Synthesis, In Vitro and In Silico Analysis of New Oleanolic Acid and Lupeol Derivatives against Leukemia Cell Lines: Involvement of the NF-κB Pathway †
Abstract
:1. Introduction
1.1. Oleanolic Acid and Lupeol
1.2. Semi-Synthetic Derivatives of the Two Natural Triterpenoids Precursors
2. Results and Discussion
2.1. Chemistry
2.2. Cytotoxic Activity on HL60 and HL60R Cell Lines
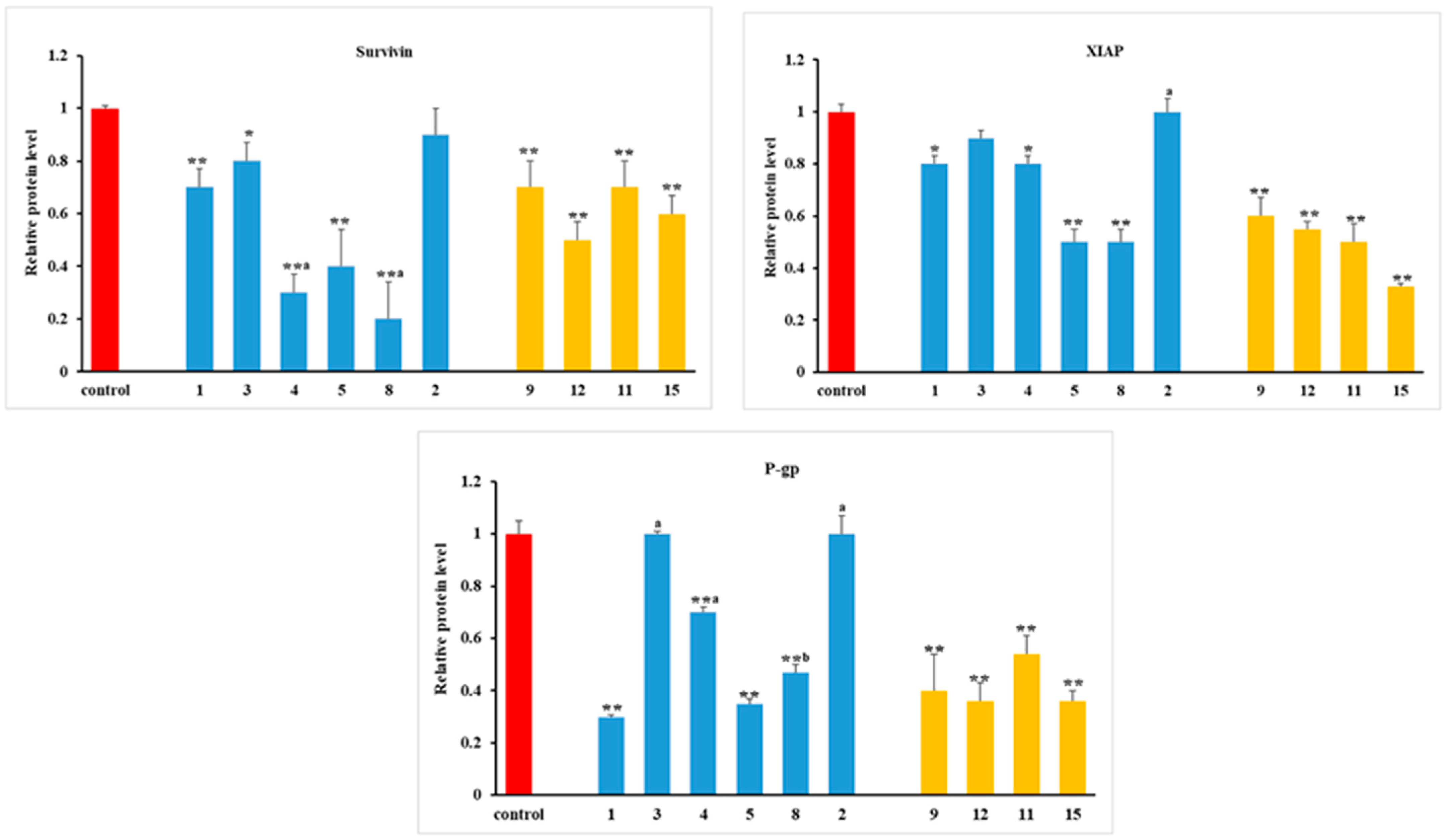
2.3. Effects of Derivatives on NF-κB (p65 Subunit) Pathway in HL60R Cells
2.4. Molecular Docking Analysis
2.5. Effects of Derivatives on IκB-α Protein Expression
3. Materials and Methods
3.1. General
3.2. Preparation of Compound 2 from OA 1
3.3. Preparation of Compounds 3 and 4 from 1
3.4. General Procedure for the Dihydroxylation of Compounds 3, 4, 10, and 12 to Give 5–8, 13, and 14
3.5. Preparation of Compound 11 from 10
3.6. Preparation of Compound 12 from 9
3.7. Preparation of Compound 15 from 14
3.8. Cell Cultures
3.9. Cell Growth Assays
3.10. NF-κB Activation
3.11. Western Blotting
3.12. Protein-Ligands Preparation, and Docking
3.13. Statistical Analysis
4. Conclusions
Supplementary Materials
Author Contributions
Funding
Institutional Review Board Statement
Informed Consent Statement
Data Availability Statement
Conflicts of Interest
References
- Cragg, G.M.; Grothaus, P.G.; Newman, D.J. Impact of natural products on developing new anti-cancer agents. Chem. Rev. 2009, 109, 3012–3043. [Google Scholar] [CrossRef] [PubMed]
- Ovesná, Z.; Vachálková, A.; Horváthová, K.; Tóthová, D. Pentacyclic triterpenoic acids: New chemoprotective compounds. Minirev. Neoplasma 2004, 51, 327–333. [Google Scholar] [PubMed]
- Gill, B.S.; Kumar, S. Triterpenes in cancer: Significance and their influence. Mol. Biol. Rep. 2016, 43, 881–896. [Google Scholar] [CrossRef] [PubMed]
- Liby, K.T.; Yore, M.M.; Sporn, M.B. Triterpenoids and rexinoids as multifunctional agents for the prevention and treatment of cancer. Nat. Rev. Cancer 2007, 7, 357–369. [Google Scholar] [CrossRef] [PubMed]
- Setzer, W.N.; Setzer, M.C. Plant-derived triterpenoids as potential antineoplastic agents. Mini Rev. Med. Chem. 2003, 3, 540–556. [Google Scholar] [CrossRef]
- Bradford, P.G.; Awad, A.B. Phytosterols as anticancer compounds. Mol. Nutr. Food Res. 2007, 51, 161–170. [Google Scholar] [CrossRef]
- Rodriguez-Rodriguez, R. OA and Related Triterpenoids from Olives on Vascular Function: Molecular Mechanisms and Therapeutic Perspectives. Curr. Med. Chem. 2015, 22, 1414–1425. [Google Scholar] [CrossRef]
- Shanmugam, M.K.; Nguyen, A.H.; Kumar, A.P.; Tan, B.K.H.; Sethi, G. Targeted inhibition of tumor proliferation, survival, and metastasis by pentacyclic triterpenoids: Potential role in prevention and therapy of cancer. Cancer Lett. 2012, 320, 158–170. [Google Scholar] [CrossRef] [Green Version]
- Zhang, W.; Men, X.; Lei, P. Review on anti-tumor effect of triterpene acid compounds. J. Cancer Res. Ther. 2014, 10, 14–19. [Google Scholar]
- Parikh, N.R.; Mandal, A.; Bhatia, D.; Siveen, K.S.; Sethi, G.; Bishayee, A. Oleanane triterpenoids in the prevention and therapy of breast cancer: Current evidence and future perspectives. Phytochem. Rev. 2014, 13, 793–810. [Google Scholar] [CrossRef] [Green Version]
- Shanmugam, M.K.; Dai, X.; Kumar, A.P.; Tan, B.K.H.; Sethi, G.; Bishayee, A. OA and its synthetic derivatives for the prevention and therapy of cancer: Preclinical and clinical evidence. Cancer Lett. 2014, 346, 206–216. [Google Scholar] [CrossRef] [Green Version]
- Pollier, J.; Goossens, A. Oleanolic acid. Phytochemistry 2012, 77, 10–15. [Google Scholar] [CrossRef]
- Liu, J. Pharmacology of OA and ursolic acid. J. Ethnopharmacol. 1995, 49, 57–68. [Google Scholar] [CrossRef]
- Yan, S.; Huang, C.; Wu, S.; Yin, M. OA and ursolic acid induce apoptosis in four human liver cancer cell lines. Toxicol. Vitr. 2010, 24, 842–848. [Google Scholar] [CrossRef]
- Senthil, S.; Chandramohan, G.; Pugalendi, K.V. Isomers (oleanolic and ursolic acids) differ in their protective effect against isoproterenol-induced myocardial ischemia in rats. Int. J. Cardiol. 2007, 119, 131–133. [Google Scholar] [CrossRef]
- Fontana, G.; Bruno, M.; Notarbartolo, M.; Labbozzetta, M.; Poma, P.; Spinella, A.; Rosselli, S. Cytotoxicity of oleanolic and ursolic acid derivatives toward hepatocellular carcinoma and evaluation of NF-κB involvement. Bioorganic Chem. 2019, 90, 103054. [Google Scholar] [CrossRef]
- Ayeleso, T.B.; Matumba, M.; Mukwevho, E. OA and its derivatives: Biological activities and therapeutic potential in chronic diseases. Molecules 2017, 22, 1915. [Google Scholar] [CrossRef] [Green Version]
- Somova, L.O.; Nadar, A.; Rammanan, P.; Shode, F.O. Cardiovascular, antihyperlipidemic and antioxidant effects of oleanolic and ursolic acids in experimental hypertension. Phytomedicine 2003, 10, 115–121. [Google Scholar] [CrossRef]
- Tian Liting, M.L.; Niansheng, D. A survey of OA pharmacological effects. China J. Chin. Mat. Med. 2002, 12, 11–26. [Google Scholar]
- Žiberna, L.; Šamec, D.; Mocan, A.; Nabavi, S.F.; Bishayee, A.; Farooqi, A.A.; Sureda, A.; Seyed Nabavi, S.M. OA Alters Multiple Cell Signaling Pathways: Implication in Cancer Prevention and Therapy. Int. J. Mol. Sci. 2017, 18, 643. [Google Scholar] [CrossRef] [Green Version]
- Jeong, D.W.; Kim, Y.H.; Kim, H.H.; Ji, H.Y.; Yoo, S.D.; Choi, W.R.; Lee, S.M.; Han, C.K.; Lee, H.S. Dose-linear pharmacokinetics of OA after intravenous and oral administration in rats. Biopharm. Drug Dispos. 2007, 28, 51–57. [Google Scholar] [CrossRef]
- Jun, X.; Ming, W.; Jian-Ming, L. Pharmacoknietic study of OA oral self-microemulsifying system in rat. Chin. Trad. Pat. Med. 2012, 34, 257–260. [Google Scholar]
- Petronelli, A.; Pannitteri, G.; Testa, U. Triterpenoids as new promising anticancer drugs. Anticancer. Drugs 2009, 20, 880–892. [Google Scholar] [CrossRef]
- Saleem, M. LU, a novel anti-inflammatory and anticancer dietary triterpene. Cancer Lett. 2009, 285, 109–115. [Google Scholar] [CrossRef] [PubMed] [Green Version]
- Saleem, M.; Alam, A.; Arifin, S.; Shah, M.S.; Ahmed, B.; Sultana, S. LU, a triterpene, inhibits early responses of tumor promotion induced by benzoyl peroxide in murine skin. Pharmacol. Res. 2001, 43, 127–134. [Google Scholar] [CrossRef] [PubMed]
- Malinowska, M.; Miroslaw, B.; Sikora, E.; Ogonowski, J.; Wojtkiewicz, A.M.; Szaleniec, M.; Pasikowska-Piwko, M.; Eris, I. New LU esters as active substances in the treatment of skin damage. PLoS ONE 2019, 14, e0214216. [Google Scholar] [CrossRef] [PubMed]
- Ahmed, Y.; Sohrab, M.H.; Al-Reza, S.M.; Tareq, F.S.; Hasan, C.M.; Sattar, M.A. Antimicrobial and cytotoxic constituents from leaves of Sapium baccatum. Food Chem. Toxicol. 2010, 48, 549–552. [Google Scholar] [CrossRef]
- Somensi, L.B.; Costa, P.; Boeing, T.; Mariano, L.N.B.; Longo, B.; Magalhães, C.G.; Duarte, L.P.; Maciel e Silva, A.T.; de Souzaa, P.; de Andrade, S.F.; et al. Gastroprotective properties of LU-derived ester: Pre-clinical evidences of LU-stearate as a potent antiulcer agent. Chem.-Biol. Interact. 2020, 321, 108964. [Google Scholar] [CrossRef]
- Siddique, H.R.; Saleem, M. Beneficial health effects of LU triterpene: A review of preclinical studies. Life Sci. 2011, 88, 285–293. [Google Scholar] [CrossRef]
- Aratanechemuge, Y.; Hibasami, H.; Sanpin, K.; Katsuzaki, H.; Imai, K.; Komiya, T. Induction of apoptosis by LU isolated from mokumen (Gossampinus malabarica L.Merr) in human promyelotic leukemia HL60 cells. Oncol. Rep. 2004, 11, 289–292. [Google Scholar]
- Cmoch, P.; Pakulski, Z.; Swaczynová, J.; Strnad, M. Synthesis of lupane-type saponins bearing mannosyl and 3,6-branched trimannosyl residues and their evaluation as anticancer agents. Carbohydr. Res. 2008, 343, 995–1003. [Google Scholar] [CrossRef]
- Saleem, M.; Afaq, F.; Adhami, V.M.; Mukhtar, H. LU modulates NF-kappa B and PI3K/Akt pathways and inhibits skin cancer in CD-1 mice. Oncogene 2004, 23, 5203–5214. [Google Scholar] [CrossRef] [Green Version]
- Luo, J.L.; Kamata, H.; Karin, M. IKK/NF-kappaB signaling: Balancing life and death--a new approach to cancer therapy. J. Clin. Investig. 2005, 115, 2625–2632. [Google Scholar] [CrossRef] [Green Version]
- Yoshida, N.; Koizumi, M.; Adachi, I.; Kawakami, J. Inhibition of P-glycoprotein-mediated transport by terpenoids contained in herbal medicines and natural products. Food Chem. Toxicol. 2006, 44, 2033–2039. [Google Scholar] [CrossRef]
- Saleem, M.; Kweon, M.-H.; Yun, J.-M.; Adhami, V.M.; Khan, N.; Syed, D.N.; Mukhtar, H. A Novel Dietary Triterpene LU Induces Fas-Mediated Apoptotic Death of Androgen-Sensitive Prostate Cancer Cells and Inhibits Tumor Growth in a Xenograft Mode. Cancer Res. 2005, 65, 11203–11213. [Google Scholar] [CrossRef] [Green Version]
- Prasad, S.; Nigam, N.; Kalra, N.; Shukla, Y. Regulation of signaling pathways involved in LU induced inhibition of proliferation and induction of apoptosis in human prostate cancer cells. Mol. Carcinog. 2008, 47, 916–924. [Google Scholar]
- Notarbartolo, M.; Cervello, M.; Poma, P.; Dusonchet, L.; Meli, M.; D’Alessandro, N. Expression of the IAPs in multidrug resistant tumor cells. Oncol. Rep. 2004, 11, 133–136. [Google Scholar] [CrossRef]
- Surendra, K.; Corey, E.J. A Short Enantioselective Total Synthesis of the Fundamental Pentacyclic Triterpene Lupeol. J. Am. Chem. Soc. 2009, 113, 13928–13929. [Google Scholar] [CrossRef]
- Chen, Y.Q.; Ghosh, S.; Ghosh, G. A novel DNA recognition mode by the NF-κB p65 homodimer. Nat. Struct. Biol. 1998, 5, 67–73. [Google Scholar] [CrossRef]
- Beg, A.A.; Baldwin, A.S., Jr. The I kappa B proteins: Multifunctional regulators of Rel/NF-kappa B transcription factors. Genes Dev. 1993, 7, 2064–2070. [Google Scholar] [CrossRef] [Green Version]
- Finco, T.S.; Beg, A.A.; Baldwin, A.S., Jr. Inducible phosphorylation of I kappa B alpha is not sufficient for its dissociation from NF-kappa B and is inhibited by protease inhibitors. Proc. Natl. Acad. Sci. USA 1994, 91, 11884–11888. [Google Scholar] [CrossRef] [Green Version]
- Traenckner, E.B.; Pahl, H.L.; Henkel, T.; Schmidt, K.N.; Wilk, S.; Baeuerle, P.A. Phosphorylation of human I kappa B-alpha on serines 32 and 36 controls I kappa B-alpha proteolysis and NF-kappa B activation in response to diverse stimuli. EMBO J. 1995, 14, 2876–2883. [Google Scholar] [CrossRef]
- Karin, M.; Ben-Neriah, Y. Phosphorylation meets ubiquitination: The control of NF-[kappa]B activity. Ann. Rev. Immunol. 2000, 18, 621–663. [Google Scholar] [CrossRef]
- Ahmad, R.; Raina, D.; Meyer, C.; Kharbanda, S.; Kufe, D. Triterpenoid CDDO-Me blocks the NF-kappaB pathway by direct inhibition of IKKbeta on Cys-179. J. Biol. Chem. 2006, 281, 35764–35769. [Google Scholar] [CrossRef] [Green Version]
- Oliveira-Marques, V.; Marinho, H.S.; Cyrne, L.; Antunes, F. Role of Hydrogen Peroxide in NF-κB Activation: From Inducer to Modulator. Antioxid. Redox Signal. 2009, 11, 2223–2243. [Google Scholar] [CrossRef]
- Beserra, F.P.; Vieira, A.J.; Gushiken, L.F.S.; de Souza, L.O.; Hussni, M.F.; Hussni, C.A.; Nóbrega, R.H.; Monteiro Martinez, E.R.; Jackson, C.J.; de Azevedo Maia, G.L.; et al. LU, a Dietary Triterpene, Enhances Wound Healing in Streptozotocin-Induced Hyperglycemic Rats with Modulatory Effects on Inflammation, Oxidative Stress, and Angiogenesis. Oxid. Med. Cell Longev. 2019, 2019, 3182627. [Google Scholar] [CrossRef]
- Ghafoor, K. Antioxidant properties. Agro. Food Ind. Hi-Tech. 2014, 25, 54–57. [Google Scholar]
- Gao, D.; Li, Q.; Li, Y.; Liu, Z.; Fan, Y.; Liu, Z.; Zhao, H.; Li, J.; Han, Z. Antidiabetic and antioxidant effects of OA from Ligustrum lucidum Ait in alloxan-induced diabetic rats. Phytother. Res. 2009, 23, 1257–1262. [Google Scholar] [CrossRef]
- Ma, C.; Nakamura, N.; Hattori, M. Chemical Modification of Oleanene Type Triterpenes and Their Inhibitory Activity against HIV-1 Protease Dimerization. Chem. Pharm. Bull. 2000, 48, 1681–1688. [Google Scholar] [CrossRef] [Green Version]
- Saini, M.; Faheem Khan, M.; Sangwan, R.; Ali Khan, M.; Kumar, A.; Verma, R.; Ahamad, T.; Jain, S. Design, Synthesis and In-Vitro Antitumor Activity of LU Derivatives via Modification at C-3 and C-30 Positions. ChemistrySelect 2019, 4, 1800–1805. [Google Scholar] [CrossRef]
- Phan, H.-V.-T.; Duong, T.-H.; Pham, D.-D.; Pham, H.A.; Nguyen, V.-K.; Nguyen, T.-P.; Nguyen, H.-H.; Nguyen, N.-H.; Sam-ang, P.; Phontree, K.; et al. Design and synthesis of new LU derivatives and their α-glucosidase inhibitory and cytotoxic activities. Nat. Prod. Res. 2020, 36, 1–7. [Google Scholar] [CrossRef] [PubMed]
- Greenwood, J.R.; Calkins, D.; Sullivan, A.P.; Shelley, J.C. Towards the comprehensive, rapid, and accurate prediction of the favorable tautomeric states of drug-like molecules in aqueous solution. J. Comput.-Aided Mol. 2010, 24, 591–604. [Google Scholar] [CrossRef] [PubMed]
- Protein Preparation Wizard; Schrödinger, LLC: New York, NY, USA, 2018.
- Friesner, R.A.; Murphy, R.B.; Repasky, M.P.; Frye, L.L.; Greenwood, J.R.; Halgren, T.A.; Sanschagrin, P.C.; Mainz, D.T. Extra Precision Glide: Docking and Scoring Incorporating a Model of Hydrophobic Enclosure for Protein-Ligand Complexes. J. Med. Chem. 2006, 49, 6177–6196. [Google Scholar] [CrossRef] [PubMed] [Green Version]
- Prime; Schrödinger, LLC: New York, NY, USA, 2018.
- Hou, T.; Wang, J.; Li, Y.; Wang, W. Assessing the performance of the MM/PBSA and MM/GBSA methods. 1. The accuracy of binding free energy calculations based on molecular dynamics simulations. J. Chem. Inf. Model. 2011, 51, 69–82. [Google Scholar] [CrossRef]
- Tutone, M.; Pibiri, I.; Lentini, L.; Pace, A.; Almerico, A.M. Deciphering the Nonsense Readthrough Mechanism of Action of Ataluren: An in Silico Compared Study. ACS Med. Chem. Lett. 2019, 10, 522–527. [Google Scholar] [CrossRef]
- Culletta, G.; Gulotta, M.R.; Perricone, U.; Zappalà, M.; Almerico, A.M.; Tutone, M. Exploring the SARS-CoV-2 Proteome in the Search of Potential Inhibitors via Structure-Based Pharmacophore Modeling/Docking Approach. Computation 2020, 8, 77. [Google Scholar] [CrossRef]
- Massova, I.; Kollman, P.A. Combined molecular mechanical and continuum solvent approach (MM-PBSA/GBSA) to predict ligand binding. Perspect. Drug Discov. Des. 2000, 18, 113–135. [Google Scholar] [CrossRef]
- Culletta, G.; Allegra, M.; Almerico, A.M.; Restivo, I.; Tutone, M. In silico design, synthesis and biological evaluation of anticancer arylsulfonamide endowed with anti-telomerase activity. Pharmaceuticals 2022, 15, 82. [Google Scholar] [CrossRef]









| C/H | 5 | 6 | 7 | 8 | ||||
|---|---|---|---|---|---|---|---|---|
| 1 | 35.6 t | 1.22 m 1.34 m | 35.6 t | 0.94 m 1.34 m | 33.5 t | 1.10 m 1.35 m | 34.9 t | 1.22 m 1.40 m |
| 2 | 33.8 t | 1.57 m 1.76 m | 33.8 t | 1.20 m 1.73 m | 28.2 t | 1.99 m 2.05 m | 33.8 t | 1.54 m 1.76 m |
| 3 | 77.6 s | 76.6 s | 77.0 s (78.7) * | 77.3 s | ||||
| 4 | 41.8 s | 41.8 s | 42.0 s | 42.6 s | ||||
| 5 | 51.3 d | 1.38 m | 51.7 d | 1.40 m | 53.5 d (54.5) * | 1.08 m | 54.6 d | 1.08 m |
| 6 | 21.3 t | 1.41 m 1.50 m | 19.9 t | 1.41 m 1.47 m | 20.00 t | 1.27 m 1.40 m | 20.3 t | 1.45 m 1.50 m |
| 7 | 31.6 t | 1.30 m 1.32 m | 31.6 t | 1.29 m 1.37 m | 33.3 t | 0.83 m 0.90 m | 31.6 t | 1.20 m 1.42 m |
| 8 | 37.9 s | 37.8 s | 37.6 s | 38.1 s | ||||
| 9 | 47.6 d | 1.76 m | 47.7 d | 1.73 m | 46.8 d | 1.60 m | 47.7 d | 1.70 m |
| 10 | 37.9 s | 37.9 s | 37.7 s | 38.3 s | ||||
| 11 | 24.1 t | 1.92 m 1.93 m | 24.4 t | 1.89 m 1.91 m | 23.8 t | 1.80 m 1.96 m | 24.5 t | 1.91 m 1.95 m |
| 12 | 123.5 d | 5.28 t (3.15) | 123.7 d | 5.26 t (3.3) | 122.4 d | 5.39 t (3.2) | 123.6 d | 5.27 t (3.1) |
| 13 | 145.1 s | 145.2 s | 144.9 s | 145.2 s | ||||
| 14 | 40.5 s | 40.8 s | 37.8 s | 40.6 s | ||||
| 15 | 28.8 t | 1.10 m 1.81 m | 28.8 t | 1.10 m 1.78 m | 31.01 t | 1.24 m 1.70 m | 29.0 t | 1.08 m 1.82 m |
| 16 | 24.4 t | 1.61 m 2.03 m | 24.5 t | 1.59 m 2.02 m | 26.1 t | 0.99 m 1.00 m | 24.1 t | 1.64 m 2.04 m |
| 17 | 43.0 s | 43.0 s | 42.2 s | 42.9 s | ||||
| 18 | 42.7 d | 2.88 dd (13.9, 4.4) | 42.7 d | 2.86 dd (14.0, 4.5) | 39.8 d | 3.20 dd (13.6, 4.5) | 42.8 d | 2.87 dd (13.7, 4.7) |
| 19 | 47.2 t | 1.14 m 1.70 m | 47.3 t | 1.12 m 1.67 m | 46.7 t | 1.21 m 1.69 m | 47.3 t | 1.16 m 1.71 m |
| 20 | 29.5 s | 29.9 s | 28.7 s | 30.8 s | ||||
| 21 | 34.9 t | 1.22 m 1.34 m | 34.9 t | 0.95 m 1.33 m | 34.9 t | 1.08 m 1.33 m | 34.7 t | 1.22 m 1.35 m |
| 22 | 34.1 t | 1.56 m 1.77 m | 34.1 t | 1.55 m 1.75 m | 34.8 t | 1.03 m 1.24 m | 34.2 t | 1.55 m 1.77 m |
| 23 | 17.7 q | 0.84 s | 17.7 q | 0.83 s | 23.8 q | 1.01 s | 24.6 q | 0.90 s |
| 24 | 19.9 q | 0.82 | 24.0 q | 0.91 s | 19.4 q | 1.05 s | 20.0 q | 0.92 s |
| 25 | 15.0 q | 0.97 s | 15.5 q | 0.92 s | 16.1 q | 0.85 s | 16.2 q | 1.02 s |
| 26 | 17.8 q | 0.96 s | 17.8 q | 0.83 s | 17.5 q | 0.92 s | 17.9 q | 0.86 s |
| 27 | 26.5 q | 1.22 s | 26.4 q | 1.19 s | 24.7 q | 1.10 s | 26.1 q | 1.22 s |
| 28 | 181.8 s | 181.9 s | nd | 181.8 s | ||||
| 29 | 33.5 q | 0.94 s | 33.6 q | 0.95 s | 31.0 q | 0.85 s | 33.2 q | 0.95 s |
| 30 | 24.0 q | 0.97 s | 24.0 q | 0.95 s | 23.8 q | 0.92 s | 24.0 q | 0.98 s |
| 1′ | 38.0 t | 1.47 m 1.78 m | 40.5 t | 1.42 m 1.84 m | 34.8 t | 1.93 m 2.29 m | 37.8 t | 1.62 m 1.92 m |
| 2′ | 70.3 d | 4.04 d quint. (1.8, 5.4) | 69.6 d | 3.94 m | 70.8 d | 4.42 quint. (5.3) | 70.3 d | 3.92 quint. (5.7) |
| 3′ | 67.8 t | 3.49 dd (5.7, 10.6) 3.44 dd (5.6, 10.6) | 68.6 t | 3.48 dd (5.1, 10.9) 3.44 dd (6.4, 10.8) | 68.2 t | 3.93 dd (5.8, 10.6) 3.83 dd (5.11, 10.7) | 68.6 t | 3.49 dd (11.7, 6.8) 3.58 dd (11.6, 6.8) |
| C/H | 13 | 14 | ||
|---|---|---|---|---|
| 1 | 39.5 t | 1.91 m 1.41 m | 38.4 t | 1.70 m 1.00 m |
| 2 | 34.1 t | 2.40 ddd (7.8, 4.6, 4.6) 2.50 ddd (7.8, 5.0, 5.1) | 24.8 t | 1.60 m 1.63 m |
| 3 | 218.4 s | - | 81.0 d | 4.48 dd |
| 4 | 47.2 s | - | 37.6 s | - |
| 5 | 54.7 d | 1.32 m | 55.3 d | 0.78 m |
| 6 | 19.6 t | 1.45 m 0.80 m | 18.9 t | 1.45 m 1.50 m |
| 7 | 33.8 t | 1.43 m 1.44 m | 34.5 t | 1.48 m 1.39 m |
| 8 | 41.2 s | - | 41.4 s | - |
| 9 | 49.6 d | 1.34 m | 50.2 d | 1.28 m |
| 10 | 36.7 s | - | 37.8 s | - |
| 11 | 21.9 t | 1.33 m 1.46 m | 21.4 t | 1.48 m 1.34 m |
| 12 | 27.5 t | 1.02 m 1.89 m | 27.5 t | 1.00 m 1.51 m |
| 13 | 40.3 d | 1.42 m | 37.0 t | 0.99 m 1.68 m |
| 14 | 43.5 s | - | 43.5 s | - |
| 15 | 27.5 t | 1.51 m 1.74 m | 27.5 t | 1.70 m 1.51 m |
| 16 | 35.4 t | 1.48 m 1.34 m | 35.5 t | 1.39 m 1.40 m |
| 17 | 44.6 s | - | 44.7 s | - |
| 18 | 47.9 d | 1.40 m | 48.0 d | 1.40 m |
| 19 | 47.3 d | 1.93 m | 47.3 d | 1.91 m |
| 20 | 75.2 s | - | 75.2 s | - |
| 21 | 28.6 t | 1.05 m 1.52 m | 27.9 t | 1.51 m 1.04 m |
| 22 | 37.7 t | 1.73 m 1.75 m | 40.4 t | 1.10 m 1.32 m |
| 23 | 26.6 q | 1.06 s | 28.6 q | 0.85 s |
| 24 | 21.0 q | 1.02 s | 16.5 q | 0.84 s |
| 25 | 16.0 q | 0.94 s | 16.2 q | 0.87 s |
| 26 | 16.0 q | 1.08 s | 16.2 q | 1.05 s |
| 27 | 14.7 q | 0.92 s | 14.8 q | 0.94 s |
| 28 | 18.9 q | 0.80 s | 18.2 q | 0.80 s |
| 29 | 67.2 t | 3.44 d (10.3) 3.65 d (10.3) | 67.3 t | 3.44 d (10.3) 3.63 d (10.3) |
| 30 | 24.8 q | 1.20 s | 23.7 q | 1.20 s |
| -COCH3 | - | - | 171.0 s | - |
| -COCH3 | - | - | 21.3 q | 2.03 s |
| HL60 IC50 (Mean ± SE) | HL60R IC50 (Mean ± SE) | |
|---|---|---|
| 1 | 44.0 ± 0.7 | 43.5 ± 10.3 |
| 2 | 4.5 ± 3.3 | 11.2 ± 3.9 |
| 3 | 20.2 ± 0.5 | 19.0 ± 0.3 |
| 4 | 12.7 ± 0.9 | 16.0 ± 0.7 |
| 5 | 35.7 ± 0.9 | 32.2 ± 1.2 |
| 6 | 72.2 ± 2.3 | 72.7 ± 3.4 |
| 7 | 33.0 ± 3.5 | 39.5 ± 3.2 |
| 8 | 32.0 ± 1.8 | 32.0 ± 1.1 |
| 9 | >100 | >100 |
| 10 | >100 | >100 |
| 11 | 18.2 ± 2.3 | 22.5 ± 8.1 |
| 12 | 25.5 ± 5.3 | 24.2 ± 5 8 |
| 13 | 36.7 ± 1.9 | 44.7 ± 0.9 |
| 14 | 21.2 ± 4.1 | 43.2 ± 3.4 |
| 15 | 9.6 ± 0.1 | 14.5 ± 4.9 |
Publisher’s Note: MDPI stays neutral with regard to jurisdictional claims in published maps and institutional affiliations. |
© 2022 by the authors. Licensee MDPI, Basel, Switzerland. This article is an open access article distributed under the terms and conditions of the Creative Commons Attribution (CC BY) license (https://creativecommons.org/licenses/by/4.0/).
Share and Cite
Fontana, G.; Badalamenti, N.; Bruno, M.; Castiglione, D.; Notarbartolo, M.; Poma, P.; Spinella, A.; Tutone, M.; Labbozzetta, M. Synthesis, In Vitro and In Silico Analysis of New Oleanolic Acid and Lupeol Derivatives against Leukemia Cell Lines: Involvement of the NF-κB Pathway. Int. J. Mol. Sci. 2022, 23, 6594. https://doi.org/10.3390/ijms23126594
Fontana G, Badalamenti N, Bruno M, Castiglione D, Notarbartolo M, Poma P, Spinella A, Tutone M, Labbozzetta M. Synthesis, In Vitro and In Silico Analysis of New Oleanolic Acid and Lupeol Derivatives against Leukemia Cell Lines: Involvement of the NF-κB Pathway. International Journal of Molecular Sciences. 2022; 23(12):6594. https://doi.org/10.3390/ijms23126594
Chicago/Turabian StyleFontana, Gianfranco, Natale Badalamenti, Maurizio Bruno, Davide Castiglione, Monica Notarbartolo, Paola Poma, Alberto Spinella, Marco Tutone, and Manuela Labbozzetta. 2022. "Synthesis, In Vitro and In Silico Analysis of New Oleanolic Acid and Lupeol Derivatives against Leukemia Cell Lines: Involvement of the NF-κB Pathway" International Journal of Molecular Sciences 23, no. 12: 6594. https://doi.org/10.3390/ijms23126594
APA StyleFontana, G., Badalamenti, N., Bruno, M., Castiglione, D., Notarbartolo, M., Poma, P., Spinella, A., Tutone, M., & Labbozzetta, M. (2022). Synthesis, In Vitro and In Silico Analysis of New Oleanolic Acid and Lupeol Derivatives against Leukemia Cell Lines: Involvement of the NF-κB Pathway. International Journal of Molecular Sciences, 23(12), 6594. https://doi.org/10.3390/ijms23126594

