Strain Typing of Classical Scrapie and Bovine Spongiform Encephalopathy (BSE) by Using Ovine PrP (ARQ/ARQ) Overexpressing Transgenic Mice
Abstract
1. Introduction
2. Results
2.1. Incubation Period
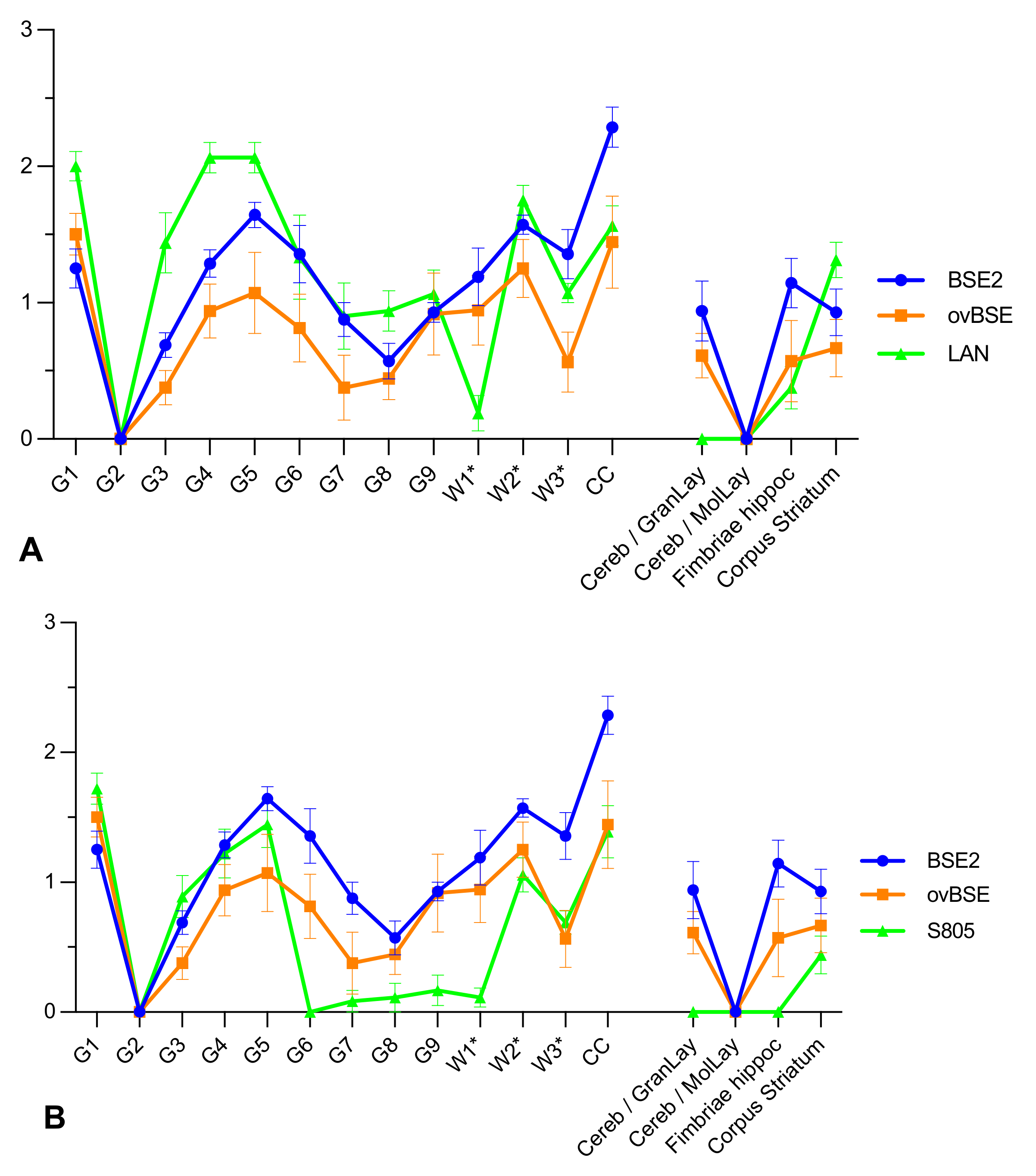
2.2. Lesion Profile
2.3. PrPSc-Profile
3. Discussion
3.1. Incubation Period
3.2. Lesion Profile
3.3. PrPSc Profile
4. Materials and Methods
4.1. TSE-Isolates
- Langlade (LAN, kindly provided by Olivier Andreoletti, INRAE Toulouse, France): An upsurge of scrapie in a scrapie-unrelated sheep experimental set up in France led to the genesis of Langlade isolate in ARQ/ARQ sheep. Here, scrapie was detected in the sheep flock approximately two decades after the original initiation of the study in 1971, resulting in a comprehensive evaluation of prion disease [54].
- Dawson (DAW, kindly provided by M. Dawson, APHA Weybridge, Addlestone, UK): Dawson isolate had its origin from the United Kingdom in a Cheviot-Welsh sheep homozygous for the VRQ allele naturally infected with scrapie [55].
- S805: The S805 isolate was sourced from an ARQ/ARQ Merino sheep during follow-up surveillance of a TSE case in South Germany (Baden-Wuerttemberg). Scrapie was confirmed in this particular sheep during the active surveillance of animals for prion disease in the early 2000s throughout the European Union [56].
- Atypical Scrapie: The atypical scrapie isolate was confirmed during active surveillance for scrapie in an ARR/ARR sheep in the South of Germany (Baden-Wuerttemberg) in the year 2003. Unfortunately, the breed is not known.
- Ovine BSE (ovBSE, kindly provided by Frederic Lantier, INRAE Tours): An experimental study carried out in INRAE-Tours, France, produced the ovine BSE isolate. In the study, the investigators inoculated ARQ/ARQ New Zealand Suffolk lambs orally with sheep brain materials previously exposed intracerebrally to cattle BSE. Clinical infection was observed by the nineteenth month after inoculation [57].
- Classical BSE (BSE): At the FLI, Germany, an experiment investigating BSE pathogenesis in cattle generated the classical BSE isolate. Calves belonging to the Simmental cross-breed were exposed, via the oral route, to homogenates of brainstem pooled from brain samples of cattle at clinical phase of BSE infection [58]. Unfortunately, no formalin-fixed material is available from this BSE isolate in Tgshp IX mice, therefore, for lesion and PrPSc profiling an additional field Classical BSE case from the UK was used (BSE2, kindly provided by AHPA, Weybridge, UK, RQ 225:PG1199/00).
4.2. Mouse Experiment
4.3. Lesion Profiling
- G1—Vestibular nuclei of medulla
- G2—Tectum of cerebellum
- G3—Cortex of the superior colliculus
- G4—Hypothalamus
- G5—Thalamus
- G6—Hippocampus
- G7—Septal nuclei
- G8—Cerebral cortex (at the level of G4 and G5)
- G9—Cerebral cortex (at the level of G7)
- W1*—Cerebellar white matter
- W2*—White matter in decussation fibers
- W3*—Internal capsule
- CC—Corpus callosum (at the level of G8)
4.4. PrPSc-Profile
4.5. Statistical Analysis
Supplementary Materials
Author Contributions
Funding
Institutional Review Board Statement
Informed Consent Statement
Data Availability Statement
Acknowledgments
Conflicts of Interest
References
- Weissmann, C. Molecular biology of transmissible spongiform encephalopathies. FEBS Lett. 1996, 389, 3–11. [Google Scholar] [CrossRef]
- Hill, A.F.; Desbruslais, M.; Joiner, S.; Sidle, K.C.L.; Gowland, I.; Collinge, J.; Doey, L.J.; Lantos, P. The same prion strain causes vCJD and BSE. Nature 1997, 389, 448–450. [Google Scholar] [CrossRef] [PubMed]
- Prusiner, S.B. Prions. Proc. Natl. Acad. Sci. USA 1998, 95, 13363–13383. [Google Scholar] [CrossRef] [PubMed]
- Scott, M.R.; Will, R.; Ironside, J.; Nguyen, H.O.B.; Tremblay, P.; DeArmond, S.J.; Prusiner, S.B. Compelling transgenetic evidence for transmission of bovine spongiform encephalopathy prions to humans. Proc. Natl. Acad. Sci. USA 1999, 96, 15137–15142. [Google Scholar] [CrossRef]
- Gottlieb, S. Study strengthens link between BSE and vCJD. BMJ Br. Med. J. 2000, 320, 78. [Google Scholar]
- Prusiner, S.B. Novel proteinaceous infectious particles cause scrapie. Science 1982, 216, 136–144. [Google Scholar] [CrossRef]
- Fast, C.; Groschup, M.H. Classical and Atypical Scrapie in Sheep and Goats. In Prions and Diseases; Springer: New York, NY, USA, 2013; pp. 15–44. Available online: http://link.springer.com/10.1007/978-1-4614-5338-3_2 (accessed on 22 September 2018).
- EFSA BIOHAZ Panel (EFSA Panel on Biological Hazards); Arnold, M.; Ru, G.; Simmons, M.; Vidal-Diez, A.; Ortiz-Pelaez, A.; Stella, P. Scientific report on the analysis of the 2-year compulsory intensified monitoring of atypical scrapie. EFSA J. 2021, 19, e06686. [Google Scholar]
- Eloit, M.; Adjou, K.; Coulpier, M.; Fontaine, J.J.; Hamel, R.; Lilin, T.; Messiaen, S.; Andreoletti, O.; Baron, T.; Bencsik, A.; et al. BSE agent signatures in a goat. Vet. Rec. 2005, 156, 523–524. [Google Scholar] [CrossRef]
- Jeffrey, M.; Martin, S.; González, L.; Foster, J.D.; Langeveld, J.P.M.; van Zijderveld, F.G.; Grassi, J.; Hunter, N. Immunohistochemical Features of PrPd Accumulation in Natural and Experimental Goat Transmissible Spongiform Encephalopathies. J. Comp. Pathol. 2006, 134, 171–181. [Google Scholar] [CrossRef]
- Spiropoulos, J.; Lockey, R.; Sallis, R.E.; Terry, L.A.; Thorne, L.; Holder, T.M.; Beck, K.E.; Simmons, M.M. Isolation of Prion with BSE Properties from Farmed Goat. Emerg. Infect. Dis. 2011, 17, 2253–2261. [Google Scholar] [CrossRef]
- Goldmann, W.; Hunter, N.; Smith, P.G.; Foster, J.D.; Hope, J. PrP Genotype and Agent Effects in Scrapie: Change In Allelic Interaction With Different Isolates of Agent in Sheep, a Natural Host of Scrapie. J. Gen. Virol. 1994, 75, 989–995. [Google Scholar] [CrossRef] [PubMed]
- Foster, J.D.; Bruce, M.E.; McConnell, I.; Chree, A.; Fraser, H. Detection of BSE infectivity in brain and spleen of experimentally infected sheep. Vet. Rec. 1996, 138, 546–548. [Google Scholar] [CrossRef] [PubMed]
- Foster, J.D.; Parnham, D.; Chong, A.; Goldmann, W.; Hunter, N. Clinical signs, histopathology and genetics of experimental transmission of BSE and natural scrapie to sheep and goats. Vet. Rec. 2001, 148, 165–171. [Google Scholar] [CrossRef] [PubMed]
- Hunter, N. Scrapie and experimental BSE in sheep. Br. Med. Bull. 2003, 66, 171–183. [Google Scholar] [CrossRef] [PubMed][Green Version]
- Bellworthy, S.J.; Hawkins, S.A.C.; Green, R.B.; Blamire, I.; Dexter, G.; Dexter, I.; Lockey, R.; Jeffrey, M.; Ryder, S.; Berthelin-Baker, C.; et al. Tissue distribution of bovine spongiform encephalopathy infectivity in Romney sheep up to the onset of clinical disease after oral challenge. Vet. Rec. 2005, 156, 197–202. [Google Scholar] [CrossRef] [PubMed]
- Goldmann, W. PrP genetics in ruminant transmissible spongiform encephalopathies. Vet. Res. 2008, 39, 30. [Google Scholar] [CrossRef]
- Bruce, M.E. Strain Typing Studies of Scrapie and BSE. In Prion Diseases; Humana Press: Totowa, NJ, USA, 1996; pp. 223–236. Available online: http://link.springer.com/10.1385/0-89603-342-2:223 (accessed on 22 September 2018).
- EFSA. Scientific Opinion on a request for a review of a scientific publication concerning the zoonotic potential of ovine scrapie prions. EFSA J. 2015, 13, 4197. [Google Scholar] [CrossRef]
- DeArmond, S.J.; Mobley, W.C.; DeMott, D.L.; Barry, R.A.; Beckstead, J.H.; Prusiner, S.B. Changes in the localization of brain prion proteins during scrapie infection. Neurology 1987, 37, 1271. [Google Scholar] [CrossRef]
- Bruce, M.E.; Fraser, H. Scrapie strain variation and its implications. Curr. Top. Microbiol. Immunol. 1991, 172, 125–138. [Google Scholar]
- Bruce, M.E.; Fraser, H.; McBride, P.A.; Scott, J.R.; Dickinson, A.G. The basis of strain variation in scrapie. In Prion Diseases of Humans and Animals; Royal College of Physicians: London, UK, 1992; pp. 497–508. [Google Scholar]
- Collinge, J.; Sidle, K.C.L.; Meads, J.; Ironside, J.; Hill, A.F. Molecular analysis of prion strain variation and the aetiology of “new variant” CJD. Nature 1996, 383, 685–690. [Google Scholar] [CrossRef]
- Buschmann, A.; Pfaff, E.; Reifenberg, K.; Müller, H.M.; Groschup, M.H. Detection of cattle-derived BSE prions using transgenic mice overexpressing bovine PrPc. In Prion Diseases; Springer: Vienna, Austria, 2000; pp. 75–86. Available online: http://link.springer.com/10.1007/978-3-7091-6308-5_6 (accessed on 13 March 2019).
- Browning, S.R.; Mason, G.L.; Seward, T.; Green, M.; Eliason, G.A.J.; Mathiason, C.; Miller, M.W.; Williams, E.S.; Hoover, E.; Telling, G.C. Transmission of Prions from Mule Deer and Elk with Chronic Wasting Disease to Transgenic Mice Expressing Cervid PrP. J. Virol. 2004, 78, 13345–13350. [Google Scholar] [CrossRef] [PubMed]
- Thackray, A.M.; Hopkins, L.; Lockey, R.; Spiropoulos, J.; Bujdoso, R. Emergence of multiple prion strains from single isolates of ovine scrapie. J. Gen. Virol. 2011, 92, 1482–1491. [Google Scholar] [CrossRef] [PubMed]
- Thackray, A.M.; Hopkins, L.; Lockey, R.; Spiropoulos, J.; Bujdoso, R. Propagation of ovine prions from “poor” transmitter scrapie isolates in ovine PrP transgenic mice. Exp. Mol. Pathol. 2012, 92, 167–174. [Google Scholar] [CrossRef] [PubMed]
- Laferrière, F.; Tixador, P.; Moudjou, M.; Chapuis, J.; Sibille, P.; Herzog, L.; Reine, F.; Jaumain, E.; Laude, H.; Rezaei, H.; et al. Quaternary Structure of Pathological Prion Protein as a Determining Factor of Strain-Specific Prion Replication Dynamics. PLoS Pathog. 2013, 9, e1003702. [Google Scholar] [CrossRef]
- Nonno, R.; Marin-Moreno, A.; Carlos Espinosa, J.; Fast, C.; Van Keulen, L.; Spiropoulos, J.; Lantier, I.; Andreoletti, O.; Pirisinu, L.; Di Bari, M.A.; et al. Characterization of goat prions demonstrates geographical variation of scrapie strains in Europe and reveals the composite nature of prion strains. Sci. Rep. 2020, 10, 19. [Google Scholar] [CrossRef]
- Béringue, V.; Vilotte, J.-L.; Laude, H. Prion agent diversity and species barrier. Vet. Res. 2008, 39, 47. [Google Scholar] [CrossRef]
- Marín-Moreno, A.; Aguilar-Calvo, P.; Espinosa, J.C.; Zamora-Ceballos, M.; Pitarch, J.L.; González, L.; Fernández-Borges, N.; Orge, L.; Andréoletti, O.; Nonno, R.; et al. Classical scrapie in small ruminants is caused by at least four different prion strains. Vet. Res. 2021, 52, 57. [Google Scholar] [CrossRef]
- Collinge, J.; Clarke, A.R. A general model of prion strains and their pathogenicity. Science 2007, 318, 930–936. [Google Scholar] [CrossRef]
- Cassard, H.; Torres, J.-M.; Lacroux, C.; Douet, J.-Y.; Benestad, S.L.; Lantier, F.; Lugan, S.; Lantier, I.; Costes, P.; Aron, N.; et al. Evidence for zoonotic potential of ovine scrapie prions. Nat. Commun. 2014, 5, 5821. [Google Scholar] [CrossRef]
- Casanova, M.; Machado, C.; Tavares, P.; Silva, J.; Fast, C.; Balkema-Buschmann, A.; Groschup, M.H.; Orge, L. Circulation of Nor98 Atypical Scrapie in Portuguese Sheep Confirmed by Transmission of Isolates into Transgenic Ovine ARQ-PrP Mice. Int. J. Mol. Sci. 2021, 22, 10441. [Google Scholar] [CrossRef]
- Fraser, H.; Dickinson, A.G. The sequential development of the brain lesions of scrapie in three strains of mice. J. Comp. Pathol. 1968, 78, 301–311. [Google Scholar] [CrossRef]
- Crozet, C.; Bencsik, A.; Flamant, F.; Lezmi, S.; Samarut, J.; Baron, T. Florid plaques in ovine PrP transgenic mice infected with an experimental ovine BSE. EMBO Rep. 2001, 2, 952–956. [Google Scholar] [CrossRef] [PubMed][Green Version]
- Le Dur, A.; Béringue, V.; Andréoletti, O.; Reine, F.; Laï, T.L.; Baron, T.; Bratberg, B.; Vilotte, J.L.; Sarradin, P.; Benestad, S.L.; et al. A newly identified type of scrapie agent can naturally infect sheep with resistant PrP genotypes. Proc. Natl. Acad. Sci. USA 2005, 102, 16031–16036. [Google Scholar] [CrossRef] [PubMed]
- Thackray, A.M.; Hopkins, L.; Spiropoulos, J.; Bujdoso, R. Molecular and Transmission Characteristics of Primary-Passaged Ovine Scrapie Isolates in Conventional and Ovine PrP Transgenic Mice. J. Virol. 2008, 82, 11197–11207. [Google Scholar] [CrossRef]
- Huor, A.; Espinosa, J.C.; Vidal, E.; Cassard, H.; Douet, J.-Y.; Lugan, S.; Aron, N.; Marín-Moreno, A.; Lorenzo, P.; Aguilar-Calvo, P.; et al. The emergence of classical BSE from atypical/Nor98 scrapie. Proc. Natl. Acad. Sci. USA 2019, 116, 26853–26862. [Google Scholar] [CrossRef]
- EFSA. Joint Scientific Opinion on any possible epidemiological or molecular association between TSEs in animals and humans. EFSA J. 2011, 9, 1945. [Google Scholar] [CrossRef]
- Dickinson, A.G.; Meikle, V.M.H.; Fraser, H. Identification of a gene which controls the incubation period of some strains of scrapie agent in mice. J. Comp. Pathol. 1968, 78, 293–299. [Google Scholar] [CrossRef]
- Padilla, D.; Béringue, V.; Espinosa, J.C.; Andreoletti, O.; Jaumain, E.; Reine, F.; Herzog, L.; Gutierrez-Adan, A.; Pintado, B.; Laude, H.; et al. Sheep and goat BSE propagate more efficiently than cattle BSE in human PrP transgenic mice. PLoS Pathog. 2011, 7, e1001319. [Google Scholar] [CrossRef]
- Benestad, S.L.; Austbø, L.; Tranulis, M.A.; Espenes, A.; Olsaker, I. Healthy goats naturally devoid of prion protein. Vet. Res. 2012, 43, 87. [Google Scholar] [CrossRef]
- Fraser, H.; Dickinson, A.G. Scrapie in mice. Agent-strain differences in the distribution and intensity of grey matter vacuolation. J. Comp. Pathol. 1973, 83, 29–40. [Google Scholar] [CrossRef]
- Begara-McGorum, I.; González, L.; Simmons, M.M.; Hunter, N.; Houston, F.; Jeffrey, M. Vacuolar Lesion Profile in Sheep Scrapie: Factors Influencing its Variation and Relationship to Disease-specific PrP Accumulation. J. Comp. Pathol. 2002, 127, 59–68. [Google Scholar] [CrossRef] [PubMed]
- González, L.; Martin, S.; Hawkins, S.A.C.; Goldmann, W.; Jeffrey, M.; Sisó, S. Pathogenesis of natural goat scrapie: Modulation by host PRNP genotype and effect of co-existent conditions. Vet. Res. 2010, 41, 48. [Google Scholar] [CrossRef] [PubMed]
- González, L.; Sisó, S.; Monleón, E.; Casalone, C.; Van Keulen, L.J.M.; Balkema-Buschmann, A.; Ortiz-Peláez, A.; Iulini, B.; Langeveld, J.P.M.; Hoffmann, C.; et al. Variability in disease phenotypes within a single PRNP genotype suggests the existence of multiple natural sheep scrapie strains within Europe. J. Gen. Virol. 2010, 91, 2630–2641. [Google Scholar] [CrossRef] [PubMed]
- Ligios, C.; Jeffrey, M.; Ryder, S.J.; Bellworthy, S.J.; Simmons, M.M. Distinction of Scrapie Phenotypes in Sheep by Lesion Profiling. J. Comp. Pathol. 2002, 127, 45–57. [Google Scholar] [CrossRef]
- Cordier, C.; Bencsik, A.; Philippe, S.; Bétemps, D.; Ronzon, F.; Calavas, D.; Crozet, C.; Baron, T. Transmission and characterization of bovine spongiform encephalopathy sources in two ovine transgenic mouse lines (TgOvPrP4 and TgOvPrP59). J. Gen. Virol. 2006, 87, 3763–3771. [Google Scholar] [CrossRef]
- Hamir, A.N.; Miller, J.M.; Schmerr, M.J.; Stack, M.J.; Chaplin, M.J.; Cutlip, R.C. Diagnosis of preclinical and subclinical scrapie in a naturally infected sheep flock utilizing currently available postmortem diagnostic techniques. J. Vet. Diagn. Investig. 2001, 13, 152–154. [Google Scholar] [CrossRef]
- Jeffrey, M.; González, L. Classical sheep transmissible spongiform encephalopathies: Pathogenesis, pathological phenotypes and clinical disease. Neuropathol. Appl. Neurobiol. 2007, 33, 373–394. [Google Scholar] [CrossRef]
- Beck, K.E.; Chaplin, M.; Stack, M.; Sallis, R.E.; Simonini, S.; Lockey, R.; Spiropoulos, J. Lesion Profiling at Primary Isolation in RIII Mice is Insufficient in Distinguishing BSE from Classical Scrapie. Brain Pathol. 2010, 20, 313–322. [Google Scholar] [CrossRef][Green Version]
- González, L.; Martin, S.; Jeffrey, M. Distinct profiles od PrPd immunoreactivity in the brain of scrapie- and BSE-infected sheep: Implications for differential cell targetting and PrP processing. J. Gen. Virol. 2003, 84, 1339–1350. [Google Scholar] [CrossRef]
- Elsen, J.-M.; Amigues, Y.; Schelcher, F.; Ducrocq, V.; Andreoletti, O.; Eychenne, F.; Tien Khang, J.V.; Poivey, J.-P.; Lantier, F.; Laplanche, J.-L. Genetic susceptibility and transmission factors in scrapie: Detailed analysis of an epidemic in a closed flock of Romanov. Arch. Virol. 1999, 144, 431–445. [Google Scholar] [CrossRef]
- Vilotte, J.-L.; Soulier, S.; Essalmani, R.; Stinnakre, M.-G.; Vaiman, D.; Lepourry, L.; Da Silva, J.C.; Besnard, N.; Dawson, M.; Buschmann, A.; et al. Markedly Increased Susceptibility to Natural Sheep Scrapie of Transgenic Mice Expressing Ovine PrP. J. Virol. 2001, 75, 5977–5984. [Google Scholar] [CrossRef] [PubMed]
- Groschup, M.H.; Lacroux, C.; Buschmann, A.; Lühken, G.; Mathey, J.; Eiden, M.; Lugan, S.; Hoffmann, C.; Espinosa, J.C.; Baron, T.; et al. Classic scrapie in sheep with the ARR/ARR prion genotype in Germany and France. Emerg. Infect. Dis. 2007, 13, 1201–1207. [Google Scholar] [CrossRef] [PubMed]
- Andréoletti, O.; Morel, N.; Lacroux, C.; Rouillon, V.; Barc, C.; Tabouret, G.; Sarradin, P.; Berthon, P.; Bernardet, P.; Mathey, J.; et al. Bovine spongiform encephalopathy agent in spleen from an ARR/ARR orally exposed sheep. J. Gen. Virol. 2006, 87, 1043–1046. [Google Scholar] [CrossRef]
- Hoffmann, C.; Ziegler, U.; Buschmann, A.; Weber, A.; Kupfer, L.; Oelschlegel, A.; Hammerschmidt, B.; Groschup, M.H. Prions spread via the autonomic nervous system from the gut to the central nervous system in cattle incubating bovine spongiform encephalopathy. J. Gen. Virol. 2007, 88, 1048–1055. [Google Scholar] [CrossRef] [PubMed]
- Outram, G.W. The pathogenesis of scrapie in mice. Front. Biol. 1976, 44, 325–357. [Google Scholar]
- Kaatz, M.; Fast, C.; Ziegler, U.; Balkema-Buschmann, A.; Hammerschmidt, B.; Keller, M.; Oelschlegel, A.; McIntyre, L.; Groschup, M.H. Spread of Classic BSE Prions from the Gut via the Peripheral Nervous System to the Brain. Am. J. Pathol. 2012, 181, 515–524. [Google Scholar] [CrossRef]





| Tgshp IX | Tgshp XI | ||
|---|---|---|---|
| BSE * | Incubation time | 351 ± 165 dpi (BSE) and 262 ± 21 dpi (BSE2) | 445 ± 185 dpi |
| Attack rate | 6/6 (BSE2 8/8) | 9/9 | |
| Lesion Profile | PL in CC | PL in CC | |
| PrPSc profile | 1, 4, 5, 6, 2* | 1, 4, 5, 1*, 2*, 3* | |
| Unique pattern | Severe in CC (with PL/PL-like) | Severe in CC (with PL/PL-like) | |
| Granular Layer of Cerebellum | Granular Layer of Cerebellum | ||
| Strong in Fimbriae hippocampi | Strong in Fimbriae hippocampi | ||
| Severe/widespread SBPL reaction pattern | Severe/widespread SBPL reaction pattern | ||
| Widespread PL/PL-like deposition | Widespread PL/PL-like deposition | ||
| Multifocal deposition in Thalamus | Multifocal deposition in Thalamus | ||
| ovBSE | Incubation time | 230 ± 63 dpi | 231 ± 9 dpi |
| Attack rate | 9/9 | 12/12 | |
| Lesion Profile | PL in CC | PL in CC | |
| PrPSc profile | 1, 4, 5, 2* | 1, 4, 5, 1*, 2*, 3* | |
| Additional Characteristics | Severe in CC (with PL/PL-like) | Severe in CC (with PL/PL-like) | |
| Cerebellar White Matter and Granular Layer | Cerebellar White Matter and Granular Layer | ||
| Strong in Fimbriae hippocampi | Strong in Fimbriae hippocampi | ||
| Severe/widespread SBPL reaction pattern | Severe/widespread SBPL reaction pattern | ||
| Widespread PL/PL-like deposition | Widespread PL/PL-like deposition | ||
| Multifocal deposition in Thalamus | Multifocal deposition in Thalamus | ||
| LAN | Incubation time | 190 ± 3 dpi | 195 ± 11 dpi |
| Attack rate | 8/8 | 8/9 | |
| Lesion Profile | PL in CC | PL in CC | |
| PrPSc profile | 1, 4, 5, 2* none in 1* | 1, 4, 7, 9, 3*, none in 1* | |
| Additional Characteristics | Severe in CC (coalescing) | Severe in CC (PL, Pl-like) | |
| Distinct in Corpus striatum | Distinct in Corpus striatum | ||
| Mild/oligofocal SBPL reaction pattern | Mild oligofocal SBPL reaction pattern | ||
| Mild PL-like | Mild PL-like, PL | ||
| Multifocal deposition in Thalamus | Multifocal deposition in Thalamus | ||
| S805 | Incubation time | 160 ± 18 dpi | 158 ± 20 dpi |
| Attack rate | 9/9 | 12/12 | |
| Lesion Profile | PL in CC | PL in CC | |
| PrPSc profile | 1, 4, 5, 2*, none in 6–9, 1* | 1, 3, 4, 5, 2*, none in 1* | |
| Additional Characteristics | Severe in CC (with PL/PL-like) | Severe in CC (with PL/PL-like) | |
| Hippocampus devoid of PrPSc | Hippocampus weakly affected (single mice) | ||
| SBPL reaction pattern rarely seen | SBPL reaction pattern rarely seen | ||
| Prominent ITNR/ITGL | Prominent ITNR/ITGL | ||
| Multifocal deposition in Thalamus | Only dorsolateral nuclei of Thalamus involved | ||
| DAW | Incubation time | 371 ± 44 dpi | 342 ± 39 dpi |
| Attack rate | 9/10 | 8/9 | |
| Lesion Profile | No PL | No PL | |
| PrPSc profile | 1, 4, 5, 1*, 2*, 3*, very weak in 7–9 | 1, 5, 1*, 2*, 3* | |
| Additional Characteristics | Weak (if any) accumulation in CC | Weak (if any) accumulation in CC | |
| Cerebellar White Matter | Cerebellar White Matter and Granular Layer | ||
| SBPL reaction pattern rarely seen | SBPL reaction pattern rarely seen | ||
| Devoid of PL/PL-like formation | Devoid of PL/PL-like formation | ||
| Diffuse deposition in Thalamus | Multifocal deposition in Thalamus | ||
| Atyp. Sc. | Incubation time | 317 ± 4,5 dpi | 272 ± 32 dpi |
| Attack rate | 2/2 | 6/6 | |
| Lesion Profile | No PL | No PL | |
| PrPSc profile | 1*, none in all other regions | 2, 6 | |
| Additional Characteristics | Cerebellar Molecular Layer | Cerebellar Molecular Layer | |
| None in CC | Mild in CC | ||
| Hippocampus devoid of PrPSc | Hippocampus devoid of PrPSc | ||
| SBPL reaction pattern rarely seen | SBPL reaction pattern rarely seen | ||
| Mild PL-like in Cerebellum | Mild PL-like in Cerebellum | ||
| None in Thalamus | None in Thalamus |
Publisher’s Note: MDPI stays neutral with regard to jurisdictional claims in published maps and institutional affiliations. |
© 2022 by the authors. Licensee MDPI, Basel, Switzerland. This article is an open access article distributed under the terms and conditions of the Creative Commons Attribution (CC BY) license (https://creativecommons.org/licenses/by/4.0/).
Share and Cite
Fatola, O.I.; Keller, M.; Balkema-Buschmann, A.; Olopade, J.; Groschup, M.H.; Fast, C. Strain Typing of Classical Scrapie and Bovine Spongiform Encephalopathy (BSE) by Using Ovine PrP (ARQ/ARQ) Overexpressing Transgenic Mice. Int. J. Mol. Sci. 2022, 23, 6744. https://doi.org/10.3390/ijms23126744
Fatola OI, Keller M, Balkema-Buschmann A, Olopade J, Groschup MH, Fast C. Strain Typing of Classical Scrapie and Bovine Spongiform Encephalopathy (BSE) by Using Ovine PrP (ARQ/ARQ) Overexpressing Transgenic Mice. International Journal of Molecular Sciences. 2022; 23(12):6744. https://doi.org/10.3390/ijms23126744
Chicago/Turabian StyleFatola, Olanrewaju I., Markus Keller, Anne Balkema-Buschmann, James Olopade, Martin H. Groschup, and Christine Fast. 2022. "Strain Typing of Classical Scrapie and Bovine Spongiform Encephalopathy (BSE) by Using Ovine PrP (ARQ/ARQ) Overexpressing Transgenic Mice" International Journal of Molecular Sciences 23, no. 12: 6744. https://doi.org/10.3390/ijms23126744
APA StyleFatola, O. I., Keller, M., Balkema-Buschmann, A., Olopade, J., Groschup, M. H., & Fast, C. (2022). Strain Typing of Classical Scrapie and Bovine Spongiform Encephalopathy (BSE) by Using Ovine PrP (ARQ/ARQ) Overexpressing Transgenic Mice. International Journal of Molecular Sciences, 23(12), 6744. https://doi.org/10.3390/ijms23126744

