Mohammadi, M.; Habibi, Z.; Shafiee, A. Biotransformation of Progesterone by Acremonium chrysogenum and Absidia griseolla var. igachii. Biocatal. Biotransformation 2010, 28, 254–258. [Google Scholar] [CrossRef]
- El-Kadi, I.A.; Eman Mostafa, M. Hydroxylation of Progesterone by Some Trichoderma Species. Folia Microbiol. 2004, 49, 285–290. [Google Scholar] [CrossRef]
- Zoghi, M.; Gandomkar, S.; Habibi, Z. Biotransformation of Progesterone and Testosterone Enanthate by Circinella muscae. Steroids 2019, 151, 108446. [Google Scholar] [CrossRef] [PubMed]
- Smith, K.E.; White, K.A.; Kirk, D.N. Microbial Transformations of Steroids-III. Transformation of Progesterone by Sepedonium ampullosporum. J. Steroid Biochem. 1989, 33, 81–87. [Google Scholar] [CrossRef]
- Smith, K.E.; Latif, S.; Kirk, D.N. Microbial Transformation of Steroids-II. Transformations of Progesterone, Testosterone and Androstenedione by Phycomyces blakesleeanus. J. Steroid Biochem. 1989, 32, 445–451. [Google Scholar] [CrossRef]
- Janeczko, T.; Świzdor, A.; Dmochowska-Gładysz, J.; Białońska, A.; Ciunik, Z.; Kostrzewa-Susłow, E. Novel Metabolites of Dehydroepiandrosterone and Progesterone Obtained in Didymosphearia igniaria KCH 6670 Culture. J. Mol. Catal. B Enzym. 2012, 82, 24–31. [Google Scholar] [CrossRef]
- Habibi, Z.; Yousefi, M.; Ghanian, S.; Mohammadi, M.; Ghasemi, S. Biotransformation of Progesterone by Absidia griseolla Var. Igachii and Rhizomucor pusillus. Steroids 2012, 77, 1446–1449. [Google Scholar] [CrossRef]
- Hosseinabadi, T.; Vahidi, H.; Nickavar, B.; Kobarfard, F. Biotransformation of Progesterone by Whole Cells of Filamentous Fungi Aspergillus brasiliensis. Iran. J. Pharm. Res. 2015, 14, 919–924. [Google Scholar]
- Dulaney, E.L.; Stapley, E.O.; Hlavac, C. Hydroxylation of Steroids, Principally Progesterone, by a Strain of Aspergillus ochraceus. Mycologia 1955, 47, 464–474. [Google Scholar] [CrossRef]
- Vitas, M.; Smith, K.; Rozman, D.; Komel, R. Progesterone Metabolism by the Filamentous Fungus Cochliobolus lunatus. J. Steroid Biochem. Mol. Biol. 1994, 49, 87–92. [Google Scholar] [CrossRef]
- Brzezowska, E.; Dmochowska-Gładysz, J.; Kołek, T. Biotransformation XXXIX. Metabolism of Testosterone, Androstenedione, Progesterone and Testosterone Derivatives in Absidia coerulea Culture. J. Steroid Biochem. Mol. Biol. 1996, 57, 357–362. [Google Scholar] [CrossRef]
- Faramarzi, M.A.; Tabatabaei Yazdi, M.; Amini, M.; Zarrini, G.; Shafiee, A. Microbial Hydroxylation of Progesterone with Acremonium strictum. FEMS Microbiol. Lett. 2003, 222, 183–186. [Google Scholar] [CrossRef][Green Version]
- Cardoso de Paula, S.F.; Porto, A.L.M. Cascate Reactions of Progesterone by Mycelia and Culture Broth from Marine-Derived Fungus Aspergillus sydowii CBMAI 935. Biocatal. Agric. Biotechnol. 2020, 25, 101546. [Google Scholar] [CrossRef]
- Panek, A.; Łyczko, P.; Świzdor, A. Microbial Modifications of Androstane and Androstene Steroids by Penicillium vinaceum. Molecules 2020, 25, 4226. [Google Scholar] [CrossRef] [PubMed]
- Świzdor, A.; Panek, A.; Ostrowska, P. Metabolic Fate of Pregnene-Based Steroids in the Lactonization Pathway of Multifunctional Strain Penicillium lanosocoeruleum. Microb. Cell Factories 2018, 17, 100. [Google Scholar] [CrossRef]
- Javid, M.; Nickavar, B.; Vahidi, H.; Faramarzi, M.A. Baeyer-Villiger Oxidation of Progesterone by Aspergillus sojae PTCC 5196. Steroids 2018, 140, 52–57. [Google Scholar] [CrossRef] [PubMed]
- Hunter, A.C.; Mills, P.W.; Dedi, C.; Dodd, H.T. Predominant Allylic Hydroxylation at Carbons 6 and 7 of 4 and 5-ene Functionalized Steroids by the Thermophilic Fungus Rhizomucor tauricus IMI23312. J. Steroid Biochem. Mol. Biol. 2008, 108, 155–163. [Google Scholar] [CrossRef] [PubMed]
- Świzdor, A.; Kołek, T.; Panek, A.; Białońska, A. Microbial Baeyer-Villiger Oxidation of Steroidal Ketones Using Beauveria Bassiana: Presence of an 11α-Hydroxyl Group Essential to Generation of D-Homo Lactones. Biochim. Biophys. Acta-Mol. Cell Biol. Lipids 2011, 1811, 253–262. [Google Scholar] [CrossRef]
- Kolet, S.P.; Niloferjahan, S.; Haldar, S.; Gonnade, R.; Thulasiram, H.V. Biocatalyst Mediated Production of 6β,11α-Dihydroxy Derivatives of 4-ene-3-one Steroids. Steroids 2013, 78, 1152–1158. [Google Scholar] [CrossRef]
- Herráiz, I. Chemical Pathways of Corticosteroids, Industrial Synthesis from Sapogenins. In Microbial Steroids Methods and Protocols; Methods in Molecular Biology; Barredo, J.-L., Herráiz, I., Eds.; Springer: New York, NY, USA, 2017; Volume 1645, pp. 15–27. ISBN 978-1-4939-7182-4. [Google Scholar]
- Hunter, A.C.; Rymer, S.J.; Dedi, C.; Dodd, H.T.; Nwozor, Q.C.; Moghimi, S.M. Transformation of Structurally Diverse Steroidal Analogues by the Fungus Corynespora Cassiicola CBS 161.60 Results in Generation of 8β-Monohydroxylated Metabolites with Evidence in Favour of 8β-Hydroxylation through Inverted Binding in the 9α-Hydroxylase. Biochim. Biophys. Acta-Mol. Cell Biol. Lipids 2011, 1811, 1054–1061. [Google Scholar] [CrossRef]
- Chen, K.; Tong, W.-Y.; Wei, D.-Z.; Jiang, W. The 11β-Hydroxylation of 16,17α-Epoxyprogesterone and the Purification of the 11β-Hydroxylase from Absidia coerulea IBL02. Enzym. Microb. Technol. 2007, 41, 71–79. [Google Scholar] [CrossRef]
- Wu, Y.; Li, H.; Zhang, X.M.; Gong, J.S.; Rao, Z.M.; Shi, J.S.; Zhang, X.J.; Xu, Z.H. Efficient Hydroxylation of Functionalized Steroids by Colletotrichum lini ST-1. J. Mol. Catal. B Enzym. 2015, 120, 111–118. [Google Scholar] [CrossRef]
- Kieslich, K.; Kerb, U. 6β,11α-dihydroxy-16α,17α-epoxypregn-4-ene-3,20-dione. Patent number: DE2209746A1, 1973. [Google Scholar]
- Kołek, T.; Szpineter, A.; Świzdor, A. Baeyer-Villiger Oxidation of DHEA, Pregnenolone, and Androstenedione by Penicillium lilacinum AM111. Steroids 2008, 73, 1441–1445. [Google Scholar] [CrossRef] [PubMed]
- Kollerov, V.V.; Shutov, A.A.; Kazantsev, A.V.; Donova, M.V. Biocatalytic Modifications of Pregnenolone by Selected Filamentous Fungi. Biocatal. Biotransformation 2019, 37, 319–330. [Google Scholar] [CrossRef]
- Murray, H.C.P.; Harold, D. Verfahren zur herstellung von 3α,11α-dioxy-5-pregnen-7,20-dion. Patent number: DE940705C, 10 1956. [Google Scholar]
- Lipinski, C.A.; Lombardo, F.; Dominy, B.W.; Feeney, P.J. Experimental and Computational Approaches to Estimate Solubility and Permeability in Drug Discovery and Development Settings. Adv. Drug Deliv. Rev. 1997, 23, 3–25. [Google Scholar] [CrossRef]







| Atom Number | Products | |||||||
|---|---|---|---|---|---|---|---|---|
| 2 a | 2 b | 9 a | 10 a | 12 a | 12 b | 13 a | 14 a | |
| 1 | 39.11 | 38.65 | 35.79 | 37.16 | 38.82 | 38.41 | 38.48 | 38.11 |
| 2 | 34.55 | 34.14 | 32.45 | 34.31 | 34.53 | 34.10 | 31.47 | 30.84 |
| 3 | 201.14 | 199.88 | 199.56 | 200.23 | 201.04 | 199.77 | 70.87 | 68.89 |
| 4 | 127.17 | 125.61 | 124.33 | 126.83 | 127.27 | 125.71 | 42.50 | 41.45 |
| 5 | 168.41 | 169.74 | 170.39 | 167.48 | 168.26 | 169.43 | 165.23 | 72.98 |
| 6 | 73.19 | 71.29 | 34.54 | 73.14 | 73.04 | 71.22 | 125.48 | 64.80 |
| 7 | 37.66 | 38.03 | 31.45 | 37.99 | 37.41 | 37.78 | 200.84 | 209.09 |
| 8 | 28.50 | 28.03 | 34.00 | 34.41 | 26.38 | 25.86 | 44.67 | 42.07 |
| 9 | 59.10 | 58.26 | 52.02 | 51.91 | 59.52 | 58.89 | 49.12 | 60.80 |
| 10 | 39.39 | 38.96 | 38.55 | 37.99 | 39.54 | 39.12 | 40.39 | 36.4 |
| 11 | 69.02 | 67.23 | 29.37 | 29.84 | 68.55 | 66.79 | 68.51 | 68.89 |
| 12 | 50.52 | 49.39 | 70.08 | 70.16 | 43.25 | 42.68 | 49.09 | 48.84 |
| 13 | 44.40 | 43.72 | 53.05 | 53.43 | 41.92 | 40.43 | 44.42 | 43.85 |
| 14 | 55.44 | 54.79 | 48.54 | 48.59 | 44.33 | 43.99 | 55.56 | 48.10 |
| 15 | 24.32 | 23.93 | 23.80 | 23.85 | 27.33 | 26.70 | 24.01 | 24.08 |
| 16 | 23.14 | 22.31 | 34.44 | 28.74 | 60.78 | 60.46 | 26.10 | 23.74 |
| 17 | 63.27 | 62.45 | 89.20 | 89.22 | 70.37 | 69.94 | 61.99 | 62.29 |
| 18 | 14.67 | 14.27 | 10.15 | 10.30 | 16.48 | 16.00 | 14.39 | 14.48 |
| 19 | 20.33 | 19.67 | 17.38 | 19.62 | 20.29 | 19.66 | 17.19 | 15.91 |
| 20 | 209.06 | 208.42 | 214.40 | 214.76 | 204.63 | 204.72 | 209.38 | 209.13 |
| 21 | 31.45 | 31.07 | 28.16 | 28.31 | 25.89 | 25.75 | 31.57 | 31.43 |
| Compound | MW a | Fraction Csp3 b | #Rotatable Bonds c | TPSA d | XLOGP3 e | ESOL Log S f | Lipinski #Violations g | GI Absorption h | BBB Permeant i | Pgp Substrate j |
|---|---|---|---|---|---|---|---|---|---|---|
| 1 | 314.46 | 0.81 | 1 | 34.14 | 3.87 | −4.16 | 0 | High | Yes | No |
| 2 | 346.46 | 0.81 | 1 | 74.60 | 1.06 | −2.59 | 0 | High | Yes | Yes |
| 3 | 330.46 | 0.81 | 1 | 54.37 | 2.36 | −3.31 | 0 | High | Yes | Yes |
| 4 | 330.46 | 0.81 | 1 | 54.37 | 3.17 | −3.82 | 0 | High | Yes | Yes |
| 5 | 328.45 | 0.81 | 1 | 46.67 | 3.93 | −4.29 | 0 | High | Yes | No |
| 6 | 316.48 | 0.86 | 1 | 37.30 | 4.22 | −4.39 | 0 | High | Yes | No |
| 7 | 344.44 | 0.76 | 1 | 71.44 | 1.12 | −2.62 | 0 | High | Yes | Yes |
| 8 | 346.46 | 0.81 | 1 | 74.60 | 1.87 | −3.10 | 0 | High | Yes | Yes |
| 9 | 346.46 | 0.81 | 1 | 74.60 | 2.01 | −3.19 | 0 | High | Yes | Yes |
| 10 | 362.46 | 0.81 | 1 | 94.83 | 0.41 | −2.28 | 0 | High | No | Yes |
| 11 | 344.44 | 0.81 | 1 | 66.90 | 2.64 | −3.57 | 0 | High | Yes | Yes |
| 12 | 360.44 | 0.81 | 1 | 87.13 | 0.43 | −2.28 | 0 | High | No | Yes |
| 13 | 346.46 | 0.81 | 1 | 74.60 | 1.63 | −2.95 | 0 | High | Yes | Yes |
| 14 | 362.46 | 0.90 | 1 | 87.13 | 1.28 | −2.83 | 0 | High | No | Yes |
Publisher’s Note: MDPI stays neutral with regard to jurisdictional claims in published maps and institutional affiliations. |
© 2022 by the authors. Licensee MDPI, Basel, Switzerland. This article is an open access article distributed under the terms and conditions of the Creative Commons Attribution (CC BY) license (https://creativecommons.org/licenses/by/4.0/).
Share and Cite
Kozłowska, E.; Sycz, J.; Janeczko, T. Hydroxylation of Progesterone and Its Derivatives by the Entomopathogenic Strain Isaria farinosa KCh KW1.1. Int. J. Mol. Sci. 2022, 23, 7015. https://doi.org/10.3390/ijms23137015
Kozłowska E, Sycz J, Janeczko T. Hydroxylation of Progesterone and Its Derivatives by the Entomopathogenic Strain Isaria farinosa KCh KW1.1. International Journal of Molecular Sciences. 2022; 23(13):7015. https://doi.org/10.3390/ijms23137015
Chicago/Turabian StyleKozłowska, Ewa, Jordan Sycz, and Tomasz Janeczko. 2022. "Hydroxylation of Progesterone and Its Derivatives by the Entomopathogenic Strain Isaria farinosa KCh KW1.1" International Journal of Molecular Sciences 23, no. 13: 7015. https://doi.org/10.3390/ijms23137015
APA StyleKozłowska, E., Sycz, J., & Janeczko, T. (2022). Hydroxylation of Progesterone and Its Derivatives by the Entomopathogenic Strain Isaria farinosa KCh KW1.1. International Journal of Molecular Sciences, 23(13), 7015. https://doi.org/10.3390/ijms23137015

