Next Article in Journal
Platelet-Rich Plasma as an Alternative to Xenogeneic Sera in Cell-Based Therapies: A Need for Standardization
Next Article in Special Issue
Spontaneous and Ionizing Radiation-Induced Aggregation of Human Serum Albumin: Dityrosine as a Fluorescent Probe
Previous Article in Journal
Targeting Cell Cycle Progression in HER2+ Breast Cancer: An Emerging Treatment Opportunity
Previous Article in Special Issue
Radiolysis Studies of Oxidation and Nitration of Tyrosine and Some Other Biological Targets by Peroxynitrite-Derived Radicals
 
 
Font Type:
Arial Georgia Verdana
Font Size:
Aa Aa Aa
Line Spacing:
Column Width:
Background:
Article

Evaluation of Hydroxyl Radical Reactivity by Thioether Group Proximity in Model Peptide Backbone: Methionine versus S-Methyl-Cysteine

by
Chryssostomos Chatgilialoglu
1,2,
Magdalena Grzelak
1,
Konrad Skotnicki
3,
Piotr Filipiak
1,4,
Franciszek Kazmierczak
4,
Gordon L. Hug
5,
Krzysztof Bobrowski
3,* and
Bronislaw Marciniak
1,4,*
1
Center for Advanced Technology, Adam Mickiewicz University, Uniwersytetu Poznanskiego 10, 61-614 Poznan, Poland
2
ISOF, Consiglio Nazionale delle Ricerche, Via P. Gobetti 101, 40129 Bologna, Italy
3
Institute of Nuclear Chemistry and Technology, Dorodna 16, 03-195 Warsaw, Poland
4
Faculty of Chemistry, Adam Mickiewicz University, Uniwersytetu Poznanskiego 8, 61-614 Poznan, Poland
5
Radiation Laboratory, University of Notre Dame, Notre Dame, IN 46556, USA
*
Authors to whom correspondence should be addressed.
Int. J. Mol. Sci. 2022, 23(12), 6550; https://doi.org/10.3390/ijms23126550
Submission received: 14 May 2022 / Revised: 8 June 2022 / Accepted: 9 June 2022 / Published: 11 June 2022

Abstract

:
Hydroxyl radicals (HO) have long been regarded as a major source of cellular damage. The reaction of HO with methionine residues (Met) in peptides and proteins is a complex multistep process. Although the reaction mechanism has been intensively studied, some essential parts remain unsolved. In the present study we examined the reaction of HO generated by ionizing radiation in aqueous solutions under anoxic conditions with two compounds representing the simplest model peptide backbone CH3C(O)NHCHXC(O)NHCH3, where X = CH2CH2SCH3 or CH2SCH3, i.e., the Met derivative in comparison with the cysteine-methylated derivative. We performed the identification and quantification of transient species by pulse radiolysis and final products by LC–MS and high-resolution MS/MS after γ-radiolysis. The results allowed us to draw for each compound a mechanistic scheme. The fate of the initial one-electron oxidation at the sulfur atom depends on its distance from the peptide backbone and involves transient species of five-membered and/or six-membered ring formations with different heteroatoms present in the backbone as well as quite different rates of deprotonation in forming α-(alkylthio)alkyl radicals.

Graphical Abstract

1. Introduction

The reactive oxygen species (ROS) network, initiated from a superoxide radical anion (O2•−) and nitric oxide (NO), regulates numerous metabolic processes, although the overproduction of ROS has been linked with the etiology of various diseases [1,2]. Hydroxyl radicals (HO) are the most reactive species within this network and have long been regarded as a major source of cellular damage [3]. The main cellular processes that generate HO are depicted in Scheme 1 [4]. H2O2 is at the crossroad of several pathways of HO formation, the main ones being by the Fenton reaction (Fe2+ and H2O2), the Haber–Weiss reaction (O2•− and H2O2), and the reduction of hypochlorous acid (HOCl) by O2•−. The spontaneous decomposition of ONOOH is an additional pathway [5]. The diffusion distance of HO is very small because of its high reactivity with all types of biomolecules and, consequently, there is a low probability to be intercepted by antioxidants [5,6]. In this context, aerobic life would not be possible without the enzymes superoxide dismutase (SOD) and catalase (CAT) that transform superoxide to water and oxygen (Scheme 1) [3].
The one-electron and two-electron oxidation of sulfide moieties have been intensively studied by a variety of methods, going from organic chemistry to biology and industrial processes. The oxidation of methionine (Met) is an important reaction that plays a key role in protein modifications during oxidative stress and aging [7]. Scheme 2 shows the reaction of Met residues with two-electron oxidants such as H2O2, ONOO, or HOCl, with the formation of methionine sulfoxide, Met(O) [7], whereas the reaction of HO with Met gives formally one-electron oxidation through two consecutive steps, i.e., the formation of an adduct radical followed by heterolytic cleavage [8].
The radiolysis of water provides a very convenient pathway for generating hydroxyl radicals (HO). Time-resolved kinetic studies by pulse radiolysis have expanded our mechanistic understanding of radical reactivity of Met in differently functionalized environments [8]. An overview of the transient-species detection in the one-electron oxidation of Met derivatives by various time-resolved techniques has been recently presented [9]. Mechanistic aspects of Met oxidation according to various structural characteristics given by peptide sequences and pH by one-electron oxidants (including HO) are summarized and discussed. Neighboring group participation seems to be an essential interaction that controls the outcome of the one-electron oxidation of methionine. The observed transient species are precursors of the final products [9]. On the other hand, the photosensitized oxidation of Met derivatives by the excited triplet of 3-carboxybenzophenone was shown to differ significantly, leading to α-thioalkyl radical formation through an electron transfer coupled by proton transfer (ET–PT) within the encounter complex [10].
There are also a few ionizing radiation chemical studies of Met in aqueous solutions, followed by product characterization and quantification. We recently described the reaction of HO with Ac-Met-OMe in aqueous solutions under anoxic conditions, performing identification and quantification of transient species by pulse radiolysis and the final products by LC–MS and high-resolution MS/MS after γ-radiolysis [11]. It was demonstrated that the formation of small amounts of the corresponding sulfoxide is due to in situ formation of H2O2 rather than to direct oxidation by HO [11]. Additionally, the reaction of HO with the tripeptide Gly-Met-Gly provided strong evidence that the corresponding Met sulfoxide in the tripeptide derives from the in situ formed H2O2 [12].
Based on these premises, here we report the study on the reactions of HO with methionine (Met) derivative 1, and with its congener cysteine-methylated (Cys-Me) derivative 2 under anoxic conditions (Scheme 3). Both of them contain the same model peptide backbone: compound 1 represents the simplest case of a Met residue located in a peptide sequence, at the same time eliminating the known chemistry of unsubstituted Met, i.e., occurrence of intramolecular proton transfer from the amino group and decarboxylation [9,13]. The current reactivity comparison between compounds 1 and 2 aims at understanding the influence of the thioether group distance from the peptide backbone (2 has one CH2 less) on the chemistry of HO radical. In particular, we provided identification and quantification of transient species by pulse radiolysis and final products of γ-radiolysis by LC–MS and high-resolution MS/MS.

2. Results and Discussion

Ionizing radiation of neutral water leads to the primary reactive species eaq, HO, and H, as shown in Reaction one. The values in brackets represent the radiation chemical yield (G) in µmol J−1 [14]. In N2O-saturated solution (~0.02 M of N2O), eaq are efficiently transformed into HO radicals via Reaction two (k = 9.1 × 109 M−1 s−1) [15], affording G(HO) = 0.56 µmol J−1.
H2O Ijms 23 06550 i001 eaq (0.28), HO (0.28), H (0.06)
eaq + N2O + H2O → HO + N2 + HO
Thus in these experimantal conditions HO radicals were the main oxidizing species.

2.1. Pulse Radiolysis, Spectra Resolution, and Concentration Profiles of Transients

The reaction of HO with compounds 1 and 2 was investigated in N2O-saturated solutions of 0.2 mM 1 or 2, at natural pH (pH value of 7.0 was recorded) to mimic natural biological conditions. Transient absorption spectra in the range 270–700 nm recorded in the time range of 1 μs to 160 μs are presented in Figure 1.
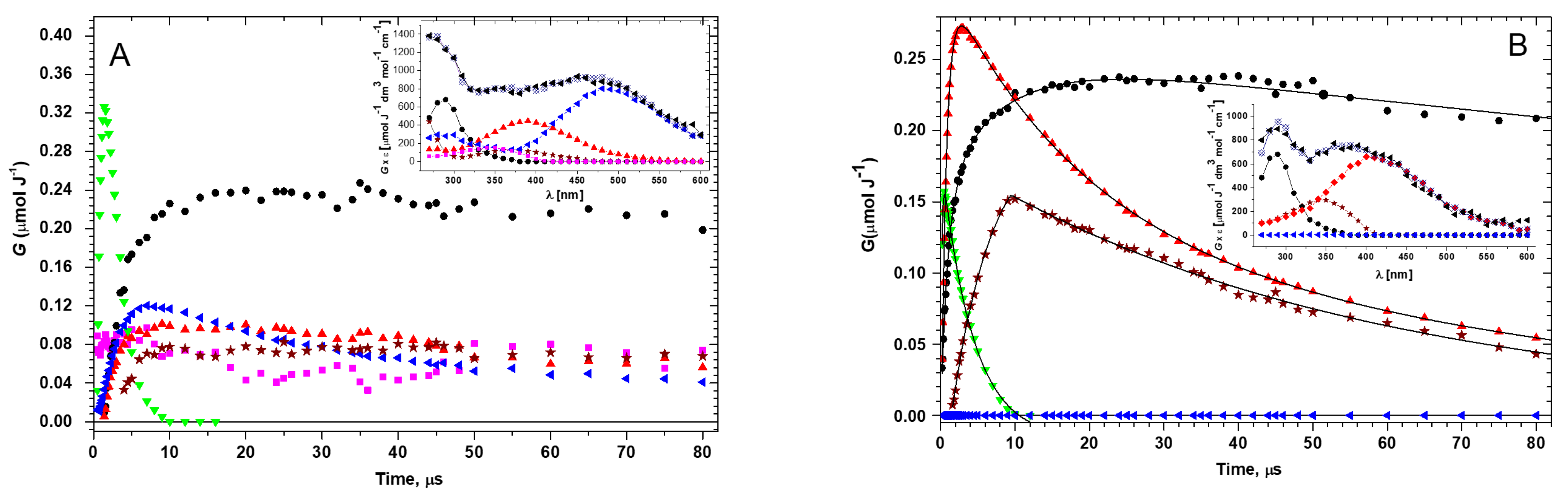
The transient spectrum obtained 1 μs after the electron pulse in N2O-saturated aqueous solutions containing 0.2 mM of compound 1 at pH 7 and showed a dominant absorption band with λmax = 330 nm (Figure 1A). Based on our previous studies on dimethyl sulfide [16], and various Met-containing derivatives [11,12,17,18], this band can be assigned unequivocally to the HO adduct at the sulfur atom HOS, established as the first step in the HO-induced oxidation of compound 1 (see Scheme 4). However, as shown in Figure 1A, the observed transient-spectral profile changed with time, indicating contributions from various transient species. The spectrum obtained 1 µs after the electron pulse underwent further changes and, at 3 µs after the electron pulse, had transformed into the spectrum showing two pronounced shoulders in the 380–400 nm and 450–500 nm ranges. The latter shoulder further developed into an absorption band with λmax = 470 nm, which was clearly seen in the absorption spectrum obtained 10 μs after the pulse together with an absorption band with a maximum located around λ = 290 nm. These absorption bands reached their maximum absorbance values around 7 and 15 μs after the electron pulse, respectively (see upper inset in Figure 1A). These absorption bands can be tentatively assigned to the intermolecular sulfur–sulfur three-electron bonded radical cations (SS•+) and α-(alkylthio)alkyl radicals (αS(1) and/or αS(2)), respectively (Scheme 4). Moreover, a distinct flat region between 320–400 nm was observed indicating the presence of various additional transient species. Based on our previous studies on Ac-Met-OMe [11], the Cα-centered radicals (αC(1) and/or αC(2)) and intramolecular sulfur–nitrogen three-electron bonded radicals (SN(1) and/or SN(2)) can be considered as potential transients (Scheme 4). It is noteworthy that the transient-absorption spectrum obtained 30 μs after the pulse is characterized by the distinct absorption band with λmax = 290 nm and an even more pronounced flat region between 320–460 nm, which can be rationalized by the faster decay kinetics of SS•+ compared to the decay kinetics of the remaining transients, i.e., αS and SN. This fact is clearly confirmed by a comparison of the short- and long-time kinetic profiles recorded at four selected wavelengths (290, 340, 390, and 490 nm) corresponding to the absorption maxima of the four most abundant radicals present in the irradiated system, i.e., αS, HOS, SN, and SS•+ (see insets in Figure 1A). The short-time kinetic traces look different, and they reached their maximum absorbance signal at various times after the pulse. Moreover, the long-time kinetic profiles in the time domain above 70 μs clearly illustrate the kinetics of radical–radical coupling reactions (cf. lower inset in Figure 1A).
In order to check whether the thioether group distance from the peptide backbone has an influence on the character of intermediates resulting from the reactions of HO radicals, transient absorption spectra were recorded after the electron pulse in N2O-saturated aqueous solutions containing 0.2 mM 2 at pH 7. The transient absorption spectra recorded in the time domain between 1 and 10 μs after the electron pulse are characterized by different features in comparison to the absorption spectra recorded in the case of 1 (cf. Figure 1A,B). They consisted of two absorption bands with maxima located at λ = 290 and 400 nm. The formation of these bands was fully developed within the range of 3 μs. However, the kinetic time profiles recorded in the time domain >3 μs at 290 nm and 400 nm were different (Figure 1B, upper insert). While the absorption at 400 nm started to decay, the absorption at 290 nm was stable. Consequently, at 3 μs the absorption band with λmax = 400 nm was more intense than the absorption band with λmax = 290 nm, whereas at 10 μs the intensity of these absorption bands reversed. These absorption bands can be tentatively assigned to α-(alkylthio)alkyl radicals (αS) and intramolecular sulfur–oxygen three-electron bonded radical cations (SO+) (Scheme 5). Interestingly, no distinct absorption bands with λmax = 330 and 470 nm were observed, which could be assigned to HOS and SS+, respectively (Figure 1B). With the lapse of time to when the 400 nm absorption band disappeared completely (Figure 1B, lower inset), the absorption spectrum recorded after 160 μs is characterized only by a pronounced absorption band with λmax = 290 nm.
The purpose of this subsection is to provide arguments, based on spectral and kinetic analyses, for the presence of potential transients, which are formed during the HO-induced oxidation of 1 and 2 in aqueous solutions. Resolution of the absorption spectra recorded at any desired time delay, following the electron pulse ranging from 200 ns to 80 μs, into contributions from these transients allows for the quantification (as G-values) and extraction of their concentration profiles. This is a key issue that enables justification for the mechanistic assumptions reported in Scheme 4 and Scheme 5, also explaining the formation of stable products (see Section 2.2).
Based on our previous work on Ac-Met-OMe [11], the following transient species HOS, αC(1), αS(1), αS(2), SS+, SN(1), and SN(2) in Scheme 4 were taken into account in spectral resolutions (see also Figure S1 in Supplementary Materials). Since the amide nitrogen atom is much more effective in activating the methyl group for H-atom abstraction than the oxygen atom in the ester group [19], the additional C-centered radical αC(2) was also considered in these spectral resolutions. The transient absorption spectrum recorded 1 μs after the electron pulse was resolved into contributions from the three components HOS, αC(1), and SS+ with the respective G-values 0.27, 0.08, and 0.02 µmol J−1 that correspond to 73%, 22%, and 5% of all radicals present at that time (Table 1). The calculated total G-value of 0.37 μmol J−1 does not constitute the expected G-value of HO (0.56 μmol J−1) available for the reaction of 1 at pH 7 and the concentration (0.2 mM) of 1. This difference in G-values can be easily understood since at this time, the reactions of HO with 1 via all pathways presented at Scheme 4 are not completed yet. However, their percentage contributions confirm the domination of the HOS in the transient absorption spectrum and rationalizes its spectral features (cf. Figure 1A). From the concentration profiles obtained from the resolution of the spectra recorded at various times after the electron pulse, one can see that at 1.4 μs after the pulse HOS reaches its maximum G-value = 0.33 μmol J−1 (Figure 2A). It is still the most abundant radical in the irradiated solution containing 1, and its concentration constitutes 72% of all radicals present at that time (Table 1). However, there are additional spectral components that start to contribute to this spectrum and include the following radicals: αC(1), αS, SS+, and SN with the respective G-values: 0.08, 0.01, 0.03, and 0.01 μmol J−1 (Table 1). These intermediates were previously identified during HO-induced oxidation of Ac–Met–OMe under similar experimental conditions [11]. The calculated total G-value of 0.46 μmol J−1 does not constitute yet the expected G-value of HO radicals available for the reaction of 1. This difference in G-values can be rationalized similarly as for the earlier recording time equal to 1 μs. However, the appearance of SS•+ and SN also indicates an involvement of secondary reactions with the participation of HOS (Scheme 4).
Using the same spectral resolution approach, the transient spectrum recorded 4 µs after the electron pulse was resolved into contributions from the same components, however, resulting in different fitted G-values: 0.12, 0.09, 0.14, 0.10, and 0.08 μmol J−1, respectively (Table 1), and additionally from αC(2) with the G-value = 0.03. The total G-value of all radicals present (0.56 μmol J−1) is in excellent agreement with the expected yield of HO (vide supra). This is the time point when all HO have reacted with 1, but not all HOS have yet undergone transformations into the secondary transients.
The next key time point is 10 µs after the electron pulse when all HOS have undergone full transformations into the secondary products. The spectrum was resolved into contributions from the species αC(1), αC(2), αS, SS+, and SN, with fitted G-values: 0.07, 0.08, 0.23, 0.12, and 0.10 μmol J−1, respectively (Table 1). The sum of all component spectra with their respective radiation chemical yields (G-values) resulted in a good fit (⊗ symbols in inset of Figure 2A) to the experimental spectrum. Their percentage contributions to the transient absorption spectrum rationalizes nicely its spectral features (Figure 1A). The total G-value of all radicals present (0.60 μmol J−1) slightly exceeds the expected yield of HO (vide supra). However, this can be rationalized by the fact that H-atoms formed during radiolysis of water (Equation (1)) can also form αC(1), αC(2), αS(1), and αS(2) by direct H-atom abstraction from 1. It is worthy to note that the most abundant radicals present at this time are αS(1) and αS(2), which constitute nearly 40% of all radicals (Table 1). The excellent material balance of all radicals identified in the system equal to the G-value of HO available for the reaction with 1 proves that they are precursors of the corresponding end-products. At this point, it has to be stressed that after 10 μs, following the electron pulse, the total G-values of the radicals began to decrease slowly, reaching the value of 0.54, 0.44, and 0.37 μmol J−1 at 30, 80, and 170 μs, respectively (Table 1). This suggests that in this time domain 40% of all of the radicals formed in the system were consumed in radical–radical processes leading to the final products. Moreover, over this time domain αS(1) and αS(2) remain the most abundant radicals, constituting nearly 50% of all of the radicals on the timescale of hundreds of microseconds.
Based on our previous work on S-methyl-glutathione (a tripeptide containing an internal S-methyl-cysteine residue) [20], the following species of HOS, αS, SS●+, and SO●+ were taken into account in spectral resolutions (Scheme 5 and Figure S1). Additional support for taking intramolecular sulfur–oxygen three-electron-bonded radicals (SO●+) into the spectral resolutions came from the photosensitized oxidation studies of two where SO●+ was identified as one of the transient products [10]. Since the amide nitrogen atom is much more effective in activating the methyl group for H-atom abstraction than the oxygen atom of the ester group [19], the αC(2) was also taken into account in the current spectral resolutions.
The first significant difference between compounds 1 and 2 concerns the concentration profiles of HOS radicals. In solutions containing 2, HOS reach their maximum G-value = 0.16 μmol J−1 at 0.5 μs after the electron pulse, compared to 1.4 μs for 1 (cf. Figure 2A,B). Moreover, this maximum G-value is slightly over two-fold lower than that observed for 1. Simultaneously, at the same time a comparable G-value = 0.12 μmol J−1 for SO•+ was obtained (Table 2). This substantial decrease in this HOS G-value can be rationalized by the occurrence of an additional very fast HOS decay process leading to SO•+ formation at the expense of the measured G(HOS). This decay channel is not effective in 1. In principle, HOS has been shown to decay along three different pathways: (i) a spontaneous unimolecular dissociation into S•+ and HO, (ii) a proton-assisted elimination of HO leading to S•+ and H2O, and (iii) a displacement of HO by a second thioether molecule leading to SS•+. Typical values of the rate constants for these processes are: (5–7) × 105 s−1, 1 × 1010 M−1 s−1 and 1 × 108 M−1 s−1, respectively. Since the experimental conditions (pH = 7 and concentration of 1 and 2 = 0.2 mM) were similar, these three reactions should occur with the similar rates for both compounds. Moreover, taking into account the experimental conditions, the last two reaction pathways responsible for the decay of HOS are negligible for both compounds 1 and 2. At this point the following question arises: what is the nature of this additional process present in 2 that can compete with the spontaneous dissociation of HOS (Scheme 5)? Based on the known radical chemistry coming from research on the oxidation of (carboxyalkyl)thiopropionic acid derivatives [21] and β-, γ-, and δ-hydroxyalkyl sulfides [22], an intramolecular carbonyl-assisted decay of HOS radicals can occur that directly leads to the five-membered SO•+ intermediate (Scheme 5).
Compatible with the above observations is the time point equal to 2.25 μs after the electron pulse (Table 2) when all HO radicals have reacted with 2, but not all HOS have yet undergone transformations into the secondary products. The transient spectrum was resolved into contributions from the four components: HOS, αC(2), αS, and SO•+ using the respective fitted G-values: 0.10, 0.03, 0.16, and 0.27 μmol J−1. Moreover, the most abundant transient species at that time is SO•+ contrary to the system containing 1, where HOS was still the most abundant radical. For comparison, this specific time point for 1 was equal to 4 μs (Table 1 for 4 μs).
The next key time point is 10 µs after the electron pulse (similar as for 1) when all HOS have undergone full transformations into the secondary products. The spectrum was resolved into contributions from the following components αC(2), αS, SS•+, and SO•+ (vide inset in Figure 2B), with the following fitted G-values: 0.15, 0.23, 0.01, and 0.22 μmol J−1, respectively (Table 2). The sum of all component spectra with their respective radiation chemical yields (G-values) resulted in a good fit (⊗ symbols in inset of Figure 2B) to the experimental spectrum. The total G-value of all transient species present (0.61 μmol J−1) can be similarly rationalized as for 1 (vide supra). The excellent material balance, that all of the radicals identified in the system are equal to the G-value of HO available for the reaction with 2, proves that the identified radical transients are precursors of the corresponding end products. At this point, it has to be emphasized that, at 10 μs after the electron pulse, the αC(2) radicals reached their highest G-values for both compounds 1 and 2 equal to 0.07 and 0.15 μmol J−1, respectively (cf. Table 1 and Table 2). This is the second feature differentiating these compounds. Therefore, the next questions arise: what is the reason for the observed differences in the G-values of αC(2) formed in 1 and 2, and why was the formation of αC(2) more efficient in 2?
In order to address these two questions, we propose the following explanation. The αC(2) radicals in 1 and 2 are formed via two pathways: via direct H-atom abstraction from the methyl group attached to the amide nitrogen atom by HO, or indirectly by a sequence of reactions involving SN(2) in the case of 1, and SO+ in the case of 2 as precursors of αC(2) (cf. Scheme 4 and Scheme 5). The rate constants of all primary reactions of HO radicals with 1 and 2 leading to HOS, αS(1) and αS(2), αC(1), and αC(2) are similar for both compounds. Therefore, the sequences of reactions leading to SN(2) for 1 and SO+ for 2 seem to be responsible for the observed differences in radiation chemical yields (G-values) of αC(2) radicals.
In the case of compound 1, the common precursor for SN(1), SN(2), αS(1), and αS(2) is the monomeric sulfur radical cation (S+), which is formed directly from HOS. Comparing the G-values of transients at 10 μs (when all HOS have undergone full transformations into the secondary products), it is clearly visible that αS are formed with the largest efficiency, which means that the deprotonation of S•+ is more efficient than the formation of SN (Table 1). Moreover, the formation of the six-membered SN(2) is kinetically less favorable than the formation of the five-membered SN(1). As a consequence, the smallest amount of S●+ can be converted to SN(2). It has to be also noted that not all SN(2) radicals can be quantitatively converted into αC(2) since SN(2) exists in an equilibrium with S•+ (cf. Scheme 1). In the case of 2, the formation of SO•+ does not exclusively occur via S•+. A substantial amount of five-membered SO•+ is formed directly from HOS, which is the reason for a more efficient formation of αC(2) in 2 (Scheme 5). Contrary to 1, at 10 μs the G-value of a direct precursor of αC(2) in 2 is comparable with the G-value of αS(1) and αS(2) (cf. Table 1 and Table 2).
The third difference between these two compounds that needs to be explained is the negligible SS+ contribution in transient absorption spectra recorded in solutions containing 2 (vide Figure 1B and Table 2). There are several possible scenarios that can be taken into account. The formation of SO•+ directly from HOS, excluding S•+, which is also a direct precursor of SS•+, can only partly explain this observation. Furthermore, based on our previous studies on S-methylglutathione [20], where the rate constant of fast formation of five-membered SO•+ directly from S•+ was estimated with the lower limit as >6 × 107 s−1, the slow formation of SS+ (taking into account the low concentration of 2) is the next possible rationalization. In the case of 1, the rate constant of five-membered SN(1) formation directly from S•+ was not measured earlier, however, it must be lower in comparison to the rate constant of the analogous reaction leading to SO•+ (vide supra).
The fourth difference between 1 and 2 is the lack of αC(1) formation in the case of 2 (vide Table 2). This observation can be rationalized by the unimportance of the SN formation, in particular of SN(1), due to its unstable four-membered structure. Moreover, an additional possible potential reaction pathway leading to αC(1) formation via direct H-abstraction seems to be also unimportant. The lack of αC(1) formation was further confirmed by the lack of final products involving their contribution (cf. Table 3 and Table 4) (vide discussion in 2.2 addressing the issue of αC(1) absence in 2).

2.2. γ-Radiolysis and Product Analysis

In addition to the reactive species eaq, HO, and H, the radiolysis of neutral water leads also to H+ (0.28) and H2O2 (0.07); in parenthesis: G in µmol J−1 [23]. In N2O-saturated solution, the G(HO) = 0.56 µmol J−1, therefore HO and H account for 90% and 10%, respectively, of the reactive species (cf. Reactions (1) and (2)).
N2O-saturated solutions containing compounds 1 or 2 (1.0 mM) at natural pH were irradiated for 800 Gy under stationary state conditions with a dose rate of 46.7 Gy min−1 followed by LC–MS and high-resolution MS/MS analysis. Representative HPLC runs of irradiated samples are shown in Figure 3 and Figure 4 for compounds 1 and 2, respectively.
It is well documented from previous studies on Met derivatives that the sulfoxide 3 is formed from the in-situ generation of hydrogen peroxide [11,12], whereas the H addition to the sulfur center (k = 1.7 × 109 M−1 s−1) with the formation of a sulfuranyl radical intermediate affords compound 4 and the CH3S radical (Scheme 6) [24,25]. In analogy, we expected the same reactions with starting material 2 giving 5 and 6, respectively. It is worth underlining that these reactions are not detectable in the pulse-radiolysis study, therefore their existence is based on the final-product identifications.
Figure 3 shows the HPLC chromatogram obtained by the injection of the crude reaction mixture of compound 1 with a separation of 24 peaks including the starting material 1 (peak 3), whereas Figure 4 shows the chromatogram obtained from the reaction of compound 2 that contains 15 peaks including the starting material 2 (peak 3). All peaks were identified, and their chemical structures assigned by examination of their high-resolution mass data and characteristic fragmentation patterns (see Supporting Materials). In both cases, to the left of the starting material 1 or 2 we could identify the presence of sulfoxides 3 or 5 (peak 1) and the desulfurization compounds 4 or 6 (peak 2), respectively (cf. Figures S3 and S7). The desulfurization process with the formation of the thiyl radical (CH3S) depicted in Scheme 6 is extremely important, because some of the products derive from the combination of CH3S with carbon-centered radicals.
From the pulse radiolysis studies described above, the reactions of HO with 1 or 2 were depicted following several paths. In Scheme 4 and Scheme 5 the formation of the adduct radical (HOS) is the main path, whereas four minor ones were identified as follows: the H-atom abstraction from the CH2-S-CH3 moiety to give the two αS radicals and the H-atom abstraction from the N-CH-CO or NHCH3 moiety to give the two αC radicals. The HOS follows a first-order decay (kd = 5.6 x 105 s−1) by HO elimination to give the sulfide radical cation, which is at the crossroad of various possible reactions affording the intermediates SS•+, αS, SN, and αC for compound 1, and SS•+, αS, SO•+, and αC for compound 2.
We suggest that in both starting materials the formation of the disulfide radical cation (SS•+), which is in equilibrium with the sulfide radical cation (S•+) and the starting material, is followed by the fragmentation of SS•+ to afford the observed disulfide 7 or 8 (Scheme 7, cf. Figures S3 and S7). Analogous products are reported in radiolytic studies of other methionine derivatives [10,11]. Such an asymmetrical disulfide was found to be the major product in the tripeptide Gly-Met-Gly transformation [12].
All the remaining peaks in both cases derived from the combination of two radicals. Table 3 and Table 4 collect the product formations as well as the precursor radicals in each case. The reaction of CH3S, generated from the reaction of H with the substrates, can combine with various carbon-centered radicals to give the corresponding sulfides. Indeed, CH3S reacts with αS(1), αS(2), αC(1), and αC(2) for compound 1 (Table 3) and with αS(1), αS(2), and αC(2) for compound 2 (Table 4). Both tables report also the relative ratios based on the intensity of the peaks in the chromatograms. We suggest that the CH3S adduct is like a footprint of the relative concentrations of the four carbon-centered radicals. Based on this rationalization, the relative concentrations of αS(2), αS(1), αC(1), and αC(2) are 15.4/9.4/1.4/1.0 for the methionine derivative (Table 3) whereas the relative concentrations of αS(2), αS(1), and αC(2) are 72.2/1.0/2.3 for the cysteine-methylated derivative (Table 4). The absence of αC(1) in the pulse radiolysis simulation of the transients derived from compound 2 can be attributed to fast and well documented β-fragmentation of thiyl radical (Scheme 8). Since no evidence of formation of compound 9 is obtained by LC–MS and high-resolution MS/MS analysis, we concluded that this path is unimportant. This confirms the unimportance of SN formation in the radiation chemistry of compound 2 (cf. Scheme 4 and Scheme 5). Although αS radicals were the most abundant in both experiments (αC was at least an order of magnitude smaller than αS), the relative percentage of the two isomers changed profoundly going from compound 1 to 2, i.e., the ratio αS(2)/αS(1) is 15.4/9.4 and 72.2/1.0, respectively.
It is expected for an αS(2) radical to be found at a higher concentration than αS(1) and in line with the higher stability of secondary vs. primary alkyl radical due to favorable deprotonation from the precursor sulfide radical cation. In the case of compound 1, the analysis of high-resolution MS/MS spectra was in favor of αS(2)/αS(1) by 15.4/9.4 (see Scheme S1). For compound 2 on the other hand, the major peak fits very well with both αS(2)—SCH3 and αS(1)—SCH3 (see Scheme S2); since the number of observed diastereoisomers fits only with higher concentrations of αS(2) radicals, we assigned the ratio 72.2/1.0 to αS(2)/αS(1).
It has to be stressed that the above observations cannot be directly confirmed by the pulse-radiolysis study described above. It was only seen that αS are formed with slightly different efficiencies in compounds 1 and 2 (cf. 0.28 μM vs. 0.23 μM, respectively). Unfortunately, it was not possible to distinguish between the two αS(2) and αS(1) radicals and as a consequence to obtain directly their respective G-values in both compounds and to extract directly the kinetics of their formation.
However, these interesting observations need some comments and explanations. Since the main source of αS is the α-deprotonation of S●+ [26], it seems obvious that the deprotonation of S•+ to form αS(2) is much faster for 2 than for 1. As it was stated earlier [27], the efficiency of α-deprotonation strongly depends on the molecular structure of S•+ and, to be more specific, on the relative alignment of the singly occupied sulfur p-orbital with the C−H σ-bond to be cleaved. This fact was nicely illustrated by deprotonation kinetics on the example of the monomeric sulfur radical cations derived from di-isopropyl sulfide (i-(C3H7)2S) and from 9-thia-bicyclo-[3.3.1]-nonane. In the first case a high probability of parallel alignment of the sulfur p-orbital and the C−H σ-orbitals, facilitated by the steric influence of the two methyl groups in combination with the free rotation around the C–S bond, accelerates α-deprotonation of i-(C3H7)2S●+. On the other hand, in second case, the neighboring C−H bonds are fixed in a configuration perpendicular to the sulfur p-orbital, which practically prevents deprotonation [2]. Perhaps, for compound 2 exists the more favorable conformational arrangement in the S●+, than for compound 1, for deprotonation leading to α-S(2). This can be facilitated, similarly as in i-(C3H7)2S●+, by the steric influence of the peptide backbone that is located closer in 2 affording a better parallel alignment of the sulfur p-orbital and the C−H σ-orbitals in the CH2 group in comparison to 1.
The data from the high-resolution MS/MS spectra showed 16 dimeric compounds that are derived from the radiolytic study of starting material 1 (Figure S5). The accurate masses of these products (m/z 407.1781) correspond to a molecular weight MH+ equivalent to two radicals (αS and/or αC) (see Table 3). In comparison, eight dimeric compounds derived starting from compound 2 with MH+ m/z 379.1468, equivalent to two radicals (αS and/or αC) (Figure S9). In all cases, the fragmentation patterns are not diagnostic, all of them showing an initial fragmentation step with loss of CH3NH2.
Further structural information may be obtained of all these dimers by taking into consideration the relative ratio of CH3S adducts and from the analysis of potential diasteroisomers (Table 3 and Table 4). For example, the dimer αS(2)—αS(2) is expected to be the most favorable formed since the αS(2) radical is in a higher concentration. Figure 5 and Figure 6 show that αS(2)—αS(2) has four stereocenters, two are from the starting material fixed at the S configuration whereas two new stereocenters generated from the self-termination can be R or S. In a total of four products, two of them are identical, therefore we expect to have SSSS, SRSS, and SRRS diastereoisomers. The αS(2) radical is likely to combine also with αS(1), αC(1), and αC(2). In analogy, the αS(2)—αC(1) is expected to be formed as four diastereoisomers (Figure 5), whereas both αS(2)—αS(1) and αS(2)—αC(2) afford only two SSS and SRS isomers (Figure 5 and Figure 6). Due to the relative high concentration of the αS(1) radical in the experiment with compound 1, a combination of products of αS(1) with αS(1), αC(1), and αC(2) are also expected (Table 3—total four diastereoisomers).

3. Materials and Methods

The synthetic procedure of methionine derivative 1 and cysteine-methylated derivative 2 was described in the Supporting Information of Ref. [10].

3.1. Pulse Radiolysis

The pulse radiolysis experiments were performed with the LAE-10 linear accelerator at the Institute of Nuclear Chemistry and Technology in Warsaw, Poland, with a typical electron pulse length of 10 ns and 10 MeV of energy. A detailed description of the experimental setup has been given elsewhere along with basic details of the equipment and its data collection system [28,29]. The 1 kW UV-enhanced xenon arc lamp (Oriel Instruments, Stratford, CT, USA) was applied as a monitoring light source. The respective wavelengths were selected by an MSH 301 monochromator (Lot Oriel Gruppe, Darmstadt, Germany) with resolution 2.4 nm. The intensity of the analyzing light was measured by means of a PMT R955 (Hamamatsu). The signals from the detector were digitized using a Le Croy WaveSurfer 104MXs-B (1 GHz, 10 GS/s) oscilloscope (Chestnut Ridge, NY, United States) and then sent to a PC for further processing. A water filter was used to eliminate near IR wavelengths.
Absorbed doses per pulse were on the order of 11 Gy (1 Gy = 1 J kg−1). Experiments were performed with a continuous flow of sample solutions using a standard quartz cell with optical length 1 cm at room temperature (~22 °C). Solutions were purged for at least 20 min per 250 mL sample with N2O before pulse irradiation. The G-values were calculated from the Schuler formula (Equation (3)) [30]:
G ( S ) = 0.539 + 0.307 19.6 [ S ] 1 + 19.6 [ S ]
where [S] is the HO-scavenger concentration and with respect to the current work, the concentration of compounds 1 and 2. This form of the Schuler formula gives G(S) in units of μmol J−1, and, with respect to the current work, [S] = 0.2 mM gives G(S) = 0.557 μmol J−1 where (S) corresponds to all radicals formed in the system. The dosimetry was based on N2O-saturated solutions of 10−2 M KSCN, which, following radiolysis, produces (SCN)2●− radicals that have a molar absorption coefficient of 7580 M−1 cm−1 at λ = 472 nm and are produced with a yield of G = 0.635 µmol J−1 from Equation (3) [15].

3.2. Spectral Resolutions of Transient Absorption Spectra

Optical spectra, monitored at various time delays following the electron pulse, were resolved into specific components (representing individual transients) by linear regression according to the following equation
G ε ( λ i ) = j ε j ( λ i ) G j
where εj is the molar absorption coefficient of the jth species and the regression parameters, Gj, are equal to the radiation-chemical yield of the jth species. The sum in Equation (4) is over all radical species present. For any particular time-delay of an experiment, the regression analysis included equations such as Equation (4) for each λi under consideration. Thus, the spectral resolutions were made using Equation (4) by fitting the reference spectra to the observed transient spectra, transformed from OD(λ) to Gε(λ) using the dosimetry described above. Further details of this method were described elsewhere [12,31].
The reference spectra of these transients were previously collected and applied in the spectral resolutions (cf. Figure S2 in Supporting Materials) [12,31]. The molar absorption coefficients of the relevant transients, that will be further identified below, are provided in the following: HOS, λmax = 340 nm and ε340 = 3400 M−1 cm−1; αC(1), λmax = 270 nm and ε270 = 6200 M−1 cm−1 and λmax= 370 nm and ε370 = 1800 M−1 cm−1; αC(2), λmax = 340 nm and ε340 = 2000 M−1 cm−1, αS, λmax = 290 nm and ε290 = 3000 M−1 cm−1; SS●+, λmax = 480 nm and ε480 = 6880 M−1 cm−1; SN, λmax = 390 nm and ε390 = 4500 M−1 cm−1, SO●+, λmax = 400 nm and ε400 = 3000 M−1 cm−1.

3.3. Steady-State γ-Radiolysis

Irradiations were performed at room temperature using a 60Co-Gammacell at different dose rates. The exact absorbed radiation dose was determined with the Fricke chemical dosimeter, by taking G(Fe3+) = 1.61 μmol J−1 [32].

3.4. LC–MS/MS Measurements

The LC–MS measurements were carried out using a liquid chromatography Thermo Scientific/Dionex Ultimate 3000 system equipped with C18 reversed-phase analytical column (2.6 μm, 2.1 mm × 100 mm, Thermo-Scientific). The LC method employed a binary gradient of acetonitrile and water with 0.1% (v/v) formic acid. Separation was achieved with a gradient of 7–60% of acetonitrile at a flow rate of 0.3 mL/min for 42 min. This UHPLC system was coupled to a hybrid QTOF mass spectrometer (Impact HD, Bruker). The ions were generated by electrospray ionization (ESI) in positive mode. MS/MS fragmentation mass spectra were produced by collisions (CID, collision-induced dissociation) with nitrogen gas in the Q2 section of the spectrometer.

4. Conclusions

We report experimental details on the reactions of HO with the methionine derivative 1, as the simplest model peptide backbone, and with its congener S-methyl-cysteine derivative 2, in order to deepen mechanistically the influence of the thioether group distance from the peptide backbone. We demonstrated that the fate of the initial one-electron oxidation at sulfur is quite different in these two cases. The pulse radiolysis experiments indicated that the one-electron oxidation at sulfur (S•+) occurs similarly in the two substrates, as well as the subsequent deprotonation step with the formation of αS. These experiments were able to differentiate the formation of intramolecular sulfur–nitrogen three-electron bonded radicals (SN(1) and/or SN(2)), affording the Cα-centered radicals (αC(1) and/or αC(2)) for methionine derivative 1 (cf. Scheme 4), with the formation of intramolecular sulfur–oxygen three-electron bonded radical cations (SO+), affording solely the αC(2)) for the S-methyl-cysteine derivative 2 (Scheme 5). Moreover, the product studies based on LC–MS and high-resolution MS/MS analysis from the continuous γ-radiolysis experiments allowed us to determine the deprotonation of S•+ intermediates giving rise to the αS(2)/αS(1) ratio, clearly indicating that the deprotonation of S•+ to form αS(2) is more efficient for 2 than 1.

Supplementary Materials

The following supporting information can be downloaded at: https://www.mdpi.com/article/10.3390/ijms23126550/s1.

Author Contributions

Conceptualization, C.C., K.B. and B.M.; methodology, K.B., B.M. and C.C.; radiolysis experiments, K.S., M.G. and K.B.; software, P.F. and K.B.; data analysis, C.C., K.B., M.G., P.F., K.S., G.L.H. and B.M.; compounds synthesis, F.K., writing—original draft preparation, C.C.; writing—review and editing, C.C., K.B., G.L.H. and B.M.; funding acquisition, B.M. All authors have read and agreed to the published version of the manuscript.

Funding

This research was funded by the National Science Centre, Poland, project no. UMO-2017/27/B/ST4/00375 and by statutory funds of the Institute of Nuclear Chemistry and Technology (INCT) (K.B. and K.S.).

Institutional Review Board Statement

Not applicable.

Informed Consent Statement

Not applicable.

Data Availability Statement

All data are displayed in the manuscript and Supporting Material.

Acknowledgments

Authors would like to thank Tomasz Szreder (INCT, Poland) for his continuous efforts at implementing improvements to the pulse radiolysis setup in the INCT over the last few years. The Notre Dame Radiation Laboratory is supported by the Department of Energy Office of Science, Office of Basic Energy Sciences, under Award Number DE-FC02-04ER1553. This is document number NDRL 5363.

Conflicts of Interest

The authors declare no conflict of interest.

References

  1. Sies, H.; Berndt, C.; Jones, D.P. Oxidative stress. Annu. Rev. Biochem. 2017, 86, 715–748. [Google Scholar] [CrossRef] [PubMed]
  2. Sies, H.; Jones, D.P. Reactive oxygen species (ROS) as pleiotropic physiological signalling agents. Nat. Rev. Mol. Cell. Biol. 2020, 21, 363–383. [Google Scholar] [CrossRef] [PubMed]
  3. Halliwell, B.; Gutteridge, J.M.C. Free Radicals in Biology and Medicine, 5th ed.; Oxford University Press: Oxford, UK, 2015. [Google Scholar]
  4. Chatgilialoglu, C. Biomimetic radical chemistry and applications. Molecules 2022, 27, 2042. [Google Scholar] [CrossRef] [PubMed]
  5. Chatgilialoglu, C.; Studer, A. (Eds.) Encyclopedia of Radicals in Chemistry, Biology and Materials; Wiley: Chichester, UK, 2012. [Google Scholar]
  6. Winterbourn, C.C. Reconciling the chemistry and biology of reactive oxygen species. Nat. Chem. Biol. 2008, 4, 278–286. [Google Scholar] [CrossRef]
  7. Hawkins, C.L.; Davies, M.J. Detection, identification, and quantification of oxidative protein modifications. J. Biol. Chem. 2019, 294, 19683–19708. [Google Scholar] [CrossRef]
  8. Houée-Levin, C.; Bobrowski, K. The use of methods of radiolysis to explore the mechanisms of free radical modifications in proteins. J. Proteom. 2013, 92, 51–62. [Google Scholar] [CrossRef]
  9. Marciniak, B.; Bobrowski, K. Photo- and radiation-induced one-electron oxidation of methionine in various structural environments studied by time-resolved techniques. Molecules 2022, 27, 1028. [Google Scholar] [CrossRef]
  10. Pędzinski, T.; Grzyb, K.; Kazmierczak, F.; Franski, R.; Filipiak, P.; Marciniak, B. Early events of photosensitizer oxidation of sulfur-containing amino acids studied by laser flash photolysis and mass spectrometry. J. Phys. Chem. B 2020, 124, 7564–7573. [Google Scholar] [CrossRef]
  11. Pędzinski, T.; Grzyb, K.; Skotnicki, K.; Filipiak, P.; Bobrowski, K.; Chatgilialoglu, C.; Marciniak, B. Radiation- and photo-induced oxidation pathways of methionine in model peptide backbone under anoxic conditions. Int. J. Mol. Sci. 2021, 22, 4773. [Google Scholar] [CrossRef]
  12. Barata-Vallejo, S.; Ferreri, C.; Zhang, T.; Permentier, H.; Bischoff, R.; Bobrowski, K.; Chatgilialoglu, C. Radiation chemical studies of Gly-Met-Gly in aqueous solution. Free Radic. Res. 2016, 50, S24–S39. [Google Scholar] [CrossRef]
  13. Barata-Vallejo, S.; Ferreri, C.; Postigo, A.; Chatgilialoglu, C. Radiation chemical studies of methionine in aqueous solution: Understanding the role of molecular oxygen. Chem. Res. Toxicol. 2010, 23, 258–263. [Google Scholar] [CrossRef] [PubMed]
  14. Buxton, G.V. An overview of the radiation chemistry of liquids. In Radiation Chemistry: From Basics to Applications in Material and Life Sciences; Spotheim-Maurizot, M., Mostafavi, M., Douki, T., Belloni, J., Eds.; EDP Sciences: Les Ulis, France, 2008; pp. 3–16. [Google Scholar]
  15. Janata, E.; Schuler, R.H. Rate constant for scavenging eaq in N2O-saturated solutions. J. Phys. Chem. 1982, 86, 2078–2084. [Google Scholar] [CrossRef]
  16. Schöneich, C.; Bobrowski, K. Intramolecular hydrogen transfer as the key step in the dissociation of hydroxyl radical adducts of (alkylthio)ethanol derivatives. J. Am. Chem. Soc. 1993, 115, 6538–6547. [Google Scholar] [CrossRef]
  17. Schöneich, C.; Pogocki, D.; Wisniowski, P.; Hug, G.L.; Bobrowski, K. Intramolecular Sulfur-Oxygen Bond Formation in Radical Cations of N-Acetylmethionine Amide. J. Am. Chem. Soc. 2000, 122, 10224–10225. [Google Scholar] [CrossRef]
  18. Schöneich, C.; Pogocki, D.; Hug, G.L.; Bobrowski, K. Free radical reactions of methionine in peptides: Mechanisms relevant to β-amyloid oxidation and Alzheimer’s disease. J. Am. Chem. Soc. 2003, 125, 13700–13713. [Google Scholar] [CrossRef]
  19. Hayon, E.; Ibata, T.; Lichtin, N.N.; Simic, M. Sites of Attack of Hydroxyl Radicals on Amides in Aqueous Solution. J. Am. Chem. Soc. 1970, 92, 3898–3903. [Google Scholar] [CrossRef]
  20. Bobrowski, K.; Hug, G.L.; Pogocki, D.; Marciniak, B.; Schöneich, C. Sulfur radical cation peptide bond complex in the one-electron oxidation of S-methylglutathione. J. Am. Chem. Soc. 2007, 129, 9236–9245. [Google Scholar] [CrossRef]
  21. Bobrowski, K.; Pogocki, D.; Schöneich, C. Oxidation of (carboxyalkyl)thiopropionic acid derivatives by hydroxyl radicals. Mechanisms and kinetics of competitive inter- and intramolecular formation of σ- and σ*-type sulfuranyl radicals. J. Phys. Chem. A 1998, 102, 10512–10521. [Google Scholar] [CrossRef]
  22. Bobrowski, K.; Hug, G.L.; Marciniak, B.; Miller, B.L.; Schöneich, C. Mechanism of one-electron oxidation of β-, γ-, and δ-hydroxyalkyl sulfides. Catalysis through intramolecular proton transfer and sulfur-oxygen bond formation. J. Am. Chem. Soc. 1997, 119, 8000–8011. [Google Scholar] [CrossRef]
  23. Buxton, G.V.; Greenstock, C.L.; Helman, W.P.; Ross, A.B. Critical review of rate constants for reactions of hydrated electrons, hydrogen atoms and hydroxyl radicals (OH/O−) in aqueous solution. J. Phys. Chem. Ref. Data 1988, 17, 513–886. [Google Scholar] [CrossRef]
  24. Chatgilialoglu, C.; Ferreri, C.; Torreggiani, A.; Salzano, A.M.; Renzone, G.; Scaloni, A. Radiation-induced reductive modifications of sulfur-containing amino acids within peptides and proteins. J. Proteom. 2011, 74, 2263–2273. [Google Scholar] [CrossRef] [PubMed]
  25. Chatgilialoglu, C.; Ferreri, C. Reductive stress of sulfur-containing amino acids within proteins and implication of tandem protein–lipid damage. Int. J. Mol. Sci. 2021, 22, 12863. [Google Scholar] [CrossRef] [PubMed]
  26. Glass, R.S. Sulfur radical cations. Top. Curr. Chem. 1999, 205, 1–87. [Google Scholar]
  27. Asmus, K.-D. Heteroatom-centered free radicals. Some selected contributions by radiation chemistry. In Radiation Chemistry: Present Status and Future Prospects; Jonah, C., Rao, B.S.M., Eds.; Elsevier Science: Amsterdam, The Netherlands, 2001; pp. 341–393. [Google Scholar]
  28. Bobrowski, K. Free radicals in chemistry, biology and medicine: Contribution of radiation chemistry. Nukleonika 2005, 50 (Suppl. S3), S67–S76. [Google Scholar]
  29. Mirkowski, J.; Wiśniowski, P.; Bobrowski, K. INCT Annual Report 2000; Institute of Nuclear Chemistry and Technology: Warsaw, Poland, 2001. [Google Scholar]
  30. Schuler, R.H.; Hartzell, A.L.; Behar, B. Track effects in radiation chemistry. Concentration dependence for the scavenging of OH by ferrocyanide in N2O-saturated aqueous solutions. J. Phys. Chem. 1981, 85, 192–199. [Google Scholar] [CrossRef]
  31. Bobrowski, K.; Hug, G.L.; Pogocki, D.; Marciniak, B.; Schöneich, C. Stabilization of sulfide radical cations through complexation with the peptide bond: Mechanisms relevant to oxidation of proteins containing multiple methionine residues. J. Phys. Chem. B 2007, 111, 9608–9620. [Google Scholar] [CrossRef]
  32. Klassen, N.V.; Shortt, K.R.; Seuntjens, J.; Ross, C.K. Fricke dosimetry: The difference between G(Fe3+) for 60Co gamma-rays and high-energy x-rays. Phys. Med. Biol. 1999, 44, 1609–1624. [Google Scholar] [CrossRef] [PubMed]
Scheme 1. Reactive oxygen species (ROS) network and molecular pathways of hydroxyl radical (HO) generation; SOD: superoxide dismutase; CAT: catalase; MPO: myeloperoxidase.
Scheme 1. Reactive oxygen species (ROS) network and molecular pathways of hydroxyl radical (HO) generation; SOD: superoxide dismutase; CAT: catalase; MPO: myeloperoxidase.
Ijms 23 06550 sch001
Scheme 2. Thioethers react with HO affording one-electron oxidation through two consecutive steps, whereas the reaction with two-electron oxidants such as H2O2 or HOCl provides the corresponding sulfoxide.
Scheme 2. Thioethers react with HO affording one-electron oxidation through two consecutive steps, whereas the reaction with two-electron oxidants such as H2O2 or HOCl provides the corresponding sulfoxide.
Ijms 23 06550 sch002
Scheme 3. Model peptide backbone (in red) containing methionine residue (1) and S-methylcysteine residue (2) compared in the present oxidation study (R1 = R2 = Me).
Scheme 3. Model peptide backbone (in red) containing methionine residue (1) and S-methylcysteine residue (2) compared in the present oxidation study (R1 = R2 = Me).
Ijms 23 06550 sch003
Figure 1. Absorption spectra recorded in N2O-saturated aqueous solutions at pH 7 containing 0.2 mM of Met derivative 1 (A) and S-methylcysteine derivative 2 (B). Spectra were taken after the following time delays: 1 μs (●), 3 μs (), 10 μs (), 30 μs (), and 160 μs (). Top insets: short-time profiles representing growths and decays at λ = 290 nm (●), 340 nm (), 390 nm (), and 490 nm (). Bottom insets: long-time profiles representing decays at λ = 290 nm (●), 340 nm (), 390 nm (), and 490 nm (). Dose per pulse = 11 Gy; optical path = 1 cm.
Figure 1. Absorption spectra recorded in N2O-saturated aqueous solutions at pH 7 containing 0.2 mM of Met derivative 1 (A) and S-methylcysteine derivative 2 (B). Spectra were taken after the following time delays: 1 μs (●), 3 μs (), 10 μs (), 30 μs (), and 160 μs (). Top insets: short-time profiles representing growths and decays at λ = 290 nm (●), 340 nm (), 390 nm (), and 490 nm (). Bottom insets: long-time profiles representing decays at λ = 290 nm (●), 340 nm (), 390 nm (), and 490 nm (). Dose per pulse = 11 Gy; optical path = 1 cm.
Ijms 23 06550 g001
Scheme 4. Proposed mechanism for the reaction of HO radicals with Met-containing derivative 1 at pH 7 based on pulse radiolysis studies of N2O-saturated aqueous solutions containing 0.2 mM of 1 under anoxic conditions; the structures of intermediates highlighted in colored boxes are used in various percentages for the resolution of the transient spectrum profile.
Scheme 4. Proposed mechanism for the reaction of HO radicals with Met-containing derivative 1 at pH 7 based on pulse radiolysis studies of N2O-saturated aqueous solutions containing 0.2 mM of 1 under anoxic conditions; the structures of intermediates highlighted in colored boxes are used in various percentages for the resolution of the transient spectrum profile.
Ijms 23 06550 sch004
Scheme 5. Proposed mechanism for the reaction of HO radicals with S-methyl-cysteine derivative 2 at pH 7 based on pulse radiolysis studies of N2O-saturated aqueous solutions containing 0.2 mM of 2 under anoxic conditions; the structures of intermediates highlighted in colored boxes are used in various percentages for the resolution of the transient spectrum profile.
Scheme 5. Proposed mechanism for the reaction of HO radicals with S-methyl-cysteine derivative 2 at pH 7 based on pulse radiolysis studies of N2O-saturated aqueous solutions containing 0.2 mM of 2 under anoxic conditions; the structures of intermediates highlighted in colored boxes are used in various percentages for the resolution of the transient spectrum profile.
Ijms 23 06550 sch005
Figure 2. (A) Concentration profiles of transients formed in the reaction of HO radicals with Met derivative 1: HOS (), αC(1) (), αS (●), SS•+ (), SN (), and αC(2) (); Inset, resolution of the spectral components: αC(1) (), αS (●), SS•+ (), SN (), αC(2) (), fit (⊗), and experimental (◀) in the transient absorption spectrum recorded 10 μs after the electron pulse in N2O-saturated aqueous solutions containing 1 at pH 7. (B) Concentration profiles of transients formed in the reaction of HO radicals with cysteine-methylated derivative 2: HOS (), αS (●), SS•+ (), SO•+ (), and αC(2) (); Inset, resolution of the spectral components: αS (●), SS•+ (), SO•+ (), αC(2) (), fit (⊗), and experimental (◀) in the transient absorption spectrum recorded 10 μs after the electron pulse in N2O-saturated aqueous solutions containing 2 at pH 7.
Figure 2. (A) Concentration profiles of transients formed in the reaction of HO radicals with Met derivative 1: HOS (), αC(1) (), αS (●), SS•+ (), SN (), and αC(2) (); Inset, resolution of the spectral components: αC(1) (), αS (●), SS•+ (), SN (), αC(2) (), fit (⊗), and experimental (◀) in the transient absorption spectrum recorded 10 μs after the electron pulse in N2O-saturated aqueous solutions containing 1 at pH 7. (B) Concentration profiles of transients formed in the reaction of HO radicals with cysteine-methylated derivative 2: HOS (), αS (●), SS•+ (), SO•+ (), and αC(2) (); Inset, resolution of the spectral components: αS (●), SS•+ (), SO•+ (), αC(2) (), fit (⊗), and experimental (◀) in the transient absorption spectrum recorded 10 μs after the electron pulse in N2O-saturated aqueous solutions containing 2 at pH 7.
Ijms 23 06550 g002
Scheme 6. Reactions of 1 and 2 with H2O2 and H atom afford the corresponding sulfoxide 3 or 5 and α-aminobutyric 4 or alanine 6 derivatives, respectively.
Scheme 6. Reactions of 1 and 2 with H2O2 and H atom afford the corresponding sulfoxide 3 or 5 and α-aminobutyric 4 or alanine 6 derivatives, respectively.
Ijms 23 06550 sch006
Scheme 7. Structures of identified asymmetrical disulfides (7 and 8) based on high-resolution MS/MS spectra.
Scheme 7. Structures of identified asymmetrical disulfides (7 and 8) based on high-resolution MS/MS spectra.
Ijms 23 06550 sch007
Figure 3. HPLC run of the crude reaction mixture of γ-irradiated N2O-saturated aqueous solutions containing 1.0 mM of methionine derivative 1 (peak 3) at natural pH at a dose of 800 Gy (dose rate of 46.7 Gy min−1); the consumption of 1 lead to the formation of 23 products; peaks 1 and 2 assigned to compounds 3 and 4, respectively (cf. Scheme 6). Inset: expansion of the chromatogram between 7 and 21 min.
Figure 3. HPLC run of the crude reaction mixture of γ-irradiated N2O-saturated aqueous solutions containing 1.0 mM of methionine derivative 1 (peak 3) at natural pH at a dose of 800 Gy (dose rate of 46.7 Gy min−1); the consumption of 1 lead to the formation of 23 products; peaks 1 and 2 assigned to compounds 3 and 4, respectively (cf. Scheme 6). Inset: expansion of the chromatogram between 7 and 21 min.
Ijms 23 06550 g003
Scheme 8. Potential decay of αC(1) radical in the radiolytic studies of compound 2.
Scheme 8. Potential decay of αC(1) radical in the radiolytic studies of compound 2.
Ijms 23 06550 sch008
Figure 4. HPLC run of the crude reaction mixture of γ-irradiated N2O-saturated aqueous solutions containing 1.0 mM of S-methyl-cysteine residue derivative 2 (peak 3) at natural pH at a dose of 800 Gy (dose rate of 46.7 Gy min−1); the consumption of 2 lead to the formation of 14 products; peaks 1 and 2 assigned to compounds 5 and 6, respectively (cf. Scheme 6). Inset: expansion of the chromatogram between 11 and 21 min.
Figure 4. HPLC run of the crude reaction mixture of γ-irradiated N2O-saturated aqueous solutions containing 1.0 mM of S-methyl-cysteine residue derivative 2 (peak 3) at natural pH at a dose of 800 Gy (dose rate of 46.7 Gy min−1); the consumption of 2 lead to the formation of 14 products; peaks 1 and 2 assigned to compounds 5 and 6, respectively (cf. Scheme 6). Inset: expansion of the chromatogram between 11 and 21 min.
Ijms 23 06550 g004
Figure 5. The chemical structures of αS(2)—αS(2), αS(2)—αS(1) and αS(2)—αC(2) identified in the radiolysis study of starting material 2; the configuration of stereocenters are indicated in red.
Figure 5. The chemical structures of αS(2)—αS(2), αS(2)—αS(1) and αS(2)—αC(2) identified in the radiolysis study of starting material 2; the configuration of stereocenters are indicated in red.
Ijms 23 06550 g005
Figure 6. The chemical structures of αS(2)—αS(2), αS(2)—αS(1) and αS(2)—αC(2) identified in the radiolysis study of starting material 2; the configuration of stereocenters are indicated in red.
Figure 6. The chemical structures of αS(2)—αS(2), αS(2)—αS(1) and αS(2)—αC(2) identified in the radiolysis study of starting material 2; the configuration of stereocenters are indicated in red.
Ijms 23 06550 g006
Table 1. The radiation chemical yields (G, μmol J−1) of radicals and their percentage contribution (in parenthesis) to the total yield of radicals present in the reaction of HO with Met-containing derivative 1 at different times after the electron pulse at pH 7.
Table 1. The radiation chemical yields (G, μmol J−1) of radicals and their percentage contribution (in parenthesis) to the total yield of radicals present in the reaction of HO with Met-containing derivative 1 at different times after the electron pulse at pH 7.
Time (µs)HOSαC(1)αC(2)αS(1) + αS(2)SS•+SN(1) + SN(2)Total R
10.27
(73%)
0.08
(22%)
0 10 10.02
(5%)
0 10.37
1.40.33
(72%)
0.08
(17%)
0 10.01
(2%)
0.03
(7%)
0.01
(2%)
0.46
40.12
(21%)
0.09
(16%)
0.03
(5%)
0.14
(25%)
0.10
(18%)
0.08
(14%)
0.56
100 10.07
(12%)
0.08
(13%)
0.23
(38%)
0.12
(20%)
0.10
(17%)
0.60
300 10.05
(9%)
0.08
(15%)
0.24
(44%)
0.08
(15%)
0.09
(17%)
0.54
800 10.07
(16%)
0.07
(16%)
0.20
(45%)
0.04
(9%)
0.06
(14%)
0.44
1700 10.04
(11%)
0.06
(16%)
0.18
(49%)
0.03
(8%)
0.06
(16%)
0.37
1 These species were not necessary for spectral resolutions.
Table 2. The radiation chemical yields (G, μmol J−1) of radicals and their percentage contribution (in parenthesis) to the total yield of radicals present in the reaction of HO with cysteine-methylated derivative 2 at different times after the electron pulse at pH 7.
Table 2. The radiation chemical yields (G, μmol J−1) of radicals and their percentage contribution (in parenthesis) to the total yield of radicals present in the reaction of HO with cysteine-methylated derivative 2 at different times after the electron pulse at pH 7.
Time (µs)HOSαC(2)αS(1) + αS(2)SS•+SO•+Total R
0.50.16
(46%)
0 10.07
(20%)
0 10.12
(34%)
0.35
10.14
(30%)
0 10.11
(24%)
0 10.21
(46%)
0.46
2.250.10
(18%)
0.03
(5%)
0.16
(29%)
0 10.27
(48%)
0.56
30.08
(14%)
0.05
(9%)
0.17
(29%)
0.01
(2%)
0.27
(46%)
0.58
100 10.15
(24%)
0.23
(38%)
0.01
(2%)
0.22
(36%)
0.61
300 10.11
(23%)
0.23
(49%)
0 10.13
(28%)
0.47
800 10.04
(13%)
0.21
(70%)
0 10.05
(17%)
0.30
1700 10.01
(5%)
0.16
(84%)
0 10.02
(11%)
0.19
1 These species were not necessary for spectral resolutions.
Table 3. Product formations by combination of various radicals in the experiment with starting material 1 a,b.
Table 3. Product formations by combination of various radicals in the experiment with starting material 1 a,b.
Radical 1 cRadical 2 cCombination ProductsRelative Ratio eds f
αS(2)CH3S—αS(2)15.4
CH3S• dαS(1)CH3S—αS(1)9.4
αC(1)CH3S—αC(1)1.4
αC(2)CH3S—αC(2)1
αS(2)αS(2)—αS(2) 3
αS(2)αS(1)αS(2)—αS(1) 2
αC(1)αS(2)—αC(1) 4
αC(2)αS(2)—αC(2) 2
αS(1)αS(1)—αS(1)
αS(1)αC(1)αS(1)—αC(1) 2
αC(2)αS(1)—αC(2)
αC(2)αC(2)αC(2)—αC(2)
a N2O-saturated solutions of 1 (1.0 mM) at natural pH irradiated for 800 Gy (46.7 Gy/min); b Based on LC–MS and high-resolution MS/MS analysis; c cf. Scheme 4; d Generated from the reactions of H atoms, see Scheme 4; e Based on the intensity peaks of LC. f Number of diastereoisomers.
Table 4. Product formations by combination of various radicals in the experiment with starting material 2 a,b.
Table 4. Product formations by combination of various radicals in the experiment with starting material 2 a,b.
Radical 1 cRadical 2 cCombination ProductsRelative Ratio eds f
αS(2)CH3S—αS(2)72.2
CH3S• dαS(1)CH3S—αS(1)1
αC(2)CH3S—αC(2)2.3
αS(2)αS(2)—αS(2) 3
αS(2)αS(1)αS(2)—αS(1) 2
αC(2)αS(2)—αC(2) 2
αC(2)αC(2)αC(2)—αC(2) g
a N2O-saturated solutions of 2 (1.0 mM) at natural pH irradiated for 800 Gy (46.7 Gy/min); b Based on LC–MS and high-resolution MS/MS analysis; c cf. Scheme 5; d Generated from the reactions of H atoms, see Scheme 4; e Based on the intensity peaks of LC. f Number of diastereoisomers; g tentative assignment due to low intensity, alternatives αC(2)—αS(1) or αS(1)—αS(1).
Publisher’s Note: MDPI stays neutral with regard to jurisdictional claims in published maps and institutional affiliations.

Share and Cite

MDPI and ACS Style

Chatgilialoglu, C.; Grzelak, M.; Skotnicki, K.; Filipiak, P.; Kazmierczak, F.; Hug, G.L.; Bobrowski, K.; Marciniak, B. Evaluation of Hydroxyl Radical Reactivity by Thioether Group Proximity in Model Peptide Backbone: Methionine versus S-Methyl-Cysteine. Int. J. Mol. Sci. 2022, 23, 6550. https://doi.org/10.3390/ijms23126550

AMA Style

Chatgilialoglu C, Grzelak M, Skotnicki K, Filipiak P, Kazmierczak F, Hug GL, Bobrowski K, Marciniak B. Evaluation of Hydroxyl Radical Reactivity by Thioether Group Proximity in Model Peptide Backbone: Methionine versus S-Methyl-Cysteine. International Journal of Molecular Sciences. 2022; 23(12):6550. https://doi.org/10.3390/ijms23126550

Chicago/Turabian Style

Chatgilialoglu, Chryssostomos, Magdalena Grzelak, Konrad Skotnicki, Piotr Filipiak, Franciszek Kazmierczak, Gordon L. Hug, Krzysztof Bobrowski, and Bronislaw Marciniak. 2022. "Evaluation of Hydroxyl Radical Reactivity by Thioether Group Proximity in Model Peptide Backbone: Methionine versus S-Methyl-Cysteine" International Journal of Molecular Sciences 23, no. 12: 6550. https://doi.org/10.3390/ijms23126550

APA Style

Chatgilialoglu, C., Grzelak, M., Skotnicki, K., Filipiak, P., Kazmierczak, F., Hug, G. L., Bobrowski, K., & Marciniak, B. (2022). Evaluation of Hydroxyl Radical Reactivity by Thioether Group Proximity in Model Peptide Backbone: Methionine versus S-Methyl-Cysteine. International Journal of Molecular Sciences, 23(12), 6550. https://doi.org/10.3390/ijms23126550

Note that from the first issue of 2016, this journal uses article numbers instead of page numbers. See further details here.

Article Metrics

Back to TopTop